Searching for New Physics in an Ultradense Environment: A Review on Dark Matter Admixed Neutron Stars
Abstract
1. Introduction
2. Dark Matter Capture and Accumulation
2.1. Self-Annihilating Dark Matter
2.2. Black Hole Formation
- A two-stage process if the DM–nucleon cross-section is not too large [174,175,176]. In this scenario, a first thermalization where DM orbits are larger than the size of the hosting NS is followed by a second thermalization once enough energy is lost and the orbit stabilizes to a final thermal radius within the star.
- The sound crossing time (where is the sound speed in a DANS modeled as a perfect fluid) should be greater than the DM freefall time , which is computed by considering the free fall of a test mass onto an object of mass . The condition iswhich is also known as Jeans stability (see [185,186] and references therein for similar analysis in other contexts) and is approximately realized when the density of the DM sphere is greater than the solar or terrestrial core density [175].
- The mass of captured DM should overcome a threshold mass, given ascomputed for an average NS with core density and absolute temperature ∼ K.For , namely, prior to collapse, the DM particles are in thermal equilibrium within a dense sphere of radius at temperature of the hosting NS’s core ( and are related through the virial theorem , where in turn, and ). Once the condition is reached, the DM core can no longer be stabilized and the collapse to a BH is irreversibly triggered.In addition, the central DM sphere must be sufficiently massive such that any additional contributions from self-interactions or degeneracy pressure are not enough to stabilize it and prevent collapse. More precisely, the critical mass beyond which collapse occurs should be defined as , where [131] represents the maximum mass that can be stabilized by interactions and is given bywith GeV being the Planck mass and the coupling constant of the possible boson repulsive self-interaction ().


3. Dark Matter Admixed Neutron Star Models
3.1. Formalism
3.2. Bosonic DM
3.3. Fermionic DM
3.4. Mass–Radius and Tidal–Mass Relations


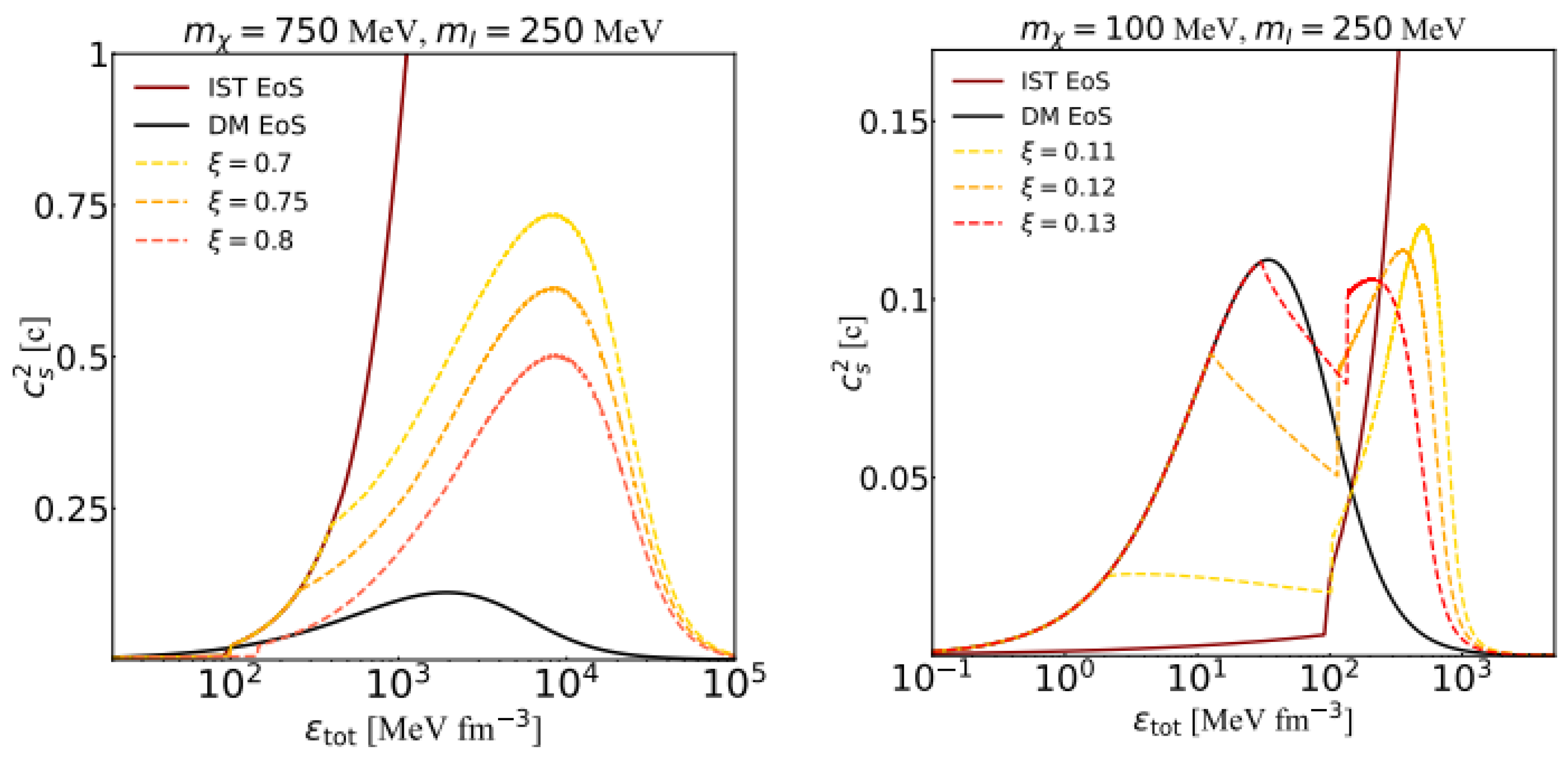
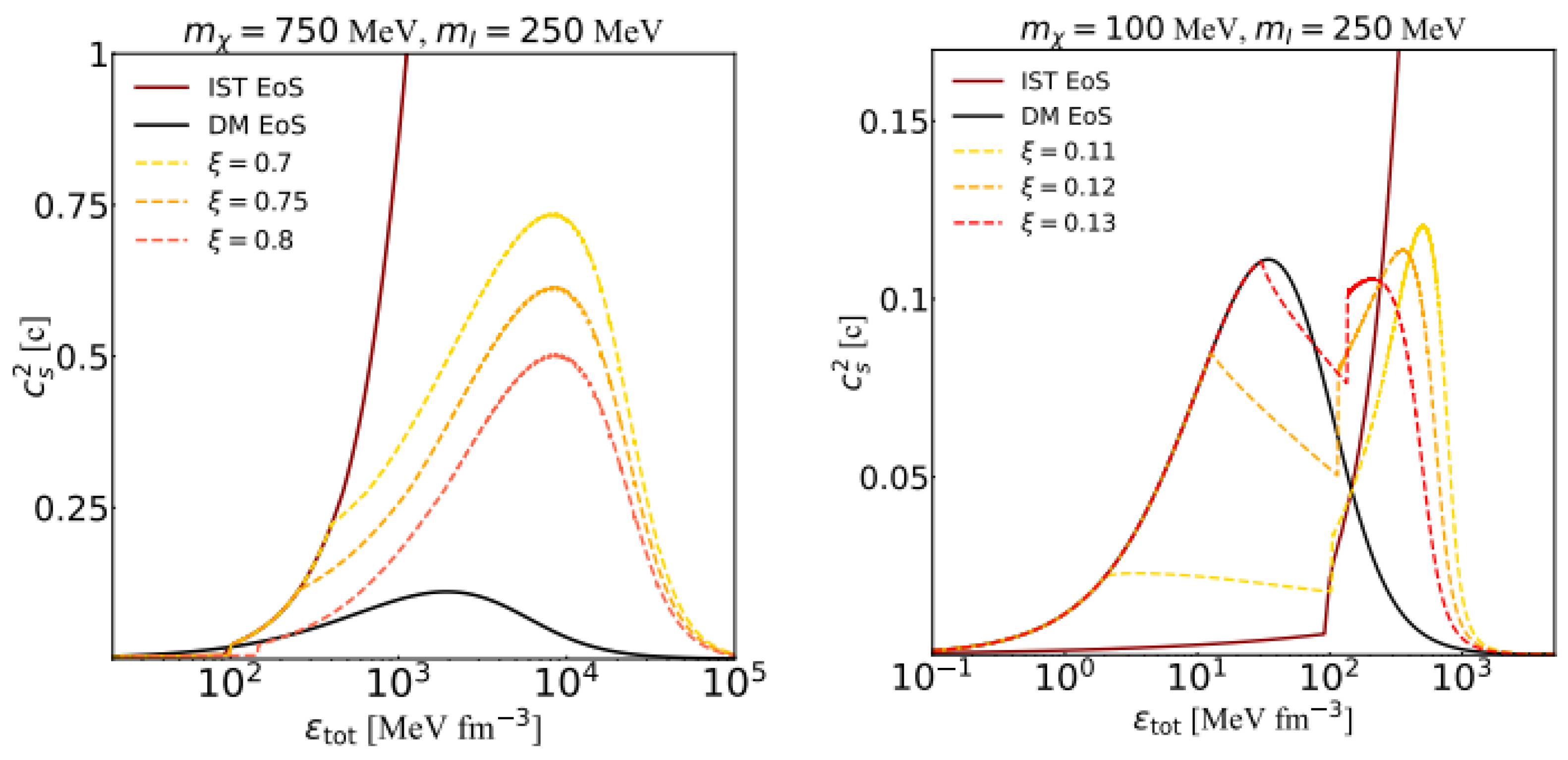
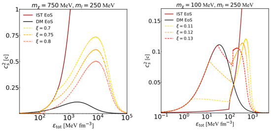
3.5. Speed of Sound in Dark Matter Admixed Neutron Stars
4. Dark Matter Signal in Gravitational Wave Emission
5. Neutron Decay to Dark Matter
6. Conclusions
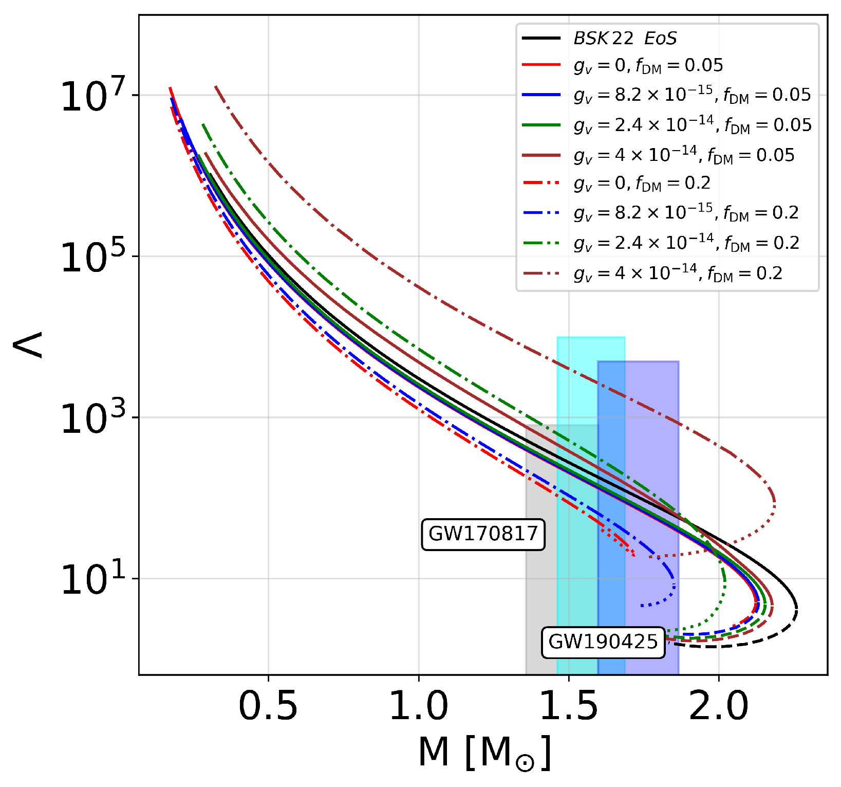
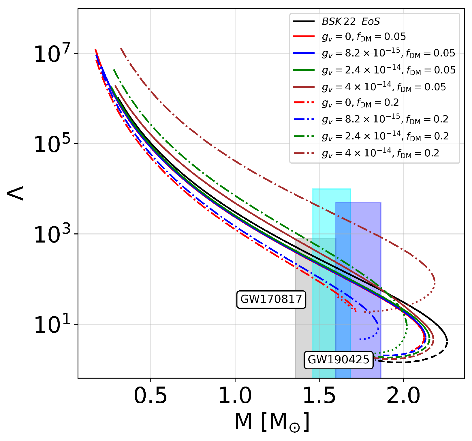
- The formation of a DM core yields a softer EoS and results in a more compact DANS, whose corresponding mass and radius are smaller than those of a star made entirely of BM. In contrast, if DM forms a halo, the EoS turns out to be stiffer, resulting in a larger radius and tidal deformability and slightly greater gravitational mass. In the latter scenario, since represents the outermost radius, then and it can extend significantly beyond the BM. As a consequence, configurations with extended halos are unlikely to match observational constraints and the corresponding EoSs are usually disfavored.
- Weak interaction couplings, low fractions of DM, and large masses of DM candidates favor the formation of a core.
- Despite the degeneracy among DM and pure nuclear models, the analyses of M–R and –M relations can help to rule out certain combinations of DM and baryonic EoSs, while also possibly supporting the evidence for the existence of DANSs.
- The tidal deformability (computed through Equation (23)) is typically reduced in the presence of a DM core, as the star becomes more compact and it is harder for it to be deformed. In contrast, if a DM halo forms, increases significantly due to the larger effective radius. This is particularly relevant for GW signals from NS mergers, as the tidal interactions between merging stars leave a distinct imprint on the waveforms.
