A Model for Cosmic Magnetic Field Amplification: Effects of Pressure Anisotropy Perturbations
Abstract
1. Introduction
2. Statement of the Problem
2.1. Pressure Anisotropy
- