The Epoch of Reionization in Warm Dark Matter Scenarios
Abstract
:1. Introduction
2. Materials and Methods
2.1. Semi-Analytic Model
2.2. Modelling Reionization
3. Properties of Ionizing Sources
3.1. UV Luminosity Function

3.2. The Role of Bright and Faint Galaxies in the Epoch of Reionization
4. Results and Discussion
4.1. Observational Constraints to
4.2. Initial Condition for Late Reionization Scenario
4.3. Reionization with Galaxies Only
4.3.1. Implications on
4.3.2. Dependence on the IMF
4.3.3. Dependence on the Clumping Factor
4.3.4. Implications on the Reionization History
4.4. Comparison with Previous Works on Reionization
5. Summary and Conclusions
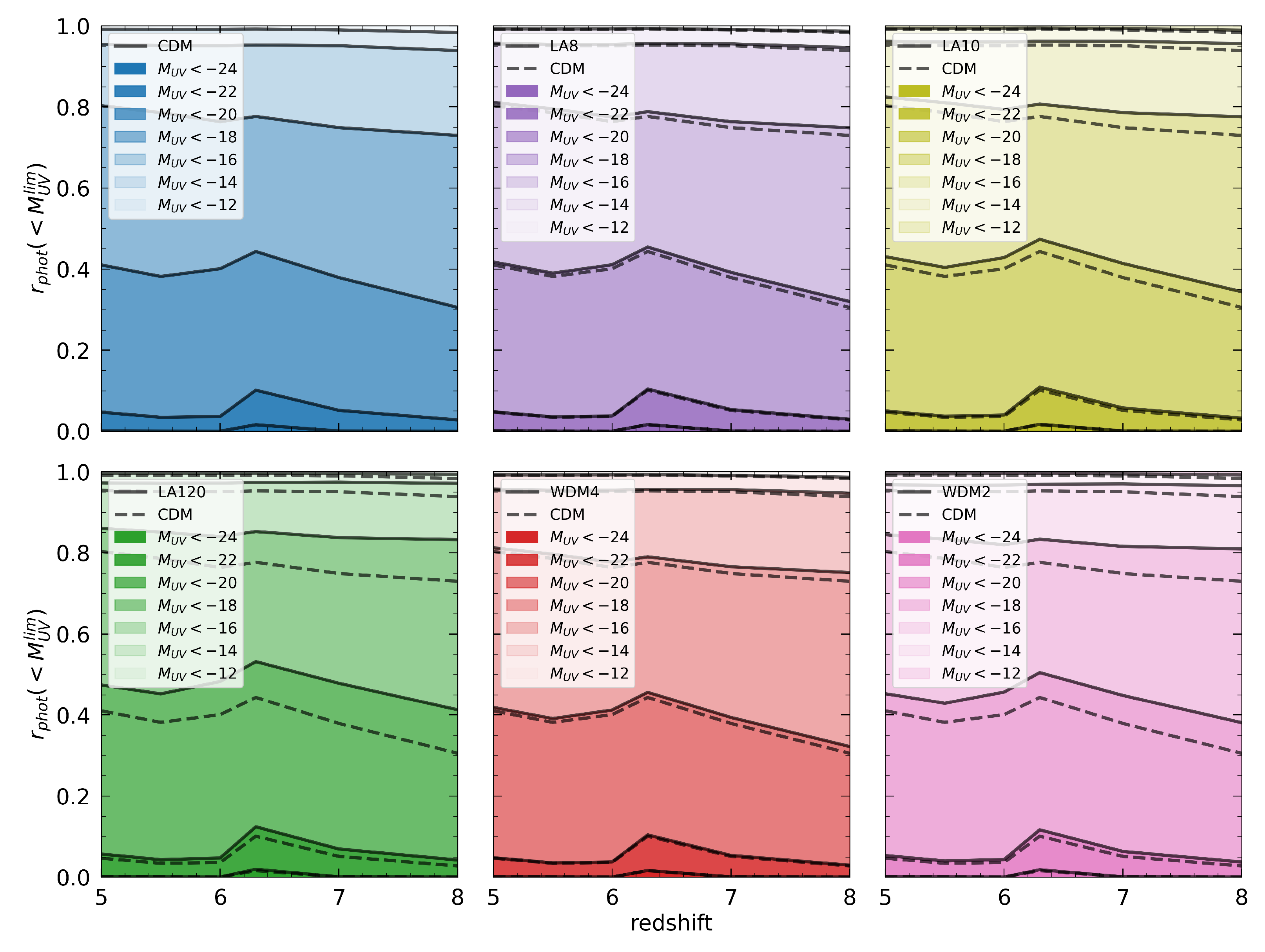
- in CDM cosmology, merging phenomena between halos increase the relative contribution of systems with , from ≈ at up to ≈ at . At the same time, in WDM scenarios, the role of low mass systems is reduced, depending on ;
- in CDM cosmology, merging between galaxies determines the rise of the intrinsic systems relative contribution to the ionizing photons budget, from ≈ to ≈ between . However, it remains subdominant during the EoR, because faint galaxies with emit the bulk of ionizing photons. On the other hand, in WDM case, the particles free-streaming yields to a shift towards brighter sources and undergoes a further 1–10% growth, depending on cosmology;
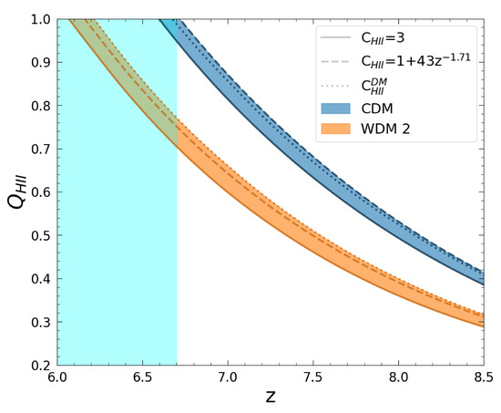
- in WDM cosmologies a higher is required, in order to complete the Reionization process at the same redshift. Using we set an upper limit for the Reionization at , which goes, depending on and on the high-z value, from in the CDM model to in the LA120. So, in general, WDM scenarios yield to an overall reduction of with respect to CDM.
- in the model by Yajima et al. (2011) [57], the impact of systems with and is suppressed with respect to fixed case, while faint galaxies play a more important role. However, the latter are affected by WDM free streaming and this results in delay in the Reionization process;
- the model by Puchwein et al. (2019) does not alter the relative contribution of bright and faint systems, but it produces too many ionizing photons at high redshift;
- both models, when implemented in our semi-analytic framework, are reasonably disfavoured by the low value.
Author Contributions
Funding
Institutional Review Board Statement
Informed Consent Statement
Data Availability Statement
Acknowledgments
Conflicts of Interest
References
- Planck Collaboration. Planck 2015 results—XIII. Cosmological parameters. Astron. Astrophys. 2016, 594, A13. [Google Scholar] [CrossRef] [Green Version]
- Planck Collaboration. Planck 2018 results—VI. Cosmological parameters. Astron. Astrophys. 2020, 641, A6. [Google Scholar] [CrossRef] [Green Version]
