Abstract
We study the Stueckelberg field in de Sitter space, which is a massive vector field with the gauge fixing (GF) term . We obtain the vacuum stress tensor, which consists of the transverse, longitudinal, temporal, and GF parts, and each contains various UV divergences. By the minimal subtraction rule, we regularize each part of the stress tensor to its pertinent adiabatic order. The transverse stress tensor is regularized to the 0th adiabatic order, while the longitudinal, temporal, and GF stress tensors are regularized to the 2nd adiabatic order. The resulting total regularized vacuum stress tensor is convergent and maximally symmetric, has a positive energy density, and respects the covariant conservation, and thus, it can be identified as the cosmological constant that drives the de Sitter inflation. Under the Lorenz condition , the regularized Stueckelberg stress tensor reduces to the regularized Proca stress tensor that contains only the transverse and longitudinal modes. In the massless limit, the regularized Stueckelberg stress tensor becomes zero, and is the same as that of the Maxwell field with the GF term, and no trace anomaly exists. If the order of adiabatic regularization were lower than our prescription, some divergences would remain. If the order were higher, say, under the conventional 4th-order regularization, more terms than necessary would be subtracted off, leading to an unphysical negative energy density and the trace anomaly simultaneously.
Keywords:
inflationary universe; quantum fields in curved spacetimes; mathematical and relativistic aspects of cosmology; relativity and gravitation PACS:
98.80.Cq; 04.62.+v; 98.80.Jk; 95.30.Sf
1. Introduction
The stress tensor of a quantum field in the vacuum state generally has ultraviolet (UV) divergences. For instance, in the Minkowski spacetime, the zero point vacuum energy is UV divergent, and is removed through the conventional normal-ordering of field operators. In curved spacetimes, the vacuum stress tensor may not be simply dropped, as its finite part can be the source of the Einstein equation and generate gravitational field [1,2,3,4]. An important example is the de Sitter inflation, which can be driven by the vacuum stress tensor of some quantum fields in the early universe. The UV divergent part must be properly removed from the stress tensor before considering its physical consequences. The adiabatic regularization is a useful method to remove UV divergences in k-space [5,6,7,8,9,10,11,12,13,14,15,16,17,18,19], respecting the covariant conservation of energy to each adiabatic order. The issue of infrared divergences of a massless field [20] is beyond the scope of this paper.
In our previous work [21], assuming the minimal subtraction rule [5], we have performed the adiabatic regularization on the coupling scalar fields in de Sitter space, and found that for the conformally coupling scalar field the 0th-order regularization is sufficient to remove all UV divergences, and for the minimally coupling, the 2nd-order regularization is sufficient. In both cases, the resulting regularized spectral stress tensor is UV and infrared (IR) convergent and positive, and respects the covariant conservation. The regularized stress tensor is finite and maximally symmetric, has a positive energy density, and can be regarded as the cosmological constant [22] that drives the de Sitter inflation. In the massless limit, the regularized stress tensor is zero for both the conformally and minimally coupling scalar fields, and this is consistent with the results of the massless scalar fields [23]. To scrutinize these results, we have taken an alternative approach, performed the point-splitting regularization in x-space [24] on the scalar fields, and obtained the same regularized stress tensor as those from the adiabatic regularization [21,23]. These experiences on the scalar fields with various couplings help us to do regularization on other types of fields. For the Maxwell field with the GF term in the de Sitter space [25] and, respectively, in the radiation-dominant (RD) stage [26], we derived the exact solutions, implemented the covariant canonical quantization, and obtained the Maxwell vacuum stress tensor. It is found that the longitudinal and temporal stress tensors cancel to zero in the Gupta–Bleuler (GB) states [25,26,27,28], and only the transverse and the GF parts remain. By the minimal subtraction rule, we regularized the transverse vacuum stress tensor by the 0th-order regularization, the GF vacuum stress tensor by the 2nd-order, and the total regularized Maxwell stress tensor is zero. This tells that different components of a vector field generally require different order of regularization. For the Maxwell field with the GF term in the matter-dominant (MD) stage [26], the GF stress tensor was regularized by the 4th order, instead of the 2nd order. This tells that, for a given field in different curved spacetimes, in general, one needs different orders of regularization.
Refs. [29,30,31] studied the two-point functions of the Proca field or of the Stueckelberg field in de Sitter space, but did not calculate the stress tensor. By the DeWitt–Schwinger formulation [2], Refs. [32,33,34] performed the dimensional regularization on the Stueckelberg stress tensor, and claimed the trace anomaly in the massless limit. However, the DeWitt–Schwinger integration is singular and thus undefined in the massless case [2,21]. Ref. [35] applied the 4th-order adiabatic regularization on the Proca and Stueckelberg stress tensors in a general flat Robertson–Walker (fRW) spacetime, and pointed out new divergences in the 4th-order subtraction terms for the longitudinal Proca stress tensor. Ref. [36] also applied the 4th-order adiabatic regularization to Proca stress tensor and analyzed these new divergences in the longitudinal part in connection with a minimally coupling scalar field. Ref. [37] performed the 4th-order regularization on the trace of the Stueckelberg stress tensor in de Sitter space. In regard to the subtraction terms involved, the 4th-order adiabatic regularization is equivalent to the dimensional regularization [32,33,34]. The trace anomaly in the massless limit claimed in Refs. [32,33,34,35,36,37] was based upon the 4th-order regularization of a massive vector field, and is in conflict with the zero trace of the regularized stress tensor of the corresponding massless vector field [25,26]. There must be something inconsistent.
In this paper, we study the Stueckelberg field, which is a massive vector field with the GF term in de Sitter space. The vacuum stress tensor consists of the transverse, longitudinal, temporal, and GF parts. Instead of the 4th-order regularization, we shall regularize each part of the stress tensor to its pertinent adiabatic order according to the minimal subtraction rule [5] (specifically, the 0th order for the transverse part and the 2nd order for the longitudinal, temporal, and GF parts), and obtain the convergent spectral stress tensor, which, after k-integration, yields the maximally symmetric regularized stress tensor with a positive energy density. In particular, in the massless limit, the regularized Stueckelberg stress tensor is zero, and agrees with that of the Maxwell field with the GF term [25], and the conflict disappears. We shall also show that under relevant conditions, the Stueckelberg vacuum stress tensor reduces to the Proca vacuum stress tensor, and, respectively, to the Maxwell vacuum stress tensor with the GF term. Moreover, we shall examine the conventional 4th-order regularization in great details, and calculate the 4th-order subtraction terms for each part of the Stueckelberg stress tensor, and demonstrate that the 4th-order regularization leads to an unphysical, negative total energy density and the so-called trace anomaly simultaneously. In addition, we also show that, in generic fRW spacetimes, the new divergences in the 4th-order terms occur not only in the longitudinal part [35,36], but also in the temporal and GF parts.
The paper is organized as follows. Section 2 gives the solutions of the Stueckelberg field in de Sitter space. Section 3 presents the covariant canonical quantization and the vacuum stress tensor. In Section 4, we perform pertinent regularization on each part of the vacuum stress tensor and give the regularized Stueckelberg and Proca stress tensors. Section 5 gives the reduction of the Stueckelberg stress tensor to the Proca stress tensor, and, respectively, in the massless limit, to the Maxwell stress tensor with the GF term. Section 6 demonstrates that the negative total energy density and the trace anomaly are caused by the improper 4th-order regularization. Section 7 gives conclusions and discussions. In Appendix A, based on the WKB solutions, we present the adiabatic subtraction terms up to the 4th order and the new divergences, and the trace anomaly carried by the 4th-order terms above the 2nd-order ones. Appendix B gives the massless limit of the solutions of the longitudinal and temporal components. We shall work in units .
2. Solution of Stueckelberg Field in de Sitter Space
The Proca field is a massive vector field with the Lagrangian density
where , and its field equation is given by
where “;” denotes the covariant differentiation with respect to the curved spacetime background. Due to the mass term, the Proca field has no gauge invariance, unlike the Maxwell field [25]. The covariant four-divergence of (2) leads to
which is the Lorenz condition, so only three components of are independent dynamical degrees of freedom. In the massless limit , the propagators of the Proca field are singular [27]. To allow for the massless limit, one adds a gauge fixing (GF) term by hand, and works with the Stueckelberg field with the Lagrangian density [27,35,37]
and the Stueckelberg field equation
where is the GF parameter. is referred to as the Feynman gauge, as the Landau gauge, and as the unitary gauge. Due to the mass term, the Stueckelberg field is not a gauge field either. The original Stueckelberg theory contains an additional scalar field B to maintain the gauge invariance [38,39,40]. For the purpose of studying the regularization scheme of a generic vector field which can reduce to a Maxwell field and Proca field, we consider only the simplest Stueckelberg field (4) without a scalar B field. All the four components of the Stueckelberg field are dynamical degrees of freedom, since the condition (3) is not imposed, unlike the Proca field. The covariant four-divergence of (5) leads to , which tells that satisfies the equation of a minimally coupling scalar field with a mass . The Stueckelberg field is interesting in that, under pertinent conditions, it reduces to the Proca field, and, respectively, to the Maxwell field with GF term in the limit [25], as we shall show in Section 5. The Stueckelberg field studied in this paper is different from the massive gauge field studied in Refs. [39,40].
In an fRW spacetime
the Stueckelberg Equation (5) is written as
where is the Minkowski metric and , where ′ denotes the derivative with respect to the conformal time (for easy comparison, we use notations close to Refs. [25,31,37]). The i-component is written as
where are the transverse components satisfying , and A is the longitudinal component. For convenience, we shall work with the Fourier k-modes. Equation (7) in k-modes is decomposed into the following three equations:
where we also use , A, and to represent their k-modes when no confusion arises. The components A and are mixed up in (10) and (11). We need the canonical momenta for canonical quantization, which are defined by
The 0- and i-components are
where
With , the k-mode of (13) is
which is contributed by the GF term. We also use , to represent their k-modes.
