The RADIOSTAR Project
Abstract
1. Introduction
2. Progress on Stellar Yields of Radioactive Isotopes
3. Progress on Galactic Chemical Evolution of Radioactive Isotopes
3.1. The SLR Isotopes Produced by the r Process
3.2. The GCE of SLR Isotopes Produced by AGB Stars
4. Ongoing and Future Work
- CCSN nucleosynthesis We are currently investigating (Lawson et al., in preparation) if our CCSN models produce a self-consistent solution for some of the SLR nuclei present in the ESS. We are also considering the effect on SLR abundances of further processes and uncertainties related to explosion and mixing in CCSNe beyond those already mentioned in Section 2. Specifically, we are looking at the effects of possible ingestions of protons in the He shell [67] and of merging of different shells [68] just prior to the explosion. Updated investigations will still be needed on the impact of nuclear reaction rate uncertainties on the production of each SLR nucleus in CCSNe, even for the best studied Al and Fe. For instance, new experimental constraints have allowed us to significantly reduce the impact of the uncertainty of the Fe(n,)Fe cross section [69], one of the main nuclear inputs for the production of Fe [32].
- Massive star winds and the production of Pd We are currently calculating the production and ejection of Cl and Ca in binary systems. At the same time, we are also extending our current nuclear network to include the production of SLR nuclei up to Pd (Brinkman et al., in preparation). Within the possible scenario where Al, Cl, and Ca in the ESS originated from massive star winds (Figure 2), Pd is the only heavier isotope that can also be significantly produced. As discussed in Section 3.2, our current modelling of the s-process contribution from AGB stars to the galactic background can explain the currently recommended ESS value of the Pd/Pd ratio self-consistently with that of Hf/Hf. Therefore, a second contribution to Pd from massive star winds may result in overproduction relative to the ESS value and create a problem for this scenario. For the first time, the RADIOSTAR project can investigate together all the potential different components of Pd in the ESS. Within the topic of massive star winds, we also need to investigate if the produced SLR nuclei can be incorporated into dust. Dust is necessary to penetrate the ESS material and carry and deposit the SLR abundances within it. It is observed to form in the carbon-rich winds of massive binary star systems [70]. Finally, we note that, aside from massive star binaries and Wolf–Rayet stars, the winds of stars with mass above 100 M can also contribute significantly to the Al enrichment of the ISM. These stars are nearly homogeneous and can convert almost all Mg initially present into Al via proton captures5. These stars are extremely rare, however, and even a few events may have a strong impact, which should be analysed in relation to the ESS.
- Origin of Pu Among the r-process SLR nuclei, Pu has also been observed to be present in the ESS, although its abundance is still relatively uncertain. New laboratory measurements within our project are aimed at better defining its ESS value and distribution (Pető et al., in preparation). We are also considering if the same models that can explain I and Cm can also fit Pu (Lugaro et al., in preparation). The further complication of this isotope is that its half-life (of 80 Myr) is much longer than that of the other two isotopes; therefore, it is more likely that the abundance of this SLR nucleus carried the memory of several events in the galactic background.