- Hinshaw, G.; Larson, D.; Komatsu, E.; Spergel, D.N.; Bennett, C.L.; Dunkley, J.; Nolta, M.R.; Halpern, M.; Hill, R.S.; Odegard, N.; et al. Nine-Year Wilkinson Microwave Anisotropy Probe (WMAP) Observations: Cosmological Parameter Results. Astrophys. J. Suppl. Ser. 2013, 208, 19. [Google Scholar] [CrossRef] [Green Version]
- Fan, X.; Carilli, C.; Keating, B. Observational Constraints on Cosmic Reionization. Annu. Rev. Astron. Astrophys. 2006, 44, 415–462. [Google Scholar] [CrossRef] [Green Version]
- Wise, J.H. Cosmic reionisation. Contemp. Phys. 2019, 60, 145–163. [Google Scholar] [CrossRef] [Green Version]
- Dijkstra, M. Lyα Emitting Galaxies as a Probe of Reionisation. Publ. Astron. Soc. Aust. 2014, 31. [Google Scholar] [CrossRef] [Green Version]
- Pentericci, L.; Vanzella, E.; Fontana, A.; Castellano, M.; Treu, T.; Mesinger, A.; Dijkstra, M.; Grazian, A.; Bradač, M.; Conselice, C.; et al. New Observations of z∼7 Galaxies: Evidence for a Patchy Reionization. Astrophys. J. 2014, 793, 113. [Google Scholar] [CrossRef] [Green Version]
- Hoag, A.; Bradač, M.; Huang, K.; Mason, C.; Treu, T.; Schmidt, K.B.; Trenti, M.; Strait, V.; Lemaux, B.C.; Finney, E.Q.; et al. Constraining the Neutral Fraction of Hydrogen in the IGM at Redshift 7.5. Astrophys. J. 2019, 878, 12. [Google Scholar] [CrossRef] [Green Version]
- Mason, C.A.; Fontana, A.; Treu, T.; Schmidt, K.B.; Hoag, A.; Abramson, L.; Amorin, R.; Bradač, M.; Guaita, L.; Jones, T.; et al. Inferences on the timeline of reionization at z ∼ 8 from the KMOS Lens-Amplified Spectroscopic Survey. Mon. Not. R. Astron. Soc. 2019, 485, 3947–3969. [Google Scholar] [CrossRef] [Green Version]
- Bullock, J.S.; Boylan-Kolchin, M. Small-Scale Challenges to the ΛCDM Paradigm. Annu. Rev. Astron. Astrophys. 2017, 55, 343–387. [Google Scholar] [CrossRef] [Green Version]
- Klypin, A.; Kravtsov, A.V.; Valenzuela, O.; Prada, F. Where Are the Missing Galactic Satellites? Astrophys. J. 1999, 522, 82–92. [Google Scholar] [CrossRef] [Green Version]
- Yue, B.; Castellano, M.; Ferrara, A.; Fontana, A.; Merlin, E.; Amorín, R.; Grazian, A.; Mármol-Queralto, E.; Michałowski, M.J.; Mortlock, A.; et al. On the Faint End of the Galaxy Luminosity Function in the Epoch of Reionization: Updated Constraints from the HST Frontier Fields. Astrophys. J. 2018, 868, 115. [Google Scholar] [CrossRef] [Green Version]
- Menci, N.; Grazian, A.; Castellano, M.; Sanchez, N.G. A Stringent Limit on the Warm Dark Matter Particle Masses From the Abundance of z= 6 Galaxies in the Hubble Frontier Fields. Astrophys. J. 2016, 825, L1. [Google Scholar] [CrossRef]
- Dayal, P.; Mesinger, A.; Pacucci, F. Early Galaxy Formation in Warm Dark Matter Cosmologies. Astrophys. J. 2015, 806, 67. [Google Scholar] [CrossRef] [Green Version]