In this paper, we consider the de Sitter space with the scale factor
where H is a constant, is the ending time of inflation, and in de Sitter space. The solutions of Equations (9)–(11) in de Sitter space are easier to derive than those of the Maxwell equations [21]. Equation (9) of the transverse components is the same as the rescaled conformally coupling massive scalar field [21], and has the positive frequency solution
with and for two transverse polarizations. In the massless limit , , (19) reduces to .
The basic Equations (10) and (11) are mixed up for A and . By differentiation and combination, Equations (10) and (11) are written as the following third-order equations
With the help of (20) and (21), Equations (10) and (11) can be converted into the separate, fourth-order differential equations of A and as follows
Equations (22) and (23) have the positive frequency solutions
where and are constants, and
with
In the massless limit ,
Notice that solution (31) is the same as that of a minimally coupling massless scalar field in de Sitter space. In particular, the parameters and occur in a combination in the mode , for which the limit is equivalent to the Landau gauge .
The and parts of (24) and (25) are, respectively, two independent positive-freq solutions, and their complex conjugates are two independent negative-freq solutions, together, they form the complete set of solutions of (10) and (11). The Stueckelberg field solutions (24) and (25) reduce to the solutions of the Proca field, under the Lorenz condition (3), i.e., . In the massless limit , Equations (22) and (23) and the solutions (24) and (25) reduce to those of the Maxwell field with the GF term [25] (see Appendix B).
The solutions (24) and (25) can be derived alternatively as the following. Equations (20) and (21) can be written as
which have the positive frequency solution
3. Covariant Canonical Quantization and Stress Tensor of the Stueckelberg Field
We shall implement the canonical quantization and require the field operators satisfy the equal-time covariant canonical commutation relations
the components of (38) are decomposed into
The transverse fields and canonical momenta are written as
where with are the transverse modes (19), the polarization vector satisfies
The longitudinal and temporal canonical momenta and are expanded as
where
with the modes and given by (34) and (35), and , , , being coefficients to be determined. The commutator of creation and annihilation operators are
The expansions (47) and (48) contain both and , and are more general than that in Refs. [31,37]. From the relations (36) and (37) follow
where
The operators A and given by (54) and (55) satisfy the basic Equations (10) and (11). From the commutation relations (38)–(40) and (53), we obtain the following constraints on the coefficients
There are infinitely many choices of coefficients satisfying (60)–(62), for instance, a simple choice,
corresponds to the one taken in Refs. [31,37], and another simple choice is , , , . We have checked that the vacuum stress tensor is the same for all the different choices of the coefficients satisfying (60)–(62).
From the action the Stueckelberg stress tensor, , is given by
The energy density is , the pressure is , and the trace is
which is contributed by the GF and mass terms. For convenience, we group the stress tensor into the following three parts. The transverse stress tensor is
The longitudinal and temporal (LT) stress tensor is
which has a cross term . The GF stress tensor is
We need the expectation value of in the quantum state , which is built upon the Bunch–Davies vacuum state defined by . By use of the expansion in (42), the transverse stress tensor in the state is given by the following
where
are the transverse spectral energy density and spectral pressure, independent of . With the two transverse mode functions , the transverse spectral stress tensors (74) and (75) are twice that of the conformally coupling massive scalar field [21]. In (72) and (73) the first terms
are the vacuum part, and the remaining terms are the particle part. In this paper, we consider only the stress tensor in the Bunch–Davies vacuum state. The properties of vacuum states in de Sitter space were discussed in Refs. [41,42]. Hereafter, we focus the vacuum stress tensor, which contains UV divergences. By their structure, and are twice that of the conformally coupling massive scalar field [21], due to the mass term. It is checked that the transverse spectral stress tensor respects the covariant conservation
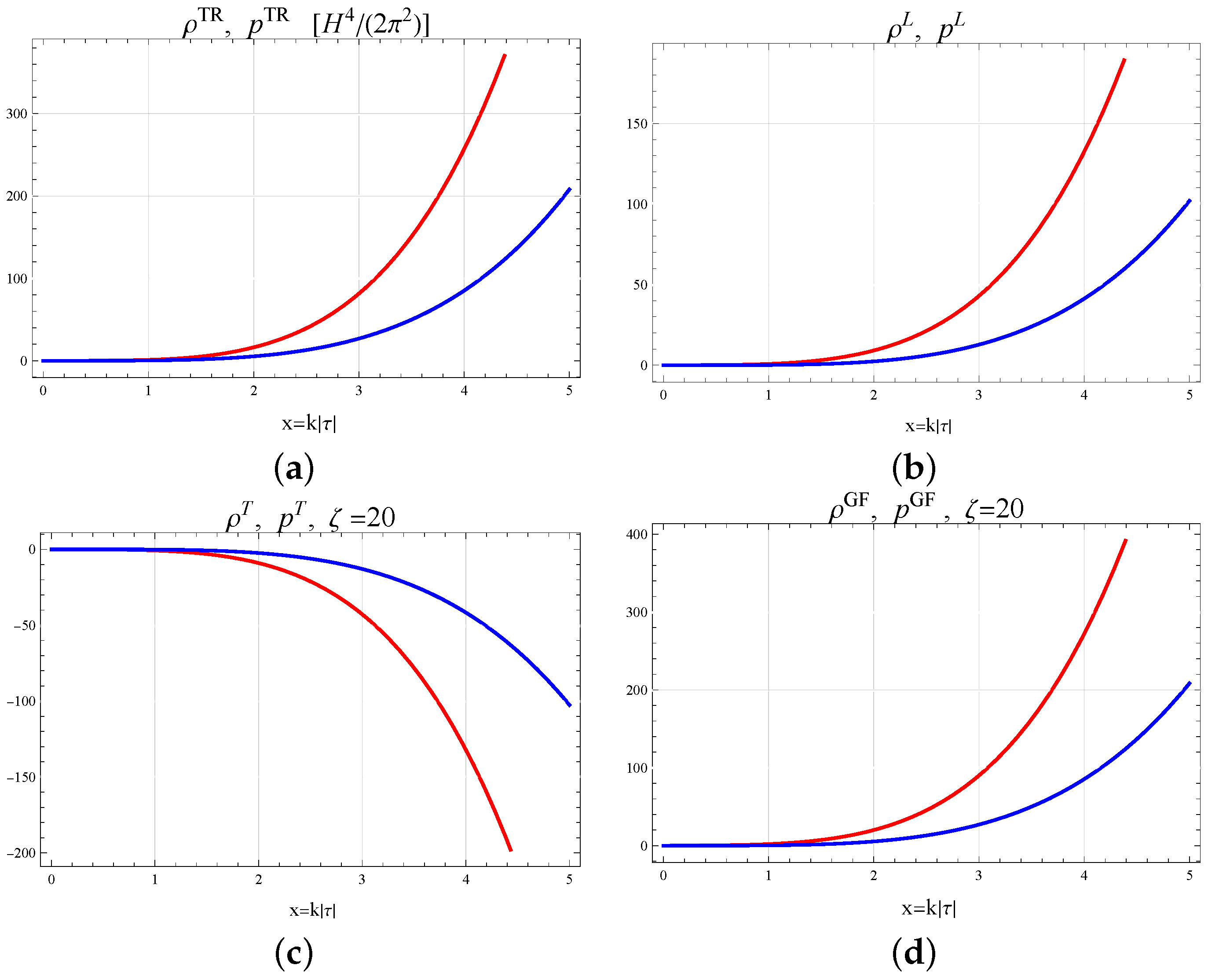
Figure 1a shows the unregularized transverse and , which are UV divergent at high k. These UV divergences in the stress tensor will be removed by appropriate regularization in the next section.
Figure 1.
The unregularized spectral stress tensor. The unit of and are . (a) The transverse; (b) the longitudinal; (c) the temporal; (d) the GF. Red: the spectral energy density, Blue: the spectral pressure. For illustration, , , and have been used.
By use of (54) and (55) and the constraints (60)–(62), the LT stress tensor in the vacuum state is
where the LT spectral stress tensor is further written as
with the longitudinal part
independent of , and the temporal part
depending on through in the mode . The longitudinal stress tensors (80) and (81) and the temporal stress tensors (82) and (83) do not resemble that of a minimally nor a conformally coupling scalar field [21]. We find that the longitudinal stress tensor respects the covariant conservation
but the temporal stress tensor generally does not, as shown below
for . Figure 1b shows that and are UV divergent, at high k. Figure 1c shows that and are UV divergent and negative, .
Similarly, the GF vacuum stress tensor is given by
with the GF spectral stress tensor
also depending on through in the mode . Since both the temporal and GF stress tensors are formed from , they become effectively the massless in the Landau gauge , as mentioned earlier below (31). Figure 1d shows that the unregularized and are UV divergent, at high k. The expressions (87) and (88) are not the same as that of a minimally coupling massive scalar field [21]. The GF stress tensor does not respect the covariant conservation
Nevertheless, the sum of the temporal and GF stress tensors respects the covariant conservation
that is, the -dependent part of the stress tensor is conserved for arbitrary . Thus, the total unregularized Stueckelberg vacuum spectral stress tensor
respects the covariant conservation, and the vacuum spectral trace is
Figure 2 shows that the unregularized total and are positive and UV divergent at high k.
Figure 2.
The unregularized total (red) and (blue) are UV divergent, at high k. For illustration, , , and have been used.
