Abstract
TYC 622-742-1 and TYC 1193-1918-1 are evolved metal-poor (MP) high-speed stars with r-enhanced characteristics discovered in the Milky Way (MW) halo. The study of these halo stars is important for clarification of and knowledge about their origin. We employ the abundance decomposition method to fit the observed abundances of 25 elements in TYC 622-742-1 and 24 elements in TYC 1193-1918-1, representing the largest number of elements fitted in the current observed dataset. We analyze the astrophysical formation sites of both sample stars by calculating their abundance ratios and component ratios. The calculation results suggest that both stars originated in a gas cloud that was contaminated by the ejecta of primary and main r-process materials such as those from a neutron star merger (NSM), which enriched their heavy neutron-capture elements (HNCEs), and the material from the massive stars (), which enriched their primary light, iron-group, and lighter neutron-capture elements (LNCEs). This implies that TYC 622-742-1 and TYC 1193-1918-1 are the main r-process-enhanced stars with strong primary-process contributions. We find that the component coefficients of the sample stars closely resemble those of metal-poor Galactic populations, indicating a probable origin within the MW. Furthermore, the -enhanced abundance patterns and orbital trajectories suggest that both stars likely formed in the Galactic disk, possibly within a globular cluster (GC), and were subsequently ejected into the halo through dynamical processes.
1. Introduction
Stars with extremely poor metallicities are typically ancient and generally considered cosmic fossils due to their abundance patterns, which contain information about the early phases of galactic evolution. The study of elemental abundance patterns is important for understanding the chemical evolution of galaxies and enriching nucleosynthesis theory, which explains the formation of elements in stars and other astrophysical processes. The elements with atomic numbers (8 ≤ Z ≤ 20) are referred to as light elements, which are primarily synthesized through fusion processes in the cores of stars during stellar evolution. The group of elements with atomic numbers (21 ≤ Z ≤ 30) are known as iron-group elements. These elements are predominantly formed through explosive nucleosynthesis in supernovae and represent the final products of stellar fusion in massive stars. Elements with Z > 30 are categorized as neutron-capture (n-capture) elements. They are divided into light neutron-capture elements (LNCEs) for 31 ≤ Z < 56 and heavy neutron-capture elements (HNCEs) for Z ≥ 56 [1]. The synthesis of n-capture elements in the cosmos is primarily driven by two distinct processes: the slow neutron-capture process (s-process) and the rapid neutron-capture process (r-process) [2].
Theoretical models of nucleosynthesis and observational data suggest that these two processes occur in distinct physical conditions and cosmic environments. The s-process primarily occurs in the vicinity of the -stability valley, as the time interval between consecutive neutron captures is significantly longer than -decay. It can be further categorized into the main s-process and the weak s-process. The main s-process occurs during the asymptotic giant branch (AGB) phase of stars with medium and low masses (1.3–8 ). In contrast, the weak s-process occurs during the core He-burning and C-shell-burning phases of massive stars [3]. The r-process often takes place in a very energetic cosmic environment. Due to the substantial absorption of neutrons by the target nuclei, the nuclei become highly unstable, posing significant challenges in investigating the source of r-process elements [1]. Empirical evidence indicates that the distribution of HNCEs (with atomic number ) in some extremely metal-poor (EMP) Galactic halo stars aligns with the abundance pattern of solar r-process elements [4]. The process responsible for generating such an abundance pattern is termed the “main r-process” [5]. The star CS 22892-052 is commonly referred to as the “main r-process star” [6]. A binary neutron star merger is widely regarded as the most likely astrophysical event to have generated the “main r-process star” [7,8,9]. Another promising site of the main r-process event is O–Ne–Mg core-collapse supernova II with a progenitor of 8–10 M ⊙ [10]. This supernova ejects material that is rich in neutrons. The collapse of the O–Ne–Mg core can contribute to the main r-process under high neutron density and high temperature. Meanwhile, certain researchers have discovered that an additional r-process is necessary to elucidate the abundance pattern of the solar r-process. The process is referred to as the lighter element primary process [11], or “weak r-process” [12], in which the production of LNCEs (38 ≤ Z < 56) exceeds that of the HNCEs. Some EMP stars, such as HD 122563, exhibit a unique abundance pattern that resembles the weak r-process. Consequently, they are often referred to as `weak r-process stars’ [13,14]. The r-process-enriched stars offer crucial insights into the characteristics of the r-process, aiding in the advancement of our comprehension and investigation of its cosmic origin. A sample of rare, old, highly MP stars with a large relative increase in heavy elements linked to the r-process has been studied in stellar archaeology for about three decades. They are located in the outer regions of the MW, specifically in the Galactic halo (R) [15,16]. Astronomers categorize the various levels of r-process enhancement in these stars using the following method. To confirm that the n-capture element content of r-process stars does not come from the s-process, they must meet the requirement of [Ba/Eu] < 0 [17]. Mildly enriched r-process stars with 0.3 ≤ [Eu/Fe] ≤ 0.7 are termed r-I stars. The stars exhibiting [Eu/Fe] > 0.7 are classified as r-II stars because of their strong enhancement characteristics of the r-process [17]. The categorization of these stars indicates their varying degrees of europium enrichment, which serves as an indicator of r-process activity. Previous studies indicate that the abundance pattern of HNCEs () in both r-I and r-II stars aligns well with the solar-scaled r-process pattern. However, abundances of LNCEs in these stars may not be consistent with the solar-scaled r-process pattern. This suggests that the main r-process may be considered a universal nucleosynthesis mechanism [18,19,20]. A clean r-process signature can only be seen in r-II stars that have been fully unaffected or have minor contamination from the s-process. [21].
Spectroscopic analysis of old stars in the MW has indicated that a small percentage of halo stars in the local field have significant enrichment in r-process elements, including europium (Eu, ) [15]. Presently, there are about 160 stars that have been identified with [Eu/Fe] > +0.7 and [Eu/Ba] > 0, and these stars are categorized as r-II stars [22]. Their extremely enhanced Eu abundances and their old ages suggest that each r-II star originated in a system contaminated by Eu-rich material expelled from a single r-process event, such as an NSM [23].
TYC 622-742-1 and TYC 1193–1918–1 deserve special attention due to their high velocities and enrichment in the r-process elements, i.e., and , respectively [24]. According to the above criteria, these two stars are categorized as r-II and r-I stars, respectively. The firm resemblance between the abundance patterns of the HNCEs in these stars and the r-process pattern observed in the solar system is quite remarkable. Moreover, the Galactocentric orbital parameters of TYC 622-742-1 ( kpc, kpc, and kpc) and TYC 1193–1918–1 ( kpc, kpc, and kpc) indicate that both stars are consistent with a Galactic halo origin [24].