- Castellano, M.; Yue, B.; Ferrara, A.; Merlin, E.; Fontana, A.; Amorín, R.; Grazian, A.; Mármol-Queralto, E.; Michałowski, M.J.; Mortlock, A.; et al. Constraints on Photoionization Feedback from Number Counts of Ultra-Faint High-Redshift Galaxies in the Frontier Fields. Astrophys. J. 2016, 823, L40. [Google Scholar] [CrossRef] [Green Version]
- Corasaniti, P.; Agarwal, S.; Marsh, D.; Das, S. Constraints on dark matter scenarios from measurements of the galaxy luminosity function at high redshifts. Phys. Rev. D 2017, 95. [Google Scholar] [CrossRef] [Green Version]
- Viel, M.; Becker, G.D.; Bolton, J.S.; Haehnelt, M.G. Warm dark matter as a solution to the small scale crisis: New constraints from high redshift Lyman-α forest data. Phys. Rev. D 2013, 88, 043502. [Google Scholar] [CrossRef] [Green Version]
- Merle, A. keV sterile neutrino Dark Matter. arXiv 2017, arXiv:hep-ph/1702.08430. [Google Scholar]
- Iakubovskyi, D. Observation of the new emission line at 3.5 keV in X-ray spectra of galaxies and galaxy clusters. Adv. Astron. Space Phys. 2016, 6, 3–15. [Google Scholar] [CrossRef]
- Menci, N.; Grazian, A.; Lamastra, A.; Calura, F.; Castellano, M.; Santini, P. Galaxy Formation in Sterile Neutrino Dark Matter Models. Astrophys. J. 2018, 854, 1. [Google Scholar] [CrossRef] [Green Version]
- Dayal, P.; Choudhury, T.R.; Bromm, V.; Pacucci, F. Reionization and Galaxy Formation in Warm Dark Matter Cosmologies. Astrophys. J. 2017, 836, 16. [Google Scholar] [CrossRef] [Green Version]
- Carucci, I.P.; Corasaniti, P.S. Cosmic reionization history and dark matter scenarios. Phys. Rev. D 2019, 99, 023518. [Google Scholar] [CrossRef] [Green Version]
- Lovell, M.R.; Bose, S.; Boyarsky, A.; Cole, S.; Frenk, C.S.; Gonzalez-Perez, V.; Kennedy, R.; Ruchayskiy, O.; Smith, A. Satellite galaxies in semi-analytic models of galaxy formation with sterile neutrino dark matter. Mon. Not. R. Astron. Soc. 2016, 461, 60–72. [Google Scholar] [CrossRef]
- Bode, P.; Ostriker, J.P.; Turok, N. Halo Formation in Warm Dark Matter Models. Astrophys. J. 2001, 556, 93–107. [Google Scholar] [CrossRef]
- Schneider, A.; Smith, R.E.; Macciò, A.V.; Moore, B. Non-linear evolution of cosmological structures in warm dark matter models. Mon. Not. R. Astron. Soc. 2012, 424, 684–698. [Google Scholar] [CrossRef] [Green Version]
- Viel, M.; Lesgourgues, J.; Haehnelt, M.G.; Matarrese, S.; Riotto, A. Constraining warm dark matter candidates including sterile neutrinos and light gravitinos with WMAP and the Lyman-α forest. Phys. Rev. D 2005, 71, 063534. [Google Scholar] [CrossRef]
- Lovell, M.R. Toward a General Parameterization of the Warm Dark Matter Halo Mass Function. Astrophys. J. 2020, 897, 147. [Google Scholar] [CrossRef]