4. Adiabatic Regularization of the Spectral Stress Tensor of the Stueckelberg Field
The Stueckelberg vacuum stress tensor given in Section 3 is UV divergent at high k. In the literature the 4th-order regularization was adopted by default [32,33,34,35,37] on the stress tensor of a massive vector field. We shall assume the minimal subtraction rule that only the minimum number of terms should be subtracted to yield the convergent stress tensor [5]. Since the four parts of (91) and (92) actually have different UV divergences, we shall regularize each part, respectively, to its pertinent order. With this scheme of regularization, we shall be able to get a regularized stress tensor with the following desired properties: (1) UV and IR convergent, (2) the covariant conservation is respected, and (3) a nonnegative total regularized energy density. We emphasize that a positive energy density is required by the de Sitter inflation, as it is the source of the Friedmann equation. In the following, we present the details of regularization on each part.
(1) the 0th-order regularization of the transverse stress tensor: The transverse mode, shown in Equation (9), and the transverse stress tensor, shown in (74) and (75), have the same form as those of the conformally coupling massive scalar field [21,24]. The 0th-order regularization is sufficient to remove the UV divergences of the transverse stress tensor.
The unregularized transverse spectral stress tensors (74) and (75) are expanded at high k as the following
In the above parentheses, a fixed time is taken for a simple notation, and will be adopted in this section. Equations (94) and (95) contain the quartic , quadratic , and terms that will cause UV divergences in the k-integration (76) for and . To remove these divergences, the 0th order of adiabatic regularization is sufficient and given by the following:
where
are the 0th-order adiabatic subtraction terms for the transverse stress tensor (see (A13) and (A14) in Appendix A). Their high-k expansions are
The resulting regularized transverse spectral stress tensor at high k
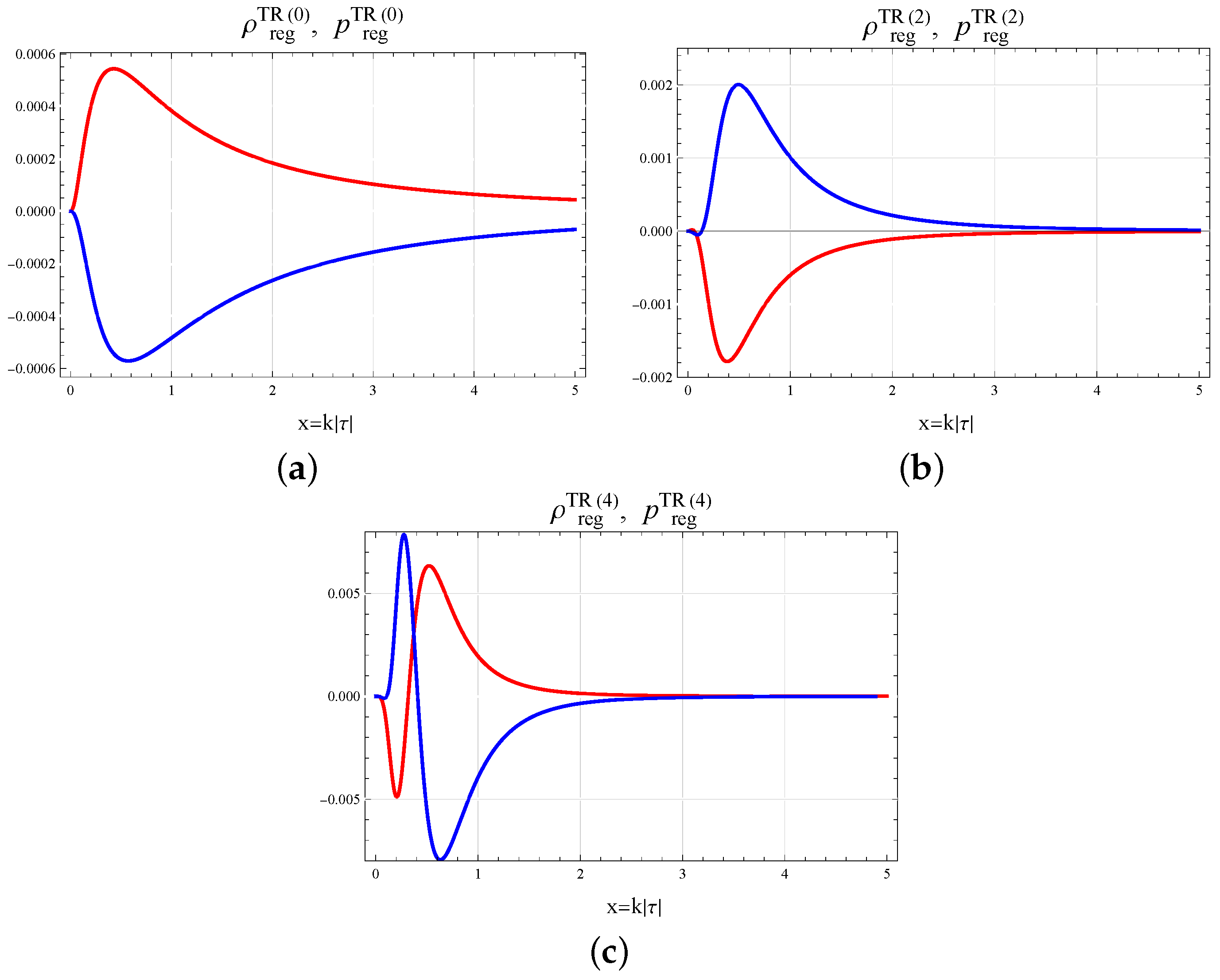
independent of . Figure 3a shows that the regularized is UV convergent and positive, and is UV convergent and negative. Thus, the 0th-order regularization removes all the UV divergences in the transverse stress tensor, obeys the minimal subtraction rule, keeps the sign of the transverse spectral energy density unchanged, and is proper for the transverse stress tensor.
Figure 3.
The regularized transverse spectral energy density (red) and spectral pressure (blue). (a) The 0th-order is UV convergent and positive. (b) The 2nd-order . (c) The 4th-order shows a negative segment. For illustration, , , and have been used.
It is checked that the transverse 0th-order subtraction terms (97) and (98) satisfy
so that the 0th-order regularized transverse stress tensor respects the covariant conservation
If the 2nd-order regularization were used,
where the 2nd-order adiabatic subtraction terms at high k (see (A15) and (A16))
the resulting 2th-order regularized transverse stress tensor at high k would be
The difficulty is that is negative, as shown in Figure 3b. Obviously, the 2nd-order regularization subtracts more than necessary, does not obey the minimum subtraction rule, and is improper for the transverse stress tensor.
Or, if the conventional 4th-order regularization were adopted,
where the 4th-order subtraction terms at high k (see (A17) and (A18))
the 4th-order regularized transverse stress tensor at high k would be
Again, becomes negative at small k as shown in Figure 3c. So, the 4th-order regularization is improper for the transverse stress tensor.
Ref. [35] noticed the fact that, for the transverse stress tensor, only the 0th-order terms are divergent, and the other higher-order terms are actually convergent, but still adopted the conventional 4th-order regularization. Ref. [37] adopted the 4th-order regularization without analyzing the divergence behavior of the stress tensor. These references did not demonstrate explicitly the resulting regularized spectral stress tensor.
(2) The 2nd-order regularization of the longitudinal stress tensor: The unregularized longitudinal stress tensor (80) and (81) resemble neither the form of a minimally nor a conformally coupling scalar field [21]. By the minimal subtraction rule, we regularize the longitudinal stress tensor by trial and error. The high-k expansions are
which contain , , and divergences. To remove the UV divergences, the 2nd-order adiabatic regularization is sufficient,
where the 2nd-order longitudinal subtraction terms are
at high k (see (A33) and (A34)). The resulting 2nd-order regularized longitudinal spectral stress tensor at high k is
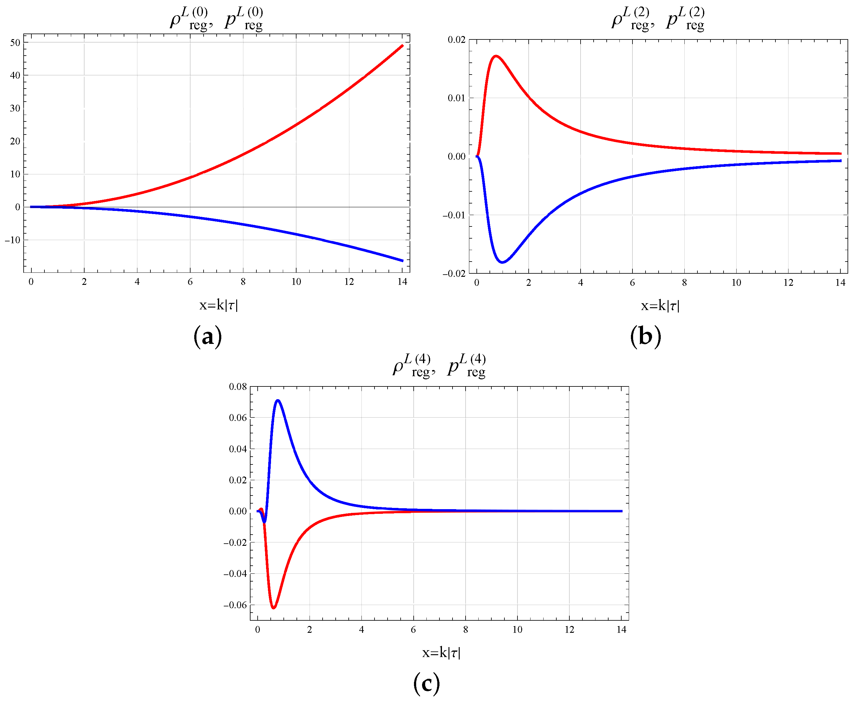
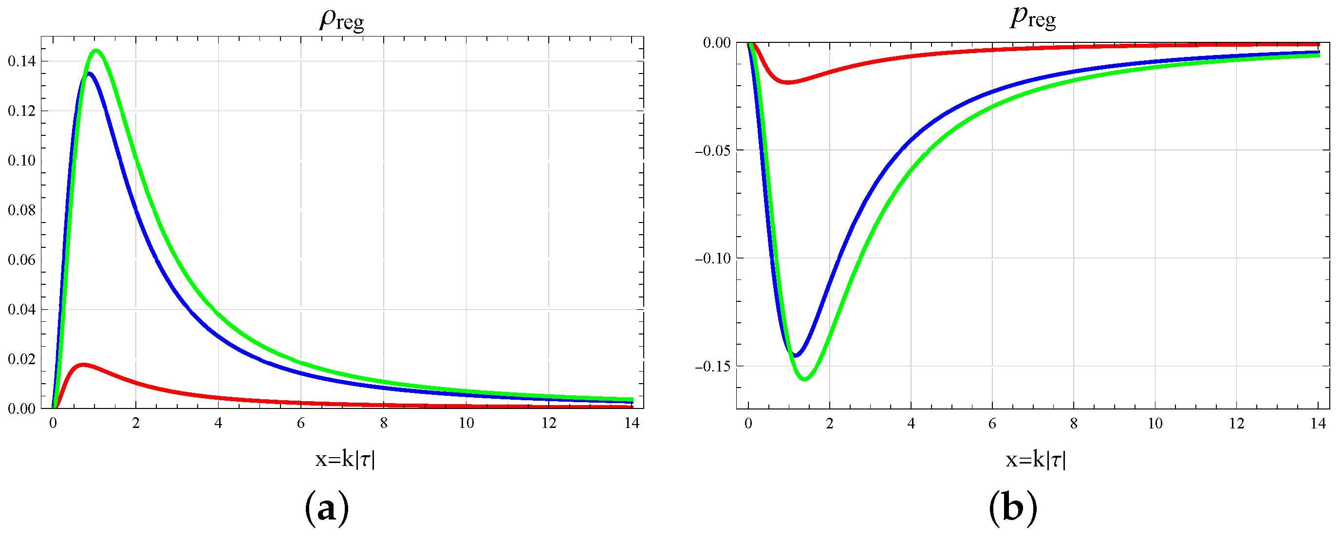
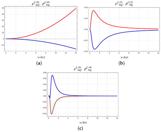
independent of . Figure 4b shows that is UV convergent and positive and is UV convergent and negative.