Author Contributions
Funding
Data Availability Statement
Acknowledgments
Conflicts of Interest
Abbreviations
| NS | Neutron star |
| DANS | Dark matter admixed neutron star |
| WD | White dwarf |
| BH | Black hole |
| EoS | Equation of state |
| DM | Dark matter |
| BM | Baryonic matter |
| GW | Gravitational wave |
| BNS | Binary neutron star |
| Tidal deformability | |
| SM | Standard Model |
| WIMP | Weakly interacting massive particle |
| CMB | Cosmic microwave background |
| TOV | Tolman–Oppenheimer–Volkoff |
| GR | General relativity |
| M–R | Mass–radius |
| –M | Tidal deformability–mass |
| BEC | Bose–Einstein condensate |
| RMF | Relativistic mean field |
| SQM | Strange quark matter |
| QCD | Quantum chromodynamics |
| SI | Spin independent |
| SD | Spin dependent |
| CL | Confidence level |
References
- Chandrasekhar, S. An Introduction to the Study of Stellar Structure; Astrophysical Monographs, The University of Chicago Press: Chicago, IL, USA, 1939. [Google Scholar]
- Lattimer, J.M.; Prakash, M. The physics of neutron stars. Science 2004, 304, 536–542. [Google Scholar] [CrossRef]
- Baym, G.; Hatsuda, T.; Kojo, T.; Powell, P.D.; Song, Y.; Takatsuka, T. From hadrons to quarks in neutron stars: A review. Rept. Prog. Phys. 2018, 81, 056902. [Google Scholar] [CrossRef] [PubMed]
- Shapiro, S.L.; Teukolsky, S.A. Black Holes, White Dwarfs, and Neutron Stars: The Physics of Compact Objects; John Wiley & Sons: Hoboken, NJ, USA, 1983. [Google Scholar] [CrossRef]
- Silk, J.; Moore, B.; Bullock, J.; Kaplinghat, M.; Strigari, L.; Mellier, Y.; Merritt, D.; Bekenstein, J.; Gelmini, G.; Gondolo, P.; et al. Particle Dark Matter: Observations, Models and Searches; Cambridge University Press: Cambridge, UK, 2010. [Google Scholar] [CrossRef]
- Antoniadis, J.; Freire, P.C.; Wex, N.; Tauris, T.M.; Lynch, R.S.; Van Kerkwijk, M.H.; Kramer, M.; Bassa, C.; Dhillon, V.S.; Driebe, T.; et al. A Massive Pulsar in a Compact Relativistic Binary. Science 2013, 340, 6131. [Google Scholar] [CrossRef] [PubMed]
- Özel, F.; Freire, P. Masses, Radii, and the Equation of State of Neutron Stars. Ann. Rev. Astron. Astrophys. 2016, 54, 401–440. [Google Scholar] [CrossRef]
- Lattimer, J.M.; Prakash, M. Neutron Star Observations: Prognosis for Equation of State Constraints. Phys. Rept. 2007, 442, 109–165. [Google Scholar] [CrossRef]
- Steiner, A.W.; Lattimer, J.M.; Brown, E.F. The Equation of State from Observed Masses and Radii of Neutron Stars. Astrophys. J. 2010, 722, 33–54. [Google Scholar] [CrossRef]
- Oertel, M.; Hempel, M.; Klähn, T.; Typel, S. Equations of state for supernovae and compact stars. Rev. Mod. Phys. 2017, 89, 015007. [Google Scholar] [CrossRef]
- Lattimer, J.M.; Prakash, M. What a Two Solar Mass Neutron Star Really Means. In From Nuclei to Stars: Festschrift in Honor of Gerald E Brown; Lee, S., Ed.; World Scientific: Singapore, 2011; pp. 275–304. [Google Scholar] [CrossRef]
- Lattimer, J.M.; Prakash, M. The Equation of State of Hot, Dense Matter and Neutron Stars. Phys. Rept. 2016, 621, 127–164. [Google Scholar] [CrossRef]
- Bejger, M.; Haensel, P. Surface gravity of neutron stars and strange stars. Astron. Astrophys. 2004, 420, 987–991. [Google Scholar] [CrossRef]
- Haensel, P.; Potekhin, A.Y.; Yakovlev, D.G. Neutron Stars 1: Equation of State and Structure; Springer: New York, NY, USA, 2007; Volume 326. [Google Scholar] [CrossRef]
- Yakovlev, D.G.; Urpin, V.A. Thermal and Electrical Conductivity in White Dwarfs and Neutron Stars. Sov. Astron. 1980, 24, 303. [Google Scholar]
- Yakovlev, D.G.; Pethick, C.J. Neutron star cooling. Ann. Rev. Astron. Astrophys. 2004, 42, 169–210. [Google Scholar] [CrossRef]
- Weber, F.; Negreiros, R.; Rosenfield, P.; Stejner, M. Pulsars as Astrophysical Laboratories for Nuclear and Particle Physics. Prog. Part. Nucl. Phys. 2007, 59, 94–113. [Google Scholar] [CrossRef]
- Pons, J.A.; Reddy, S.; Prakash, M.; Lattimer, J.M.; Miralles, J.A. Evolution of protoneutron stars. Astrophys. J. 1999, 513, 780. [Google Scholar] [CrossRef]
- Ho, W.C.G.; Kaplan, D.L.; Chang, P.; van Adelsberg, M.; Potekhin, A.Y. Magnetic Hydrogen Atmosphere Models and the Neutron Star RX J1856.5-3754. Mon. Not. Roy. Astron. Soc. 2007, 375, 821–830. [Google Scholar] [CrossRef]
- Potekhin, A.Y.; Pons, J.A.; Page, D. Neutron stars—Cooling and transport. Space Sci. Rev. 2015, 191, 239–291. [Google Scholar] [CrossRef]
- Logoteta, D. Hyperons in Neutron Stars. Universe 2021, 7, 408. [Google Scholar] [CrossRef]
- Oertel, M.; Providencia, C.; Gulminelli, F.; Raduta, A.R. Hyperons in neutron star matter within relativistic mean-field models. Phys. Part. Nucl. 2015, 46, 830–834. [Google Scholar] [CrossRef]
- Chatterjee, D.; Vidaña, I. Do hyperons exist in the interior of neutron stars? Eur. Phys. J. A 2016, 52, 29. [Google Scholar] [CrossRef]
- Bombaci, I.; Logoteta, D.; Vidaña, I.; Providência, C. Quark matter nucleation in neutron stars and astrophysical implications. Eur. Phys. J. A 2016, 52, 58. [Google Scholar] [CrossRef]
- Alford, M.; Blaschke, D.; Drago, A.; Klahn, T.; Pagliara, G.; Schaffner-Bielich, J. Quark matter in compact stars? Nature 2007, 445, E7–E8. [Google Scholar] [CrossRef]
- Bombaci, I.; Logoteta, D. Quark deconfinement in neutron stars and astrophysical implications. Int. J. Mod. Phys. 2017, 1, 904–923. [Google Scholar] [CrossRef]
- Xu, R. Bare strange quark stars: Formation and emission. Astrophys. Space Sci. Libr. 2003, 298, 73. [Google Scholar] [CrossRef]
- Page, D.; Usov, V.V. Thermal evolution and light curves of young bare strange stars. Phys. Rev. Lett. 2002, 89, 131101. [Google Scholar] [CrossRef]
- Weber, F.; Orsaria, M.; Rodrigues, H.; Yang, S.H. Structure of Quark Stars. IAU Symp. 2013, 291, 61–66. [Google Scholar] [CrossRef]
- Glendenning, N.K. Compact Stars: Nuclear Physics, Particle Physics, and General Relativity; Springer Science & Business Media: Berlin, Germany, 1997. [Google Scholar]
- Burgio, G.F.; Baldo, M.; Sahu, P.K.; Santra, A.B.; Schulze, H.J. Maximum mass of neutron stars with a quark core. Phys. Lett. B 2002, 526, 19–26. [Google Scholar] [CrossRef]
- Alford, M.; Reddy, S. Compact stars with color superconducting quark matter. Phys. Rev. D 2003, 67, 074024. [Google Scholar] [CrossRef]
- Buballa, M.; Neumann, F.; Oertel, M.; Shovkovy, I. Quark mass effects on the stability of hybrid stars. Phys. Lett. B 2004, 595, 36–43. [Google Scholar] [CrossRef][Green Version]
- Alford, M.; Braby, M.; Paris, M.W.; Reddy, S. Hybrid stars that masquerade as neutron stars. Astrophys. J. 2005, 629, 969–978. [Google Scholar] [CrossRef]
- Bodmer, A.R. Collapsed nuclei. Phys. Rev. D 1971, 4, 1601–1606. [Google Scholar] [CrossRef]
- Witten, E. Cosmic Separation of Phases. Phys. Rev. D 1984, 30, 272–285. [Google Scholar] [CrossRef]
- Farhi, E.; Jaffe, R.L. Strange Matter. Phys. Rev. D 1984, 30, 2379. [Google Scholar] [CrossRef]
- Holdom, B.; Ren, J.; Zhang, C. Quark matter may not be strange. Phys. Rev. Lett. 2018, 120, 222001. [Google Scholar] [CrossRef] [PubMed]
- Yuan, W.L.; Li, A.; Miao, Z.; Zuo, B.; Bai, Z. Interacting ud and uds quark matter at finite densities and quark stars. Phys. Rev. D 2022, 105, 123004. [Google Scholar] [CrossRef]
- Bai, Y.; Chen, T.K. Approaching Stable Quark Matter. arXiv 2024, arXiv:2410.19678. [Google Scholar]
- Lattimer, J.M.; Prakash, M. Neutron star structure and the equation of state. Astrophys. J. 2001, 550, 426. [Google Scholar] [CrossRef]
- Sumiyoshi, K.; Kojo, T.; Furusawa, S. Equation of State in Neutron Stars and Supernovae. In Handbook of Nuclear Physics; Tanihata, I., Toki, H., Kajino, T., Eds.; Springer Nature: Berlin, Germany, 2023; pp. 1–51. [Google Scholar] [CrossRef]
- Abbott, B.P.; Abbott, R.; Abbott, T.D.; Acernese, F.; Ackley, K.; Adams, C.; Adams, T.; Addesso, P.; Adhikari, R.X.; Adya, V.B.; et al. GW170817: Measurements of neutron star radii and equation of state. Phys. Rev. Lett. 2018, 121, 161101. [Google Scholar] [CrossRef] [PubMed]
- Abbott, B.P. Multi-messenger Observations of a Binary Neutron Star Merger. Astrophys. J. Lett. 2017, 848, L12. [Google Scholar] [CrossRef]
- Abbott, B.P.; Abbott, R.; Abbott, T.; Acernese, F.; Ackley, K.; Adams, C.; Adams, T.; Addesso, P.; Adhikari, R.X.; Adya, V.B.; et al. GW170817: Observation of Gravitational Waves from a Binary Neutron Star Inspiral. Phys. Rev. Lett. 2017, 119, 161101. [Google Scholar] [CrossRef]
- Radice, D.; Perego, A.; Zappa, F.; Bernuzzi, S. GW170817: Joint Constraint on the Neutron Star Equation of State from Multimessenger Observations. Astrophys. J. Lett. 2018, 852, L29. [Google Scholar] [CrossRef]
- Abbott, B.P.; Abbott, R.; Abbott, T.D.; Abraham, S.; Acernese, F.; Ackley, K.; Adams, C.; Adhikari, R.X.; Adya, V.B.; Affeldt, C.; et al. GW190425: Observation of a Compact Binary Coalescence with Total Mass ∼3.4 M⊙. Astrophys. J. Lett. 2020, 892, L3. [Google Scholar] [CrossRef]
- Bertone, G.; Fairbairn, M. Compact Stars as Dark Matter Probes. Phys. Rev. D 2008, 77, 043515. [Google Scholar] [CrossRef]
- de Lavallaz, A.; Fairbairn, M. Neutron Stars as Dark Matter Probes. Phys. Rev. D 2010, 81, 123521. [Google Scholar] [CrossRef]
- Kouvaris, C.; Tinyakov, P. Can Neutron stars constrain Dark Matter? Phys. Rev. D 2010, 82, 063531. [Google Scholar] [CrossRef]
- Ciarcelluti, P.; Sandin, F. Have neutron stars a dark matter core? Phys. Lett. B 2011, 695, 19–21. [Google Scholar] [CrossRef]
- Ellis, J.; Hütsi, G.; Kannike, K.; Marzola, L.; Raidal, M.; Vaskonen, V. Dark Matter Effects On Neutron Star Properties. Phys. Rev. D 2018, 97, 123007. [Google Scholar] [CrossRef]
- Aghanim, N.; Akrami, Y.; Ashdown, M.; Aumont, J.; Bacciagalupi, C.; Ballardini, M.; Banday A., J.; Barreiro R., B.; Bartolo, N.; Basak, S.; et al. Planck 2018 results. VI. Cosmological parameters. Astron. Astrophys. 2020, 641, A6, Erratum in Astron. Astrophys. 2021, 652, C4. [Google Scholar] [CrossRef]
- Zwicky, F. Die Rotverschiebung von extragalaktischen Nebeln. Helv. Phys. Acta 1933, 6, 110–127. [Google Scholar] [CrossRef]
- Rubin, V.C.; Ford, W.K., Jr. Rotation of the Andromeda Nebula from a Spectroscopic Survey of Emission Regions. Astrophys. J. 1970, 159, 379–403. [Google Scholar] [CrossRef]
- Rubin, V.C.; Ford, W.K., Jr.; Thonnard, N. Extended rotation curves of high-luminosity spiral galaxies. IV. Systematic dynamical properties, Sa through Sc. Astrophys. J. Lett. 1978, 225, L107–L111. [Google Scholar] [CrossRef]
- Mohan, G.; Goswami, U.D. Galactic rotation curves of spiral galaxies and dark matter in f(R,T) gravity theory. Int. J. Geom. Meth. Mod. Phys. 2024, 21, 2450082. [Google Scholar] [CrossRef]
- Lasserre, T. Not enough stellar mass machos in the galactic halo. Astron. Astrophys. 2000, 355, L39–L42. [Google Scholar]
- Famaey, B.; McGaugh, S. Modified Newtonian Dynamics (MOND): Observational Phenomenology and Relativistic Extensions. Living Rev. Rel. 2012, 15, 10. [Google Scholar] [CrossRef] [PubMed]
