1. Introduction
AGNs are among the most luminous and energetic objects in the universe, powered by accretion of matter onto supermassive black holes at their centers. AGNs are characterized by their emission across the electromagnetic spectrum, and one of the most critical diagnostic features of AGNs is the presence of emission lines in their spectra [
1,
2,
3,
4]. These emission lines provide vital clues to the physical conditions and kinematics of the emitting region. The emission lines in AGN spectra are typically divided into two categories: narrow emission lines and broad emission lines, which originate from different regions of the AGN environment. The BLR, which is closer to the central black hole, gives rise to the broad emission lines observed in the optical and ultraviolet spectra. These lines are broadened due to the high velocity of gas in the BLR, which moves at speeds of thousands of kilometers per second due to the intense gravitational influence of the black hole [
5]. The broad emission lines in AGNs exhibit complex line profiles that provide critical information about the dynamics and structure of the BLR. The BLR is thought to be stratified, with different ionization states present at different distances from the black hole. This stratification gives rise to the observed differences in the profiles of high-ionization lines (e.g., C IV, and He II) and low-ionization lines (e.g., H
, and Mg II) [
6]. High-ionization lines originate closer to the central source where the gas is more highly ionized, while low-ionization lines are produced further out [
7,
8]. The line profiles of these emission lines reflect the dynamics of the BLR, with Doppler broadening taking place due to the high velocity of the gas, as well as asymmetries in the profiles that provide evidence of outflows, inflows, or other kinematic complexities [
9]. The BLR is a key region in the AGN environment, and understanding its structure is crucial for interpreting the observed emission lines. The gas in the BLR is believed to be in Keplerian orbits around a supermassive black hole, with ionization stratification across the region [
10]. Studies suggest that the BLR is not a homogeneous entity but consists of clouds or filaments of gas in various ionization states [
7]. Recent models propose that accretion disk winds and radiation pressure may play a significant role in shaping the kinematics of the BLR. Recent advancements in high-resolution spectroscopy and interferometry have provided unprecedented insights into the radial dynamics of gas in AGNs, revealing complex structures within the BLR, including variable disk outflows [
11,
12]. Among the key processes proposed to drive outflows in the BLR is radiative dust-driven mechanisms, especially in lowly ionized regions at large radii of accretion disk where dust can survive the intense central disk radiation. These outflows may carry a significant portion of mass from the accretion disk, affecting the radial density and ionization profiles within the BLR and, consequently, the observed line profiles [
13]. The concept of disk winds in AGNs, initially developed within the framework of broad absorption lines, has been extended to BLRs, suggesting that mass loss rates and wind geometry may also play a pivotal role in shaping emission line profiles. Studies have shown that the structure of the BLR is highly sensitive to the radial behavior of disk outflows [
14,
15]. The radial function of outflow launching efficiency is supposed to be a key factor determining whether gas remains optically thick or thin, influencing emission line shapes through its impact on the kinematics and density structure of the BLR clouds [
5,
16,
17]. Such influences offer a compelling explanation for the variability in line profile asymmetries and peak shifts observed in low-ionization lines such as H
, H
, and Mg II, which are believed to originate from denser and more dust-enriched zones within the BLR [
18,
19].
Despite extensive theoretical models of the BLR structure, there is ongoing debate on the how mechanisms launching outflow influencing the mass loss from the disk and density distribution of material in the region. A critical issue is the dependency of BLR geometry and line profile shapes on radial mass loss functions, which determine the density stratification above the disk [
20]. In this paper, we intend to investigate the effect of disk outflow behavior on the shape of emission lines by systematically examining different radial mass loss scenarios and analyzing their implications for the distribution of material and geometry of the BLR in AGNs. We focus on lowly ionized emission lines, which are particularly sensitive to dust-driven forces, and propose various scenarios that reflect physically motivated disk outflow behaviors. In order to do so, we use our model for the formation of the low-ionization BLR, which is based on the radiatively dust-driven mechanism, which is more specifically known as the FRADO (Failed Radiatively Accelerated Dusty Outflow) model. The paper is structured as follows. We provide a concise overview of the FRADO model and its mechanism for the formation of the BLR in
Section 2. This is followed by
Section 3, which details the approaches to the disk outflow behavior. Next, we present the results of emission line profiles under two different outflow scenarios in
Section 4. Finally, the results are discussed in
Section 5, and conclusions are drawn at the end.
2. FRADO Model
The FRADO model, developed over the last decade [
8,
18,
21,
22], presents a unique approach to understanding the interaction between radiation pressure and dusty material lifted from the surface of an accretion disk. Unlike conventional wind models, the FRADO model focuses on a “failed wind” scenario, where dusty clumps are ejected from the disk surface in a vertical direction but do not escape to infinity. This simplified one-dimensional framework excludes the orbital dynamics of the material, narrowing its scope to vertical motion alone. At the heart of this model is the idea that the surface layers of the cold accretion disk, rich in both dust and gas [
23,
24], are exposed to local radiation. This radiation flux is powerful enough to lift dusty clumps away from the disk. However, as these clumps rise to greater heights, they encounter stronger radiation from the central black hole’s vicinity, which strips them of their dust. The remaining gas clumps, now devoid of dust, fall back towards the disk in a ballistic trajectory governed by the gravitational pull of the black hole.
The FRADO model is one of the few frameworks that is physically motivated and self-consistently integrates the role of dusty winds in BLR formation, without introducing any arbitrary free parameters. Its strength lies in its ability to explain the inner radius of the BLR as the dust sublimation radius, which has been supported by reverberation mapping studies [
25]. Additionally, the model provides a physical mechanism for outflows in AGN without relying on magnetohydrodynamic effects, instead focusing on radiative driving. The inner radius, or actually the onset of the BLR, and the span of radii capable of launching (failed) wind are not arbitrarily determined but are a self-consistent output of the model [
22]. The model has been then further refined in recent years and upgraded to its 2.5D version, offering detailed insights into how radiation pressure can drive the formation and motion of BLR clouds. The new version folds the proper prescription of the disk radiation pressure with wavelength dependent dust opacities and also the role of shielding effect to provide a plausible picture of low-ionization BLR. However, possible limitations can be present due to, for example, dust grain properties, which are not well constrained observationally, the focus of the model due to its nature on the low-ionization part of BLR (thereby yielding no prediction for the highly ionized lines such as CIV or such), or the underlying standard Shakura–Sunyaev (SS) disk model [
26], which makes it limited to Eddington ratios between 0.01 up to near Eddington. However, the new version of the model has been very successful in explaining many aspects of observation of AGNs, including for example the overall shape of low-ionization line profiles, the formation of escaping outflow, and the spread in the radius–luminosity relations; see [
15,
19,
25,
27] for more details.
The FRADO model is essentially based on the radiatively efficient thermal (blackbody) emission in the optical/UV bands from the standard thin accretion disk [
26] operating at higher Eddington ratios [0.01 to 1] rather than on radio-loud (jetted) AGNs (around or below 0.01), where accretion flow may transition to advection-dominated accretion flow (ADAF) or magnetized thick disks. In jetted AGNs, the jets dominate the feedback processes and disk winds are often suppressed due to the competition between jets and wind-launching mechanisms, while in radio-quiet ones, radiatively driven winds are more prominent, leading to broader absorption/emission lines and observable outflows in the UV and X-rays. Overall, the FRADO model, as its name implies, belongs to AGN systems where the radiative output is dominated by thermal processes rather than non-thermal synchrotron radiation so that an SS disk is present, and radiative dust-driving wind launching is efficient. Therefore, in the context of FRADO by definition, non-jetted luminous AGNs, including Seyferts and radio-quiet quasars with SS underlying disks, are the cases examined.