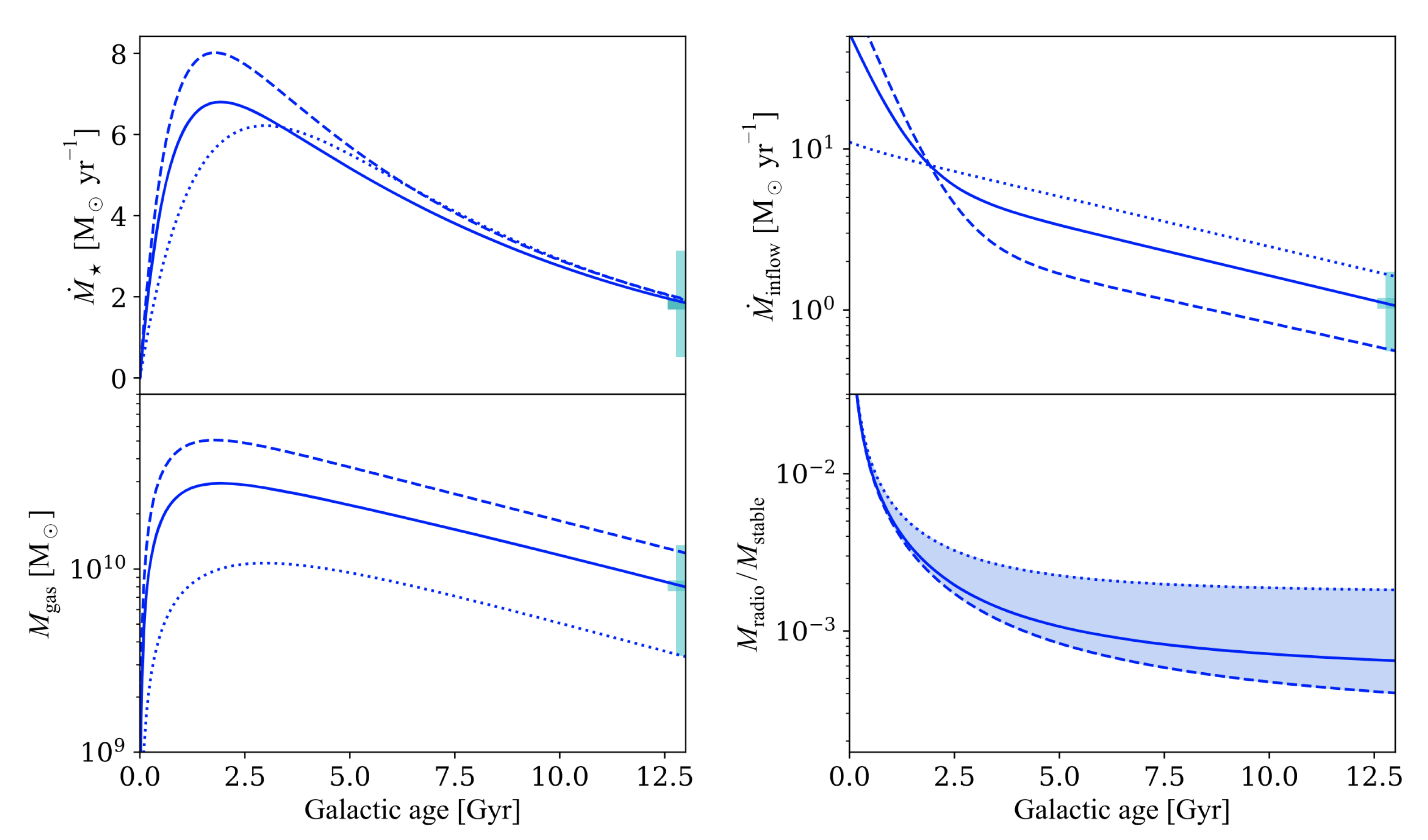
- Heterogeneous GCE modelling One of the main open problems to achieve an accurate description of the abundances of SLR nuclei both within GCE and in molecular clouds, is the transport in the ISM. So far, our GCE models have been simplistic in this respect because they do not included transport. By considering stellar sources that produce both the SLR and the stable reference isotope, we have exploited the fact that the dilution factor due to transport from the source to each parcel of ISM gas must be the same for both isotopes. However, reality is more complex because such dilution factor would effectively give a different weight to different sources, depending on their distance and on how far the isotopes can travel. Effectively, distance and speed control the numbers of sources that contribute material to a given parcel of gas and, therefore, when considered per unit time, the parameter . Furthermore, the stable isotope abundance completely loses the memory of each single production event, as material becomes well mixed in the Galaxy within its rotation period of 100 Myr. Instead, the SLR nuclei keep the memory of the events that occurred locally in time and space. For these reasons, we are now developing more complex models. We have introduced SLR nuclei into the Inhomogeneous Chemical Evolution (ICE) code [72], where mixing in the ISM is treated in three dimensions and driven by supernova explosions (Wehmeyer et al., in preparation). We have also developed a mixing code based on the scheme of Hotokezaka et al. [73] where material is transported by diffusion (Yagüe Lopéz et al., in preparation). A couple of preliminary test examples of our Hotokezaka-stlye simulations are shown in Figure 6.
- Chemodynamical SPH simulations We are considering a higher level of complexity by introducing SLR nuclei also within sophisticated models of the Galaxy based on cosmological constraints [74]. While these models cannot zoom into each single stellar source, they account for all the dynamical features of the Milky Way and provide us a more accurate description of the distribution of SLR nuclei in the Galaxy. We have introduced a number of SLR nuclei within such models and are currently running high-resolution simulations to be compared to global galactic observables, such as the Al -ray emission line (Wehmeyer et al., in preparation).
- Mn and the contribution of Type Ia supernovaeMn is a particularly interesting well-known SLR nucleus in the ESS whose abundance still needs to be analysed in terms of stellar sources and GCE evolution. The element Mn is produced most significantly in the Galaxy by SNeIa, and particularly those that reach the Chandrasekhar mass [75,76], but also partly by CCSNe, also depending on the models considered. A full GCE model is required to follow the production of Mn and Mn, together with that of Fe, also significantly produced by SNeIa, and Fe, which is only produced by CCSNe instead. Such a model will help us to verify if the origin of both Mn and Fe in the ESS can be attributed to the galactic background, similarly to the longer lived s- and r-process SLR nuclei discussed in Section 3.