- Tisser, P.; Le Guillou, L.; Afonso, C.; Albert, J.N.; Andersen, J.; Ansari, R.; Aubourg, E.; Bareyre, P.; Beaulieu, J.P.; Charlot, X.; et al. Limits on the Macho Content of the Galactic Halo from the EROS-2 Survey of the Magellanic Clouds. Astron. Astrophys. 2007, 469, 387–404. [Google Scholar] [CrossRef]
- Clowe, D.; Bradac, M.; Gonzalez, A.H.; Markevitch, M.; Randall, S.W.; Jones, C.; Zaritsky, D. A direct empirical proof of the existence of dark matter. Astrophys. J. Lett. 2006, 648, L109–L113. [Google Scholar] [CrossRef]
- Boyarsky, A.; Drewes, M.; Lasserre, T.; Mertens, S.; Ruchayskiy, O. Sterile neutrino Dark Matter. Prog. Part. Nucl. Phys. 2019, 104, 1–45. [Google Scholar] [CrossRef]
- Pagels, H.; Primack, J.R. Supersymmetry, Cosmology and New TeV Physics. Phys. Rev. Lett. 1982, 48, 223. [Google Scholar] [CrossRef]
- Jungman, G.; Kamionkowski, M.; Griest, K. Supersymmetric dark matter. Phys. Rept. 1996, 267, 195–373. [Google Scholar] [CrossRef]
- Bertone, G.; Hooper, D.; Silk, J. Particle dark matter: Evidence, candidates and constraints. Phys. Rept. 2005, 405, 279–390. [Google Scholar] [CrossRef]
- Weinberg, S. Gravitation and Cosmology: Principles and Applications of the General Theory of Relativity; John Wiley and Sons: New York, NY, USA, 1972. [Google Scholar]
- Peccei, R.D.; Quinn, H.R. CP Conservation in the Presence of Instantons. Phys. Rev. Lett. 1977, 38, 1440–1443. [Google Scholar] [CrossRef]
- Cirelli, M.; Strumia, A.; Zupan, J. Dark Matter. arXiv 2024, arXiv:2406.01705. [Google Scholar] [CrossRef]
- Hu, W.; Barkana, R.; Gruzinov, A. Cold and fuzzy dark matter. Phys. Rev. Lett. 2000, 85, 1158–1161. [Google Scholar] [CrossRef] [PubMed]
- Hui, L.; Ostriker, J.P.; Tremaine, S.; Witten, E. Ultralight scalars as cosmological dark matter. Phys. Rev. D 2017, 95, 043541. [Google Scholar] [CrossRef]
- Ferreira, E.G.M. Ultra-light dark matter. Astron. Astrophys. Rev. 2021, 29, 7. [Google Scholar] [CrossRef]
- Carr, B.; Kohri, K.; Sendouda, Y.; Yokoyama, J. Constraints on primordial black holes. Rept. Prog. Phys. 2021, 84, 116902. [Google Scholar] [CrossRef] [PubMed]
- Carr, B.; Kuhnel, F. Primordial Black Holes as Dark Matter: Recent Developments. Ann. Rev. Nucl. Part. Sci. 2020, 70, 355–394. [Google Scholar] [CrossRef]
- Baryakhtar, M.; Caputo, R.; Croon, D.; Perez, K.; Berti, E.; Bramante, J.; Buschmann, M.; Brito, R.; Chen, T.Y.; Cole, P.S.; et al. Dark Matter In Extreme Astrophysical Environments. arXiv 2022, arXiv:2203.07984. [Google Scholar]
- Aprile, E.; Aalbers, J.; Agostini, F.; Alfonsi, M.; Althueser, L.; Amaro, F.D.; Anthony, M.; Arneodo, F.; Baudis, L.; Bauermeister, B.; et al. Dark Matter Search Results from a One Ton-Year Exposure of XENON1T. Phys. Rev. Lett. 2018, 121, 111302. [Google Scholar] [CrossRef] [PubMed]
- Aprile, E.; Aalbers, J.; Agostini, F.; Alfonsi, M.; Althueser, L.; Amaro, F.D.; Anthony, M.; Antochi, V.C.; Arneodo, F.; Baudis, L.; et al. Constraining the spin-dependent WIMP-nucleon cross sections with XENON1T. Phys. Rev. Lett. 2019, 122, 141301. [Google Scholar] [CrossRef] [PubMed]
- Aprile, E.; Aalbers, J.; Agostini, F.; Alfonsi, M.; Althueser, L.; Amaro, F.D.; Antochi, V.C.; Angelino, E.; Arneodo, F.; Barge, D.; et al. Light Dark Matter Search with Ionization Signals in XENON1T. Phys. Rev. Lett. 2019, 123, 251801. [Google Scholar] [CrossRef]
- Aprile, E.; Aalbers, J.; Agostini, F.; Alfonsi, M.; Althueser, L.; Amaro, F.D.; Antochi, V.C.; Angelino, E.; Arneodo, F.; Barge, D.; et al. Search for Light Dark Matter Interactions Enhanced by the Migdal Effect or Bremsstrahlung in XENON1T. Phys. Rev. Lett. 2019, 123, 241803. [Google Scholar] [CrossRef]
- Aprile, E.; Aalbers, J.; Agostini, F.; Ahmed Maouloud, S.; Alfonsi, M.; Althueser, L.; Amaro, F.D.; Andaloro, S.; Antochi, V.C.; Angelino, E.; et al. Search for Coherent Elastic Scattering of Solar 8B Neutrinos in the XENON1T Dark Matter Experiment. Phys. Rev. Lett. 2021, 126, 091301. [Google Scholar] [CrossRef] [PubMed]
- Aprile, E.; Aalbers, J.; Agostini, F.; Alfonsi, M.; Althueser, L.; Amaro, F.D.; Antochi, V.C.; Angelino, E.; Angevaare, J.R.; Arneodo, F.; et al. Projected WIMP sensitivity of the XENONnT dark matter experiment. J. Cosmol. Astropart. Phys. 2020, 11, 031. [Google Scholar] [CrossRef]
- Bernabei, R.; Belli, P.; Cappella, F.; Cerulli, R.; Dai, C.J.; d’Angelo, A.; He, H.L.; Incicchitti, A.; Kuang, H.H.; Ma, X.H.; et al. New results from DAMA/LIBRA. Eur. Phys. J. C 2010, 67, 39–49. [Google Scholar] [CrossRef]
- Akerib, D.S.; Araújo, H.M.; Bai, X.; Bailey, A.J.; Balajthy, J.; Bedikian, S.; Bernard, E.; Bernstein, A.; Bolozdynya, A.; Bradley, A.; et al. First results from the LUX dark matter experiment at the Sanford Underground Research Facility. Phys. Rev. Lett. 2014, 112, 091303. [Google Scholar] [CrossRef] [PubMed]
- Angloher, G.; Bento, A.; Bucci, C.; Canonica, L.; Defay, X.; Erb, A.; von Feilitzsch, F.; Iachellini, N.F.; Gorla, P.; Gütlein, A.; et al. Results on light dark matter particles with a low-threshold CRESST-II detector. Eur. Phys. J. C 2016, 76, 25. [Google Scholar] [CrossRef]
- Abdelhameed, A.H.; Angloher, G.; Bauer, P.; Bento, A.; Bertoldo, E.; Bucci, C.; Canonica, L.; D’Addabbo, A.; Defay, X.; Di Lorenzo, S.; et al. First results from the CRESST-III low-mass dark matter program. Phys. Rev. D 2019, 100, 102002. [Google Scholar] [CrossRef]
- Agnese, R.; Anderson, A.J.; Asai, M.; Balakishiyeva, D.; Basu Thakur, R.; Bauer, D.A.; Beaty, J.; Billard, J.; Borgl, A.; Bowles, M.A.; et al. Search for Low-Mass Weakly Interacting Massive Particles with SuperCDMS. Phys. Rev. Lett. 2014, 112, 241302. [Google Scholar] [CrossRef]
- Agnese, R.; Anderson, A.J.; Aralis, T.; Aramaki, T.; Arnquist, I.J.; Baker, W.; Balakishiyeva, D.; Barker, D.; Basu Thakur, R.; Bauer, D.A.; et al. Low-mass dark matter search with CDMSlite. Phys. Rev. D 2018, 97, 022002. [Google Scholar] [CrossRef]
- Vahsen, S.E.; O’Hare, C.A.J.; Lynch, W.A.; Spooner, N.J.C.; Baracchini, E.; Barbeau, P.; Battat, J.B.R.; Crow, B.; Deaconu, C.; Eldridge, C.; et al. CYGNUS: Feasibility of a nuclear recoil observatory with directional sensitivity to dark matter and neutrinos. arXiv 2020, arXiv:2008.12587. [Google Scholar]
- Atwood, W.B.; Abdo, A.A.; Ackermann, M.; Althouse, W.; Anderson, B.; Axelsson, M.; Baldini, L.; Ballet, J.; Band, D.L.; Barbiellini, G.; et al. The Large Area Telescope on the Fermi Gamma-ray Space Telescope Mission. Astrophys. J. 2009, 697, 1071–1102. [Google Scholar] [CrossRef]
- Massey, R.; Rhodes, J.; Ellis, R.; Scoville, N.; Leauthaud, A.; Finoguenov, A.; Capak, P.; Bacon, D.; Aussel, H.; Kneib, J.P.; et al. Dark matter maps reveal cosmic scaffolding. Nature 2007, 445, 286. [Google Scholar] [CrossRef]
- Hooper, D. TASI Lectures on Indirect Searches For Dark Matter. PoS 2019, TASI2018, 010. [Google Scholar]
- Battaglieri, M.; Belloni, A.; Chou, A.; Cushman, P.; Echenard, B.; Essig, R.; Estrada, J.; Feng, J.L.; Flaugher, B.; Fox, P.J.; et al. US Cosmic Visions: New Ideas in Dark Matter 2017: Community Report. arXiv 2017, arXiv:1707.04591. [Google Scholar]
- Bertone, G.; Hooper, D. History of dark matter. Rev. Mod. Phys. 2018, 90, 045002. [Google Scholar] [CrossRef]
- Weinberg, S. A New Light Boson? Phys. Rev. Lett. 1978, 40, 223–226. [Google Scholar] [CrossRef]
- Marsh, D.J.E. Axion Cosmology. Phys. Rept. 2016, 643, 1–79. [Google Scholar] [CrossRef]
- Eilers, A.C.; Hogg, D.W.; Rix, H.W.; Ness, M.K. The Circular Velocity Curve of the Milky Way from 5 to 25 kpc. Astrophys. J. 2019, 871, 120. [Google Scholar] [CrossRef]
- Bell, N.F.; Busoni, G.; Robles, S.; Virgato, M. Improved Treatment of Dark Matter Capture in Neutron Stars. J. Cosmol. Astropart. Phys. 2020, 9, 028. [Google Scholar] [CrossRef]
- Busoni, G. Capture of Dark Matter in Neutron Stars. Moscow Univ. Phys. Bull. 2022, 77, 301–305. [Google Scholar] [CrossRef]
- Kouvaris, C. WIMP Annihilation and Cooling of Neutron Stars. Phys. Rev. D 2008, 77, 023006. [Google Scholar] [CrossRef]
- Feng, J.L. Dark Matter Candidates from Particle Physics and Methods of Detection. Ann. Rev. Astron. Astrophys. 2010, 48, 495–545. [Google Scholar] [CrossRef]
- Arcadi, G.; Dutra, M.; Ghosh, P.; Lindner, M.; Mambrini, Y.; Pierre, M.; Profumo, S.; Queiroz, F.S. The waning of the WIMP? A review of models, searches, and constraints. Eur. Phys. J. C 2018, 78, 203. [Google Scholar] [CrossRef]
- Bertoni, B.; Nelson, A.E.; Reddy, S. Dark Matter Thermalization in Neutron Stars. Phys. Rev. D 2013, 88, 123505. [Google Scholar] [CrossRef]
- Bell, N.F.; Busoni, G.; Robles, S.; Virgato, M. Thermalization and annihilation of dark matter in neutron stars. J. Cosmol. Astropart. Phys. 2024, 4, 006. [Google Scholar] [CrossRef]
- Giannotti, M.; Irastorza, I.; Redondo, J.; Ringwald, A. Cool WISPs for stellar cooling excesses. J. Cosmol. Astropart. Phys. 2016, 5, 057. [Google Scholar] [CrossRef]
- Heinke, C.O.; Ho, W.C.G. Direct Observation of the Cooling of the Cassiopeia A Neutron Star. Astrophys. J. Lett. 2010, 719, L167–L171. [Google Scholar] [CrossRef]
- Shternin, P.S.; Yakovlev, D.G.; Heinke, C.O.; Ho, W.C.G.; Patnaude, D.J. Cooling neutron star in the Cassiopeia~A supernova remnant: Evidence for superfluidity in the core. Mon. Not. Roy. Astron. Soc. 2011, 412, L108–L112. [Google Scholar] [CrossRef]
- Giangrandi, E.; Ávila, A.; Sagun, V.; Ivanytskyi, O.; Providência, C. The Impact of Asymmetric Dark Matter on the Thermal Evolution of Nucleonic and Hyperonic Compact Stars. Particles 2024, 7, 179–200. [Google Scholar] [CrossRef]
- Hook, A.; Huang, J. Probing axions with neutron star inspirals and other stellar processes. J. High Energy Phys. 2018, 6, 036. [Google Scholar] [CrossRef]
- Kumar Poddar, T.; Mohanty, S.; Jana, S. Vector gauge boson radiation from compact binary systems in a gauged Lμ − Lτ scenario. Phys. Rev. D 2019, 100, 123023. [Google Scholar] [CrossRef]
- Kumar Poddar, T.; Mohanty, S.; Jana, S. Constraints on ultralight axions from compact binary systems. Phys. Rev. D 2020, 101, 083007. [Google Scholar] [CrossRef]
- Seymour, B.C.; Yagi, K. Probing Massive Scalar Fields from a Pulsar in a Stellar Triple System. Class. Quant. Grav. 2020, 37, 145008. [Google Scholar] [CrossRef]
- Dror, J.A.; Lehmann, B.V.; Patel, H.H.; Profumo, S. Discovering new forces with gravitational waves from supermassive black holes. Phys. Rev. D 2021, 104, 083021. [Google Scholar] [CrossRef]
- Lambiase, G.; Poddar, T.K. Electrophilic scalar hair from rotating magnetized stars and effects of cosmic neutrino background. arXiv 2024, arXiv:2404.18309. [Google Scholar]
- Cline, J.M.; Cornell, J.M. Dark decay of the neutron. J. High Energy Phys. 2018, 7, 081. [Google Scholar] [CrossRef]
- Husain, W.; Thomas, A.W. Novel neutron decay mode inside neutron stars. J. Phys. G 2023, 50, 015202. [Google Scholar] [CrossRef]
- Husain, W.; Motta, T.F.; Thomas, A.W. Consequences of neutron decay inside neutron stars. J. Cosmol. Astropart. Phys. 2022, 10, 028. [Google Scholar] [CrossRef]
- Ellis, J.; Hektor, A.; Hütsi, G.; Kannike, K.; Marzola, L.; Raidal, M.; Vaskonen, V. Search for Dark Matter Effects on Gravitational Signals from Neutron Star Mergers. Phys. Lett. B 2018, 781, 607–610. [Google Scholar] [CrossRef]