The observed abundances of MP stars in the Galactic halo suggest that the primary light and iron-group elements may be produced along with weak r-process elements in many sites [25,26]. Although the production mechanisms of weak r-process elements and light and Fe-group elements are different, they are all synthesized by massive stars. As these massive stars reach the end of their evolutionary life cycle, they eject weak r-process elements along with light elements and Fe-group elements, which are considered part of the primary component. Therefore, in the following, we refer to the joint production of these three groups of elements as the primary process. The most promising astrophysical origins of primary light elements together with iron-group elements and weak r-process elements are massive stars (). The weak r-process elements are synthesized during core-collapse supernovae, where neutrino-driven winds from the proto-neutron star create neutron-rich conditions, facilitating the production of LNCEs like Sr, Y, Zr, etc. So, by taking advantage of typical weak r-process stars HD 122563 and HD 88609, Li et al. [27] extracted the primary component and successfully fitted the observed abundances of 30 EMP stars. It is worth noting that some very MP stars have extremely low [Sr/Fe] values (e.g., [Sr/Fe] < ). The light and iron-group elements in these stars are likely to have contributions from early supermassive stars, i.e., the `prompt component’ (P component). The P component may come from the first generation of very massive stars. These stars produce the initial abundance of Fe and associated elements corresponding to [Fe/H] , and the observed abundances of the MP stars with [Sr/Fe] < should be representative of the P component. The low [Sr/Fe] values indicate that these stars mainly produce iron-group and light elements, with very few n-capture elements [28]. Improving our knowledge of the roles played by particular neutron-capture processes with different metallicities requires more in-depth investigations of MP stars. These considerations motivated us to initiate the abundance study of TYC 622-742-1 and TYC 1193-1918-1, in which light elements (), iron-group elements (), LNCEs (), and HNCEs () are observed. In addition, a detailed analysis of the stars’ kinematic behavior has been undertaken to reconstruct their orbital histories and pinpoint their likely sites of origin. Tracing back their birthplaces is essential to understanding the processes behind their present-day high velocities. Identifying these origins helps differentiate between stars formed within the MW and those accreted from external systems (see [29]). This investigation is fundamental to interpreting their dynamical evolution and broader implications for Galactic archaeology.
In Section 2 we first explain how the literature abundances of TYC 622-742-1 and TYC 1193-1918-1 were obtained. We then use a model with three separate components, each reflecting a different nucleosynthesis process, to fit the observed abundances of TYC 622-742-1 and TYC 1193-1918-1 and propose the possible astrophysical origin of elements in both sample stars. In Section 3, using the abundance fitting results, we analyze the formation of TYC 622-742-1 and TYC 1193-1918-1. The potential origins of the high velocities observed in the sample stars are examined in detail in Section 4, and the conclusions drawn from this study are presented in Section 5.
2. The Astrophysical Origins of Elements in TYC 622–742–1 and TYC 1193-1918-1
The abundances used in this work were retrieved from the work by Matas Pinto et al. [24]. The two stars were observed with a High-Dispersion Spectrograph (HDS) on the Subaru Telescope [30]. Matas Pinto et al. [24] performed synthetic spectrum calculations using Turbospectrum [31] and ATLAS 12 models [32] for the analysis of heavy elements. The data reduction followed the standard procedures provided by the IRAF Echelle package. In that work, they used the MyGIsFOS pipeline [33] to extract the atmospheric parameters of the sample stars, including metallicities and chemical abundances, from high-resolution optical spectra. This pipeline interpolates a pre-computed grid of synthetic spectra to determine which model best matches each analyzed feature.
From the elemental abundance dataset given by Matas Pinto et al. [24], a fitting procedure for the abundance patterns of 25 elements in TYC 622-742-1 and 24 elements in TYC 1193-1918-1 has been conducted in this work.
2.1. Model and Calculations
The production of chemical elements in stars involves multiple mechanisms. Usually, they originate from stellar nurseries, which are the birthplaces of stars. These nurseries contain a mixture of primordial elements, such as hydrogen and helium, as well as heavier elements produced by earlier generations of stars. Our research begins to investigate the origin of the n-capture elements in TYC 622-742-1 and TYC 1193-1918-1 by comparing the observed abundances to the predicted contributions from the main s-process, main r-process, and primary process. To quantify this, we use the following equation to calculate the abundance of the ith element in a star [34].
where , , and denote the abundances of the ith element resulting from the main s-, main r-, and primary process, respectively, whereas , , and are the related component coefficients. These component coefficients provide useful insights into the relative contributions of various astrophysical processes to the abundances in the sample stars, which are then compared to the solar system coefficients. We use the component coefficients , , and all equal to 1 as a standard for the solar system [27]. This approach allows for a better comparison of the astrophysical mechanisms contributing to the elemental abundances of our sample stars compared to the solar system. If the component coefficients for the sample stars are less than 1, it indicates that the associated astrophysical mechanisms contribute less to the sample stars than to the solar system and vice versa. These coefficients can be derived by comparing the calculated abundances with the observed abundances and looking for the smallest . and for both sample stars are taken from [27]. Since primary light elements and weak r-process elements are ejected from massive stars, encompasses their abundances. The main s-process abundances are obtained from [35]. Here, we adopt the 1.3 model of [Fe/H] = −2.3 with ST and 1.3 model of [Fe/H] = −1.6 with ST for TYC 622-742-1 and TYC 1193-1918-1, respectively. The ST case is a standard AGB model incorporating a 13C-pocket, a localized intershell region enriched with 13C, which acts as the primary neutron source via the 13C(α, n)16O reaction during the s-process. It was adopted by Gallino et al. [36] and so named by later scholars. This amount of 13C for AGB stars in the 1.5–3 mass range at [Fe/H] = −0.3 appears to explain the main solar component of the s-process. The abundances of elements in the models provided by Bisterzo et al. [35] are normalized to the main s-process Ba abundance in the solar system.
The three coefficients in Equation (1) are derived by utilizing the statistic, mathematically expressed as follows:
where and denote the observed abundance and its associated error for the ith element, which are obtained from [24]. represents the corresponding calculated abundance of the ith element, derived using Equation (1). For TYC 622-742-1 and TYC 1193-1918-1, the total number of elements (K) analyzed in this framework is 25 and 24, respectively, while the number of free parameters () is fixed at 3 in both cases. In our calculations, we obtained minimum values of 1.35 for TYC 622-742-1 and 0.76 for TYC 1193-1918-1. We obtained three component coefficients for both sample stars, which are listed in Table 1.