Figure 4.
The regularized longitudinal spectral energy density (red) and spectral pressure (blue). (a) The 0th order, still divergent. (b) The 2nd-order is convergent and positive. (c) The 4th-order is negative. For illustration, , , and have been used.
Thus, the 2nd-order regularization removes all the UV divergences for the longitudinal stress tensor, keeping the sign of the longitudinal spectral energy density unchanged. It is checked that the 2nd-order longitudinal subtraction terms (A33) and (A34) satisfies
so that the 2nd-order regularized vacuum longitudinal stress tensor respects the covariant conservation
If the 0th-order regularization were adopted for the longitudinal stress tensor, using the 0th-order subtraction terms (A31) and (A32), would still be UV divergent as shown in Figure 4a. So, the 0th-order regularization is insufficient for the longitudinal stress tensor. Or, if the 4th-order regularization were adopted, using the 4th-order subtraction terms (A35) and (A36), would become negative, as shown in Figure 4c. So, the 4th-order regularization is improper for the longitudinal stress tensor.
(3) The 2nd-order regularization of the temporal stress tensor: The unregularized temporal stress tensor (82) and (83) resemble neither the form of a minimally nor a conformally coupling scalar field [21]. The high-k expansions are
containing , , and divergences, and being negative. The 2nd-order adiabatic regularization is sufficient to remove these UV divergences,
where the 2nd-order temporal subtraction terms are
at high-k (see (A49) and (A50)). So, the 2nd-order regularized temporal spectral stress tensor at high k is
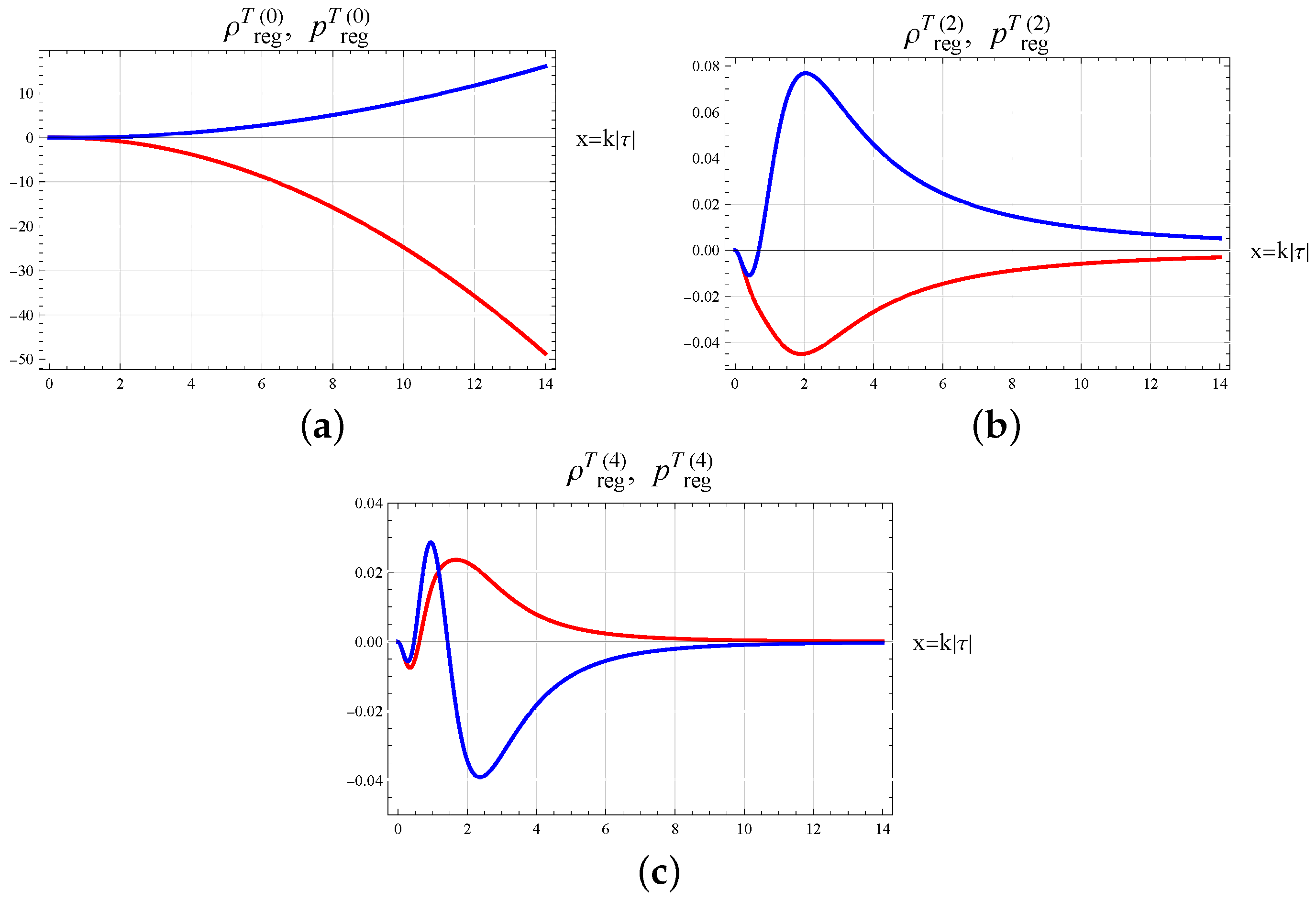
which contain an overall factor . Figure 5b shows that is convergent and still negative, consistent with the negative unregularized in Figure 1c. So, the 2nd order regularization removes all the UV divergences in the temporal stress tensor, and keeps the sign of the temporal spectral energy density unchanged.
Figure 5.
The regularized temporal spectral energy density (red) and spectral pressure (blue). (a) The 0th order. (b) The 2nd order. (c) The 4th order. For illustration, , , and have been used.
If the 0th-order regularization were adopted, using the subtraction terms (A47) and (A48), would be still be UV divergent, as shown in Figure 5a. So, the 0th-order regularization is insufficient for the temporal. Or, if the 4th-order regularization were adopted, using the subtraction terms (A51) and (A52), would change its sign, as shown in Figure 5c. So, the 4th-order regularization subtracts too much for the temporal.
(4) The 2nd-order regularization of the GF stress tensor: The unregularized GF stress tensors (87) and (88) are formally similar to that of a minimally coupling massive scalar field [21], so we can try the 2nd-order regularization. The high-k expansions are
containing and divergences, but no divergence. We adopt the 2nd-order regularization,
where the 2nd-order subtraction terms are given by (A65) and (A66), with the high-k expansions
The regularized GF spectral energy density and pressure are
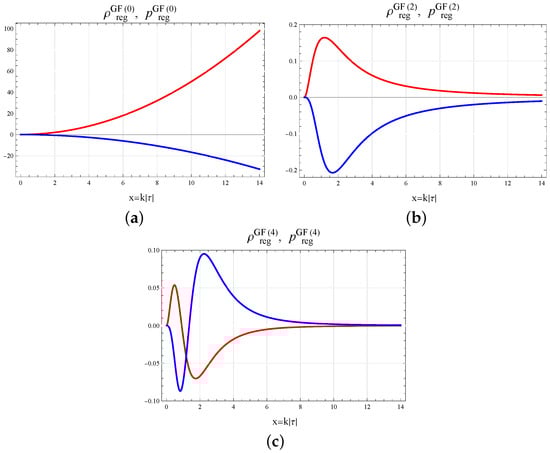
which also have an overall factor . Figure 6b shows that is convergent and positive. Thus, the 2nd-order regularization removes all the UV divergences in the GF stress tensor, and keeps the sign of the GF spectral energy density unchanged.