- Kopp, J.; Laha, R.; Opferkuch, T.; Shepherd, W. Cuckoo’s eggs in neutron stars: Can LIGO hear chirps from the dark sector? J. High Energy Phys. 2018, 11, 096. [Google Scholar] [CrossRef]
- Bhattacharya, S.; Dasgupta, B.; Laha, R.; Ray, A. Can LIGO Detect Nonannihilating Dark Matter? Phys. Rev. Lett. 2023, 131, 091401. [Google Scholar] [CrossRef] [PubMed]
- Abbott, R.; Abbott, T.D.; Abraham, S.; Acernese, F.; Ackley, K.; Adams, C.; Adhikari, R.X.; Adya, V.B.; Affeldt, C.; Agathos, M.; et al. GW190814: Gravitational Waves from the Coalescence of a 23 Solar Mass Black Hole with a 2.6 Solar Mass Compact Object. Astrophys. J. Lett. 2020, 896, L44. [Google Scholar] [CrossRef]
- Most, E.R.; Papenfort, L.J.; Weih, L.R.; Rezzolla, L. A lower bound on the maximum mass if the secondary in GW190814 was once a rapidly spinning neutron star. Mon. Not. Roy. Astron. Soc. 2020, 499, L82–L86. [Google Scholar] [CrossRef]
- Das, H.C.; Kumar, A.; Patra, S.K. Dark matter admixed neutron star as a possible compact component in the GW190814 merger event. Phys. Rev. D 2021, 104, 063028. [Google Scholar] [CrossRef]
- Hild, S.; Abernathy, M.; Acernese, F.E.; Amaro-Seoane, P.; Andersson, N.; Arun, K.; Barone, F.; Barr, B.; Barsuglia, M.; Beker, M.; et al. Sensitivity Studies for Third-Generation Gravitational Wave Observatories. Class. Quant. Grav. 2011, 28, 094013. [Google Scholar] [CrossRef]
- Branchesi, M.; Maggiore, M.; Alonso, D.; Badger, C.; Banerjee, B.; Beirnaert, F.; Belgacem, E.; Bhagwat, S.; Boileau, G.; Borhanian, S.; et al. Science with the Einstein Telescope: A comparison of different designs. J. Cosmol. Astropart. Phys. 2023, 7, 068. [Google Scholar] [CrossRef]
- Abbott, B.P.; Abbott, R.; Abbott, T.D.; Abernathy, M.R.; Ackley, K.; Adams, C.; Addesso, P.; Adhikari, R.X.; Adya, V.B.; Affeldt, C.; et al. Exploring the Sensitivity of Next Generation Gravitational Wave Detectors. Class. Quant. Grav. 2017, 34, 044001. [Google Scholar] [CrossRef]
- Evans, M.; Corsi, A.; Afle, C.; Ananyeva, A.; Arun, K.G.; Ballmer, S.B.; Bandopadhyay, A.; Barsotti, L.; Baryakhtar, M.; Berger, E.; et al. Cosmic Explorer: A Submission to the NSF MPSAC ngGW Subcommittee. arXiv 2023, arXiv:2306.13745. [Google Scholar]
- Gendreau, K.; Arzoumanian, Z.; Okajima, T. The Neutron star Interior Composition ExploreR (NICER): An Explorer mission of opportunity for soft x-ray timing spectroscopy. Proc. SPIE-Int. Soc. Opt. Eng. 2012, 8443, 322–329. [Google Scholar] [CrossRef]
- Bezares, M.; Viganò, D.; Palenzuela, C. Gravitational wave signatures of dark matter cores in binary neutron star mergers by using numerical simulations. Phys. Rev. D 2019, 100, 044049. [Google Scholar] [CrossRef]
- Paschalidis, V.; East, W.E.; Pretorius, F.; Shapiro, S.L. One-arm Spiral Instability in Hypermassive Neutron Stars Formed by Dynamical-Capture Binary Neutron Star Mergers. Phys. Rev. D 2015, 92, 121502. [Google Scholar] [CrossRef]
- Sun, H.; Wen, D. New criterion for the existence of dark matter in neutron stars. Phys. Rev. D 2024, 109, 123037. [Google Scholar] [CrossRef]
- Goldman, I.; Nussinov, S. Weakly Interacting Massive Particles and Neutron Stars. Phys. Rev. D 1989, 40, 3221–3230. [Google Scholar] [CrossRef] [PubMed]
- Bramante, J.; Raj, N. Dark matter in compact stars. Phys. Rept. 2024, 1052, 1–48. [Google Scholar] [CrossRef]
- Garani, R.; Genolini, Y.; Hambye, T. New Analysis of Neutron Star Constraints on Asymmetric Dark Matter. J. Cosmol. Astropart. Phys. 2019, 5, 035. [Google Scholar] [CrossRef]
- Garani, R.; Palomares-Ruiz, S. Evaporation of dark matter from celestial bodies. J. Cosmol. Astropart. Phys. 2022, 5, 042. [Google Scholar] [CrossRef]
- Bell, N.F.; Busoni, G.; Robles, S. Heating up Neutron Stars with Inelastic Dark Matter. J. Cosmol. Astropart. Phys. 2018, 9, 018. [Google Scholar] [CrossRef]
- Hamaguchi, K.; Nagata, N.; Yanagi, K. Dark Matter Heating vs. Rotochemical Heating in Old Neutron Stars. Phys. Lett. B 2019, 795, 484–489. [Google Scholar] [CrossRef]
- Gonzalez, D.; Reisenegger, A. Internal Heating of Old Neutron Stars: Contrasting Different Mechanisms. Astron. Astrophys. 2010, 522, A16. [Google Scholar] [CrossRef]
- Gusakov, M.E. Neutrino emission from superfluid neutron star cores: Various types of neutron pairing. Astron. Astrophys. 2002, 389, 702. [Google Scholar] [CrossRef][Green Version]
- Page, D.; Lattimer, J.M.; Prakash, M.; Steiner, A.W. Minimal cooling of neutron stars: A New paradigm. Astrophys. J. Suppl. 2004, 155, 623–650. [Google Scholar] [CrossRef]
- Flowers, E.; Ruderman, M.; Sutherland, P. Neutrino pair emission from finite-temperature neutron superfluid and the cooling of young neutron stars. Astrophys. J. 1976, 205, 541. [Google Scholar] [CrossRef]
- Yakovlev, D.G.; Kaminker, A.D.; Levenfish, K.P. Neutrino emission due to Cooper pairing of nucleons in cooling neutron stars. Astron. Astrophys. 1999, 343, 650. [Google Scholar]
- Kaminker, A.D.; Haensel, P.; Yakovlev, D.G. Neutrino emission due to proton pairing in neutron stars. Astron. Astrophys. 1999, 345, L14–L16. [Google Scholar]
- Yakovlev, D.G.; Kaminker, A.D.; Gnedin, O.Y.; Haensel, P. Neutrino emission from neutron stars. Phys. Rept. 2001, 354, 1. [Google Scholar] [CrossRef]
- Ikhsanov, N.R. On the accretion luminosity of isolated neutron stars. Astron. Astrophys. 2003, 399, 1147–1150. [Google Scholar] [CrossRef][Green Version]
- Yin, S.; van Heugten, J.J.R.M.; Diederix, J.; Kater, M.; Vink, J.; Stoof, H.T.C. Cooling curves for neutron stars with hadronic matter and quark matter. arXiv 2011, arXiv:1112.1880. [Google Scholar]
- Carroll, B.W.; Ostlie, D.A. An Introduction to Modern Astrophysics; Cambridge University Press: Cambridge, UK, 2017. [Google Scholar]
- Chatterjee, S.; Garani, R.; Jain, R.K.; Kanodia, B.; Kumar, M.S.N.; Vempati, S.K. Faint light of old neutron stars and detectability at the James Webb Space Telescope. Phys. Rev. D 2023, 108, L021301. [Google Scholar] [CrossRef]
- Gardner, J.P.; Mather, J.C.; Clampin, M.; Doyon, R.; Greenhouse, M.A.; Hammel, H.B.; Hutchings, J.B.; Jakobsen, P.; Lilly, S.J.; Long, K.S.; et al. The James Webb Space Telescope. Space Sci. Rev. 2006, 123, 485. [Google Scholar] [CrossRef]
- Kalirai, J. Scientific Discovery with the James Webb Space Telescope. Contemp. Phys. 2018, 59, 251–290. [Google Scholar] [CrossRef]
- Rigby, J.; Perrin, M.; McElwain, M.; Kimble, R.; Friedman, S.; Lallo, M.; Doyon, R.; Feinberg, L.; Ferruit, P.; Glasse, A.; et al. The Science Performance of JWST as Characterized in Commissioning. Publ. Astron. Soc. Pac. 2023, 135, 048001. [Google Scholar] [CrossRef]
- Yakovlev, D.G.; Levenfish, K.P.; Shibanov, Y.A. Cooling neutron stars and superfluidity in their interiors. Phys. Usp. 1999, 42, 737–778. [Google Scholar] [CrossRef]
- Yanagi, K. Thermal Evolution of Neutron Stars as a Probe of Physics Beyond the Standard Model. Ph.D Thesis, The University of Tokyo, Tokyo, Japan, 2019. [Google Scholar]
- Fernandez, R.; Reisenegger, A. Rotochemical heating in millisecond pulsars. Formalism and non-superfluid case. Astrophys. J. 2005, 625, 291–306. [Google Scholar] [CrossRef]
- Villain, L.; Haensel, P. Non-equilibrium beta processes in superfluid neutron star cores. Astron. Astrophys. 2005, 444, 539. [Google Scholar] [CrossRef]
- Petrovich, C.; Reisenegger, A. Rotochemical heating in millisecond pulsars: Modified Urca reactions with uniform Cooper pairing gaps. Astron. Astrophys. 2010, 521, A77. [Google Scholar] [CrossRef][Green Version]
- González-Jiménez, N.; Petrovich, C.; Reisenegger, A. Rotochemical heating of millisecond and classical pulsars with anisotropic and density-dependent superfluid gap models. Mon. Not. Roy. Astron. Soc. 2015, 447, 2073. [Google Scholar] [CrossRef][Green Version]
- Yanagi, K.; Nagata, N.; Hamaguchi, K. Cooling Theory Faced with Old Warm Neutron Stars: Role of Non-Equilibrium Processes with Proton and Neutron Gaps. Mon. Not. Roy. Astron. Soc. 2020, 492, 5508–5523. [Google Scholar] [CrossRef]
- Kargaltsev, O.; Pavlov, G.G.; Romani, R.W. Ultraviolet emission from the millisecond pulsar j0437-4715. Astrophys. J. 2004, 602, 327–335. [Google Scholar] [CrossRef]
- Rangelov, B.; Pavlov, G.G.; Kargaltsev, O.; Reisenegger, A.; Guillot, S.; Reyes, C.; van Kerkwijk, M.H. Hubble Space Telescope Detection of the Millisecond Pulsar J2124–3358 and its Far-ultraviolet Bow Shock Nebula. Astrophys. J. 2017, 835, 264. [Google Scholar] [CrossRef]
- Pavlov, G.G.; Rangelov, B.; Kargaltsev, O.; Reisenegger, A.; Guillot, S.; Reyes, C. Old but still warm: Far-UV detection of PSR B0950+08. Astrophys. J. 2017, 850, 79. [Google Scholar] [CrossRef]
- Gonzalez-Caniulef, D.; Guillot, S.; Reisenegger, A. Neutron star radius measurement from the ultraviolet and soft X-ray thermal emission of PSR J0437–4715. Mon. Not. Roy. Astron. Soc. 2019, 490, 5848–5859. [Google Scholar] [CrossRef]
- Garani, R.; Gupta, A.; Raj, N. Observing the thermalization of dark matter in neutron stars. Phys. Rev. D 2021, 103, 043019. [Google Scholar] [CrossRef]
- Gaisser, T.K.; Steigman, G.; Tilav, S. Limits on Cold Dark Matter Candidates from Deep Underground Detectors. Phys. Rev. D 1986, 34, 2206. [Google Scholar] [CrossRef]
- Zentner, A.R. High-Energy Neutrinos From Dark Matter Particle Self-Capture Within the Sun. Phys. Rev. D 2009, 80, 063501. [Google Scholar] [CrossRef]
- Chen, C.S.; Lin, Y.H. Reheating neutron stars with the annihilation of self-interacting dark matter. J. High Energy Phys. 2018, 8, 069. [Google Scholar] [CrossRef]
- Güver, T.; Erkoca, A.E.; Hall Reno, M.; Sarcevic, I. On the capture of dark matter by neutron stars. J. Cosmol. Astropart. Phys. 2014, 5, 013. [Google Scholar] [CrossRef]
- Del Popolo, A.; Le Delliou, M.; Deliyergiyev, M. Neutron Stars and Dark Matter. Universe 2020, 6, 222. [Google Scholar] [CrossRef]
- Acevedo, J.F.; Bramante, J.; Leane, R.K.; Raj, N. Warming Nuclear Pasta with Dark Matter: Kinetic and Annihilation Heating of Neutron Star Crusts. J. Cosmol. Astropart. Phys. 2020, 3, 038. [Google Scholar] [CrossRef]
- McDermott, S.D.; Yu, H.B.; Zurek, K.M. Constraints on Scalar Asymmetric Dark Matter from Black Hole Formation in Neutron Stars. Phys. Rev. D 2012, 85, 023519. [Google Scholar] [CrossRef]
- Berryman, J.M.; Gardner, S.; Zakeri, M. Neutron Stars with Baryon Number Violation, Probing Dark Sectors. Symmetry 2022, 14, 518. [Google Scholar] [CrossRef]
- Bramante, J.; Linden, T. Detecting Dark Matter with Imploding Pulsars in the Galactic Center. Phys. Rev. Lett. 2014, 113, 191301. [Google Scholar] [CrossRef]
- Kaplan, D.E.; Luty, M.A.; Zurek, K.M. Asymmetric Dark Matter. Phys. Rev. D 2009, 79, 115016. [Google Scholar] [CrossRef]
- Petraki, K.; Volkas, R.R. Review of asymmetric dark matter. Int. J. Mod. Phys. A 2013, 28, 1330028. [Google Scholar] [CrossRef]
- Zurek, K.M. Asymmetric Dark Matter: Theories, Signatures, and Constraints. Phys. Rept. 2014, 537, 91–121. [Google Scholar] [CrossRef]