- The p-process SLR nuclei Finally, Nb and Sm are p-process isotopes for which the ESS values are well known, while their stellar origin is still unclear. The origin of p-process nuclei in general is still strongly debated, with many potential sources related to various types of supernova explosions. Detailed GCE models of the evolution of the abundances of these two isotopes are needed and may help in understanding the origin of the p process by testing different combinations of stellar yields. Furthermore, the other two SLR nuclei synthesised by the p process, Tc and Tc, have very close half-lives (4.21 and 4.2 Myr, respectively) and could be the subject of a study similar to that which we performed for I/Cm, once more precise meteoritic abundance determinations are available for these isotopes [58].
Author Contributions
Funding
Institutional Review Board Statement
Informed Consent Statement
Data Availability Statement
Acknowledgments
Conflicts of Interest
Abbreviations
| AGB star | asymptotic giant branch star |
| CCSN (CCSNe) | core-collapse supernova (core-collapse supernovae) |
| ESS | early Solar System |
| GCE | galactic chemical evolution |
| ISM | interstellar medium |
| neutron-capture process | r process |
| neutron-capture process | s process |
| SLR | short-lived radioactive |
| SNIa (SNeIa) | supernova Type Ia (supernovae Type Ia) |
| 1 | “Radioactivities from Stars to Solar Systems”, https://konkoly.hu/radiostar/ (accessed on 1 January 2022) |
| 2 | https://arxiv.org/abs/2201.04692 (accessed on 1 January 2022) |
| 3 | The origin of the observed signal at mass 50 is still unknown, as it could come from Cr and Ti. |
| 4 | This time from the last r-process event is derived self-consistently using the two ratios I/I and Cm/U. |
| 5 | For example, the 500 M model by [71] produces 100 more Al than their 60 M star. |
References
- Lee, T.; Papanastassiou, D.A.; Wasserburg, G.J. Aluminum-26 in the early solar system—Fossil or fuel. Astrophys. J. 1977, 211, L107–L110. [Google Scholar] [CrossRef]
- Jacobsen, B.; Yin, Q.Z.; Moynier, F.; Amelin, Y.; Krot, A.N.; Nagashima, K.; Hutcheon, I.D.; Palme, H. 26Al- 26Mg and 207Pb- 206Pb systematics of Allende CAIs: Canonical solar initial 26Al/ 27Al ratio reinstated. Earth Planet. Sci. Lett. 2008, 272, 353–364. [Google Scholar] [CrossRef]
- Moskovitz, N.; Gaidos, E. Differentiation of planetesimals and the thermal consequences of melt migration. Meteorit. Planet. Sci. 2011, 46, 903–918. [Google Scholar] [CrossRef]
- Ciesla, F.J.; Mulders, G.D.; Pascucci, I.; Apai, D. Volatile Delivery to Planets from Water-rich Planetesimals around Low Mass Stars. Astrophys. J. 2015, 804, 9. [Google Scholar] [CrossRef]
- Lichtenberg, T.; Golabek, G.J.; Burn, R.; Meyer, M.R.; Alibert, Y.; Gerya, T.V.; Mordasini, C. A water budget dichotomy of rocky protoplanets from 26Al-heating. Nat. Astron. 2019, 3, 307–313. [Google Scholar] [CrossRef]
- Lugaro, M.; Ott, U.; Kereszturi, Á. Radioactive nuclei from cosmochronology to habitability. Progr. Part. Nucl. Phys. 2018, 102, 1–47. [Google Scholar] [CrossRef]
- Tang, H.; Dauphas, N. Low 60Fe Abundance in Semarkona and Sahara 99555. Astrophys. J. 2015, 802, 22. [Google Scholar] [CrossRef]
- Trappitsch, R.; Stephan, T.; Savina, M.R.; Davis, A.M.; Pellin, M.J.; Rost, D.; Gyngard, F.; Gallino, R.; Bisterzo, S.; Cristallo, S.; et al. Simultaneous iron and nickel isotopic analyses of presolar silicon carbide grains. Geochim. Cosmochim. Acta 2018, 221, 87–108. [Google Scholar] [CrossRef]
- Mishra, R.K.; Chaussidon, M. Fossil records of high level of 60Fe in chondrules from unequilibrated chondrites. Earth Planet. Sci. Lett. 2014, 398, 90–100. [Google Scholar] [CrossRef]