- Bouwens, R.J.; Illingworth, G.D.; Oesch, P.A.; Trenti, M.; Labbé, I.; Bradley, L.; Carollo, M.; van Dokkum, P.G.; Gonzalez, V.; Holwerda, B.; et al. UV Luminosity Functions at Redshifts z∼ 4 to z∼ 10: 10,000 Galaxies from HST Legacy Fields. Astrophys. J. 2015, 803, 34. [Google Scholar] [CrossRef] [Green Version]
- Finkelstein, S.L.; Ryan, R.E.; Papovich, C.; Dickinson, M.; Song, M.; Somerville, R.S.; Ferguson, H.C.; Salmon, B.; Giavalisco, M.; Koekemoer, A.M.; et al. The Evolution of the Galaxy Rest-Frame Ultraviolet Luminosity Function over the First Two Billion Years. Astrophys. J. 2015, 810, 71. [Google Scholar] [CrossRef]
- Atek, H.; Richard, J.; Jauzac, M.; Kneib, J.P.; Natarajan, P.; Limousin, M.; Schaerer, D.; Jullo, E.; Ebeling, H.; Egami, E.; et al. Are Ultra-Faint Galaxies at z= 6–8 Responsible for Cosmic Reionization? Combined Constraints from the Hubble Frontier Fields Clusters and Parallels. Astrophys. J. 2015, 814, 69. [Google Scholar] [CrossRef] [Green Version]
- Livermore, R.C.; Finkelstein, S.L.; Lotz, J.M. Directly Observing the Galaxies Likely Responsible for Reionization. Astrophys. J. 2017, 835, 113. [Google Scholar] [CrossRef]
- Lapi, A.; Danese, L. Cold or warm? Constraining dark matter with primeval galaxies and cosmic reionization after Planck. J. Cosmol. Astropart. Phys. 2015, 2015, 003. [Google Scholar] [CrossRef] [Green Version]
- Kuhlen, M.; Faucher-Giguère, C.A. Concordance models of reionization: Implications for faint galaxies and escape fraction evolution. Mon. Not. R. Astron. Soc. 2012, 423, 862–876. [Google Scholar] [CrossRef] [Green Version]
- Finkelstein, S.L.; D’Aloisio, A.; Paardekooper, J.P.; Ryan, R., Jr.; Behroozi, P.; Finlator, K.; Livermore, R.; Sanderbeck, P.R.U.; Vecchia, C.D.; Khochfar, S. Conditions for Reionizing the Universe with a Low Galaxy Ionizing Photon Escape Fraction. Astrophys. J. 2019, 879, 36. [Google Scholar] [CrossRef] [Green Version]
- Haardt, F.; Madau, P. Radiative Transfer in a Clumpy Universe. IV. New Synthesis Models of the Cosmic UV/X-Ray Background. Astrophys. J. 2012, 746, 125. [Google Scholar] [CrossRef] [Green Version]
- Pawlik, A.H.; Schaye, J.; Van Scherpenzeel, E. Keeping the Universe ionized: Photoheating and the clumping factor of the high-redshift intergalactic medium. Mon. Not. R. Astron. Soc. 2009, 394, 1812–1824. [Google Scholar] [CrossRef] [Green Version]
- Bouwens, R.J.; Illingworth, G.D.; Oesch, P.A.; Caruana, J.; Holwerda, B.; Smit, R.; Wilkins, S. Reionization After Planck: The Derived Growth of the Cosmic Ionizing Emissivity now Matches the Growth of the Galaxy UV Luminosity Density. Astrophys. J. 2015, 811, 140. [Google Scholar] [CrossRef] [Green Version]
- Menci, N.; Cavaliere, A.; Fontana, A.; Giallongo, E.; Poli, F. Binary Aggregations in Hierarchical Galaxy Formation: The Evolution of the Galaxy Luminosity Function. Astrophys. J. 2002, 575, 18–32. [Google Scholar] [CrossRef] [Green Version]