- Acevedo, J.F.; Bramante, J. Supernovae Sparked By Dark Matter in White Dwarfs. Phys. Rev. D 2019, 100, 043020. [Google Scholar] [CrossRef]
- Acevedo, J.F.; Bramante, J.; Goodman, A.; Kopp, J.; Opferkuch, T. Dark Matter, Destroyer of Worlds: Neutrino, Thermal, and Existential Signatures from Black Holes in the Sun and Earth. J. Cosmol. Astropart. Phys. 2021, 4, 026. [Google Scholar] [CrossRef]
- Kouvaris, C.; Tinyakov, P. Constraining Asymmetric Dark Matter through observations of compact stars. Phys. Rev. D 2011, 83, 083512. [Google Scholar] [CrossRef]
- Gould, A.; Draine, B.T.; Romani, R.W.; Nussinov, S. Neutron Stars: Graveyard of Charged Dark Matter. Phys. Lett. B 1990, 238, 337–343. [Google Scholar] [CrossRef]
- Starkman, G.D.; Gould, A.; Esmailzadeh, R.; Dimopoulos, S. Opening the Window on Strongly Interacting Dark Matter. Phys. Rev. D 1990, 41, 3594. [Google Scholar] [CrossRef] [PubMed]
- Mack, G.D.; Beacom, J.F.; Bertone, G. Towards Closing the Window on Strongly Interacting Dark Matter: Far-Reaching Constraints from Earth’s Heat Flow. Phys. Rev. D 2007, 76, 043523. [Google Scholar] [CrossRef]
- Bramante, J.; Buchanan, A.; Goodman, A.; Lodhi, E. Terrestrial and Martian Heat Flow Limits on Dark Matter. Phys. Rev. D 2020, 101, 043001. [Google Scholar] [CrossRef]
- Kouvaris, C.; Tinyakov, P. Excluding Light Asymmetric Bosonic Dark Matter. Phys. Rev. Lett. 2011, 107, 091301. [Google Scholar] [CrossRef]
- Kouvaris, C.; Tinyakov, P. (Not)-constraining heavy asymmetric bosonic dark matter. Phys. Rev. D 2013, 87, 123537. [Google Scholar] [CrossRef]
- Jamison, A.O. Effects of gravitational confinement on bosonic asymmetric dark matter in stars. Phys. Rev. D 2013, 88, 035004. [Google Scholar] [CrossRef]
- Garani, R.; Tytgat, M.H.G.; Vandecasteele, J. Condensed dark matter with a Yukawa interaction. Phys. Rev. D 2022, 106, 116003. [Google Scholar] [CrossRef]
- Herrera, L.; Santos, N.O. Local anisotropy in self-gravitating systems. Phys. Rept. 1997, 286, 53–130. [Google Scholar] [CrossRef]
- Chavanis, P.H. Mass-radius relation of Newtonian self-gravitating Bose-Einstein condensates with short-range interactions: I. Analytical results. Phys. Rev. D 2011, 84, 043531. [Google Scholar] [CrossRef]
- Page, D.N. Particle Emission Rates from a Black Hole: Massless Particles from an Uncharged, Nonrotating Hole. Phys. Rev. D 1976, 13, 198–206. [Google Scholar] [CrossRef]
- MacGibbon, J.H.; Webber, B.R. Quark and gluon jet emission from primordial black holes: The instantaneous spectra. Phys. Rev. D 1990, 41, 3052–3079. [Google Scholar] [CrossRef] [PubMed]
- MacGibbon, J.H. Quark and gluon jet emission from primordial black holes. 2. The Lifetime emission. Phys. Rev. D 1991, 44, 376–392. [Google Scholar] [CrossRef]
- Bramante, J.; Linden, T.; Tsai, Y.D. Searching for dark matter with neutron star mergers and quiet kilonovae. Phys. Rev. D 2018, 97, 055016. [Google Scholar] [CrossRef]
- Ruppin, F.; Billard, J.; Figueroa-Feliciano, E.; Strigari, L. Complementarity of dark matter detectors in light of the neutrino background. Phys. Rev. D 2014, 90, 083510. [Google Scholar] [CrossRef]
- Aalbers, J.; Akerib, D.S.; Akerlof, C.W.; Al Musalhi, A.K.; Alder, F.; Alqahtani, A.; Alsum, S.K.; Amarasinghe, C.S.; Ames, A.; Anderson, T.J.; et al. First Dark Matter Search Results from the LUX-ZEPLIN (LZ) Experiment. Phys. Rev. Lett. 2023, 131, 041002. [Google Scholar] [CrossRef] [PubMed]
- Aalbers, J.; Akerib, D.S.; Al Musalhi, A.K.; Alder, F.; Amarasinghe, C.S.; Ames, A.; Anderson, T.J.; Angelides, N.; Araújo, H.M.; Armstrong, J.E.; et al. Dark Matter Search Results from 4.2 Tonne-Years of Exposure of the LUX-ZEPLIN (LZ) Experiment. arXiv 2024, arXiv:2410.17036. [Google Scholar]
- Bondi, H.; Hoyle, F. On the mechanism of accretion by stars. Mon. Not. Roy. Astron. Soc. 1944, 104, 273. [Google Scholar] [CrossRef]
- Mestel, L. The influence of stellar radiation on the rate of accretion. Mon. Not. Roy. Astron. Soc. 1954, 114, 437. [Google Scholar] [CrossRef][Green Version]
- Bondi, H. On spherically symmetrical accretion. Mon. Not. Roy. Astron. Soc. 1952, 112, 195. [Google Scholar] [CrossRef]
- Kouvaris, C.; Tinyakov, P. Growth of Black Holes in the interior of Rotating Neutron Stars. Phys. Rev. D 2014, 90, 043512. [Google Scholar] [CrossRef]
- Giffin, P.; Lloyd, J.; McDermott, S.D.; Profumo, S. Neutron star quantum death by small black holes. Phys. Rev. D 2022, 105, 123030. [Google Scholar] [CrossRef]
- East, W.E.; Lehner, L. Fate of a neutron star with an endoparasitic black hole and implications for dark matter. Phys. Rev. D 2019, 100, 124026. [Google Scholar] [CrossRef]
- Doran, C.; Lasenby, A.; Dolan, S.; Hinder, I. Fermion absorption cross section of a Schwarzschild black hole. Phys. Rev. D 2005, 71, 124020. [Google Scholar] [CrossRef]
- Bramante, J.; Fukushima, K.; Kumar, J.; Stopnitzky, E. Bounds on self-interacting fermion dark matter from observations of old neutron stars. Phys. Rev. D 2014, 89, 015010. [Google Scholar] [CrossRef]
- Hawking, S.W. Black hole explosions. Nature 1974, 248, 30–31. [Google Scholar] [CrossRef]
- Ray, A. Celestial objects as strongly-interacting nonannihilating dark matter detectors. Phys. Rev. D 2023, 107, 083012. [Google Scholar] [CrossRef]
- Basumatary, U.; Raj, N.; Ray, A. Beyond Hawking evaporation of black holes formed by dark matter in compact stars. Phys. Rev. D 2024, 111, L041306. [Google Scholar] [CrossRef]
- Akerib, D.S.; Alsum, S.; Araújo, H.M.; Bai, X.; Bailey, A.J.; Balajthy, J.; Beltrame, P.; Bernard, E.P.; Bernstein, A.; Biesiadzinski, T.P.; et al. Results from a search for dark matter in the complete LUX exposure. Phys. Rev. Lett. 2017, 118, 021303. [Google Scholar] [CrossRef]
- Aprile, E.; Abe, K.; Agostini, F.; Ahmed Maouloud, S.; Althueser, L.; Andrieu, B.; Angelino, E.; Angevaare, J.R.; Antochi, V.C.; Antón Martin, D.; et al. First Dark Matter Search with Nuclear Recoils from the XENONnT Experiment. Phys. Rev. Lett. 2023, 131, 041003. [Google Scholar] [CrossRef] [PubMed]
- Ajaj, R.; Amaudruz P., A.; Araujo G., R.; Baldwin, M.; Batygov, M.; Beltran, B.; Bina C., E.; Bonatt, J.; Boulay M., G.; Broerman, B.; et al. Search for dark matter with a 231-day exposure of liquid argon using DEAP-3600 at SNOLAB. Phys. Rev. D 2019, 100, 022004. [Google Scholar] [CrossRef]
- Amole, C.; Ardid, M.; Arnquist, I.J.; Asner, D.M.; Baxter, D.; Behnke, E.; Bressler, M.; Broerman, B.; Cao, G.; Chen, C.J.; et al. Dark Matter Search Results from the Complete Exposure of the PICO-60 C3F8 Bubble Chamber. Phys. Rev. D 2019, 100, 022001. [Google Scholar] [CrossRef]
- Smith, D.A.; Abdollahi, S.; Ajello, M.; Bailes, M.; Baldini, L.; Ballet, J.; Baring, M.G.; Bassa, C.; Gonzalez, J.B.; Bellazzini, R.; et al. The Third Fermi Large Area Telescope Catalog of Gamma-Ray Pulsars. Astrophys. J. 2023, 958, 191. [Google Scholar] [CrossRef]
- Bramante, J.; Elahi, F. Higgs portals to pulsar collapse. Phys. Rev. D 2015, 91, 115001. [Google Scholar] [CrossRef]
- Perna, R.; Narayan, R.; Rybicki, G.; Stella, L.; Treves, A. Bondi accretion and the problem of the missing isolated neutron stars. Astrophys. J. 2003, 594, 936–942. [Google Scholar] [CrossRef]
- Dexter, J.; O’Leary, R.M. The Peculiar Pulsar Population of the Central Parsec. Astrophys. J. Lett. 2014, 783, L7. [Google Scholar] [CrossRef]
- Suresh, A.; Cordes, J.M.; Chatterjee, S.; Gajjar, V.; Perez, K.I.; Siemion, A.P.V.; Lebofsky, M.; MacMahon, D.H.E.; Ng, C. 4–8 GHz Fourier-domain Searches for Galactic Center Pulsars. Astrophys. J. 2022, 933, 121. [Google Scholar] [CrossRef]
- Fuller, J.; Ott, C. Dark Matter-induced Collapse of Neutron Stars: A Possible Link Between Fast Radio Bursts and the Missing Pulsar Problem. Mon. Not. Roy. Astron. Soc. 2015, 450, L71–L75. [Google Scholar] [CrossRef]
- Bramante, J. Dark matter ignition of type Ia supernovae. Phys. Rev. Lett. 2015, 115, 141301. [Google Scholar] [CrossRef] [PubMed]
- Bramante, J.; Linden, T. On the r-Process Enrichment of Dwarf Spheroidal Galaxies. Astrophys. J. 2016, 826, 57. [Google Scholar] [CrossRef]
- Randall, S.W.; Markevitch, M.; Clowe, D.; Gonzalez, A.H.; Bradac, M. Constraints on the Self-Interaction Cross-Section of Dark Matter from Numerical Simulations of the Merging Galaxy Cluster 1E 0657-56. Astrophys. J. 2008, 679, 1173–1180. [Google Scholar] [CrossRef]
- Marrodán Undagoitia, T.; Rauch, L. Dark matter direct-detection experiments. J. Phys. G 2016, 43, 013001. [Google Scholar] [CrossRef]
- Nelson, A.; Reddy, S.; Zhou, D. Dark halos around neutron stars and gravitational waves. J. Cosmol. Astropart. Phys. 2019, 7, 012. [Google Scholar] [CrossRef]
- Deliyergiyev, M.; Del Popolo, A.; Tolos, L.; Le Delliou, M.; Lee, X.; Burgio, F. Dark compact objects: An extensive overview. Phys. Rev. D 2019, 99, 063015. [Google Scholar] [CrossRef]
- Oppenheimer, J.R.; Volkoff, G.M. On Massive Neutron Cores. Phys. Rev. 1939, 55, 374–381. [Google Scholar] [CrossRef]
- Tolman, R.C. Static solutions of Einstein’s field equations for spheres of fluid. Phys. Rev. 1939, 55, 364–373. [Google Scholar] [CrossRef]
- Burgio, G.F.; Schulze, H.J.; Vidana, I.; Wei, J.B. Neutron stars and the nuclear equation of state. Prog. Part. Nucl. Phys. 2021, 120, 103879. [Google Scholar] [CrossRef]
- Chavanis, P.H.; Harko, T. Bose-Einstein Condensate general relativistic stars. Phys. Rev. D 2012, 86, 064011. [Google Scholar] [CrossRef]
- Giangrandi, E.; Sagun, V.; Ivanytskyi, O.; Providência, C.; Dietrich, T. The Effects of Self-interacting Bosonic Dark Matter on Neutron Star Properties. Astrophys. J. 2023, 953, 115. [Google Scholar] [CrossRef]
- Rafiei Karkevandi, D.; Shakeri, S.; Sagun, V.; Ivanytskyi, O. Tidal deformability as a probe of dark matter in neutron stars. In Proceedings of the 16th Marcel Grossmann Meeting on Recent Developments in Theoretical and Experimental General Relativity, Astrophysics and Relativistic Field Theories, Virtual, 5–10 July 2021; Volume 12. [Google Scholar] [CrossRef]
- Karkevandi, D.R.; Shakeri, S.; Sagun, V.; Ivanytskyi, O. Bosonic dark matter in neutron stars and its effect on gravitational wave signal. Phys. Rev. D 2022, 105, 023001. [Google Scholar] [CrossRef]
- Narain, G.; Schaffner-Bielich, J.; Mishustin, I.N. Compact stars made of fermionic dark matter. Phys. Rev. D 2006, 74, 063003. [Google Scholar] [CrossRef]
- Goldman, I.; Mohapatra, R.N.; Nussinov, S.; Rosenbaum, D.; Teplitz, V. Possible Implications of Asymmetric Fermionic Dark Matter for Neutron Stars. Phys. Lett. B 2013, 725, 200–207. [Google Scholar] [CrossRef]
- Leung, S.C.; Chu, M.C.; Lin, L.M. Dark-matter admixed neutron stars. Phys. Rev. D 2011, 84, 107301. [Google Scholar] [CrossRef]
- Ivanytskyi, O.; Sagun, V.; Lopes, I. Neutron stars: New constraints on asymmetric dark matter. Phys. Rev. D 2020, 102, 063028. [Google Scholar] [CrossRef]
- Karkevandi, D.R.; Shahrbaf, M.; Shakeri, S.; Typel, S. Exploring the Distribution and Impact of Bosonic Dark Matter in Neutron Stars. Particles 2024, 7, 201–213. [Google Scholar] [CrossRef]