- Adams, F.C. The Birth Environment of the Solar System. Ann. Rev. Astron. Astrophys. 2010, 48, 47–85. [Google Scholar] [CrossRef]
- Pfalzner, S.; Davies, M.B.; Gounelle, M.; Johansen, A.; Münker, C.; Lacerda, P.; Portegies Zwart, S.; Testi, L.; Trieloff, M.; Veras, D. The formation of the solar system. Phys. Scr. 2015, 90, 068001. [Google Scholar] [CrossRef]
- Adams, F.C.; Fatuzzo, M.; Holden, L. Distributions of Short-lived Radioactive Nuclei Produced by Young Embedded Star Clusters. Astrophys. J. 2014, 789, 86. [Google Scholar] [CrossRef]
- Lacki, B.C. Starbursts and high-redshift galaxies are radioactive: High abundances of 26Al and other short-lived radionuclides. Mon. Not. R. Astron. Soc. 2014, 440, 3738–3748. [Google Scholar] [CrossRef][Green Version]
- Raymond, S.N.; Scalo, J.; Meadows, V.S. A Decreased Probability of Habitable Planet Formation around Low-Mass Stars. Astrophys. J. 2007, 669, 606–614. [Google Scholar] [CrossRef]
- Cameron, A.G.W.; Truran, J.W. The supernova trigger for formation of the solar system. Icarus 1977, 30, 447–461. [Google Scholar] [CrossRef]
- Wasserburg, G.J.; Busso, M.; Gallino, R. Abundances of Actinides and Short-lived Nonactinides in the Interstellar Medium: Diverse Supernova Sources for the r-Processes. Astrophys. J. 1996, 466, L109. [Google Scholar] [CrossRef]
- Busso, M.; Gallino, R.; Wasserburg, G.J. Nucleosynthesis in Asymptotic Giant Branch Stars: Relevance for Galactic Enrichment and Solar System Formation. Ann. Rev. Astron. Astrophys. 1999, 37, 239–309. [Google Scholar] [CrossRef]
- Meyer, B.S.; Clayton, D.D. Short-Lived Radioactivities and the Birth of the sun. Space Sci. Rev. 2000, 92, 133–152. [Google Scholar] [CrossRef]
- Wasserburg, G.J.; Busso, M.; Gallino, R.; Nollett, K.M. Short-lived nuclei in the early Solar System: Possible AGB sources. Nucl. Phys. A 2006, 777, 5–69. [Google Scholar] [CrossRef]
- Huss, G.R.; Meyer, B.S.; Srinivasan, G.; Goswami, J.N.; Sahijpal, S. Stellar sources of the short-lived radionuclides in the early solar system. Geochim. Cosmochim. Acta 2009, 73, 4922–4945. [Google Scholar] [CrossRef]
- Gaidos, E.; Krot, A.N.; Williams, J.P.; Raymond, S.N. 26Al and the Formation of the Solar System from a Molecular Cloud Contaminated by Wolf-Rayet Winds. Astrophys. J. 2009, 696, 1854–1863. [Google Scholar] [CrossRef]
- Gounelle, M.; Meynet, G. Solar system genealogy revealed by extinct short-lived radionuclides in meteorites. Astron. Astrophys. 2012, 545, A4. [Google Scholar] [CrossRef]
- Pan, L.; Desch, S.J.; Scannapieco, E.; Timmes, F.X. Mixing of Clumpy Supernova Ejecta into Molecular Clouds. Astrophys. J. 2012, 756, 102. [Google Scholar] [CrossRef][Green Version]
- Young, E.D. Inheritance of solar short- and long-lived radionuclides from molecular clouds and the unexceptional nature of the solar system. Earth Planet. Sci. Lett. 2014, 392, 16–27. [Google Scholar] [CrossRef]
- Lichtenberg, T.; Golabek, G.J.; Gerya, T.V.; Meyer, M.R. The effects of short-lived radionuclides and porosity on the early thermo-mechanical evolution of planetesimals. Icarus 2016, 274, 350–365. [Google Scholar] [CrossRef]
- Dwarkadas, V.V.; Dauphas, N.; Meyer, B.; Boyajian, P.; Bojazi, M. Triggered Star Formation inside the Shell of a Wolf-Rayet Bubble as the Origin of the Solar System. Astrophys. J. 2017, 851, 147. [Google Scholar] [CrossRef]
- Fujimoto, Y.; Krumholz, M.R.; Tachibana, S. Short-lived radioisotopes in meteorites from Galactic-scale correlated star formation. Mon. Not. R. Astron. Soc. 2018, 480, 4025–4039. [Google Scholar] [CrossRef]