Figure 6.
The regularized GF spectral energy density (red) and spectral pressure (blue). (a) 0th order. (b) 2nd order. (c) 4th order. For illustration, , , and have been used.
If the 0th-order regularization were used for the GF stress tensor, using the subtraction terms (A63) and (A64), would still be UV divergent, as seen in Figure 6a. If the 4th-order regularization were used, using the subtraction terms (A67) and (A68), would become negative at , as seen in Figure 6c. So, the 4th-order regularization is improper for the GF stress tensor.
Although and do not respect the covariant conservation, and neither do and , nevertheless, their sum does, as shown below
Combining with (90), we find that the sum of regularized temporal and GF stress tensors respects the covariant conservation
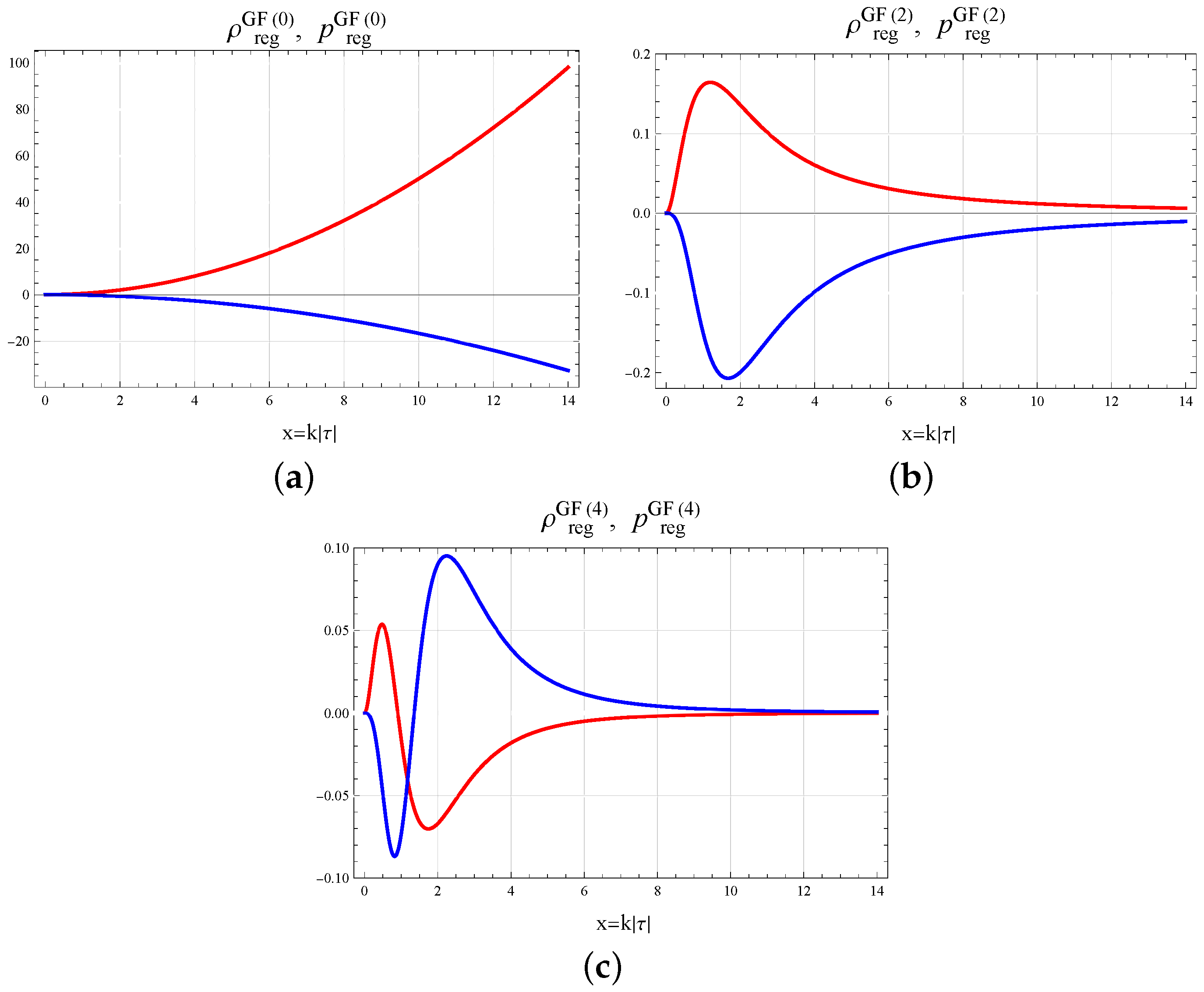
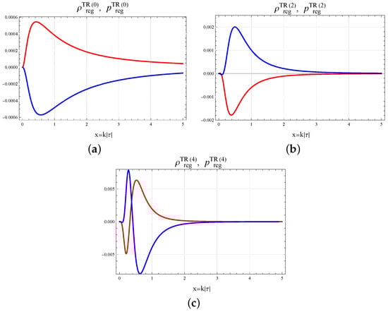
The -dependence of the 2nd-order regularized temporal and GF spectral stress tensors are shown in Figure 7 and Figure 8, respectively. In particular, in the Landau gauge () both the temporal and GF regularized stress tensors are zero,
as is obvious from (127), (128), (134), and (135), so that the regularized Stueckelberg stress tensor reduces to the regularized Proca stress tensor, containing only the transverse and longitudinal parts (see Section 5).
Figure 7.
The regularized temporal spectral stress tensor depends on . (a) . (b) . The parameters: , (red), (blue), (green).
Figure 8.
The regularized GF spectral stress tensor depends on . (a) . (b) . The parameters: , (red), (blue), (green).
(5) The total regularized stress tensor: Summing up the four parts, the total regularized spectral stress tensor at high k is
and the trace of total spectral stress tensor at high k is
The total regularized stress tensor respects the covariant conservation
Figure 9 shows that the total regularized spectral energy densities is positive, and the total regularized spectral pressure is negative for all k.
Figure 9.
The total regularized spectral stress tensor depends on . (a) . (b) . The parameters: , (red), (blue), (green).
This result agrees with the vanishing regularized vacuum stress tensor of Maxwell field with the GF term [25]. Thus, the conflict mentioned in the Introduction disappears. The result (144) can be derived in an alternative way (see (172) in Section 5).
By numerical integration of the regularized spectral stress tensor over k, we obtain the regularized vacuum stress tensor
For instance, for the model , the 0th-order regularized transverse stress tensor is
the 2nd-order regularized longitudinal stress tensor is
the 2nd-order regularized temporal stress tensor (for ) is
the 2nd-order regularized GF stress tensor (for ) is
and the total regularized Stueckelberg vacuum energy density is constant and positive
More interesting is the regularized Proca stress tensor, which is simply equal to the regularized Stueckelberg stress tensor in the Landau gauge (only the transverse and longitudinal contributions),
As can be seen above, a larger mass m yields a higher amplitude of the regularized stress tensor.
Amazingly, for both the Stueckelberg and the Proca, the regularized pressure becomes minus of the regularized energy density. By this important property, the regularized vacuum stress tensor is maximally symmetric,
and can be naturally regarded as the cosmological constant that drives the de Sitter inflation. Thus, by properly removing the UV divergences, we have derived the cosmological constant as the vacuum expectation of the stress tensor of the quantum fields [22]. Note that the regularized vacuum spectral stress tensor is nonuniformly distributed in the k-modes, will induce the metric perturbations, and will form the seeds of the primordial cosmic fluctuations [43,44].
After regularization, the next thing is renormalization to absorb divergent terms into bare parameters. It is known that for a scalar field the 0th- and 2nd-order divergences can be absorbed into the cosmological constant and the gravitational constant [12]. We expect a similar treatment may be performed on the vector field, and this will be for future study.
5. Reduction of the Stueckelberg Stress Tensor
The Stueckelberg field can be reduced to other interesting vector fields in a simple manner.
The Proca stress tensor: For both the unregularized and the regularized, the Stueckelberg stress tensor reduces straightforwardly to the Proca stress tensor. Note that the Proca field has no GF term. The transverse field in (19) and the transverse vacuum spectral stress tensors (74) and (75) are still valid for the Proca field. By the Lorenz condition , the expressions (36) and (37) reduce to the following
and consequently, the LT stress tensors (68) and (69) reduce to
the same as the longitudinal (80) and (81), and the temporal part is absent. So, the total unregularized Proca vacuum spectral stress tensor is
containing only the transverse and longitudinal parts, and the Proca vacuum spectral trace is
The regularized Proca stress tensor is given by
(see (96) for the transverse, and (115) for the longitudinal), which is equal to the regularized Stueckelberg stress tensor in the Landau gauge . The massless limit of the regularized Proca stress tensor is zero
which is analogous to (144) for the regularized Stueckelberg stress tensor in the massless limit.
The Maxwell field with the GF term: The Stueckelberg stress tensor in the massless limit reduces to the stress tensor of Maxwell field with the GF term. Setting , the massive solutions (19), (24), and (25) reduce to the massless solutions (see Appendix B). The unregularized transverse vacuum spectral stress tensors (74) and (75) reduce to
which is UV divergent and equal to twice of the stress tensor of a conformally coupling massless scalar field [21,23]. The unregularized longitudinal vacuum spectral stress tensors (80) and (81) at reduce to
which is UV divergent and equal to those of a minimally coupling massless scalar field [21,23]. The unregularized temporal vacuum spectral stress tensors (82) and (83) at reduce to
which is independent of , because disappears with the zero mass. It is seen that the longitudinal and temporal parts cancel out
As demonstrated in Ref. [25], in the GB states, the longitudinal and temporal stress tensors contributed by the photons above the vacuum also cancel out. The unregularized GF vacuum stress tensors (87) and (88) at reduce to
independent of , and is the same as twice that of a minimally coupling massless scalar field. Equations (164), (170), and (171) give the total unregularized vacuum stress tensor of the Maxwell field with the gauge fixing term [25]. In the GB states, the GF stress tensor due to the photons above the vacuum is zero [25].