- Shakeri, S.; Karkevandi, D.R. Bosonic dark matter in light of the NICER precise mass-radius measurements. Phys. Rev. D 2024, 109, 043029. [Google Scholar] [CrossRef]
- Liu, H.M.; Wei, J.B.; Li, Z.H.; Burgio, G.F.; Schulze, H.J. Dark matter effects on the properties of neutron stars: Optical radii. Phys. Dark Univ. 2023, 42, 101338. [Google Scholar] [CrossRef]
- Liu, H.M.; Wei, J.B.; Li, Z.H.; Burgio, G.F.; Das, H.C.; Schulze, H.J. Dark matter effects on the properties of neutron stars: Compactness and tidal deformability. Phys. Rev. D 2024, 110, 023024. [Google Scholar] [CrossRef]
- Jockel, C.; Sagunski, L. Fermion Proca Stars: Vector Dark Matter Admixed Neutron Stars. Particles 2024, 7, 52–79. [Google Scholar] [CrossRef]
- Diedrichs, R.F.; Becker, N.; Jockel, C.; Christian, J.E.; Sagunski, L.; Schaffner-Bielich, J. Tidal deformability of fermion-boson stars: Neutron stars admixed with ultralight dark matter. Phys. Rev. D 2023, 108, 064009. [Google Scholar] [CrossRef]
- Ciancarella, R.; Pannarale, F.; Addazi, A.; Marciano, A. Constraining mirror dark matter inside neutron stars. Phys. Dark Univ. 2021, 32, 100796. [Google Scholar] [CrossRef]
- Berezhiani, Z.; Biondi, R.; Mannarelli, M.; Tonelli, F. Neutron-mirror neutron mixing and neutron stars. Eur. Phys. J. C 2021, 81, 1036. [Google Scholar] [CrossRef]
- Kain, B. Dark matter admixed neutron stars. Phys. Rev. D 2021, 103, 043009. [Google Scholar] [CrossRef]
- Berezhiani, Z. Antistars or Antimatter Cores in Mirror Neutron Stars? Universe 2022, 8, 313. [Google Scholar] [CrossRef]
- Yang, S.H.; Pi, C.M.; Zheng, X.P. Strange stars with a mirror-dark-matter core confronting with the observations of compact stars. Phys. Rev. D 2021, 104, 083016. [Google Scholar] [CrossRef]
- Yang, S.H.; Pi, C.M. Color-flavor locked strange stars admixed with mirror dark matter and the observations of compact stars. J. Cosmol. Astropart. Phys. 2024, 9, 052. [Google Scholar] [CrossRef]
- Yang, S.H.; Pi, C.M.; Weber, F. Strange stars admixed with mirror dark matter: Confronting observations of XTE J1814-338. arXiv 2024, arXiv:2409.15969. [Google Scholar] [CrossRef]
- Rezaei, Z. Fuzzy dark matter in relativistic stars. Mon. Not. Roy. Astron. Soc. 2023, 524, 2015–2024. [Google Scholar] [CrossRef]
- Shahrbaf, M.; Blaschke, D.; Typel, S.; Farrar, G.R.; Alvarez-Castillo, D.E. Sexaquark dilemma in neutron stars and its solution by quark deconfinement. Phys. Rev. D 2022, 105, 103005. [Google Scholar] [CrossRef]
- Shahrbaf, M.; Karkevandi, D.R.; Typel, S. Constraints on the mass of a bosonic dark matter candidate within the DD2Y-T model. arXiv 2024, arXiv:2402.18686. [Google Scholar]
- Chen, P.; Suyama, T.; Yokoyama, J. Spontaneous scalarization: Asymmetron as dark matter. Phys. Rev. D 2015, 92, 124016. [Google Scholar] [CrossRef]
- Morisaki, S.; Suyama, T. Spontaneous scalarization with an extremely massive field and heavy neutron stars. Phys. Rev. D 2017, 96, 084026. [Google Scholar] [CrossRef]
- Sotani, H.; Kokkotas, K.D. Maximum mass limit of neutron stars in scalar-tensor gravity. Phys. Rev. D 2017, 95, 044032. [Google Scholar] [CrossRef]
- Davoudiasl, H. Gravitationally misaligned ultralight dark matter and implications for neutron stars. Phys. Rev. D 2024, 110, 095020. [Google Scholar] [CrossRef]
- Reddy, S.; Zhou, D. Dark lepton superfluid in protoneutron stars. Phys. Rev. D 2022, 105, 023026. [Google Scholar] [CrossRef]
- Fujiwara, M.; Hamaguchi, K.; Nagata, N.; Ramirez-Quezada, M.E. Vortex creep heating vs. dark matter heating in neutron stars. Phys. Lett. B 2024, 848, 138341. [Google Scholar] [CrossRef]
- Panotopoulos, G.; Lopes, I. Dark matter effect on realistic equation of state in neutron stars. Phys. Rev. D 2017, 96, 083004. [Google Scholar] [CrossRef]
- Das, A.; Malik, T.; Nayak, A.C. Confronting nuclear equation of state in the presence of dark matter using GW170817 observation in relativistic mean field theory approach. Phys. Rev. D 2019, 99, 043016. [Google Scholar] [CrossRef]
- Das, H.C.; Kumar, A.; Kumar, B.; Biswal, S.K.; Patra, S.K. Impacts of dark matter on the curvature of the neutron star. J. Cosmol. Astropart. Phys. 2021, 1, 007. [Google Scholar] [CrossRef]
- Das, H.C.; Kumar, A.; Patra, S.K. Effects of dark matter on the in-spiral properties of the binary neutron stars. Mon. Not. Roy. Astron. Soc. 2021, 507, 4053–4060. [Google Scholar] [CrossRef]
- Sen, D.; Guha, A. Implications of feebly interacting dark sector on neutron star properties and constraints from GW170817. Mon. Not. Roy. Astron. Soc. 2021, 504, 3354–3363. [Google Scholar] [CrossRef]
- Lenzi, C.H.; Dutra, M.; Lourenço, O.; Lopes, L.L.; Menezes, D.P. Dark matter effects on hybrid star properties. Eur. Phys. J. C 2023, 83, 266. [Google Scholar] [CrossRef]
- Dutra, M.; Lenzi, C.H.; Lourenço, O. Dark particle mass effects on neutron star properties from a short-range correlated hadronic model. Mon. Not. Roy. Astron. Soc. 2022, 517, 4265–4274. [Google Scholar] [CrossRef]
- Flores, C.V.; Lenzi, C.H.; Dutra, M.; Lourenço, O.; Arbañil, J.D.V. Gravitational wave asteroseismology of dark matter hadronic stars. Phys. Rev. D 2024, 109, 083021. [Google Scholar] [CrossRef]
- Hong, B.; Ren, Z. Mixed dark matter models for the peculiar compact object in remnant HESS J1731-347 and their implications for gravitational wave properties. Phys. Rev. D 2024, 109, 023002. [Google Scholar] [CrossRef]
- Thakur, P.; Malik, T.; Das, A.; Jha, T.K.; Sharma, B.K.; Providência, C. Feasibility of dark matter admixed neutron star based on recent observational constraints. arXiv 2024, arXiv:2408.03780. [Google Scholar]
- Guha, A.; Sen, D. Feeble DM-SM interaction via new scalar and vector mediators in rotating neutron stars. J. Cosmol. Astropart. Phys. 2021, 9, 027. [Google Scholar] [CrossRef]
- Guha, A.; Sen, D. Constraining the mass of fermionic dark matter from its feeble interaction with hadronic matter via dark mediators in neutron stars. Phys. Rev. D 2024, 109, 043038. [Google Scholar] [CrossRef]
- Motta, T.F.; Guichon, P.A.M.; Thomas, A.W. Neutron to Dark Matter Decay in Neutron Stars. Int. J. Mod. Phys. A 2018, 33, 1844020. [Google Scholar] [CrossRef]
- Shirke, S.; Ghosh, S.; Chatterjee, D.; Sagunski, L.; Schaffner-Bielich, J. R-modes as a new probe of dark matter in neutron stars. J. Cosmol. Astropart. Phys. 2023, 12, 008. [Google Scholar] [CrossRef]
- Shirke, S.; Pradhan, B.K.; Chatterjee, D.; Sagunski, L.; Schaffner-Bielich, J. Effects of dark matter on f-mode oscillations of neutron stars. Phys. Rev. D 2024, 110, 063025. [Google Scholar] [CrossRef]
- Bastero-Gil, M.; Huertas-Roldan, T.; Santos, D. Neutron decay anomaly, neutron stars, and dark matter. Phys. Rev. D 2024, 110, 083003. [Google Scholar] [CrossRef]
- Bauswein, A.; Janka, H.T.; Hebeler, K.; Schwenk, A. Equation-of-state dependence of the gravitational-wave signal from the ring-down phase of neutron-star mergers. Phys. Rev. D 2012, 86, 063001. [Google Scholar] [CrossRef]
- Das, A.; Malik, T.; Nayak, A.C. Dark matter admixed neutron star properties in light of gravitational wave observations: A two fluid approach. Phys. Rev. D 2022, 105, 123034. [Google Scholar] [CrossRef]
- Hippert, M.; Dillingham, E.; Tan, H.; Curtin, D.; Noronha-Hostler, J.; Yunes, N. Dark matter or regular matter in neutron stars? How to tell the difference from the coalescence of compact objects. Phys. Rev. D 2023, 107, 115028. [Google Scholar] [CrossRef]
- Raithel, C.; Özel, F.; Psaltis, D. Tidal deformability from GW170817 as a direct probe of the neutron star radius. Astrophys. J. Lett. 2018, 857, L23. [Google Scholar] [CrossRef]
- Zhao, T.; Lattimer, J.M. Tidal Deformabilities and Neutron Star Mergers. Phys. Rev. D 2018, 98, 063020. [Google Scholar] [CrossRef]
- Hinderer, T. Tidal Love numbers of neutron stars. Astrophys. J. 2008, 677, 1216–1220, Erratum in Astrophys. J. 2009, 697, 964. [Google Scholar] [CrossRef]
- Flanagan, E.E.; Hinderer, T. Constraining neutron star tidal Love numbers with gravitational wave detectors. Phys. Rev. D 2008, 77, 021502. [Google Scholar] [CrossRef]
- Damour, T.; Nagar, A. Relativistic tidal properties of neutron stars. Phys. Rev. D 2009, 80, 084035. [Google Scholar] [CrossRef]
- Hinderer, T.; Lackey, B.D.; Lang, R.N.; Read, J.S. Tidal deformability of neutron stars with realistic equations of state and their gravitational wave signatures in binary inspiral. Phys. Rev. D 2010, 81, 123016. [Google Scholar] [CrossRef]
- Postnikov, S.; Prakash, M.; Lattimer, J.M. Tidal Love Numbers of Neutron and Self-Bound Quark Stars. Phys. Rev. D 2010, 82, 024016. [Google Scholar] [CrossRef]
- Li, X.; Wang, F.; Cheng, K.S. Gravitational effects of condensate dark matter on compact stellar objects. J. Cosmol. Astropart. Phys. 2012, 10, 031. [Google Scholar] [CrossRef]
- Arbey, A.; Lesgourgues, J.; Salati, P. Galactic halos of fluid dark matter. Phys. Rev. D 2003, 68, 023511. [Google Scholar] [CrossRef]
- Suárez, A.; Robles, V.H.; Matos, T. A Review on the Scalar Field/Bose-Einstein Condensate Dark Matter Model. Astrophys. Space Sci. Proc. 2014, 38, 107–142. [Google Scholar] [CrossRef]
- Rutherford, N.; Raaijmakers, G.; Prescod-Weinstein, C.; Watts, A. Constraining bosonic asymmetric dark matter with neutron star mass-radius measurements. Phys. Rev. D 2023, 107, 103051. [Google Scholar] [CrossRef]
- Shen, H.; Toki, H.; Oyamatsu, K.; Sumiyoshi, K. Relativistic equation of state of nuclear matter for supernova and neutron star. Nucl. Phys. A 1998, 637, 435–450. [Google Scholar] [CrossRef]
- Diener, J.P.W. Relativistic mean-field theory applied to the study of neutron star properties. arXiv 2008, arXiv:0806.0747. [Google Scholar] [CrossRef]
- Miao, Z.; Zhu, Y.; Li, A.; Huang, F. Dark Matter Admixed Neutron Star Properties in the Light of X-Ray Pulse Profile Observations. Astrophys. J. 2022, 936, 69. [Google Scholar] [CrossRef]
- Collier, M.; Croon, D.; Leane, R.K. Tidal Love numbers of novel and admixed celestial objects. Phys. Rev. D 2022, 106, 123027. [Google Scholar] [CrossRef]
- Routaray, P.; Mohanty, S.R.; Das, H.C.; Ghosh, S.; Kalita, P.J.; Parmar, V.; Kumar, B. Investigating dark matter-admixed neutron stars with NITR equation of state in light of PSR J0952-0607. J. Cosmol. Astropart. Phys. 2023, 10, 073. [Google Scholar] [CrossRef]
- Grippa, F.; Lambiase, G.; Poddar, T.K. Constraints on scalar and vector dark matter admixed neutron stars with linear and quadratic couplings. arXiv 2024, arXiv:2407.16386. [Google Scholar]
- Xiang, Q.F.; Jiang, W.Z.; Zhang, D.R.; Yang, R.Y. Effects of fermionic dark matter on properties of neutron stars. Phys. Rev. C 2014, 89, 025803. [Google Scholar] [CrossRef]
- Khlopov, M.Y.; Beskin, G.M.; Bochkarev, N.E.; Pustylnik, L.A.; Pustylnik, S.A. Observational Physics of Mirror World. Sov. Astron. 1991, 35, 21. [Google Scholar]
- Bucciantini, N. Neutron Stars: Lectures Notes. Available online: https://www.arcetri.inaf.it/niccolo.bucciantini/files/ns.pdf (accessed on 17 February 2025).