- Calura, F.; Menci, N.; Gallazzi, A. The ages of stellar populations in a warm dark matter universe. Mon. Not. R. Astron. Soc. 2014, 440, 2066–2076. [Google Scholar] [CrossRef] [Green Version]
- Bouwens, R.J.; Oesch, P.A.; Stefanon, M.; Illingworth, G.; Labbé, I.; Reddy, N.; Atek, H.; Montes, M.; Naidu, R.; Nanayakkara, T.; et al. New Determinations of the UV Luminosity Functions from z 9 to 2 Show a Remarkable Consistency with Halo Growth and a Constant Star Formation Efficiency. Astron. J. 2021, 162, 47. [Google Scholar] [CrossRef]
- Bouwens, R.J.; Illingworth, G.D.; Oesch, P.A.; Labbé, I.; van Dokkum, P.G.; Trenti, M.; Franx, M.; Smit, R.; Gonzalez, V.; Magee, D. Uv-continuum slopes of >4000z∼ 4–8 galaxies from the hudf/xdf, hudf09, ers, candels-south, and candels-north fields. Astrophys. J. 2014, 793, 115. [Google Scholar] [CrossRef] [Green Version]
- Mason, C.A.; Treu, T.; Dijkstra, M.; Mesinger, A.; Trenti, M.; Pentericci, L.; de Barros, S.; Vanzella, E. The Universe Is Reionizing at z ∼ 7: Bayesian Inference of the IGM Neutral Fraction Using Lyα Emission from Galaxies. Astrophys. J. 2018, 856, 2. [Google Scholar] [CrossRef] [Green Version]
- Konno, A.; Ouchi, M.; Ono, Y.; Shimasaku, K.; Shibuya, T.; Furusawa, H.; Nakajima, K.; Naito, Y.; Momose, R.; Yuma, S.; et al. Accelerated Evolution of the Lyα Luminosity Function at z ≳ 7 Revealed by the SUBARU Ultra-Deep Survey for Lyα Emitters at z= 7.3. Astrophys. J. 2014, 797, 16. [Google Scholar] [CrossRef] [Green Version]
- Konno, A.; Ouchi, M.; Shibuya, T.; Ono, Y.; Shimasaku, K.; Taniguchi, Y.; Nagao, T.; Kobayashi, M.A.R.; Kajisawa, M.; Kashikawa, N.; et al. SILVERRUSH. IV. Lyα luminosity functions at z=5.7 and 6.6 studied with ≈1300 Lyα emitters on the 14–21 deg2 sky. Publ. Astron. Soc. Jpn. 2017, 70, S16. [Google Scholar] [CrossRef] [Green Version]
- Zheng, Z.Y.; Wang, J.; Rhoads, J.; Infante, L.; Malhotra, S.; Hu, W.; Walker, A.R.; Jiang, L.; Jiang, C.; Hibon, P.; et al. First Results from the Lyman Alpha Galaxies in the Epoch of Reionization (LAGER) Survey: Cosmological Reionization at z ∼ 7. Astrophys. J. 2017, 842, L22. [Google Scholar] [CrossRef] [Green Version]
- Mesinger, A.; Aykutalp, A.; Vanzella, E.; Pentericci, L.; Ferrara, A.; Dijkstra, M. Can the intergalactic medium cause a rapid drop in Lyα emission at z>6? Mon. Not. R. Astron. Soc. 2014, 446, 566–577. [Google Scholar] [CrossRef] [Green Version]
- Ouchi, M.; Harikane, Y.; Shibuya, T.; Shimasaku, K.; Taniguchi, Y.; Konno, A.; Kobayashi, M.; Kajisawa, M.; Nagao, T.; Ono, Y.; et al. Systematic Identification of LAEs for Visible Exploration and Reionization Research Using Subaru HSC (SILVERRUSH). I. Program strategy and clustering properties of ≈2000 Lyα emitters at z = 6–7 over the 0.3–0.5 Gpc2 survey area. Publ. Astron. Soc. Jpn. 2017, 70, S13. [Google Scholar] [CrossRef]