The transverse (164) is regularized to zero by the 0th-order subtraction terms (A19), and the GFs (170) and (171) are regularized to zero by the 2nd-order subtraction terms (A72) and (A73), and consequently, the total regularized Maxwell vacuum stress tensor is zero, and there is no trace anomaly [25,45],
This result agrees with (144), which followed from taking the massless limit of the regularized Stueckelberg stress tensor. Thus, both routes lead to the same result consistently. If the 4th-order regularization were adopted upon the Stueckelberg field [32,33,34,35,37], its massless limit will not be equal to (172), in conflict with the vanishing Maxwell vacuum stress tensor, as mentioned in the Introduction.
The limit to the Minkowski spacetime: The Stueckelberg stress tensor in the flat spacetime is also revealed. Conceptually, the stress tensor is not needed in the flat spacetime, but it helps to reveal the structure of UV divergences of the stress tensor in curved spacetimes. Setting , in Equations (9)–(11) leads to the equations of the Stueckelberg field in flat spacetime. The positive frequency transverse solutions are , , with , and the longitudinal and temporal solutions are given by
with , , and . The vacuum spectral stress tensor is given by the following
Notice that these spectra are UV divergent, and correspond to the 0th-order subtraction terms for the stress tensor (see (A13), (A14), (A31), (A32), (A47), (A48), (A63), and (A64) in Appendix A). In the Minkowski spacetime, these vacuum terms are commonly removed by the normal ordering. This analysis tells that, in the adiabatic regularization, the 0th-order subtraction terms remove the vacuum UV divergences in the Minkowski spacetime, and the subtraction terms above the 0th-order remove the UV divergences that are associated with curved spacetimes.
6. The Negative Energy Density and the Trace Anomaly from the 4th-Order Regularization
In the literature, the 4th-order adiabatic regularization was performed irrespectively on each part of the Stueckelberg stress tensor [34,35,37] by default. The 4th-order regularized Stueckelberg spectral stress tensor is given by
and the k-integrations give the 4th-order regularized stress tensor
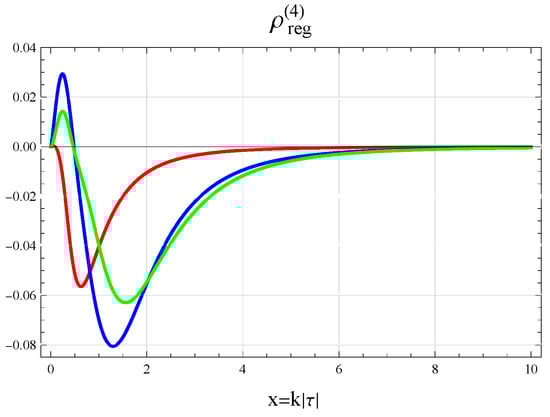
As it stands, the 4th-order regularization has several problems. First, the 4th-order regularization does not obey the minimal subtraction rule [5], would subtract more terms than necessary and would generally lead to a negative spectral energy density shown in Figure 10, as well as a negative energy density.
Figure 10.
The 4th-order regularized spectral energy density is negative in a broad range . So, the 4th-order regularization is improper for the Stueckelberg and Proca stress tensors in de Sitter space. The parameters: , (red), (blue), (green).
For instance, for the model and , our properly regularized total energy density (151) is positive, while the 4th-order regularized total energy density would be negative
For the Proca stress tensor, our properly regularized total energy density is positive (see (152)–(154)), while the 4th-order regularization would give a negative energy density, respectively
This is also equal to the 4th-order regularized Stueckelberg stress tensor in the Landau gauge , since the temporal and GF stress tensors with are effectively massless, so that the 4th-order regularization yields and , similar to the 2nd-order (138) and (139).
The issue of the negative energy density of the 4th-order regularized Stueckelberg and Proca stress tensors has not been noticed, nor addressed in the literature that adopted the 4th-order regularization. Our analysis shows that the unphysical, negative energy density was caused by the oversubtraction of the 4th-order regularization and is in conflict with the de Sitter inflation.
Next, the 4th-order regularization simultaneously causes the so-called trace anomaly in the massless limit in the literature. Under our proper regularization, there is no trace anomaly for the Stueckelberg and Proca stress tensors (see (144) and (163)). In the following, we show that, in the improper 4th-order regularization, the trace anomaly is carried by the 4th-order subtraction terms above the 2nd-order ones.
Consider the de Sitter space, in which the divergent and terms, (A37), (A38), (A53), (A54), (A69), and (A70), are all vanishing in the 4th-order subtraction terms. We evaluate the trace of the 4th-order subtraction terms as the following
where the 2nd-order subtraction terms are taken away since they do not contribute to the trace anomaly in the massless limit. The procedure of (195) is k-integrating first and then taking the massless limit. If the massless limit is taken before the k-integration, (195) will give a zero trace. For the Stueckelberg stress tensor, integrating first and then taking the massless limit, (195) is found to be
independent of m and , where four terms are contributed, respectively, by the transverse, longitudinal, temporal, and GF parts. (see (A25), (A44), (A60), and (A76) in Appendix A for details.) The trace (196) is associated with the negative energy density (191), and both originate from the 4th-order regularization.
For the Proca stress tensor with only the transverse and longitudinal contributions, the trace of the 4th-order subtraction terms (195) yields
which is the same as (5.7), (5.8), and (5.9) of Ref. [36] that contained a typo . The trace (197) is associated with the negative energy density (192), (193), and (194).
If a complex ghost field was additionally introduced [34,35,37], under the 4th-order adiabatic regularization, the trace of the 4th-order subtraction terms for the system of the Stueckelberg and the ghost fields in generic fRW spacetimes would be given by (A93) as follows (see Appendix A for details):
independent of m, but depending on , and in the de Sitter space, it becomes
independent of m and , where the term is the ghost contribution (see (A90) and (A94)). By definition, the trace anomalies are minus of (196), (197), (198), and (199), respectively.
A conformally coupling massive scalar field in the massless limit has a zero trace () of the unregularized stress tensor, and thus, becomes conformally invariant. Under the 4th-order regularization, the trace would become nonzero and the conformal invariance would be broken, and this has been referred to as the so-called conformal trace anomaly in the literature. This kind of search for trace anomaly was indiscriminatively generalized to other nonconformally invariant fields. The Stueckelberg and Proca fields are not conformally invariant in the massless limit. This is evidenced by the nonzero trace in the massless limit (see (93) and (160)) of the unregularized stress tensors, and also evidenced by the fact that the equation and the stress tensor of the longitudinal component are structurally different from those of the comformally coupling scalar field. In this regards, the phrase “the conformal trace anomaly” is improper for the Stueckelberg and Proca fields, and it is meaningless to search for a nonzero regularized trace of the stress tensor of these fields in the massless limit.
Here, we emphasize again that the trace anomalies for the scalar and vector fields are merely artifacts arising from the improper 4th-order regularization, and do not exist in the proper regularization.
7. Conclusions and Discussions
We have studied the Stueckelberg field in de Sitter space. The equations of components of Stueckelberg field are different. The transverse Equation (9) is analogous to that of a conformally coupling massive scalar field [21]. The longitudinal and temporal Equations (10) and (11) are mixed up, and we have been able to separate into two fourth-order differential Equations (22) and (23) and obtained the exact solutions (24) and (25). Upon the covariant canonical quantization, we give the unregularized Stueckelberg spectral stress tensor containing UV divergences.
In the literature, the Stueckelberg vacuum stress tensor was conventionally regularized to the 4th order, by default. We find that this would give an unphysical negative energy density, a fact that has not been noticed nor addressed in the literature before. Moreover, in the massless limit, the 4th-order regularized stress tensor would lead to a nonzero trace, which is in conflict with the zero trace of the regularized Maxwell stress tensor. To avoid these difficulties, we have decomposed the Stueckelberg stress tensor into the transverse, longitudinal, temporal, and GF parts, each containing its respective UV divergences, in analogy to the Maxwell field [25,26]. According to the minimal subtraction rule [5], we have regularized each part to its pertinent adiabatic order, so that the regularized total spectral energy density is positive. Specifically, for the transverse stress tensor, the 0th-order regularization is sufficient to remove all the UV divergences, while for the longitudinal, temporal, and GF stress tensors, the 2nd-order regularization removes all the UV divergences. Other schemes of regularization of orders different from ours would either be insufficient, or would subtract more than necessary, leading to a negative total energy density. We like to point out that, although the 4th-order regularization is improper for the Stueckelberg stress tensor in de Sitter space, it was necessarily used for the minimally coupling massless scalar field and for the Maxwell stress tensor with the GF term in the MD stage [26]. All these results tell us that the pertinent order of regularization depends upon the type of fields (the components of a vector field and the coupling of a scalar field), as well as upon the background spacetimes [25,26].
Under the Lorenz condition, for both the unregularized and the regularized, the Stueckelberg stress tensor reduces to the Proca stress tensor that consists of only the transverse and longitudinal parts. Besides, in the massless limit, the regularized Stueckelberg (Proca as well) vacuum stress tensor becomes zero, and this agrees with the regularized Maxwell vacuum stress tensor with the GF term [25,26]. Thus, under our proper regularization, two alternative routes (starting with the massive or the massless) lead to the same result for the massless field, and the conflict disappears.