Table 1.
Three component coefficients of the sample stars.
The results of the component coefficients can be used to describe the origin of the elements in the sample stars. It is clear that the values of and are larger than that of in both sample stars, indicating that the n-capture elements in TYC 622-742-1 and TYC 1193-1918-1 mainly came from the r-process. The values ( for TYC 622-742-1 and for TYC 1193-1918-1) indicate that the main s-process contributed minimally to the synthesis of HNCEs in both stars. The values are still more dominant than the main s-process component coefficients, which suggests that the main r-process is responsible for the birth of HNCEs in both sample stars. However, the contribution of the primary process cannot be ignored. These findings give preliminary evidence that both stars exhibit characteristics associated with those found in main r- and primary process stars. In the next section, we will discuss how these two processes contribute to the birth of LNCEs and HNCEs.
Figure 1 and Figure 2 illustrate the best fit between the calculated and observed abundances of TYC 622-742-1 and TYC 1193-1918-1, respectively. The top panels present the calculated abundances (solid line) alongside the observed abundances (filled circles), while the bottom panels present the relative offsets () with their corresponding observational uncertainties. The dotted lines in the bottom panels of both figures represent the standard calculated errors in . These results demonstrate that the calculated abundances for primary light, Fe-group, and n-capture elements are in good agreement with the observations, validating the theoretical model for astrophysical interpretation. The value in the component model is sensitive to both uncertainties in the observational data and errors inherent in the model itself. As the parameter K increases, serves as a reliable metric for comparing the relative offsets and observational errors. For the best-fitting results, the value of should be close to 1, or of the order of unity. This indicates that the relative offsets are nearly equal to the observed errors. Based on the discussion above, our value for each of the two sample stars can be considered satisfactory.
Figure 1.
Top panel: Best fit of the calculated abundances of 25 elements in TYC 622-742-1 (solid line) compared to the observed abundances (filled circles with error bars). Bottom panel: Relative offsets (), along with observed uncertainties and standard calculated errors in (dotted lines).
Figure 2.
Same as Figure 1 but for the star TYC 1193-1918-1.
2.2. The Astrophysical Origins of Elements in TYC 622-742-1 and TYC 1193-1918-1
To investigate the astrophysical origin of elements in TYC 622-742-1 and TYC 1193-1918-1, we calculate the abundance ratios and component ratios of the sample stars. Figure 3 and Figure 4 present a comparison of observed and calculated abundance ratios, along with component ratios, for the two stars. We can see that the contribution of the main s-process to the synthesis of HNCEs in both stars is negligible.
Figure 3.
The observed abundance ratios, calculated abundance ratios, and component ratios of TYC 622-742-1. The component ratios include the ratios of the main s-, main r-, and primary process components, respectively. denotes the logarithmic abundance of element X relative to hydrogen, compared to the solar value.
Figure 4.
Same as Figure 3 but for the star TYC 1193-1918-1.
The relative contribution ratios of the main r-process to n-capture elements in both sample stars are calculated as follows:
where the meanings of , , , , , and are the same as in Equation (1). The values of , , and are 7.34, 3.92, and 0.1 for TYC 622-742-1 and 3.12, 3.03, and 0.4 for TYC 1193-1918-1, respectively. We also calculated the relative contribution ratios of the primary process and the main s-process to the n-capture elements using Equation (3). The calculated results are shown in Figure 5. The y-axis represents the relative contribution ratios of each astrophysical process. The blue-, red-, and green-filled circles represent the contribution ratios of the main s-process (), main r-process (), and primary process () to the n-capture elements, respectively.
Figure 5.
Comparison of relative contribution ratios of main s-, main r-, and primary process to the n-capture elements in TYC 622-742-1 (left) and TYC 1193-1918-1 (right). Blue-, red-, and green-filled circles represent ratios of the main s- (), main r- (), and primary process () contribution to the n-capture elements, respectively.
As shown in Figure 5, the contribution ratios of the main s-process to the n-capture elements in TYC 622-742-1 and TYC 1193-1918-1 are very low. In addition, we can also see in the left panel of Figure 5 that the contribution ratios of primary process to Sr, Y, and Zr are 0.5, 0.58, and 0.59, while the ratios of contribution to Ce, Pr, Nd, Sm, and Eu are around 0.08, 0.22, 0.03, 0.04, and 0, respectively. An almost similar pattern can be seen in the right panel of Figure 5. The contribution of the main r-process is dominant for HNCEs.
3. Analysis of the Formation of TYC 622-742-1 and TYC 1193-1918-1
The star HD 222925 [Fe/H] = −1.46 is an r-II star with [Eu/Fe] = 1.32 lying in the MW halo [37]. We compare the abundance pattern of TYC 622-742-1 with that of HD 222925 (see Figure 6). We take the abundance of similar elements of HD 222925 to our sample star TYC 622-742-1 for better comparison. We first normalize the abundance of all elements in HD 222925 to the Fe abundance of TYC 622-742-1 and then to the Eu abundance of TYC 622-742-1.
Figure 6.
Comparison of the observed abundance pattern of TYC 622-742-1 with that of HD 222925. In the left panel, the abundances of HD 222925 are normalized to the Fe abundance of TYC 622-742-1, while in the right panel, they are normalized to the Eu abundance of TYC 622-742-1. The observed abundances of TYC 622-742-1 are black squares, and those of HD 222925 are red circles. The relative abundance offsets () are displayed in the bottom panels.
It is clear from Figure 6 that all the light elements (), iron-group elements (), LNCEs (), and HNCEs () of TYC 622-742-1 are in good agreement with the observed pattern of HD 222925. By comparing the observed and theoretical abundances of HD 222925, it was suggested that the HNCEs in HD 222925 mainly originated from a single, high-yield r-process event, likely to be an NSM [38].
It is evident from the model predictions by [38] for HD 222925 and those of our sample star that the main r-process coefficient shows a significant dominance over the main s-process coefficient (see Figure 1). Considering these similarities we can infer that TYC 622-742-1 should be a main r-process-enhanced star in which the main r-process is accountable for synthesizing HNCEs like Europium (Eu), whereas lighter elements, such as those within the iron group, are likely generated through primary process mechanisms. Notably, the main r-process elements appear to be synthesized independently from all light elements spanning from oxygen (O) to Fe-group elements, which are the prominent characteristics of main r-process stars.