- Diehl, R.; Lugaro, M.; Heger, A.; Sieverding, A.; Tang, X.; Li, K.A.; Li, E.T.; Doherty, C.L.; Krause, M.G.H.; Wallner, A.; et al. The radioactive nuclei 26Al and 60Fe in the Cosmos and in the solar system. Publ. Astron. Soc. Austr. 2021, 38, e062. [Google Scholar] [CrossRef]
- Lawson, T.V.; Pignatari, M.; Stancliffe, R.J.; den Hartogh, J.; Jones, S.; Fryer, C.L.; Gibson, B.K.; Lugaro, M. Radioactive nuclei in the early Solar System: Analysis of the 15 isotopes produced by core-collapse supernovae. Mon. Not. R. Astron. Soc. 2021. [Google Scholar] [CrossRef]
- Fryer, C.L.; Andrews, S.; Even, W.; Heger, A.; Safi-Harb, S. Parameterizing the Supernova Engine and Its Effect on Remnants and Basic Yields. Astrophys. J. 2018, 856, 63. [Google Scholar] [CrossRef]
- Andrews, S.; Fryer, C.; Even, W.; Jones, S.; Pignatari, M. The Nucleosynthetic Yields of Core-collapse Supernovae: Prospects for the Next Generation of Gamma-Ray Astronomy. Astrophys. J. 2020, 890, 35. [Google Scholar] [CrossRef]
- Jones, S.W.; Möller, H.; Fryer, C.L.; Fontes, C.J.; Trappitsch, R.; Even, W.P.; Couture, A.; Mumpower, M.R.; Safi-Harb, S. 60Fe in core-collapse supernovae and prospects for X-ray and gamma-ray detection in supernova remnants. Mon. Not. R. Astron. Soc. 2019, 485, 4287–4310. [Google Scholar] [CrossRef]
- Rauscher, T.; Heger, A.; Hoffman, R.D.; Woosley, S.E. Nucleosynthesis in Massive Stars with Improved Nuclear and Stellar Physics. Astrophys. J. 2002, 576, 323–348. [Google Scholar] [CrossRef]
- Sieverding, A.; Martínez-Pinedo, G.; Huther, L.; Langanke, K.; Heger, A. The ν-Process in the Light of an Improved Understanding of Supernova Neutrino Spectra. Astrophys. J. 2018, 865, 143. [Google Scholar] [CrossRef]
- Limongi, M.; Chieffi, A. Presupernova Evolution and Explosive Nucleosynthesis of Rotating Massive Stars in the Metallicity Range −3 ≤ [Fe/H] ≤ 0. Astrophys. J. Suppl. Ser. 2018, 237, 13. [Google Scholar] [CrossRef]
- Curtis, S.; Ebinger, K.; Fröhlich, C.; Hempel, M.; Perego, A.; Liebendörfer, M.; Thielemann, F.K. PUSHing Core-collapse Supernovae to Explosions in Spherical Symmetry. III. Nucleosynthesis Yields. Astrophys. J. 2019, 870, 2. [Google Scholar] [CrossRef]
- Kleine, T.; Budde, G.; Burkhardt, C.; Kruijer, T.S.; Worsham, E.A.; Morbidelli, A.; Nimmo, F. The Non-carbonaceous-Carbonaceous Meteorite Dichotomy. Space Sci. Rev. 2020, 216, 55. [Google Scholar] [CrossRef]
- Larsen, K.K.; Trinquier, A.; Paton, C.; Schiller, M.; Wielandt, D.; Ivanova, M.A.; Connelly, J.N.; Nordlund, A.; Krot, A.N.; Bizzarro, M. Evidence for Magnesium Isotope Heterogeneity in the Solar Protoplanetary Disk. Astrophys. J. Lett. 2011, 735, L37. [Google Scholar] [CrossRef]
- Zinner, E. Presolar Grains. Meteorites and Cosmochemical Processes. In Treatise on Geochemistry, 2nd ed.; Davis, A.M., Holland, H.D., Eds.; Elsevier: Oxford, UK, 2014; Volume 1, pp. 181–213. [Google Scholar]
- Nittler, L.R.; Alexander, C.M.O.D.; Liu, N.; Wang, J. Extremely 54Cr- and 50Ti-rich Presolar Oxide Grains in a Primitive Meteorite: Formation in Rare Types of Supernovae and Implications for the Astrophysical Context of Solar System Birth. Astrophys. J. Lett. 2018, 856, L24. [Google Scholar] [CrossRef]
- Dauphas, N.; Remusat, L.; Chen, J.H.; Roskosz, M.; Papanastassiou, D.A.; Stodolna, J.; Guan, Y.; Ma, C.; Eiler, J.M. Neutron-rich Chromium Isotope Anomalies in Supernova Nanoparticles. Astrophys. J. 2010, 720, 1577–1591. [Google Scholar] [CrossRef]
- Qin, L.; Alexander, C.M.O.D.; Carlson, R.W.; Horan, M.F.; Yokoyama, T. Contributors to chromium isotope variation of meteorites. Geochim. Cosmochim. Acta 2010, 74, 1122–1145. [Google Scholar] [CrossRef]