In the literature, the so-called trace anomaly came out of the following scheme: starting with a massive field, applying the 4th-order regularization on the stress tensor, performing k-integration, and then taking the massless limit of the trace of the regularized stress tensor. In contrast, our proper regularization is lower than the 4th order, so that neither the trace anomaly nor the negative energy density occur. As we check explicitly, the trace anomaly was actually carried in by the 4th-order subtraction terms of the Stueckelberg and Proca stress tensors. Hence, the trace anomaly and the associated negative energy density are merely the artifacts caused by the improper 4th-order regularization. This conclusion holds for the vector fields [25,26], as well as for the scalar fields [21,23,24].
We have also demonstrated that, in fRW spacetimes, the 4th-order subtraction terms contain new divergences in the longitudinal [35,36], as well as in the temporal and GF parts. These new divergent terms happen to be vanishing in de Sitter space and in the RD stage [25,26], but will be nonvanishing in generic fRW spacetimes. For instance, for the MD stage, these 4th-order divergent terms are necessary in removing the IR divergences of the unregularized Maxwell stress tensor with the GF term [26].
In the literature, a ghost field was often introduced to cancel the GF stress tensor of a vector field. However, as we notice, the GF stress tensor of the Stueckelberg field with a general will not be canceled out by that of a massive ghost field since their masses differ. Moreover, the ghost particles in the excited states above the vacuum may cause additional unwanted effects. As for the massless case, the regularized GF vacuum stress tensor is already zero [25,26], so that a massless ghost field is not needed.
Under our proper regularization, the regularized Stueckelberg vacuum spectral stress tensor is UV and IR convergent and covariantly conserved, and its spectral energy density is positive in the whole range of k. After k-integration, the total regularized vacuum stress tensor is constant and maximally symmetric, with a positive energy density, and can be regarded as the cosmological constant that drives the de Sitter inflation, in contrast to the 4th-order regularized total energy density, which is negative and inconsistent with de Sitter inflation. From cosmological point of view, the cosmological constant generally can be contributed by several quantum fields, such as the massive scalar fields [21,24] and the massive vector fields. The regularized vacuum stress tensors of these fields are constant and maximally symmetric, and jointly drive the inflationary expansion. The k-modes of these fields in the vacuum state will induce the metric perturbations, and form the seeds of the primordial cosmic fluctuations.
Author Contributions
Methodology, Y.Z. and X.Y.; Formal analysis, X.Y.; Investigation, Y.Z.; Writing—original draft, Y.Z. and X.Y.; Writing—review and editing, Y.Z. All authors have read and agreed to the published version of the manuscript.
Funding
This research is funded by NSFC Grant No. 11675165, No. 11961131007, No. 12261131497, and National Key RD Program of China (2021YFC2203100).
Data Availability Statement
The original contributions presented in the study are included in the article.
Conflicts of Interest
The authors declare no conflicts of interest.
Appendix A. The Adiabatic Subtraction Terms of the Stueckelberg Stress Tensor
The WKB approximate solutions [5,6,12,13,14,46] of each component of the Stueckelberg field are written as follows
where the effective frequency is
with
respectively, for the transverse, longitudinal, and temporal modes. is obtained by iteratively solving Equation (A2) to a desired adiabatic order. The WKB solutions describe the exact solution at high k approximately, and the description is becoming more accurately with the increasing order. Take the 0th-order effective frequency and its reciprocal to be
Then, we obtain the 2nd-order effective frequency
and the 4th-order effective frequency
(1) The adiabatic subtraction terms of the transverse stress tensor: Substituting the transverse WKB solution into the transverse spectral stress tensors (74) and (75) to replace the mode gives
Plugging of an nth order into the above will give the n-th order subtraction terms of transverse stress tensor. The 0th-order adiabatic subtraction terms of the transverse spectral stress tensor are
which are sufficient to remove all the UV divergences in the transverse stress tensor. The 2nd-order subtraction terms of the transverse spectral stress tensor are
The 4th-order subtraction terms are
Notice that extra terms, , , …, in , , , are convergent, and need not to subtract, according to the minimum subtraction rule. In the massless limit , the transverse subtraction terms are
all the higher order terms being equal to the 0th-order one. This property is similar to that of the conformally coupling scalar field in a general fRW spacetime [23].
In the improper 4th-order adiabatic regularization, the trace anomaly is contributed by the 4th-order subtraction terms above the 2nd order, and . For instance, in (A15) and in (A16) do not contribute to the trace anomaly at . First analytically performing k-integration and then taking the massless limit, one would come up with the trace of the transverse subtraction terms
where
We remark that if the massless limit is taken first, , , the k-integration (A22) will give a zero trace.
(2) The adiabatic subtraction terms of the longitudinal stress tensor: In analogy to the transverse part, substituting the longitudinal WKB solution into the longitudinal spectral stress tensor (80) and (81) gives
The 0th-order subtraction terms of the longitudinal spectral stress tensor is
The 2nd-order subtraction terms are
which are sufficient to remove UV divergences in the longitudinal stress tensor, and are actually used in our regularization in Section 4. The 4th-order subtraction terms are
The last lines in (A35) and (A36) are, respectively, the following
which give rise to new UV divergences ( as ) and IR divergences ( as ) at in the integrations and , as noticed in Ref. [35]. These terms happen to be vanishing in de Sitter space [36] and in the RD stage [26], but are generally nonvanishing in fRW spacetimes. For instance, in the MD stage [26], at the Stueckelberg field will reduce to the Maxwell field, and correspondingly, the IR divergences of (A37) and (A38) just remove the IR divergences of the unregularized Maxwell stress tensor [26].
All higher-order subtraction terms are equal to the 2nd-order ones, similar to those of a massless minimally coupling scalar field in a general fRW spacetime [23].
Analogously to the transverse part, in the improper 4th-order regularization, one would come up with the trace of the longitudinal subtraction terms in the massless limit
where and . In (A42), integration is performed before taking the massless limit.
(3) The adiabatic subtraction terms of the temporal stress tensor: Substituting the temporal WKB solution into (82) and (83) gives
depending on the GF parameter . The 0th-order subtraction terms of the temporal spectral stress tensor are
The 2nd-order subtraction terms are
which are sufficient to remove all UV divergences of the temporal stress tensor, and are used in our regularization in Section 4. The 4th-order subtraction terms are
The last lines of (A51) and (A52) are, respectively, the following
which are vanishing for the de Sitter space, like (A37) and (A38), and the remarks below (A38) also apply here. It is noticed that, in the Landau gauge , the terms involving in and are vanishing in the de Sitter space, so that and , and consequently, the 4th-order regularization is effectively the same as the 2nd-order regularization for the temporal stress tensor.
In the massless limit , (A47)∼(A52) become
which have opposite signs to the longitudinal (A39)–(A41).
Analogously to the transverse and longitudinal parts, in the improper 4th-order regularization, one would come up with the trace of the temporal subtraction terms (for only)
In (A58), integration is performed before taking the massless limit.
(4) The adiabatic subtraction terms of the GF stress tensor: Substituting the temporal WKB solution into (87) and (88) gives
depending on . The 0th-order subtraction terms for the GF spectral stress tensor are
The 2nd-order adiabatic subtraction terms for the GF stress tensor are
which are sufficient to remove all UV divergences of the GF stress tensor. The 4th-order subtraction terms for the GF stress tensor are
The last lines in and are, respectively, the following
which are vanishing in de Sitter space, like (A37) and (A38), and the remarks below (A38) also apply here. In the Landau gauge , the terms involving in and are vanishing in the de Sitter space, so that and , and the 4th-order regularization is effectively the same as the 2nd-order regularization for the GF stress tensor.
Analogously, in the improper 4th-order adiabatic regularization, one would come up with the trace of the GF subtraction terms (for only)
In (A74), integration is performed before taking the massless limit.
To compare with the literature [34,35,36,37], we also list the 4th-order subtraction terms of the complex ghost field in the following. The Lagrangian of the ghost field is
the ghost field equation is
the ghost stress tensor is
In the de Sitter space, the k mode solution of the ghost field is
with , the ghost vacuum spectral stress tensor is
which is times that of a minimally coupling scalar field [21]. By the WKB method described in (A1) and (A2), with and , we derive the 0th-order subtraction terms of the ghost spectral stress tensor
the 2nd-order subtraction terms
the 4th-order subtraction (above the 2nd-order) terms
and
Analogously to the Stueckelberg field, in the improper 4th-order regularization, one would come up with the trace of the subtraction terms of the ghost field
Appendix B. The Massless Limit of the Modes A and A0
We demonstrate that the solutions (24) and (25) of the Stueckelberg field reduce to the solutions of the Maxwell field with the GF term. At small m, by the definitions (28) and (29), , , and the Hankel functions give [47],
with , and, by (34) and (35),
Denoting , , (A99) and (A100) are written as
where for small m has been used in the inhomogeneous parts. Equations (A101) and (A102) are exactly the solutions (24) and (25) of the Maxwell field with the GF term in Ref. [25]. Substituting (A101) and (A102) into (16) and (17) give the canonical momenta
which are just (26) and (27) in Ref. [25].