- Schenker, M.A.; Ellis, R.S.; Konidaris, N.P.; Stark, D.P. Line-Emitting Galaxies Beyond a Redshift of 7: An Improved Method for Estimating the Evolving Neutrality of the Intergalactic Medium. Astrophys. J. 2014, 795, 20. [Google Scholar] [CrossRef] [Green Version]
- Weiland, J.L.; Osumi, K.; Addison, G.E.; Bennett, C.L.; Watts, D.J.; Halpern, M.; Hinshaw, G. Effect of Template Uncertainties on the WMAP and Planck Measures of the Optical Depth Due to Reionization. Astrophys. J. 2018, 863, 161. [Google Scholar] [CrossRef] [Green Version]
- Robertson, B.E.; Ellis, R.S.; Furlanetto, S.R.; Dunlop, J.S. Cosmic Reionization and Early Star-Forming Galaxies: A Joint Analysis of New Constraints from Planck and the Hubble Space Telescope. Astrophys. J. 2015, 802, L19. [Google Scholar] [CrossRef] [Green Version]
- Bouwens, R.J.; Smit, R.; Labbé, I.; Franx, M.; Caruana, J.; Oesch, P.; Stefanon, M.; Rasappu, N. The Lyman-Continuum Photon Production Efficiency ξion of z ∼ 4–5 Galaxies from IRAC-Based Hα Measurements: Implications for the Escape Fraction and Cosmic Reionization. Astrophys. J. 2016, 831, 176. [Google Scholar] [CrossRef] [Green Version]
- Yung, L.Y.A.; Somerville, R.S.; Popping, G.; Finkelstein, S.L. Semi-analytic forecasts for JWST—III. Intrinsic production efficiency of Lyman-continuum radiation. Mon. Not. R. Astron. Soc. 2020, 494, 1002–1017. [Google Scholar] [CrossRef]
- Wilkins, S.M.; Feng, Y.; Di-Matteo, T.; Croft, R.; Stanway, E.R.; Bouwens, R.J.; Thomas, P. The Lyman-continuum photon production efficiency in the high-redshift Universe. Mon. Not. R. Astron. Soc. Lett. 2016, 458, L6–L9. [Google Scholar] [CrossRef] [Green Version]
- Madau, P.; Dickinson, M. Cosmic Star-Formation History. Annu. Rev. Astron. Astrophys. 2014, 52, 415–486. [Google Scholar] [CrossRef] [Green Version]
- Eldridge, J.J.; Stanway, E.R.; Xiao, L.; McClelland, L.A.S.; Taylor, G.; Ng, M.; Greis, S.M.L.; Bray, J.C. Binary Population and Spectral Synthesis Version 2.1: Construction, Observational Verification, and New Results. Publ. Astron. Soc. Aust. 2017, 34, e058. [Google Scholar] [CrossRef] [Green Version]
- Trombetti, T.; Burigana, C. Semi-analytical description of clumping factor and cosmic microwave background free–free distortions from reionization. Mon. Not. R. Astron. Soc. 2013, 437, 2507–2520. [Google Scholar] [CrossRef] [Green Version]
- Yajima, H.; Choi, J.H.; Nagamine, K. Escape fraction of ionizing photons from high-redshift galaxies in cosmological SPH simulations. Mon. Not. R. Astron. Soc. 2011, 412, 411–422. [Google Scholar] [CrossRef] [Green Version]