3. Formulations of the Disk Outflow Rate
The radial behavior of the disk outflow (in this paper, the phrases outflow, wind, and mass loss are used interchangeably) rate
(where the subscript
z is just used to recall the quasi-vertical nature of the outflow from the disk), defined as the mass loss rate per unit radius due to outflows, is expected to follow a power law profile of the form
. In this context, the power law index
s is anticipated to be negative, reflecting the physical reality that the capability of the disk to launch outflows should diminish with increasing disk radius. This behavior aligns with theoretical models and observational evidence suggesting that radiative forces, which are key drivers of outflows, are most effective in the inner regions of the disk. Such scaling laws have been explored in various contexts, including disk winds in AGNs [
28], dust-driving winds [
19], and line-driven outflows in stellar atmospheres [
29]. The ejected material forming a wind, either failed or fully escaping outflow, is supposed to be responsible for the formation of the BLR; see, e.g., [
15,
18]. A negative
s reflects a physically plausible scenario, as it captures the rapid drop in flux,
(or
in terms of the local luminosity), with increasing radius values in geometrically thin, optically thick accretion disks [
26].
To characterize the local mass loss rate from the surface of an accretion disk, in the dust-dominated region of interest of this paper where the dust-driving mechanism is favored more, we start with the single-scattering phenomenon. Thereby, the clumps formed at the disk surface should be approximated as optically thin [
22], and the momentum of radiation is transferred to the outflow, as in the theory of stellar winds; see [
30] and the references therein. Therefore, following [
31], we let the energy flux
at a radius
r from the disk be proportional to the vertical mass outflow rate
as below
where
is the vertical mass loss rate from the disk per unit area,
is the terminal velocity for material at the disk surface at radius
r, which we take to be equal to
, i.e., the local escape velocity [
32],
c is the speed of light, and
is the radiative flux from the disk per unit area at radius
r (as the dust-driving mechanism works at large radii, we do not include the inner boundary condition), where
is the intrinsic accretion rate of the disk and is constant,
G is the gravitational constant, and
M is the black hole mass. The component of gravity at large radii at the disk surface is negligible (
). So, the local mass loss rate per unit area of disk surface is
This, if all other constant and parameters are carefully addressed, can be integrated over a specified radial range to give the cumulative radial mass loss rate (in optically thin regime approximation); however, part of the ejected mass eventually returns to the disk in the form of failed winds [
15,
18]. But the local mass loss rate (
, where
) from the disk surface as a function of radius
r, denoted by
, can be given as
The Equation (
3) shows how outflow launching efficiency scales radially across the disk, with larger mass loss expected in regions where the flux is higher or the escape velocity is lower. But the decay of the outflow intensity with radius is shallower than what has been reported for quasars [
20,
28], where the outflow intensity follows a steeper radial decline.
On the other hand, in the optically thick regime, where multiple scatterings are allowed, we preferably follow an energy-wise approach rather than the momentum-oriented solution above, as the entire energy can be transferred to the outflow. Through this approach, we also incorporate the role of dust opacity in the lowly ionized regions of the BLR, where radiative dust-driving occurence is a significant mechanism. In regions where dust is present, the radiative flux driving the outflow interacts with dust grains more efficiently than electrons, so we have
where
is the gravitational potential per unit mass,
is the Thompson scattering opacity, and
is the dust opacity, which is expected to scale with the radius as
. This modification yields
where
is negative
, see, e.g., [
15,
33]. Now, in order to investigate how these different decay rates influence the geometry and distribution of material in BLR and, consequently, the resulting shapes of broad emission lines, we proceed with adopting outflow rate power law indices of
and
.