References
- DeWitt, S.; Brehme, R.W. Radiation damping in a gravitational field. Ann. Phys. 1960, 9, 220. [Google Scholar] [CrossRef]
- DeWitt, S. Quantum field theory in curved spacetime. Phys. Rep. 1975, 19, 295. [Google Scholar] [CrossRef]
- Utiyama, R.; DeWitt, B.S. Renormalization of a classical gravitational field interacting with quantized matter fields. J. Math. Phys. 1962, 3, 608. [Google Scholar] [CrossRef]
- Feynman, R.P.; Hibbs, A.R. Quantum Mechanics and Path Integration; McGraw-Hill: New York, NY, USA, 1965. [Google Scholar]
- Parker, L.; Fulling, S.A. Adiabatic regularization of the energy-momentum tensor of a quantized field in homogeneous spaces. Phys. Rev. D 1974, 9, 341. [Google Scholar] [CrossRef]
- Fulling, S.A.; Parker, L.; Hu, B.L. Conformal energy-momentum tensor in curved spacetime: Adiabatic regularization and renormalization. Phys. Rev. D 1974, 10, 3905. [Google Scholar] [CrossRef]
- Hu, B.L.; Parker, L. Anisotropy damping through quantum effects in the early universe. Phys. Rev. D 1978, 17, 933. [Google Scholar] [CrossRef]
- Hu, B.L. Calculation of the trace anomaly of the conformal energy-momentum tensor in Kasner spacetime by adiabatic regularization. Phys. Rev. D 1978, 18, 4460. [Google Scholar] [CrossRef]
- Birrell, N.D. The application of adiabatic regularization to calculations of cosmological interest. Proc. R. Soc. Lond. B 1978, 361, 513. [Google Scholar]
- Bunch, T.S. Calculation of the renormalised quantum stress tensor by adiabatic regularisation in two-and four-dimensional Robertson-Walker space-times. J. Phys. A Math. Gen. 1978, 11, 603. [Google Scholar] [CrossRef]
- Bunch, T.S.; Parker, L. Feynman propagator in curved spacetime: A momentum-space representation. Phys. Rev. D 1979, 20, 2499. [Google Scholar] [CrossRef]
- Bunch, T.S. Adiabatic regularisation for scalar fields with arbitrary coupling to the scalar curvature. J. Phys. A Math Gen. 1980, 13, 1297. [Google Scholar] [CrossRef]
- Anderson, P.R.; Parker, L. Adiabatic regularization in closed Robertson-Walker universes. Phys. Rev. D 1987, 36, 2963. [Google Scholar] [CrossRef] [PubMed]
- Birrell, N.D.; Davies, P.C.W. Quantum Fields in Curved Space; Cambridge University Press: Cambridge, UK, 1982. [Google Scholar]
- Parker, L.; Toms, D.J. Quantum Field Theory in Curved Spacetime: Quantized Fields and Gravity; Cambridge University Press: Cambridge, UK, 2009. [Google Scholar]
- Parker, L. Amplitude of perturbations from inflation. arXiv 2007, arXiv:hep-th/0702216. [Google Scholar]
- Markkanen, T. Renormalization of the inflationary perturbations revisited. J. Cosmol. Astropart. Phys. 2018, 05, 001. [Google Scholar] [CrossRef]
- Wang, D.G.; Zhang, Y.; Chen, J.W. Vacuum and gravitons of relic gravitational waves and the regularization of the spectrum and energy-momentum tensor. Phys. Rev. D 2016, 94, 044033. [Google Scholar] [CrossRef]
- Zhang, Y.; Wang, B. Adiabatic regularization of power spectrum and stress tensor of relic gravitational wave without low-frequency distortion. J. Cosmol. Astropart. Phys. 2018, 11, 006. [Google Scholar] [CrossRef]
- Youssef, A.; Kreimer, D. Resummation of infrared logarithms in de Sitter space via Dyson-Schwinger equations: The ladder-rainbow approximation. Phys. Rev. D 2014, 89, 124021. [Google Scholar] [CrossRef]
- Zhang, Y.; Ye, X.; Wang, B. Adiabatic regularization and Green’s function of a scalar field in de Sitter space: Positive energy spectrum and no trace anomaly. Sci. China PMA 2020, 63, 250411. [Google Scholar] [CrossRef]
- Weinberg, S. The cosmological constant problem. Rev. Mod. Phys. 1989, 61, 1. [Google Scholar] [CrossRef]
- Zhang, Y.; Wang, B.; Ye, X. A massless scalar field in Robertson-Walker spacetimes: Adiabatic regularization and Green’s function. Chin. Phys. C 2020, 44, 095104. [Google Scholar] [CrossRef]
- Ye, X.; Zhang, Y.; Wang, B. Point-splitting regularization of the stress tensor of a coupling scalar field in de Sitter space. J. Cosmol. Astropart. Phys. 2022, 09, 020. [Google Scholar] [CrossRef]
- Zhang, Y.; Ye, X. Maxwell field with gauge fixing term in de Sitter space: Exact solution and stress tensor. Phys. Rev. D 2022, 106, 065004. [Google Scholar] [CrossRef]
- Ye, X.; Zhang, Y. Maxwell field with gauge fixing term in the radiation- and matter-dominant stages: Exact solution and stress tensor. IntJMPD 2024, 33, 2450050. [Google Scholar]
- Itzykson, C.; Zuber, J. Quantum Field Theory; Section 3.2; McGraw-Hill: New York, NY, USA, 1980. [Google Scholar]
- Gupta, S.N. Quantum Electrodynamics; Gordon and Breach: New York, NY, USA, 1977. [Google Scholar]
- Allen, B.; Jacobson, T. Vector two-point functions in maximally symmetric spaces. Commun. Math. Phys. 1986, 103, 669. [Google Scholar] [CrossRef]
- Youssef, A. Infrared behavior and gauge artifacts in de Sitter spacetime: The photon field. Phys. Rev. Lett. 2011, 107, 021101. [Google Scholar] [CrossRef]
- Frob, M.B.; Higuchi, A. Mode-sum construction of the two-point functions for the Stueckelberg vector fields in the Poincaré patch of de Sitter space. J. Math. Phys. 2014, 55, 062301. [Google Scholar] [CrossRef]
- Dowker, J.S.; Critchley, R. Stress-tensor conformal anomaly for scalar, spinor, and vector fields. Phys. Rev. D 1977, 16, 3390. [Google Scholar] [CrossRef]
- Brown, L.S.; Cassidy, J.P. Stress-tensor trace anomaly in a gravitational metric: General theory, Maxwell field. Phys. Rev. D 1977, 15, 2810. [Google Scholar] [CrossRef]
- Endo, R. Gauge dependence of the grabvitational conformal anomaly for the electromagnetic field. Prog. Theor. Phys. 1984, 71, 1366. [Google Scholar] [CrossRef]
- Chimento, L.P.; Cossarini, A.E. Energy-momentum tensor renormalization for vector fields in Robertson-Walker backgrounds. Phys. Rev. D 1990, 41, 3101. [Google Scholar] [CrossRef]
- Maranon-Gonzalez, F.J.; Navarro-Salas, J. Adiabatic regularization for spin-1 fields. Phys. Rev. D 2023, 108, 125001. [Google Scholar] [CrossRef]
- Chu, C.S.; Koyama, Y. Adiabatic regularization for gauge fields and the conformal anomaly. Phys. Rev. D 2017, 95, 065025. [Google Scholar] [CrossRef]
- Ruegg, H.; Ruiz-Altaba, M. The Stueckelberg Field. Int. J. Mod. Phys. A 2004, 19, 3265–3347. [Google Scholar] [CrossRef]
- Belokogne, A.; Folacci, A. Stueckelberg massive electromagnetism in curved spacetime: Hadamard renormalization of the stress-energy tensor and the Casimir effect. Phys. Rev. D 2016, 93, 044063. [Google Scholar] [CrossRef]
- Belokogne, A.; Folacci, A.; Queva, J. Stueckelberg massive electromagnetism in de Sitter and anti–de Sitter spacetimes: Two-point functions and renormalized stress-energy tensors. Phys. Rev. D 2016, 94, 105028. [Google Scholar] [CrossRef]
- Allen, B. Vacuum states in de Sitter space. Phys. Rev. D 1985, 32, 3136. [Google Scholar] [CrossRef]
- Borchers, H.J.; Buchholz, D. Global properties of vacuum states in de Sitter space. Ann. De L’ihp Phys. Théorique 1999, 70, 23–40. [Google Scholar]
- Wang, B.; Zhang, Y. Second-order cosmological perturbations. IV. Produced by scalar-tensor and tensor-tensor couplings during the radiation dominated stage. Phys. Rev. D 2019, 99, 123008. [Google Scholar] [CrossRef]
- Wang, B.; Zhang, Y. Second-order cosmological perturbations produced by scalar–scalar coupling during inflation stage. Gen. Relativ. Gravit. 2024, 56, 29. [Google Scholar] [CrossRef]
- Adler, S.L.; Lieberman, J.; Ng, Y.J. Regularization of the stress-energy tensor for vector and scalar particles propagating in a general background metric. Ann. Phys. 1977, 106, 279. [Google Scholar] [CrossRef]
- Chakraborty, B. The mathematical problem of reflection solved by an extension of the WKB method. J. Math. Phys. 1973, 14, 188. [Google Scholar] [CrossRef]
- Olver, F.W.J.; Lozier, D.W.; Boisvert, R.F.; Clark, C.W. NIST Handbook of Mathematical Functions; NIST Digital Library of Mathematical Functions; Cambridge University Press: Cambridge, UK, 2010. Available online: http://dlmf.nist.gov (accessed on 15 December 2024).
Disclaimer/Publisher’s Note: The statements, opinions and data contained in all publications are solely those of the individual author(s) and contributor(s) and not of MDPI and/or the editor(s). MDPI and/or the editor(s) disclaim responsibility for any injury to people or property resulting from any ideas, methods, instructions or products referred to in the content. |
© 2025 by the authors. Licensee MDPI, Basel, Switzerland. This article is an open access article distributed under the terms and conditions of the Creative Commons Attribution (CC BY) license (https://creativecommons.org/licenses/by/4.0/).