- Puchwein, E.; Haardt, F.; Haehnelt M., G.; Madau, P. Consistent modelling of the meta-galactic UV background and the thermal/ionization history of the intergalactic medium. Mon. Not. R. Astron. Soc. 2019, 485, 47–68. [Google Scholar] [CrossRef] [Green Version]
- Dayal, P.; Ferrara, A. Early galaxy formation and its large-scale effects. Phys. Rep. 2018, 780–782, 1–64. [Google Scholar] [CrossRef] [Green Version]
- Dayal, P.; Volonteri, M.; Choudhury, T.R.; Schneider, R.; Trebitsch, M.; Gnedin, N.Y.; Atek, H.; Hirschmann, M.; Reines, A. Reionization with galaxies and active galactic nuclei. Mon. Not. R. Astron. Soc. 2020, 495, 3065–3078. [Google Scholar] [CrossRef]
- Euclid Collaboration. Euclid preparation—V. Predicted yield of redshift 7 < z < 9 quasars from the wide survey. Astron. Astrophys. 2019, 631, A85. [Google Scholar] [CrossRef] [Green Version]







| DM Model | () |
|---|---|
| LA8 | |
| LA9 | |
| LA10 | |
| LA11 | |
| LA120 | |
| WDM 2 | |
| WDM 3 | |
| WDM 4 |
| Name | ||
|---|---|---|
| WMAP 9 | ||
| Planck 2015 | ||
| Planck 2018 |
| Name | |||||
|---|---|---|---|---|---|
| CDM | - | 23.96 | 0.06 | 24.06 | 0.07 |
| LA8 | 23.98 | 0.06 | 24.09 | 0.08 | |
| LA9 | 24.00 | 0.06 | 24.11 | 0.08 | |
| LA10 | 24.03 | 0.07 | 24.14 | 0.09 | |
| LA11 | 24.06 | 0.07 | 24.16 | 0.09 | |
| LA120 | 24.17 | 0.09 | 24.27 | 0.12 | |
| WDM 2 | 24.11 | 0.08 | 24.21 | 0.10 | |
| WDM 3 | 24.02 | 0.07 | 24.13 | 0.08 | |
| WDM 4 | 23.98 | 0.06 | 24.09 | 0.08 |
| (a) | (b) | |||||
|---|---|---|---|---|---|---|
| Name | (Mpc h) | Model | ||||
| WDM 2 | 276 | |||||
| WDM 3 | 433 | |||||
| WDM 4 | 596 |
| 9 | 0.325 |
| 9.5 | 0.212 |
| 10 | 0.115 |
| 10.5 | 0.132 |
| 11 | 0.031 |
Publisher’s Note: MDPI stays neutral with regard to jurisdictional claims in published maps and institutional affiliations. |
© 2021 by the authors. Licensee MDPI, Basel, Switzerland. This article is an open access article distributed under the terms and conditions of the Creative Commons Attribution (CC BY) license (https://creativecommons.org/licenses/by/4.0/).
Share and Cite
Romanello, M.; Menci, N.; Castellano, M. The Epoch of Reionization in Warm Dark Matter Scenarios. Universe 2021, 7, 365. https://doi.org/10.3390/universe7100365
Romanello M, Menci N, Castellano M. The Epoch of Reionization in Warm Dark Matter Scenarios. Universe. 2021; 7(10):365. https://doi.org/10.3390/universe7100365
Chicago/Turabian StyleRomanello, Massimiliano, Nicola Menci, and Marco Castellano. 2021. "The Epoch of Reionization in Warm Dark Matter Scenarios" Universe 7, no. 10: 365. https://doi.org/10.3390/universe7100365
APA StyleRomanello, M., Menci, N., & Castellano, M. (2021). The Epoch of Reionization in Warm Dark Matter Scenarios. Universe, 7(10), 365. https://doi.org/10.3390/universe7100365