- Jones, S.; Röpke, F.K.; Fryer, C.; Ruiter, A.J.; Seitenzahl, I.R.; Nittler, L.R.; Ohlmann, S.T.; Reifarth, R.; Pignatari, M.; Belczynski, K. Remnants and ejecta of thermonuclear electron-capture supernovae. Constraining oxygen-neon deflagrations in high-density white dwarfs. Astron. Astrophys. 2019, 622, A74. [Google Scholar] [CrossRef]
- Arnould, M.; Paulus, G.; Meynet, G. Short-lived radionuclide production by non-exploding Wolf-Rayet stars. Astron. Astrophys. 1997, 321, 452–464. [Google Scholar]
- Arnould, M.; Goriely, S.; Meynet, G. The production of short-lived radionuclides by new non-rotating and rotating Wolf-Rayet model stars. Astron. Astrophys. 2006, 453, 653–659. [Google Scholar] [CrossRef]
- Brinkman, H.E.; Doherty, C.L.; Pols, O.R.; Li, E.T.; Côté, B.; Lugaro, M. Aluminium-26 from Massive Binary Stars. I. Nonrotating Models. Astrophys. J. 2019, 884, 38. [Google Scholar] [CrossRef]
- Brinkman, H.E.; den Hartogh, J.W.; Doherty, C.L.; Pignatari, M.; Lugaro, M. Aluminium-26 from massive binary stars II. Rotating single stars up to core-collapse and their impact on the early Solar System. arXiv 2021, arXiv:2109.05842. [Google Scholar]
- Voss, R.; Diehl, R.; Hartmann, D.H.; Cerviño, M.; Vink, J.S.; Meynet, G.; Limongi, M.; Chieffi, A. Using population synthesis of massive stars to study the interstellar medium near OB associations. Astron. Astrophys. 2009, 504, 531–542. [Google Scholar] [CrossRef]
- Clayton, R.N.; Mayeda, T.K. The oxygen isotope record in Murchison and other carbonaceous chondrites. Earth Planet. Sci. Lett. 1984, 67, 151–161. [Google Scholar] [CrossRef]
- Clayton, D.D. Nuclear cosmochronology within analytic models of the chemical evolution of the solar neighbourhood. Mon. Not. R. Astron. Soc. 1988, 234, 1–36. [Google Scholar] [CrossRef]
- Côté, B.; Lugaro, M.; Reifarth, R.; Pignatari, M.; Világos, B.; Yagüe, A.; Gibson, B.K. Galactic Chemical Evolution of Radioactive Isotopes. Astrophys. J. 2019, 878, 156. [Google Scholar] [CrossRef]
- Côté, B.; Ritter, C.; Herwig, F.; O’Shea, B.W.; Pignatari, M.; Silvia, D.; Jones, S.; Fryer, C.L. JINA-NuGrid Galactic Chemical Evolution Pipeline. In Proceedings of the 14th International Symposium on Nuclei in the Cosmos (NIC2016), Niigata, Japan, 19–24 June 2016; p. 020203. [Google Scholar] [CrossRef]
- Côté, B.; Silvia, D.W.; O’Shea, B.W.; Smith, B.; Wise, J.H. Validating Semi-analytic Models of High-redshift Galaxy Formation Using Radiation Hydrodynamical Simulations. Astrophys. J. 2018, 859, 67. [Google Scholar] [CrossRef]
- Travaglio, C.; Gallino, R.; Rauscher, T.; Dauphas, N.; Röpke, F.K.; Hillebrandt, W. Radiogenic p-isotopes from Type Ia Supernova, Nuclear Physics Uncertainties, and Galactic Chemical Evolution Compared with Values in Primitive Meteorites. Astrophys. J. 2014, 795, 141. [Google Scholar] [CrossRef]
- Lugaro, M.; Pignatari, M.; Ott, U.; Zuber, K.; Travaglio, C.; Gyürky, G.; Fülöp, Z. Origin of the p-process radionuclides 92Nb and 146Sm in the early solar system and inferences on the birth of the Sun. Proc. Natl. Acad. Sci. USA 2016, 113, 907–912. [Google Scholar] [CrossRef] [PubMed]
- Kubryk, M.; Prantzos, N.; Athanassoula, E. Evolution of the Milky Way with radial motions of stars and gas. II. The evolution of abundance profiles from H to Ni. Astron. Astrophys. 2015, 580, A127. [Google Scholar] [CrossRef]
- Côté, B.; Yagüe, A.; Világos, B.; Lugaro, M. Stochastic Chemical Evolution of Radioactive Isotopes with a Monte Carlo Approach. Astrophys. J. 2019, 887, 213. [Google Scholar] [CrossRef]