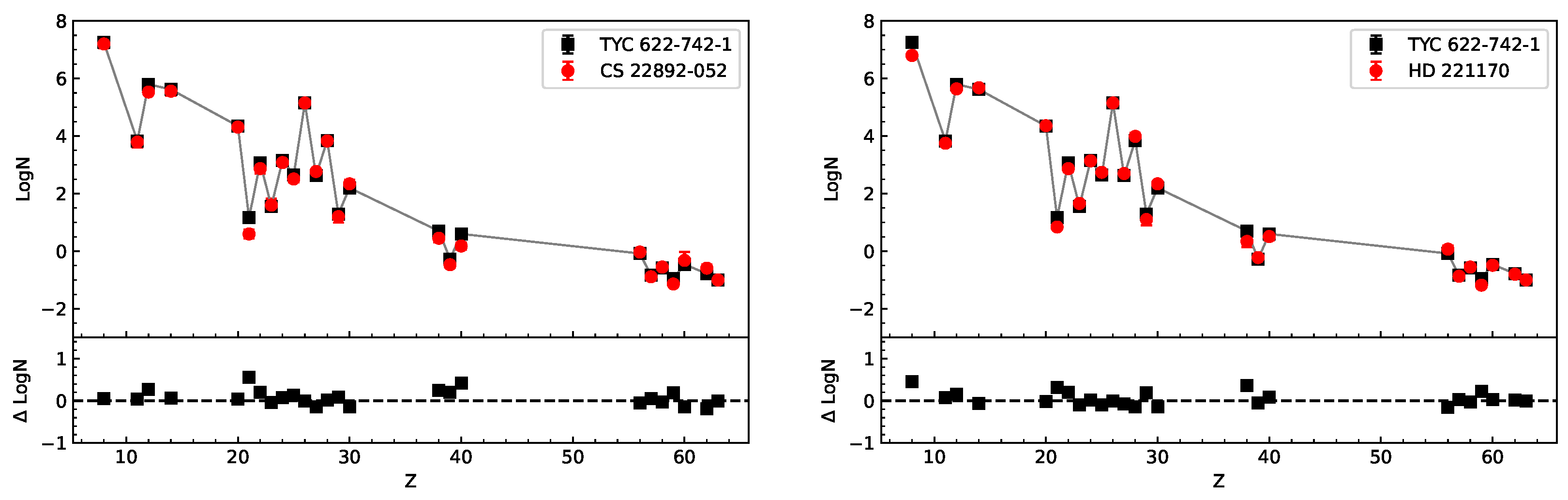
We compare the observed abundances of our sample star TYC 622-742-1 with those of two other r-rich halo stars, CS 22892-052 and HD 221170 [6,18], to support our argument (see Figure 7. The abundances of light and iron-group elements of CS 22892-052 and HD 221170 are normalized to the Fe abundance of TYC 622-742-1, while their n-capture elements are normalized to its Eu abundance. We can see that all the element abundances from primary light to HNCEs of CS 22892-052 and HD 221170 are in good agreement with those of TYC 622-742-1. A previous study suggested that primary light, iron-group, and LNCEs originate in the cores of very massive stars () as primary yields [39].
Figure 7.
Elemental abundance pattern of TYC 622-742-1 compared to that of CS 22892-052 (left panel) and HD 221170 (right panel). The light and iron-group elements of CS 22892-052 and HD 221170 are normalized to the Fe abundance of TYC 622-742-1, while their heavy elements are normalized to its Eu abundance. The bottom panels display the relative abundance offsets ().
Combined with the analysis in Section 2, we hypothesize that TYC 622-742-1 was likely born at a place that was contaminated by the ejecta of an NSM, which enriched its HNCEs, and the material from a massive star (), which enriched its primary light, iron-group, and LNCEs. We can apply the same reasoning to our other sample star, TYC 1193-1918-1, since the main r-process and primary process mechanisms are similar to those in TYC 622-742-1. We therefore suggest that both of our sample stars are/or have similar element-abundance-enhanced mechanisms, with the main r-process-enhanced stars having significant primary process contributions.
We present the component coefficients of our sample stars on a logarithmic scale along with those of HD 222925, HD 221170, and CS 22892-052 as a function of metallicity (see Figure 8). The component coefficients of CS 22892-052 and HD 221170 were calculated by Li et al. [27] using the formula . Here, represents the prompt component abundances and is the component coefficient of the prompt component. The theoretical abundances of the P component were extracted by Li et al. [27] from an EMP star BD-185550. Since the [Sr/Fe] ratio of BD-185550 is very low, its abundances have contributions from early massive stars. They calculated the P component coefficients for MP stars using the abundance decomposition method. Wen et al. [38] studied HD 222925 using a similar method and derived the coefficient. This analysis provides valuable insights. It is observed that the stars at intermediate metallicities, such as TYC 622-742-1 and HD 221170, exhibit moderate values of . This suggests that these stars formed in an environment where the interstellar medium (ISM) had already undergone substantial nucleosynthetic enrichment beyond the earliest r-process events, such as neutron star mergers or rare supernovae. In contrast, TYC 1193-1918-1 with [Fe/H] = −1.6 shows lower values compared to other stars, suggesting that the interstellar medium (ISM) from which this star formed was more diluted. This dilution occurs as a result of mixing with less enriched material, which could reflect a longer period of star formation. Moreover, the slightly lower log C values of TYC 1193-1918-1 suggest that the star has been influenced by multiple astrophysical processes, potentially from processes associated with core-collapse supernovae.
Figure 8.
The of component coefficients of five stars as a function of metallicity. The filled blue and red circles are the of the main r-process component coefficients and primary process component coefficients, respectively.
It can be seen that the primary component coefficients of all five stars show little deviation, even when varying the metallicity. This means that the relative contributions of massive stars to the clouds forming these stars are similar. The large values of the main r-components of CS 22892-052 and HD 222925 are due to the significant main r-process contribution [38]. This discussion supports the argument that our sample stars are main r-process-enhanced stars with strong primary process contributions.
We compare the component coefficients of TYC 622-742-1 and TYC 1193-1918-1 with those of EMP stars in the MW halo. The component coefficients of the EMP Galactic halo stars are reported in [27]. These coefficients were calculated in the same way as in this work; however, these EMP stars lack an s-process contribution. The results are represented in Figure 9. The open circles denote the main r-process component coefficients, while the filled circles represent the primary process component coefficients of the MP Galactic halo stars. The open stars correspond to their prompt coefficients. We checked the contribution of the P component in our sample stars by adding it in Equation (1) and refit their observed abundances. We find that there is no contribution from the P component to our sample stars, and the calculated results are almost unchanged, although the P component abundances exist in some EMP stars and decrease rapidly with increasing metallicities. We find that the coefficients of the two sample stars are more similar to those of Galactic halo stars. This similarity suggests that our sample stars likely share a common origin or evolutionary history with the MP stars of the Galactic halo. Matas Pinto et al. [24] reported that TYC 622-742-1 and TYC 1193-1918-1 exhibit chemical compositions comparable to other Galactic halo stars with similar metallicities. Their kinematic properties indicate that both stars belong to the Galactic halo but are not associated with the Gaia Sausage/Enceladus. Such a result aligns with the hypothesis that these stars were formed in the early stages of the Milky Way’s formation. This relationship provides crucial information about the chemical enrichment processes in the early Galaxy and supports the idea that the halo is composed of stars with distinct nucleosynthetic histories. The similarity of the component coefficients of the sample stars with those of known halo stars further reinforces their classification as part of the Galactic halo, enhancing our understanding of Galactic structure and stellar populations.
Figure 9.
Comparison of the component coefficients of sample stars with those of MP stars of the Galactic halo. Open circles represent the main r-process coefficients, filled circles indicate the primary process coefficients, and open stars denote the prompt coefficients of Galactic halo stars. The filled black squares and triangles are the main r-process and primary process component coefficients of TYC 622-742-1 and TYC 1193-1918-1, respectively. The solid line represents the solar system’s component coefficients.
4. Potential Origins of Our High-Velocity Stars
Matas Pinto et al. [24] reported a radial velocity of for TYC 622-742-1 and for TYC 1193-1918-1. Unless we accept that these stars were formed with such unusually high velocities, we are compelled to consider that they must have been accelerated after birth. Let us, therefore, examine the possible astrophysical mechanisms responsible for such acceleration:
- Merging of an external galaxy with the Milky Way.
- Origin in an external galaxy (e.g., Andromeda) and ejection via interaction with its central black hole [40].
- A star in a binary system with a massive primary that ended its life as a supernova (SN), imparting a “kick” to the secondary.
- A star in a hierarchical triple system, where a massive primary exploded as an SN, ejecting the outer binary pair.
- The stars could have been born in a low-mass (i.e., open) star cluster, which dissolved within a few hundred Myr or faster and which formed even before the globular clusters (GCs) formed in the population II halo. Indeed, that all of the population II halo could have come from a population of star clusters that formed during the very early collapse of the proto-Galactic gas cloud and before the MW disk started to form has been shown in [41];
- Origin in a GC and ejection through gravitational interaction with an intermediate-mass black hole (IMBH) at the cluster’s center [42].
The -enhanced nature of our sample stars suggests that they belong to the Milky Way, rather than having an external origin: and . Scenario 1 would require a relatively massive merging galaxy (though still smaller than the MW) with uniform ratios across the metallicity range of our stars—an unlikely condition. Simulations by Jean-Baptiste et al. [43] predict both MW and accreted stars in this phase space, but accreted stars typically show lower -enhancement. Since our sample lacks this split and instead shows uniformly high ratios, a Galactic origin is strongly favored. Scenario 2 requires a binary system passing near a supermassive black hole in an external galaxy. One star can be captured in such interactions, while the other is ejected at high velocity. This scenario is considered rare, but not impossible. Scenarios 3 and 4 are less likely based on chemical signatures. If the stars were once part of a binary system with a massive companion that went SN, we would expect an enhancement in s-process elements due to mass transfer, which is not observed. Scenario 5 is a plausible pathway that warrants thoughtful consideration in the context of early Galactic evolution. Scenario 6 is the most compelling. Although direct observational evidence for IMBHs in GCs remains inconclusive, strong theoretical support exists [44]. Two main points make this scenario plausible:
- The ratios in our sample are consistent with GC origins, as stars in GCs are typically -enhanced.
- The presence of Na–O anticorrelation, a characteristic of GCs, is also observed in our sample [45].
GCs are compact stellar systems (typical half-light radius: 3–5 pc), bright (mean absolute visual magnitude ) and old (age ∼10 Gyr) [46]. Within the MW, they are predominantly found in the halo, thick disk, and bulge, but are absent in the thin disk. Given their abundance in the halo and thick disk, GCs are often metal-poor and show extreme kinematics [47].
Based on the above discussion, we compare the ratios of our sample stars with those of two GCs, namely M22 and NGC 5286 [48,49] (see left panel of Figure 10). M22 lies nearly in the plane of the Milky Way, towards the bulge, while NGC 5286 is located at a distance of 8.9 kpc from the Galactic Centre and 11.7 kpc from the Sun, placing it likely in the halo of the MW. In both clusters, the metallicities of stars span from [Fe/H] to , i.e, MP to mildly metal-rich, similar to our sample stars. Furthermore, both clusters consist of stars in the red giant branch (RGB) phase, consistent with the evolutionary stage of our sample stars. The elemental abundance patterns observed in TYC 622-742-1 and TYC 1193-1918-1, particularly their positions in the versus [Fe/H] diagram, suggest an origin in environments where star formation occurred rapidly during the early stages of Galactic evolution, such as GCs or proto-Galactic building blocks. The enhanced ratios of our stars reflect enrichment dominated by core-collapse supernovae and are comparable to those observed in M22 and NGC 5286. Moreover, the elevated [O/Fe] and suppressed [Na/Fe] ratios in our sample stars are consistent with the chemical signatures of first-generation GC stars. These stars likely formed before the onset of internal cluster enrichment processes that generate the well-known Na–O anticorrelation (see right panel of Figure 10). These features collectively support the conclusion that our sample stars were dynamically expelled from their birth clusters via dynamical interactions or tidal stripping. While they do not appear to be directly associated with M22 or NGC 5286, their position in the Na–O plane aligns with the first-generation stars likely ejected from GCs. It is plausible that their parent systems are no longer gravitationally bound or may have been entirely disrupted.
Figure 10.
Left panel: Comparison of the ratios of our sample stars with those of two GCs, M22 and NGC 5286. Right panel: Distribution of [Na/Fe] versus [O/Fe] for the same clusters. The filled cyan and red circles represent stellar populations from M22 and NGC 5286, respectively. Our sample stars are overplotted for reference, illustrating their chemical similarity to first-generation GC stars.
The kinematic and chemical characteristics of the high-velocity stars TYC 622-742-1 and TYC 1193-1918-1 provide valuable insights into their origins and dynamical histories. Using the Galpy package [50], we modeled the orbital backtracking of these stars within a Galactic potential over a timescale of approximately 12 Gyr, as suggested by Matas Pinto et al. [24]. The results are presented in Figure 11, where the upper row illustrates the orbital evolution of TYC 622-742-1 and the lower row corresponds to TYC 1193-1918-1. In each row, the left panel shows the orbit projected in the Galactic plane, while the right panel depicts motion in cylindrical R–Z coordinates. The color gradient traces the temporal progression of each orbit in Gyr. Red squares mark the inferred birth locations of the stars, and black squares indicate their present positions.