4. Results
To investigate the effects of the radial scaling of disk outflow rates on the geometry and distribution of BLR clouds, we employed 2.5D FRADO computations. In order to do so, the model only requires the physical parameters of the source, including the black hole mass, accretion rate, dust sublimation temperature, and dust model of interest, but not any free arbitrary parameter. The inner/outer launching radii for the simulations in 2.5D FRADO are not inputs but are self-consistently found as outputs based on the dust sublimation temperature and the radiative dust-driving outflow launching efficiency for a given radius; see [
15] for the details.
As a benchmark for comparison, we adopted the physical parameters of the mean composite quasar [
34] from the Sloan Digital Sky Survey (SDSS), for which the black hole mass is
, and the accretion rate is
. These values can represent quasars in SDSS data well [
35]. The benchmark is defined by the single-peaked shape of the low-ionization broad emission lines observed in the mean composite quasar spectrum [
34], providing a baseline for comparison with the line profiles derived from the different radial behaviors of the disk outflow rates.
The spatial distribution of BLR clouds resulting from two different radial functions of the outflow launching efficiency is shown in
Figure 1. For each model, the locations and velocities of the BLR clouds were computed in 3D Cartesian coordinates using the FRADO 2.5D model. These distributions highlight the role of outflow efficiency radial scaling in shaping the BLR geometry and dynamics. Specifically, the shallower scaling gives a more extended BLR with slower-moving clouds distributed over a broader range of radii, while the steeper one produces a more compact BLR with clouds concentrated closer in to the black hole and exhibiting higher velocities.
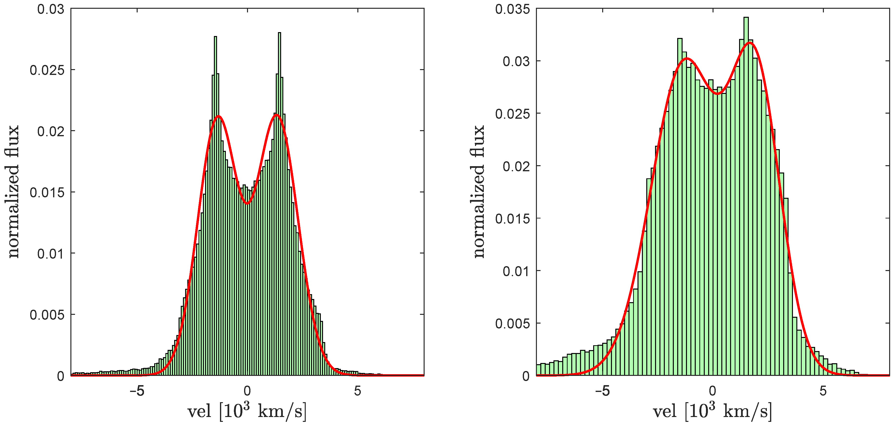
We used the velocity distributions of BLR clouds in the FRADO model of a mean quasar to calculate the broad emission line profiles based on the Doppler shift with respect to an observer’s line of sight at a mean viewing angle of
[
36]. We first considered a uniform emissivity for the BLR clouds, regardless of their location. The emission-line profiles were thus computed by applying the Doppler shift to obtain the observed wavelength of each cloud. The results of line shape modeling are presented in
Figure 2.
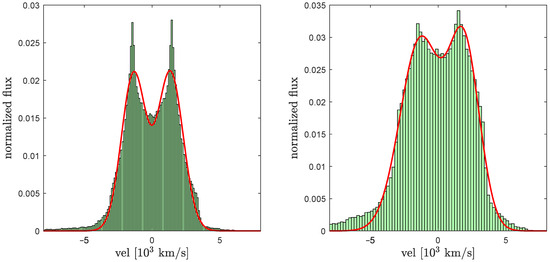
We then introduced a physical condition, which sets a threshold for clouds to contribute in the line shape. The condition comes from the parameter photon flux,
, which was also directly computed by the FRADO 2.5D model. It depends on the location of a cloud and is required to be, for example,
photons
to give rise to the formation of H
or MgII emission lines [
37]. Therefore, in the second step, we still considered uniform emissivity but only included those clouds which met the condition. The clouds meeting the condition are distinguished in
Figure 3. The line profiles with respect to the new condition are represented in
Figure 4.