- Yagüe López, A.; Côté, B.; Lugaro, M. Monte Carlo Investigation of the Ratios of Short-lived Radioactive Isotopes in the Interstellar Medium. Astrophys. J. 2021, 915, 128. [Google Scholar] [CrossRef]
- Côté, B.; Eichler, M.; Yagüe López, A.; Vassh, N.; Mumpower, M.R.; Világos, B.; Soós, B.; Arcones, A.; Sprouse, T.M.; Surman, R.; et al. 129I and 247Cm in meteorites constrain the last astrophysical source of solar r-process elements. Science 2021, 371, 945–948. [Google Scholar] [CrossRef]
- Trueman, T.C.L.; Côté, B.; Yagüe López, A.; den Hartogh, J.; Pignatari, M.; Soós, B.; Karakas, A.I.; Lugaro, M. Galactic Chemical Evolution of Radioactive Isotopes with an s-process Contribution. arXiv 2021, arXiv:2110.11126. [Google Scholar] [CrossRef]
- Cristallo, S.; Straniero, O.; Gallino, R.; Piersanti, L.; Domínguez, I.; Lederer, M.T. Evolution, nucleosynthesis, and yields of low-mass asymptotic giant branch stars at different metallicities. Astrophys. J. 2009, 696, 797–820. [Google Scholar] [CrossRef]
- Cristallo, S.; Piersanti, L.; Straniero, O.; Gallino, R.; Domínguez, I.; Abia, C.; Di Rico, G.; Quintini, M.; Bisterzo, S. Evolution, nucleosynthesis, and yields of low-mass asymptotic giant branch stars at different metallicities. II. The FRUITY database. Astrophys. J. Suppl. Ser. 2011, 197, 17. [Google Scholar] [CrossRef]
- Karakas, A.I.; Lugaro, M. Stellar yields from metal-rich asymptotic giant branch models. Astrophys. J. 2016, 825, 26. [Google Scholar] [CrossRef]
- Lugaro, M.; Heger, A.; Osrin, D.; Goriely, S.; Zuber, K.; Karakas, A.I.; Gibson, B.K.; Doherty, C.L.; Lattanzio, J.C.; Ott, U. Stellar origin of the 182Hf cosmochronometer and the presolar history of solar system matter. Science 2014, 345, 650–653. [Google Scholar] [CrossRef] [PubMed]
- Bondarenko, V.; Berzins, J.; Prokofjevs, P.; Simonova, L.; von Egidy, T.; Honzátko, J.; Tomandl, I.; Alexa, P.; Wirth, H.F.; Köster, U.; et al. Interplay of quasiparticle and phonon excitations in 181Hf observed through (n,γ) and (d→,p) reactions. Nucl. Phys. A 2002, 709, 3–59. [Google Scholar] [CrossRef]
- Cseh, B.; Világos, B.; Roriz, M.P.; Pereira, C.B.; D’Orazi, V.; Karakas, A.I.; Soós, B.; Drake, N.A.; Junqueira, S.; Lugaro, M. Barium stars as tracers of s-process nucleosynthesis in AGB stars I. 28 stars with independently derived AGB mass. arXiv 2022, arXiv:2201.13379. [Google Scholar] [CrossRef]
- Pignatari, M.; Zinner, E.; Hoppe, P.; Jordan, C.J.; Gibson, B.K.; Trappitsch, R.; Herwig, F.; Fryer, C.; Hirschi, R.; Timmes, F.X. Carbon-rich Presolar Grains from Massive Stars: Subsolar 12C/13C and 14N/15N Ratios and the Mystery of 15N. Astrophys. J. Lett. 2015, 808, L43. [Google Scholar] [CrossRef]
- Ritter, C.; Andrassy, R.; Côté, B.; Herwig, F.; Woodward, P.R.; Pignatari, M.; Jones, S. Convective-reactive nucleosynthesis of K, Sc, Cl and p-process isotopes in O-C shell mergers. Mon. Not. R. Astron. Soc. 2018, 474, L1–L6. [Google Scholar] [CrossRef]
- Yan, S.Q.; Li, X.Y.; Nishio, K.; Lugaro, M.; Li, Z.H.; Makii, H.; Pignatari, M.; Wang, Y.B.; Orlandi, R.; Hirose, K.; et al. The 59Fe (n,γ) 60Fe Cross Section from the Surrogate Ratio Method and Its Effect on the 60Fe Nucleosynthesis. Astrophys. J. 2021, 919, 84. [Google Scholar] [CrossRef]
- Lau, R.M.; Eldridge, J.J.; Hankins, M.J.; Lamberts, A.; Sakon, I.; Williams, P.M. Revisiting the Impact of Dust Production from Carbon-rich Wolf-Rayet Binaries. Astrophys. J. 2020, 898, 74. [Google Scholar] [CrossRef]
- Yusof, N.; Hirschi, R.; Meynet, G.; Crowther, P.A.; Ekström, S.; Frischknecht, U.; Georgy, C.; Abu Kassim, H.; Schnurr, O. Evolution and fate of very massive stars. Mon. Not. R. Astron. Soc. 2013, 433, 1114–1132. [Google Scholar] [CrossRef]