Figure 11.
Orbital backtracking of TYC 622-742-1 (top) and TYC 1193-1918-1 (bottom), with an estimated travel time of approximately 12 Gyr. The left panels illustrate each star’s orbit in the Galactic plane, while the right panels show their trajectories in R–Z space. The color gradient represents the travel time in Gyr. Red squares indicate the stars’ inferred birthplaces, and black squares mark their current positions.
The -plane projections reveal highly eccentric, non-circular orbits, typical of dynamically heated stellar populations, while the -plane projections demonstrate significant vertical excursions from the Galactic plane, suggesting that both stars experienced dynamical ejection or perturbation. Although they are currently located in the Galactic halo, their inferred birth positions suggest origins closer to the Galactic disk. TYC 622-742-1 likely formed at kpc, kpc, consistent with the outer thick disk, whereas TYC 1193-1918-1 appears to have originated at kpc, kpc, indicative of the inner thick disk or disk–halo interface.
The enhanced -element abundances in both stars further support an MW origin and disfavor formation in dwarf galaxies. Taken together, the kinematic and chemical evidence strongly suggests that TYC 622-742-1 and TYC 1193-1918-1 were likely born in the Galactic disk, possibly within GCs, and were subsequently ejected into the halo. These stars, now part of the halo population, preserve the nucleosynthetic signatures of their GC origins. It is important to note that these suggestions are highly dependent on the evolution of the MW’s potential and we expect the early phase of the assembly of its population II halo to have been violent such that orbits of the stars and star clusters are likely to have been significantly rearranged as the process of the early formation proceeded.
5. Conclusions
MP stars retain nucleosynthesis traces from early galaxies; therefore their element abundance patterns are critical in constraining the phenomenon of galactic nucleosynthesis in low-metallicity conditions. R-process-enhanced stars contain critical information for determining the astrophysical origin of elements and r-process findings. In this study, we utilize the three-component model to investigate the elemental abundances and possible astrophysical sources of elements in the r-process-enhanced stars TYC 622-742-1 and TYC 1193-1918-1. We conclude with the following points:
- The component coefficients, , , and for TYC 622-742-1 and , , and for TYC 1193-1918-1, are derived, which suggest that the main s-process contribution is negligible for the synthesis of HNCEs in the sample stars.
- The light, Fe-group, and LNCEs are produced by the primary process, while the HNCEs () in TYC 622-742-1 and TYC 1193-1918-1 dominantly come from the main r-process. We suggest that both sample stars were born in a gas cloud contaminated with main r- and primary process materials.
- We compare the observed abundances of TYC 622-742-1 with those of the r-II star HD 222925, located in the Galactic halo. We find that all the light elements (), iron-group elements (), LNCEs (), and HNCEs () in TYC 622-742-1 are in good agreement with the observed abundances in HD 222925. Previous studies have explained that the HNCEs in HD 222925 are produced by a single r-process yield event, such as an NSM [37]. Our fitted results agree with these studies. Considering these similarities, we can infer that the synthesis of HNCEs in TYC 622-742-1 is likely the result of a main r-process event, such as an NSM. We extend this comparison to TYC 1193-1918-1, as its main r-process and primary process mechanisms closely resemble those of TYC 622-742-1.
- The coefficients of the two sample stars are more similar to Galactic halo stars. This similarity suggests that our sample stars likely share a common origin or evolutionary history with the MP stars of the Galactic halo, which is consistent with the conclusions of Matas Pinto et al. [24]. Using the decomposition method, we further quantitatively obtain the contributions of various astrophysical sources to the sample stars.
- The orbital dynamics and -enhanced compositions of both stars suggest that they originated in the MW disk, possibly from GCs, and were later displaced into the halo through dynamical interactions. Alternatively, the sample stars could have been formed in low-mass clusters that dissolved within a few hundred Myr as part of the forming population II halo [41].
We hope that our results in this work can provide more information and more constraints on studying the astrophysical origins of the n-capture elements of r-process-enhanced stars.
Author Contributions
Conceptualization, W.C. and J.S.; data curation, M.Z.A.; investigation, H.L.; writing—original draft, M.Z.A.; writing—review and editing, W.C. and H.L.; Validation, W.C., H.L. and J.S. All authors have read and agreed to the published version of the manuscript.
Funding
This study was supported by the National Key Basic R&D Program of China No. 2024YFA1611903, the National Natural Science Foundation of China under grant No. 12173013, the project of the Hebei Provincial Department of Science and Technology under grant No. 226Z7604G, and the Key Development Foundation of Hebei Normal University with grant No. L2025ZD01.
Data Availability Statement
The data presented in this study are available upon request from the corresponding author.
Acknowledgments
Muhammad Zeshan Ashraf expresses his appreciation to Zhicun Liu for his technical assistance in constructing the orbital backtracks of the sample stars.
Conflicts of Interest
The authors declare no conflict of interest.