5. Discussion
We considered two cases for the radial behavior of outflow from the disk, which contributes to the formation of the low-ionization BLR. Based on these two scenarios, we constructed the phase–space distribution of BLR clouds, representing their spatial and velocity distributions. Using this framework, we then calculated the shape of emission line profiles resulting from the Doppler shift of clouds under two distinct assumptions about their emissivity. In the first scenario, we assumed a uniform emissivity, where all clouds contribute equally to the line formation regardless of their local conditions. In the second scenario, we adopted a more physically motivated approach, allowing only those clouds receiving a photon flux of to contribute to the emission. This threshold reflects the minimum radiation necessary to efficiently ionize and excite the clouds, thus influencing the line formation and overall profile shape. The results demonstrate the impact of different radial functions of disk outflow on both the geometry of the BLR and the observable emission line shapes.
As for the first scenario with single emissivity for all clouds, as in
Figure 2, the line profile with
exhibits a clear double-peaked structure with the peaks symmetrically distributed around the zero-velocity center and a dip, which indicates reduced emission at low line-of-sight velocities, i.e., low vertical velocities. But the line profile with steeper outflow is more inclined to single-peaked and is comparatively smoother; the central dip observed in the left panel is filled in, as the emission from material at larger radii contributes less in number to the line profile, resulting in a more uniform emission profile around zero velocity. Double-peaked profiles are more characteristic of rotating disk-like systems, so the outflow rate with
aligns better with the observationally inferred dynamics of the BLR with respect to the mean quasar model, where gas closer to the central source dominates the emission. The steepest decline in the radial scaling of the disk outflow rate as
is then more favored in reproducing the overall shape of the low-ionization broad emission profile. This scaling behavior, intriguingly, also mirrors the radial dependency of the local Keplerian orbital time of BLR clouds in the gravitational potential of the central black hole, where
, which, in other words, may reflect the frequency of clouds impacting the disk. If the clouds, after completing their orbital motion, return to the disk surface as part of a failed wind, their impact could perturb the disk surface. The turbulence generated at the impact site may, in turn, facilitate the launch of another cloud from the same location. While not all clouds are expected to return to the disk surface, this similarity in scaling laws is compelling, suggesting that the processes governing the outflow launching radial efficiency may be linked to the time scales of orbital motion. Numerical simulations [
38,
39] support the idea that failed winds [
18] can significantly influence the disk environment.
When it comes to second scenario of emissivity where a more physically motivated approach was introduced by applying a photon flux threshold, both models of the radial scaling of the outflow produced a similar single-peaked line profile, as shown in
Figure 4. This result demonstrates that the new approach naturally suppresses contributions from clouds at larger radii with insufficient illumination, effectively simplifying the line shape. The primary reason for this similarity of line profiles here is not only that the line formation in both cases of outflow radial scaling is predominantly influenced by clouds at smaller radii—closer to the black hole, as shown
Figure 3, resulting in a single-peaked profile—but also that the clouds contributing to the line are launched from a very narrow radial range of the accretion disk (direct implication of new condition based on photon flux). This narrow launching range limits the sensitivity of the line shape to the specific radial scaling of the outflow. Consequently, while the steeper outflow function (
) is preferred when considering the single-emissivity model (as it better reproduces observed profiles; see
Figure 2), the photon-flux-limited approach diminishes the impact of the outflow radial function on the resulting line profile. This suggests that the emission-line shapes in the flux-threshold scenario are largely dictated by the dynamics and illumination conditions of clouds in the innermost regions, regardless of the specific outflow rate scaling.