- Wehmeyer, B.; Pignatari, M.; Thielemann, F.K. Galactic evolution of rapid neutron capture process abundances: The inhomogeneous approach. Mon. Not. R. Astron. Soc. 2015, 452, 1970–1981. [Google Scholar] [CrossRef]
- Hotokezaka, K.; Piran, T.; Paul, M. Short-lived 244Pu points to compact binary mergers as sites for heavy r-process nucleosynthesis. Nat. Phys. 2015, 11, 1042–1044. [Google Scholar] [CrossRef]
- Kobayashi, C.; Nakasato, N. Chemodynamical Simulations of the Milky Way Galaxy. Astrophys. J. 2011, 729, 16. [Google Scholar] [CrossRef]
- Seitenzahl, I.R.; Cescutti, G.; Röpke, F.K.; Ruiter, A.J.; Pakmor, R. Solar abundance of manganese: A case for near Chandrasekhar-mass Type Ia supernova progenitors. Astron. Astrophys. 2013, 559, L5. [Google Scholar] [CrossRef]
- Kobayashi, C.; Leung, S.C.; Nomoto, K. New Type Ia Supernova Yields and the Manganese and Nickel Problems in the Milky Way and Dwarf Spheroidal Galaxies. Astrophys. J. 2020, 895, 138. [Google Scholar] [CrossRef]
- Li, K.A.; Qi, C.; Lugaro, M.; Yagüe López, A.; Karakas, A.I.; den Hartogh, J.; Gao, B.S.; Tang, X.D. The Stellar β-decay Rate of 134Cs and Its Impact on the Barium Nucleosynthesis in the s-process. Astrophys. J. Lett. 2021, 919, L19. [Google Scholar] [CrossRef]
- Kinoshita, N.; Paul, M.; Kashiv, Y.; Collon, P.; Deibel, C.M.; DiGiovine, B.; Greene, J.P.; Henderson, D.J.; Jiang, C.L.; Marley, S.T.; et al. A Shorter 146Sm Half-Life Measured and Implications for 146Sm-142Nd Chronology in the Solar System. Science 2012, 335, 1614–1617. [Google Scholar] [CrossRef] [PubMed]
- Marks, N.E.; Borg, L.E.; Hutcheon, I.D.; Jacobsen, B.; Clayton, R.N. Samarium-neodymium chronology and rubidium-strontium systematics of an Allende calcium-aluminum-rich inclusion with implications for 146Sm half-life. Earth Planet. Sci. Lett. 2014, 405, 15–24. [Google Scholar] [CrossRef]
- Holst, J.C.; Olsen, M.B.; Paton, C.; Nagashima, K.; Schiller, M.; Wielandt, D.; Larsen, K.K.; Connelly, J.N.; Jorgensen, J.K.; Krot, A.N.; et al. 182Hf–182W age dating of a 26Al-poor inclusion and implications for the origin of short-lived radioisotopes in the early Solar System. Proc. Natl. Acad. Sci. USA 2013, 110, 8819–8823. [Google Scholar] [CrossRef]






Publisher’s Note: MDPI stays neutral with regard to jurisdictional claims in published maps and institutional affiliations. |
© 2022 by the authors. Licensee MDPI, Basel, Switzerland. This article is an open access article distributed under the terms and conditions of the Creative Commons Attribution (CC BY) license (https://creativecommons.org/licenses/by/4.0/).
Share and Cite
Lugaro, M.; Côté, B.; Pignatari, M.; Yagüe López, A.; Brinkman, H.; Cseh, B.; Den Hartogh, J.; Doherty, C.L.; Karakas, A.I.; Kobayashi, C.; et al. The RADIOSTAR Project. Universe 2022, 8, 130. https://doi.org/10.3390/universe8020130
Lugaro M, Côté B, Pignatari M, Yagüe López A, Brinkman H, Cseh B, Den Hartogh J, Doherty CL, Karakas AI, Kobayashi C, et al. The RADIOSTAR Project. Universe. 2022; 8(2):130. https://doi.org/10.3390/universe8020130
Chicago/Turabian StyleLugaro, Maria, Benoit Côté, Marco Pignatari, Andrés Yagüe López, Hannah Brinkman, Borbála Cseh, Jacqueline Den Hartogh, Carolyn Louise Doherty, Amanda Irene Karakas, Chiaki Kobayashi, and et al. 2022. "The RADIOSTAR Project" Universe 8, no. 2: 130. https://doi.org/10.3390/universe8020130
APA StyleLugaro, M., Côté, B., Pignatari, M., Yagüe López, A., Brinkman, H., Cseh, B., Den Hartogh, J., Doherty, C. L., Karakas, A. I., Kobayashi, C., Lawson, T., Pető, M., Soós, B., Trueman, T., & Világos, B. (2022). The RADIOSTAR Project. Universe, 8(2), 130. https://doi.org/10.3390/universe8020130