References
- Sneden, C.; Cowan, J.J.; Gallino, R. Neutron-capture elements in the early galaxy. Annu. Rev. Astron. Astrophys. 2008, 46, 241. [Google Scholar] [CrossRef]
- Burbidge, E.M.; Burbidge, G.R.; Fowler, W.A.; Hoyle, F. Synthesis of the elements in stars. Rev. Mod. Phys. 1957, 29, 547. [Google Scholar] [CrossRef]
- Busso, M.; Gallino, R.; Wasserburg, G.J. Nucleosynthesis in asymptotic giant branch stars: Relevance for galactic enrichment and solar system formation. Annu. Rev. Astron. Astrophys. 1999, 37, 239. [Google Scholar] [CrossRef]
- Sneden, C.; Cowan, J.J.; Ivans, I.I.; Fuller, G.M.; Burles, S.; Beers, T.C.; Lawler, J.E. Evidence of multiple R-process sites in the early galaxy: New observations of CS 22892–052. Astrophys. J. 2000, 533, L139. [Google Scholar] [CrossRef] [PubMed]
- Truran, J.W.; Cowan, J.J.; Pilachowski, C.A.; Sneden, C. Probing the Neutron-Capture Nucleosynthesis History of Galactic Matter. Publ. Astron. Soc. Pac. 2002, 114, 1293. [Google Scholar] [CrossRef]
- Sneden, C.; Cowan, J.J.; Lawler, J.E.; Ivans, I.I.; Burles, S.; Beers, T.C.; Primas, F.; Hill, V.; Truran, J.W.; Fuller, G.M.; et al. The extremely metal-poor, neutron capture-rich star CS 22892-052: A comprehensive abundance analysis. Astrophys. J. 2003, 591, 936. [Google Scholar] [CrossRef]
- Thielemann, F.K.; Eichler, M.; Panov, I.V.; Wehmeyer, B. Neutron star mergers and nucleosynthesis of heavy elements. Annu. Rev. Nucl. Part. Sci. 2017, 67, 253. [Google Scholar] [CrossRef]
- Frebel, A.; Beers, T.C. The formation of the heaviest elements. Phys. Today 2018, 71, 30. [Google Scholar] [CrossRef]
- Kajino, T.; Aoki, W.; Balantekin, A.B.; Diehl, R.; Famiano, M.A.; Mathews, G.J. Current status of r-process nucleosynthesis. Prog. Part. Nucl. Phys. 2019, 107, 109. [Google Scholar] [CrossRef]
- Qian, Y.Z.; Wasserburg, G.J. Where, oh where has the r-process gone? Phys. Rep. 2007, 442, 237. [Google Scholar] [CrossRef]
- Travaglio, C.; Gallino, R.; Arnone, E.; Cowan, J.; Jordan, F.; Sneden, C. Galactic evolution of Sr, Y, and Zr: A multiplicity of nucleosynthetic processes. Astrophys. J. 2004, 601, 864. [Google Scholar] [CrossRef]
- Wanajo, S.; Ishimaru, Y. r-process calculations and Galactic chemical evolution. Astrophys. J. 2006, 777, 676. [Google Scholar] [CrossRef]
- Li, H.; Ma, W.; Cui, W.; Zhang, B. Estimating R-Process Yields from Abundances of the Metal-Poor Stars. Publ. Astron. Soc. Pac. 2014, 126, 544. [Google Scholar] [CrossRef]
- TNiu, P.; Cui, W.; Zhang, B. Study of the element abundances in HD 140283: The abundance robustness of the weak r-and main r-process stars. Astrophys. J. 2015, 813, 56. [Google Scholar]
- Beers, T.C.; Christlieb, N. The discovery and analysis of very metal-poor stars in the galaxy. Annu. Rev. Astron. Astrophys. 2005, 43, 531. [Google Scholar] [CrossRef]
- Frebel, A. From nuclei to the cosmos: Tracing heavy-element production with the oldest stars. Annu. Rev. Nucl. Part. Sci. 2018, 68, 237. [Google Scholar] [CrossRef]
- Frebel, A.; Ji, A.P. Observations of R-Process Stars in the Milky Way and Dwarf Galaxies. In Handbook of Nuclear Physics; Springer Nature Singapore: Singapore, 2022; pp. 1–64. [Google Scholar]
- Kratz, K.L.; Farouqi, K.; Pfeiffer, B.; Truran, J.W.; Sneden, C.; Cowan, J.J. Explorations of the r-processes: Comparisons between calculations and observations of low-metallicity stars. Astrophys. J. 2007, 662, 39. [Google Scholar] [CrossRef]
- Burris, D.L.; Pilachowski, C.A.; Armandroff, T.E.; Sneden, C.; Cowan, J.J.; Roe, H. Neutron-capture elements in the early Galaxy: Insights from a large sample of metal-poor giants. Astrophys. J. 2000, 544, 302. [Google Scholar] [CrossRef]
- Frebel, A.; Christlieb, N.; Norris, J.E.; Thom, C.; Beers, T.C.; Rhee, J. Discovery of HE 1523–0901, a strongly r-process-enhanced metal-poor star with detected uranium. Astrophys. J. 2007, 660, L117. [Google Scholar] [CrossRef]
- Frebel, A. Stellar archaeology: Exploring the Universe with metal-poor stars. Astron. Nachrichten 2010, 331, 474. [Google Scholar] [CrossRef]
- Holmbeck, E.M.; Hansen, T.T.; Beers, T.C.; Placco, V.M.; Whitten, D.D.; Rasmussen, K.C.; Roederer, I.U.; Ezzeddine, R.; Sakari, C.M.; Frebel, A.; et al. The r-process alliance: Fourth data release from the search for r-process-enhanced stars in the galactic halo. Astrophys. J. Suppl. Ser. 2020, 249, 30. [Google Scholar] [CrossRef]
- Hotokezaka, K.; Piran, T.; Paul, M. Short-lived 244 Pu points to compact binary mergers as sites for heavy r-process nucleosynthesis. Nat. Phys. 2015, 11, 1042. [Google Scholar] [CrossRef]
- Matas Pinto, A.D.M.; Caffau, E.; François, P.; Spite, M.; Bonifacio, P.; Wanajo, S.; Aoki, W.; Monaco, L.; Suda, T.; Spite, F.; et al. Detailed investigation of two high-speed evolved Galactic stars. Astron. Nachrichten 2022, 343, e210032. [Google Scholar] [CrossRef]
- Qian, Y.Z.; Wasserburg, G.J. Determination of nucleosynthetic yields of supernovae and very massive stars from abundances in metal-poor stars. Astrophys. J. 2002, 567, 515. [Google Scholar] [CrossRef]
- Izutani, N.; Umeda, H.; Tominaga, N. Explosive nucleosynthesis of weak r-process elements in extremely metal-poor core-collapse supernovae. Astrophys. J. 2009, 692, 1517. [Google Scholar] [CrossRef]
- Li, H.; Shen, X.; Liang, S.; Cui, W.; Zhang, B. Study of Neutron-Capture Element Abundances in Metal-Poor Stars. Publ. Astron. Soc. Pac. 2013, 125, 143. [Google Scholar] [CrossRef]
- Qian, Y.Z.; Wasserburg, G.J. A model for abundances in metal-poor stars. Astrophys. J. 2001, 559, 925. [Google Scholar] [CrossRef]