- Hessels, J.W.T.; Ransom, S.M.; Stairs, I.H.; Freire, P.C.C.; Kaspi, V.M.; Camilo, F. A radio pulsar spinning at 716-hz. Science 2006, 311, 1901–1904. [Google Scholar] [CrossRef]
- Cromartie, H.T.; Fonseca, E.; Ransom, S.M.; Demorest, P.B.; Arzoumanian, Z.; Blumer, H.; Brook, P.R.; DeCesar, M.E.; Dolch, T.; Ellis, J.A.; et al. Relativistic Shapiro delay measurements of an extremely massive millisecond pulsar. Nature Astron. 2019, 4, 72–76. [Google Scholar] [CrossRef]
- Fonseca, E.; Cromartie, H.T.; Pennucci, T.T.; Ray, P.S.; Kirichenko, A.Y.; Ransom, S.M.; Demorest, P.B.; Stairs, I.H.; Arzoumanian, Z.; Guillemot, L.; et al. Refined Mass and Geometric Measurements of the High-mass PSR J0740+6620. Astrophys. J. Lett. 2021, 915, L12. [Google Scholar] [CrossRef]
- Demorest, P.; Pennucci, T.; Ransom, S.; Roberts, M.; Hessels, J. Shapiro Delay Measurement of A Two Solar Mass Neutron Star. Nature 2010, 467, 1081–1083. [Google Scholar] [CrossRef] [PubMed]
- Pastor-Marazuela, I.; Van Leeuwen, J.; Bilous, A.; Connor, L.; Maan, Y.; Oostrum, L.; Petroff, E.; Straal, S.; Vohl, D.; Adams, E.A.; et al. A fast radio burst with submillisecond quasi-periodic structure. Astron. Astrophys. 2023, 678, A149. [Google Scholar] [CrossRef]
- Miller, M.C.; Lamb, F.K.; Dittmann, A.J.; Bogdanov, S.; Arzoumanian, Z.; Gendreau, K.C.; Guillot, S.; Harding, A.K.; Ho, W.C.G.; Lattimer, J.M.; et al. PSR J0030+0451 Mass and Radius from NICER Data and Implications for the Properties of Neutron Star Matter. Astrophys. J. Lett. 2019, 887, L24. [Google Scholar] [CrossRef]
- Riley, T.E.; Watts, A.L.; Bogdanov, S.; Ray, P.S.; Ludlam, R.M.; Guillot, S.; Arzoumanian, Z.; Baker, C.L.; Bilous, A.V.; Chakrabarty, D.; et al. A NICER View of PSR J0030+0451: Millisecond Pulsar Parameter Estimation. Astrophys. J. Lett. 2019, 887, L21. [Google Scholar] [CrossRef]
- Miller, M.C.; Lamb, F.K.; Dittmann, A.J.; Bogdanov, S.; Arzoumanian, Z.; Gendreau, K.C.; Guillot, S.; Ho, W.C.G.; Lattimer, J.M.; Loewenstein, M.; et al. The Radius of PSR J0740+6620 from NICER and XMM-Newton Data. Astrophys. J. Lett. 2021, 918, L28. [Google Scholar] [CrossRef]
- Riley, T.E.; Watts, A.L.; Ray, P.S.; Bogdanov, S.; Guillot, S.; Morsink, S.M.; Bilous, A.V.; Arzoumanian, Z.; Choudhury, D.; Deneva, J.S.; et al. A NICER View of the Massive Pulsar PSR J0740+6620 Informed by Radio Timing and XMM-Newton Spectroscopy. Astrophys. J. Lett. 2021, 918, L27. [Google Scholar] [CrossRef]
- Gleason, T.; Brown, B.; Kain, B. Dynamical evolution of dark matter admixed neutron stars. Phys. Rev. D 2022, 105, 023010. [Google Scholar] [CrossRef]
- Guver, T.; Ozel, F.; Cabrera-Lavers, A.; Wroblewski, P. The Distance, Mass, and Radius of the Neutron Star in 4U 1608-52. Astrophys. J. 2010, 712, 964–973. [Google Scholar] [CrossRef]
- Guver, T.; Wroblewski, P.; Camarota, L.; Ozel, F. The Mass and Radius of the Neutron Star in 4U 1820-30. Astrophys. J. 2010, 719, 1807. [Google Scholar] [CrossRef]
- Ozel, F.; Baym, G.; Guver, T. Astrophysical Measurement of the Equation of State of Neutron Star Matter. Phys. Rev. D 2010, 82, 101301. [Google Scholar] [CrossRef]
- Scordino, D.; Bombaci, I. Dark matter admixed neutron stars with a realistic nuclear equation of state from chiral nuclear interactions. J. High Energy Astrophys. 2024, 45, 371–381. [Google Scholar] [CrossRef]
- Zdunik, J.L.; Haensel, P.; Gourgoulhon, E.; Bejger, M. Hyperon softening of the EOS of dense matter and the spin evolution of isolated neutron stars. Astron. Astrophys. 2004, 416, 1013. [Google Scholar] [CrossRef]
- Weissenborn, S.; Chatterjee, D.; Schaffner-Bielich, J. Hyperons and massive neutron stars: The role of hyperon potentials. Nucl. Phys. A 2012, 881, 62–77. [Google Scholar] [CrossRef]
- Vidaña, I. Neutron stars and the hyperon puzzle. EPJ Web Conf. 2022, 271, 09001. [Google Scholar] [CrossRef]
- Schertler, K.; Greiner, C.; Schaffner-Bielich, J.; Thoma, M.H. Quark phases in neutron stars and a ’third family’ of compact stars as a signature for phase transitions. Nucl. Phys. A 2000, 677, 463–490. [Google Scholar] [CrossRef]
- Abbott, B.P.; Abbott, R.; Abbott, T.D.; Acernese, F.; Ackley, K.; Adams, C.; Adams, T.; Addesso, P.; Adhikari, R.X.; Adya, V.B.; et al. Properties of the binary neutron star merger GW170817. Phys. Rev. X 2019, 9, 011001. [Google Scholar] [CrossRef]
- Yang, R.X.; Xie, F.; Liu, D.J. Tidal Deformability of Neutron Stars in Unimodular Gravity. Universe 2022, 8, 576. [Google Scholar] [CrossRef]
- Ecker, C.; Rezzolla, L. A General, Scale-independent Description of the Sound Speed in Neutron Stars. Astrophys. J. Lett. 2022, 939, L35. [Google Scholar] [CrossRef]
- Rezzolla, L.; Zanotti, O. Relativistic Hydrodynamics; Oxford University Press: Oxford, UK, 2013. [Google Scholar] [CrossRef]
- Bludman, S.A.; Ruderman, M.A. Possibility of the Speed of Sound Exceeding the Speed of Light in Ultradense Matter. Phys. Rev. 1968, 170, 1176–1184. [Google Scholar] [CrossRef]
- Hebeler, K.; Lattimer, J.M.; Pethick, C.J.; Schwenk, A. Equation of state and neutron star properties constrained by nuclear physics and observation. Astrophys. J. 2013, 773, 11. [Google Scholar] [CrossRef]
- Altiparmak, S.; Ecker, C.; Rezzolla, L. On the Sound Speed in Neutron Stars. Astrophys. J. Lett. 2022, 939, L34. [Google Scholar] [CrossRef]
- Bedaque, P.; Steiner, A.W. Sound velocity bound and neutron stars. Phys. Rev. Lett. 2015, 114, 031103. [Google Scholar] [CrossRef]
- Hoyos, C.; Jokela, N.; Rodríguez Fernández, D.; Vuorinen, A. Breaking the sound barrier in AdS/CFT. Phys. Rev. D 2016, 94, 106008. [Google Scholar] [CrossRef]
- Landry, P.; Essick, R.; Chatziioannou, K. Nonparametric constraints on neutron star matter with existing and upcoming gravitational wave and pulsar observations. Phys. Rev. D 2020, 101, 123007. [Google Scholar] [CrossRef]
- Roy, S.; Suyama, T. On the sound velocity bound in neutron stars. Results Phys. 2024, 61, 107757. [Google Scholar] [CrossRef]
- Kurkela, A.; Romatschke, P.; Vuorinen, A. Cold Quark Matter. Phys. Rev. D 2010, 81, 105021. [Google Scholar] [CrossRef]
- Fraga, E.S.; Kurkela, A.; Vuorinen, A. Interacting quark matter equation of state for compact stars. Astrophys. J. Lett. 2014, 781, L25. [Google Scholar] [CrossRef]
- Tews, I.; Carlson, J.; Gandolfi, S.; Reddy, S. Constraining the speed of sound inside neutron stars with chiral effective field theory interactions and observations. Astrophys. J. 2018, 860, 149. [Google Scholar] [CrossRef]
- Greif, S.K.; Raaijmakers, G.; Hebeler, K.; Schwenk, A.; Watts, A.L. Equation of state sensitivities when inferring neutron star and dense matter properties. Mon. Not. Roy. Astron. Soc. 2019, 485, 5363–5376. [Google Scholar] [CrossRef]
- Kojo, T.; Powell, P.D.; Song, Y.; Baym, G. Phenomenological QCD equation of state for massive neutron stars. Phys. Rev. D 2015, 91, 045003. [Google Scholar] [CrossRef]
- Alsing, J.; Silva, H.O.; Berti, E. Evidence for a maximum mass cut-off in the neutron star mass distribution and constraints on the equation of state. Mon. Not. Roy. Astron. Soc. 2018, 478, 1377–1391. [Google Scholar] [CrossRef]
- Bitaghsir Fadafan, K.; Kazemian, F.; Schmitt, A. Towards a holographic quark-hadron continuity. J. High Energy Phys. 2019, 3, 183. [Google Scholar] [CrossRef]
- McLerran, L.; Reddy, S. Quarkyonic Matter and Neutron Stars. Phys. Rev. Lett. 2019, 122, 122701. [Google Scholar] [CrossRef] [PubMed]
- Bauswein, A.; Just, O.; Janka, H.T.; Stergioulas, N. Neutron-star radius constraints from GW170817 and future detections. Astrophys. J. Lett. 2017, 850, L34. [Google Scholar] [CrossRef]
- Margalit, B.; Metzger, B.D. Constraining the Maximum Mass of Neutron Stars From Multi-Messenger Observations of GW170817. Astrophys. J. Lett. 2017, 850, L19. [Google Scholar] [CrossRef]
- Rezzolla, L.; Most, E.R.; Weih, L.R. Using gravitational-wave observations and quasi-universal relations to constrain the maximum mass of neutron stars. Astrophys. J. Lett. 2018, 852, L25. [Google Scholar] [CrossRef]
- Ruiz, M.; Shapiro, S.L.; Tsokaros, A. GW170817, General Relativistic Magnetohydrodynamic Simulations, and the Neutron Star Maximum Mass. Phys. Rev. D 2018, 97, 021501. [Google Scholar] [CrossRef]
- Shibata, M.; Fujibayashi, S.; Hotokezaka, K.; Kiuchi, K.; Kyutoku, K.; Sekiguchi, Y.; Tanaka, M. Modeling GW170817 based on numerical relativity and its implications. Phys. Rev. D 2017, 96, 123012. [Google Scholar] [CrossRef]
- Shibata, M.; Zhou, E.; Kiuchi, K.; Fujibayashi, S. Constraint on the maximum mass of neutron stars using GW170817 event. Phys. Rev. D 2019, 100, 023015. [Google Scholar] [CrossRef]
- Nathanail, A.; Most, E.R.; Rezzolla, L. GW170817 and GW190814: Tension on the maximum mass. Astrophys. J. Lett. 2021, 908, L28. [Google Scholar] [CrossRef]
- Acernese, F.; Agathos, M.; Agatsuma, K.; Aisa, D.; Allemandou, N.; Allocca, A.; Amarni, J.; Astone, P.; Balestri, G.; Ballardin, G.; et al. Advanced Virgo: A second-generation interferometric gravitational wave detector. Class. Quant. Grav. 2015, 32, 024001. [Google Scholar] [CrossRef]
- Aasi, J.; Abbott, B.P.; Abbott, R.; Abbott, T.; Abernathy, M.R.; Ackley, K.; Adams, C.; Adams, T.; Addesso, P.; Adhikari, R.X.; et al. Advanced LIGO. Class. Quant. Grav. 2015, 32, 074001. [Google Scholar] [CrossRef]
- Somiya, K. Detector configuration of KAGRA: The Japanese cryogenic gravitational-wave detector. Class. Quant. Grav. 2012, 29, 124007. [Google Scholar] [CrossRef]
- Croon, D.; Nelson, A.E.; Sun, C.; Walker, D.G.E.; Xianyu, Z.Z. Hidden-Sector Spectroscopy with Gravitational Waves from Binary Neutron Stars. Astrophys. J. Lett. 2018, 858, L2. [Google Scholar] [CrossRef]
- Choi, H.G.; Jung, S. New probe of dark matter-induced fifth force with neutron star inspirals. Phys. Rev. D 2019, 99, 015013. [Google Scholar] [CrossRef]
- Alexander, S.; McDonough, E.; Sims, R.; Yunes, N. Hidden-Sector Modifications to Gravitational Waves From Binary Inspirals. Class. Quant. Grav. 2018, 35, 235012. [Google Scholar] [CrossRef]
- Sagunski, L.; Zhang, J.; Johnson, M.C.; Lehner, L.; Sakellariadou, M.; Liebling, S.L.; Palenzuela, C.; Neilsen, D. Neutron star mergers as a probe of modifications of general relativity with finite-range scalar forces. Phys. Rev. D 2018, 97, 064016. [Google Scholar] [CrossRef]
- Poddar, T.K.; Ghoshal, A.; Lambiase, G. Listening to dark sirens from gravitational waves: Combined effects of fifth force, ultralight particle radiation, and eccentricity. Phys. Dark Univ. 2024, 46, 101651. [Google Scholar] [CrossRef]