Upon transition to the inner region where the temperature exceeds that of dust sublimation, which is dominated by line driving mechanism, calculation of the total mass loss rate of the wind (fully escaping outflow) in [
20,
28] yields a relation as
where
is reported to be
for quasars and
for Seyferts. This
relation indicates that the total outflow assuming the same luminosity is stronger in Seyferts than quasars; however, quasars are, in general, much more luminous than Seyferts by orders of magnitudes. The relation, replacing for
, can be rearranged to the power law form of interest of this work as
, with
values of around
and
for quasars and Seyferts, respectively. This means that the decline in the outflow launching efficiency of the disk in the radial direction is much steeper for Seyferts than quasars, though it does not represent the net outflow per given radius, as we do not take care to employ a proportionality constant in the function
. These
s indices below
in the line-driving region, responsible for the formation of high-ionization broad emission lines, indicate that upon the transition from dusty region (where FRADO works) to inner dust-sublimating regions, the outflow launching efficiency drops more steeply compared to the outer dust dominated disk so that the high-ionization outflow is more concentrated and massive at radii closer in to the black hole, i.e., at inner high-ionization BLR.
The velocities shown in the line profile figures are given with respect to the observer’s reference frame. The asymmetry in the line shape, shifted toward negative velocities (blueward), indicates the presence of an escaping outflow, although this effect is not strongly pronounced. The full width at half maximum (FWHM) of the line profiles in all cases, as can be seen in
Figure 2 and
Figure 4, is approximately
km/s. With respect to the definition of the gravitational radius,
, we can write
. Assuming a virial factor of
, this FWHM corresponds to a BLR size of
. This estimate aligns with the effective location of the emitting region shown in
Figure 3, suggesting that the BLR in this case is close to a virialized state.
In order to position the FRADO model of the mean quasar on the Eigenvector 1 (EV1) diagram, several important aspects must be considered. First, regarding the line emissivity and profile shape, the results from the first scenario (
Figure 2) exhibit double-peaked profiles with FWHM > 4000 km/s, which aligns with the behavior of Population B AGNs. However, the presence of blue asymmetry in these profiles is atypical for Pop B1 (or column 1 of the EV1 diagram in general, i.e., low Eddington ratio sources), as these populations more commonly exhibit redward asymmetry due to gravitational redshift effects [
40,
41]. On the other hand, the second scenario (
Figure 4) shows single-peaked profiles with a slight blueshift, which is more typical of Pop A2-to-A4 objects. Despite this, the FWHM remains > 4000 km/s, which is characteristic of Pop B behavior. To evaluate the role of gravitational redshift, we followed [
42], where
. For the FRADO model of a mean quasar with
, the gravitational redshift is approximately 0.0003, which is a negligible value that does not significantly affect the line shape. This arises because the mean quasar has a moderate Eddington ratio of ∼0.1, placing its low-ionization BLR (e.g., H
) at a larger distance from the black hole compared to that of lower Eddington ratio sources, where relativistic effects are more pronounced. Altogether, regardless of the chosen emissivity approach (resulting in single- or double-peaked line shapes), the combination of (a) FWHM > 4000 km/s, (b) the presence of blue-shifted asymmetry (a signature of outflow), and (c) the absence of redward boosted wings suggests that the FRADO model of the mean quasar can be classified in the B2 tile of the EV1 diagram [
43]. This classification aligns with a moderate accretion rate, a narrow stream of escaping outflow [
19], and negligible relativistic effects due to the distant location of the low-ionization BLR. In future work, a more sophisticated treatment of the cloud emissivity (for example, using detailed radiative transfer codes) and incorporating the effect of turbulence may significantly influence the final line profile shapes. Turbulence is fundamentally responsible for the Lorentzian bases observed in typical AGN line profiles [
44]. However, these early results suggest that even with an inner BLR highly populated with turbulent clouds to enhance the line’s core, it is unlikely that the FWHM would decrease sufficiently to relocate the FRADO model of mean quasar into Pop A. Therefore, while refinements may improve alignment with observations, the general classification in Pop B2 remains robust for the mean quasar model.