- Oehm, W.; Kroupa, P. The relevance of dynamical friction for the MW/LMC/SMC triple system. Universe 2024, 10, 143. [Google Scholar] [CrossRef]
- Noguchi, K.; Aoki, W.; Kawanomoto, S.; Ando, H.; Honda, S.; Izumiura, H.; Kambe, E.; Okita, K.; Sadakane, K.; Sato, B.E.; et al. High dispersion spectrograph (HDS) for the Subaru telescope. Publ. Astron. Soc. Jpn. 2002, 54, 855. [Google Scholar] [CrossRef]
- Alvarez, R.; Plez, B. Near-infrared narrow-band photometry of M-giant and Mira stars: Models meet observations. Astron. Astrophys. 1998, 330, 1109. [Google Scholar]
- Kurucz, R.L. Atlas12, synthe, atlas9, width9, et cetera. Mem. Della Soc. Astron. Ital. Suppl. 2005, 8, 14. [Google Scholar]
- Sbordone, L.; Caffau, E.; Bonifacio, P.; Duffau, S. MyGIsFOS: An automated code for parameter determination and detailed abundance analysis in cool stars. Astron. Astrophys. 2014, 564, A109. [Google Scholar] [CrossRef]
- Liang, S.; Li, H.; Shen, X.; Cui, W.; Zhang, B. Abundance Analysis of r+ s Stars: r-Process Abundance Comparison between r+ s Stars and r-rich Stars. Publ. Astron. Soc. Pac. 2012, 124, 304. [Google Scholar] [CrossRef]
- Bisterzo, S.; Gallino, R.; Straniero, O.; Cristallo, S.; Käppeler, F. s-Process in low-metallicity stars–I. Theoretical predictions. Mon. Not. R. Astron. Soc. 2010, 404, 1529–1544. [Google Scholar] [CrossRef]
- Gallino, R.; Arlandini, C.; Busso, M.; Lugaro, M.; Travaglio, C.; Straniero, O.; Chieffi, A.; Limongi, M. Evolution and nucleosynthesis in low-mass asymptotic giant branch stars. II. Neutron capture and the s-process. Astrophys. J. 1998, 497, 388. [Google Scholar] [CrossRef]
- Roederer, I.U.; Lawler, J.E.; Den Hartog, E.A.; Placco, V.M.; Surman, R.; Beers, T.C.; Ezzeddine, R.; Frebel, A.; Hansen, T.T.; Hattori, K.; et al. The R-process Alliance: A nearly complete r-process abundance template derived from ultraviolet spectroscopy of the r-process-enhanced metal-poor Star HD 222925. Astrophys. J. Suppl. Ser. 2022, 260, 27. [Google Scholar] [CrossRef]
- Wen, F.; Han, W.Q.; Cui, W.Y.; Li, H.J.; Zhang, B. A Study of Elemental Abundance Pattern of the r-II Star HD 222925. Res. Astron. Astrophys. 2023, 23, 125009. [Google Scholar] [CrossRef]
- Li, H.; Cui, W.; Zhang, B. Investigation of the Puzzling Abundance Pattern in the Stars of the Fornax Dwarf Spheroidal Galaxy. Astrophys. J. 2013, 775, 12. [Google Scholar] [CrossRef]
- Sherwin, B.D.; Loeb, A.; O’Leary, R.M. Hypervelocity stars from the Andromeda galaxy. Mon. Not. R. Astron. Soc. 2008, 386, 1179–1191. [Google Scholar] [CrossRef]
- Kroupa, P.; Boily, C.M. On the mass function of star clusters. Mon. Not. R. Astron. Soc. 2002, 336, 1188–1194. [Google Scholar] [CrossRef]
- Fragione, G.; Gualandris, A. Hypervelocity stars from star clusters hosting intermediate-mass black holes. Mon. Not. R. Astron. Soc. 2019, 489, 4543–4556. [Google Scholar] [CrossRef]
- Jean-Baptiste, I.; Di Matteo, P.; Haywood, M.; Gómez, A.; Montuori, M.; Combes, F.; Semelin, B. On the kinematic detection of accreted streams in the Gaia era: A cautionary tale. Astron. Astrophys. 2017, 604, A106. [Google Scholar] [CrossRef]
- Greene, J.E.; Strader, J.; Ho, L.C. Intermediate-mass black holes. Annu. Rev. Astron. Astrophys. 2020, 58, 257–312. [Google Scholar] [CrossRef]
- Gratton, R.G.; Lucatello, S.; Bragaglia, A.; Carretta, E.; Cassisi, S.; Momany, Y.; Pancino, E.; Valenti, E.; Caloi, V.; Claudi, R.; et al. Na-O anticorrelation and horizontal branches-V. The Na-O anticorrelation in NGC 6441 from Giraffe spectra. Astron. Astrophys. 2007, 464, 953–965. [Google Scholar] [CrossRef]
- Gratton, R.; Bragaglia, A.; Carretta, E.; D’Orazi, V.; Lucatello, S.; Sollima, A. What is a globular cluster? An observational perspective. Astron. Astrophys. Rev. 2019, 27, 8. [Google Scholar] [CrossRef]
- Helmi, A.; Van Leeuwen, F.; McMillan, P.J.; Massari, D.A.V.I.D.E.; Antoja, T.; Robin, A.C.; Lindegren, L.; Bastian, U.; Arenou, F.; Babusiaux, C.; et al. Gaia Data Release 2-Kinematics of globular clusters and dwarf galaxies around the Milky Way. Astron. Astrophys. 2018, 616, A12. [Google Scholar]
- Marino, A.F.; Sneden, C.; Kraft, R.P.; Wallerstein, G.; Norris, J.E.; Da Costa, G.; Milone, A.P.; Ivans, I.I.; Gonzalez, G.; Fulbright, J.P.; et al. The two metallicity groups of the globular cluster M 22: A chemical perspective. Mon. Not. R. Astron. Soc. 2011, 532, A8. [Google Scholar] [CrossRef]
- Marino, A.F.; Milone, A.P.; Karakas, A.I.; Casagrande, L.; Yong, D.; Shingles, L.; Da Costa, G.; Norris, J.E.; Stetson, P.B.; Lind, K.; et al. Iron and s-elements abundance variations in NGC 5286: Comparison with ‘anomalous’ globular clusters and Milky Way satellites. Mon. Not. R. Astron. Soc. 2015, 450, 815–845. [Google Scholar] [CrossRef]
- Bovy, J. galpy: A Python Library for Galactic Dynamics. Astrophys. J. Suppl. Ser. 2015, 216, 29. [Google Scholar] [CrossRef]
Disclaimer/Publisher’s Note: The statements, opinions and data contained in all publications are solely those of the individual author(s) and contributor(s) and not of MDPI and/or the editor(s). MDPI and/or the editor(s) disclaim responsibility for any injury to people or property resulting from any ideas, methods, instructions or products referred to in the content. |
© 2025 by the authors. Licensee MDPI, Basel, Switzerland. This article is an open access article distributed under the terms and conditions of the Creative Commons Attribution (CC BY) license (https://creativecommons.org/licenses/by/4.0/).