- Bauswein, A.; Janka, H.T. Measuring neutron-star properties via gravitational waves from binary mergers. Phys. Rev. Lett. 2012, 108, 011101. [Google Scholar] [CrossRef]
- Clark, J.A.; Bauswein, A.; Stergioulas, N.; Shoemaker, D. Observing Gravitational Waves From The Post-Merger Phase Of Binary Neutron Star Coalescence. Class. Quant. Grav. 2016, 33, 085003. [Google Scholar] [CrossRef]
- Prakash, A.; Radice, D.; Logoteta, D.; Perego, A.; Nedora, V.; Bombaci, I.; Kashyap, R.; Bernuzzi, S.; Endrizzi, A. Signatures of deconfined quark phases in binary neutron star mergers. Phys. Rev. D 2021, 104, 083029. [Google Scholar] [CrossRef]
- Prakash, A.; Gupta, I.; Breschi, M.; Kashyap, R.; Radice, D.; Bernuzzi, S.; Logoteta, D.; Sathyaprakash, B.S. Detectability of QCD phase transitions in binary neutron star mergers: Bayesian inference with the next generation gravitational wave detectors. Phys. Rev. D 2024, 109, 103008. [Google Scholar] [CrossRef]
- Stergioulas, N.; Bauswein, A.; Zagkouris, K.; Janka, H.T. Gravitational waves and nonaxisymmetric oscillation modes in mergers of compact object binaries. Mon. Not. Roy. Astron. Soc. 2011, 418, 427. [Google Scholar] [CrossRef]
- Takami, K.; Rezzolla, L.; Baiotti, L. Constraining the Equation of State of Neutron Stars from Binary Mergers. Phys. Rev. Lett. 2014, 113, 091104. [Google Scholar] [CrossRef] [PubMed]
- Bauswein, A.; Stergioulas, N.; Janka, H.T. Exploring properties of high-density matter through remnants of neutron-star mergers. Eur. Phys. J. A 2016, 52, 56. [Google Scholar] [CrossRef]
- East, W.E.; Paschalidis, V.; Pretorius, F.; Shapiro, S.L. Relativistic Simulations of Eccentric Binary Neutron Star Mergers: One-arm Spiral Instability and Effects of Neutron Star Spin. Phys. Rev. D 2016, 93, 024011. [Google Scholar] [CrossRef]
- Lehner, L.; Liebling, S.L.; Palenzuela, C.; Motl, P.M. m=1 instability and gravitational wave signal in binary neutron star mergers. Phys. Rev. D 2016, 94, 043003. [Google Scholar] [CrossRef]
- Lehner, L.; Liebling, S.L.; Palenzuela, C.; Caballero, O.L.; O’Connor, E.; Anderson, M.; Neilsen, D. Unequal mass binary neutron star mergers and multimessenger signals. Class. Quant. Grav. 2016, 33, 184002. [Google Scholar] [CrossRef]
- Radice, D.; Bernuzzi, S.; Ott, C.D. One-armed spiral instability in neutron star mergers and its detectability in gravitational waves. Phys. Rev. D 2016, 94, 064011. [Google Scholar] [CrossRef]
- Hodges, H.M. Mirror baryons as the dark matter. Phys. Rev. D 1993, 47, 456–459. [Google Scholar] [CrossRef] [PubMed]
- Berezhiani, Z.; Comelli, D.; Villante, F.L. The Early mirror universe: Inflation, baryogenesis, nucleosynthesis and dark matter. Phys. Lett. B 2001, 503, 362–375. [Google Scholar] [CrossRef]
- Berezhiani, Z. Mirror world and its cosmological consequences. Int. J. Mod. Phys. A 2004, 19, 3775–3806. [Google Scholar] [CrossRef]
- Ignatiev, A.Y.; Volkas, R.R. Mirror dark matter and large scale structure. Phys. Rev. D 2003, 68, 023518. [Google Scholar] [CrossRef]
- Foot, R. Mirror dark matter: Cosmology, galaxy structure and direct detection. Int. J. Mod. Phys. A 2014, 29, 1430013. [Google Scholar] [CrossRef]
- Emma, M.; Schianchi, F.; Pannarale, F.; Sagun, V.; Dietrich, T. Numerical Simulations of Dark Matter Admixed Neutron Star Binaries. Particles 2022, 5, 273–286. [Google Scholar] [CrossRef]
- Bauswein, A.; Guo, G.; Lien, J.H.; Lin, Y.H.; Wu, M.R. Compact dark objects in neutron star mergers. Phys. Rev. D 2023, 107, 083002. [Google Scholar] [CrossRef]
- Rüter, H.R.; Sagun, V.; Tichy, W.; Dietrich, T. Quasiequilibrium configurations of binary systems of dark matter admixed neutron stars. Phys. Rev. D 2023, 108, 124080. [Google Scholar] [CrossRef]
- Diamond, M.D.; Marques-Tavares, G. γ-Ray Flashes from Dark Photons in Neutron Star Mergers. Phys. Rev. Lett. 2022, 128, 211101. [Google Scholar] [CrossRef] [PubMed]
- Diamond, M.; Fiorillo, D.F.G.; Marques-Tavares, G.; Tamborra, I.; Vitagliano, E. Multimessenger Constraints on Radiatively Decaying Axions from GW170817. Phys. Rev. Lett. 2024, 132, 101004. [Google Scholar] [CrossRef] [PubMed]
- Amaro-Seoane, P.; Audley, H.; Babak, S.; Baker, J.; Barausse, E.; Bender, P.; Berti, E.; Binetruy, P.; Born, M.; Bortoluzzi, D.; et al. Laser Interferometer Space Antenna. arXiv 2017, arXiv:1702.00786. [Google Scholar]
- Arun, K.G.; Belgacem, E.; Benkel, R.; Bernard, L.; Berti, E.; Bertone, G.; Besancon, M.; Blas, D.; Böhmer, C.G.; Brito, R.; et al. New horizons for fundamental physics with LISA. Living Rev. Rel. 2022, 25, 4. [Google Scholar] [CrossRef]
- Amaro-Seoane, P.; Andrews, J.; Arca Sedda, M.; Askar, A.; Baghi, Q.; Balasov, R.; Bartos, I.; Bavera, S.S.; Bellovary, J.; Berry, C.P.; et al. Astrophysics with the Laser Interferometer Space Antenna. Living Rev. Rel. 2023, 26, 2. [Google Scholar] [CrossRef]
- Dengler, Y.; Schaffner-Bielich, J.; Tolos, L. Second Love number of dark compact planets and neutron stars with dark matter. Phys. Rev. D 2022, 105, 043013. [Google Scholar] [CrossRef]
- Berezhiani, Z.; Bento, L. Neutron-mirror neutron oscillations: How fast might they be? Phys. Rev. Lett. 2006, 96, 081801. [Google Scholar] [CrossRef]
- Serebrov, A.P.; Aleksandrov, E.B.; Dovator, N.A.; Dmitriev, S.P.; Fomin, A.K.; Geltenbort, P.; Kharitonov, A.G.; Krasnoschekova, I.A.; Lasakov, M.S.; Murashkin, A.N.; et al. Experimental search for neutron: Mirror neutron oscillations using storage of ultracold neutrons. Phys. Lett. B 2008, 663, 181–185. [Google Scholar] [CrossRef]
- Fornal, B.; Grinstein, B. Dark Matter Interpretation of the Neutron Decay Anomaly. Phys. Rev. Lett. 2018, 120, 191801, Erratum in Phys. Rev. Lett. 2020, 124, 219901. [Google Scholar] [CrossRef] [PubMed]
- Pichlmaier, A.; Varlamov, V.; Schreckenbach, K.; Geltenbort, P. Neutron lifetime measurement with the UCN trap-in-trap MAMBO II. Phys. Lett. B 2010, 693, 221–226. [Google Scholar] [CrossRef]
- Serebrov, A.; Varlamov, V.; Kharitonov, A.; Fomin, A.; Pokotilovski, Y.; Geltenbort, P.; Butterworth, J.; Krasnoschekova, I.; Lasakov, M.; Tal’Daev, R.; et al. Measurement of the neutron lifetime using a gravitational trap and a low-temperature Fomblin coating. Phys. Lett. B 2005, 605, 72–78. [Google Scholar] [CrossRef]
- Steyerl, A.; Pendlebury, J.M.; Kaufman, C.; Malik, S.S.; Desai, A.M. Quasielastic scattering in the interaction of ultracold neutrons with a liquid wall and application in a reanalysis of the Mambo I neutron-lifetime experiment. Phys. Rev. C 2012, 85, 065503. [Google Scholar] [CrossRef]
- Arzumanov, S.; Bondarenko, L.; Chernyavsky, S.; Geltenbort, P.; Morozov, V.; Nesvizhevsky, V.V.; Panin, Y.; Strepetov, A. A measurement of the neutron lifetime using the method of storage of ultracold neutrons and detection of inelastically up-scattered neutrons. Phys. Lett. B 2015, 745, 79–89. [Google Scholar] [CrossRef]
- Byrne, J.; Dawber, P.G.; Spain, J.A.; Williams, A.P.; Dewey, M.S.; Gilliam, D.M.; Greene, G.L.; Lamaze, G.P.; Scott, R.D.; Pauwels, J.; et al. Measurement of the neutron lifetime by counting trapped protons. Phys. Rev. Lett. 1990, 65, 289–292. [Google Scholar] [CrossRef]
- Yue, A.T.; Dewey, M.S.; Gilliam, D.M.; Greene, G.L.; Laptev, A.B.; Nico, J.S.; Snow, W.M.; Wietfeldt, F.E. Improved Determination of the Neutron Lifetime. Phys. Rev. Lett. 2013, 111, 222501. [Google Scholar] [CrossRef] [PubMed]
- Czarnecki, A.; Marciano, W.J.; Sirlin, A. Neutron Lifetime and Axial Coupling Connection. Phys. Rev. Lett. 2018, 120, 202002. [Google Scholar] [CrossRef]
- Tang, Z.; Blatnik, M.; Broussard, L.J.; Choi, J.H.; Clayton, S.M.; Cude-Woods, C.; Currie, S.; Fellers, D.E.; Fries, E.M.; Geltenbort, P.; et al. Search for the Neutron Decay n→ X+γ where X is a dark matter particle. Phys. Rev. Lett. 2018, 121, 022505. [Google Scholar] [CrossRef] [PubMed]
- McKeen, D.; Nelson, A.E.; Reddy, S.; Zhou, D. Neutron stars exclude light dark baryons. Phys. Rev. Lett. 2018, 121, 061802. [Google Scholar] [CrossRef] [PubMed]
- Berezhiani, Z.; Biondi, R.; Geltenbort, P.; Krasnoshchekova, I.A.; Varlamov, V.E.; Vassiljev, A.V.; Zherebtsov, O.M. New experimental limits on neutron-mirror neutron oscillations in the presence of mirror magnetic field. Eur. Phys. J. C 2018, 78, 717. [Google Scholar] [CrossRef]
- Berezhiani, Z. Neutron lifetime puzzle and neutron–mirror neutron oscillation. Eur. Phys. J. C 2019, 79, 484. [Google Scholar] [CrossRef]
- Berezhiani, Z. Neutron lifetime and dark decay of the neutron and hydrogen. LHEP 2019, 2, 118. [Google Scholar] [CrossRef]
- Ayres, N.J.; Berezhiani, Z.; Biondi, R.; Bison, G.; Bodek, K.; Bondar, V.; Chiu, P.J.; Daum, M.; Dinani, R.T.; Doorenbos, C.B.; et al. Improved Search for Neutron to Mirror-Neutron Oscillations in the Presence of Mirror Magnetic Fields with a Dedicated Apparatus at the PSI UCN Source. Symmetry 2022, 14, 503. [Google Scholar] [CrossRef]
- Fuwa, Y.; Hasegawa, T.; Hirota, K.; Hoshino, T.; Hosokawa, R.; Ichikawa, G.; Ieki, S.; Ino, T.; Iwashita, Y.; Kitaguchi, M.; et al. Improved measurements of neutron lifetime with cold neutron beam at J-PARC. arXiv 2024, arXiv:2412.19519. [Google Scholar]


Disclaimer/Publisher’s Note: The statements, opinions and data contained in all publications are solely those of the individual author(s) and contributor(s) and not of MDPI and/or the editor(s). MDPI and/or the editor(s) disclaim responsibility for any injury to people or property resulting from any ideas, methods, instructions or products referred to in the content. |
© 2025 by the authors. Licensee MDPI, Basel, Switzerland. This article is an open access article distributed under the terms and conditions of the Creative Commons Attribution (CC BY) license (https://creativecommons.org/licenses/by/4.0/).
Share and Cite
Grippa, F.; Lambiase, G.; Poddar, T.K. Searching for New Physics in an Ultradense Environment: A Review on Dark Matter Admixed Neutron Stars. Universe 2025, 11, 74. https://doi.org/10.3390/universe11030074
Grippa F, Lambiase G, Poddar TK. Searching for New Physics in an Ultradense Environment: A Review on Dark Matter Admixed Neutron Stars. Universe. 2025; 11(3):74. https://doi.org/10.3390/universe11030074
Chicago/Turabian StyleGrippa, Francesco, Gaetano Lambiase, and Tanmay Kumar Poddar. 2025. "Searching for New Physics in an Ultradense Environment: A Review on Dark Matter Admixed Neutron Stars" Universe 11, no. 3: 74. https://doi.org/10.3390/universe11030074
APA StyleGrippa, F., Lambiase, G., & Poddar, T. K. (2025). Searching for New Physics in an Ultradense Environment: A Review on Dark Matter Admixed Neutron Stars. Universe, 11(3), 74. https://doi.org/10.3390/universe11030074

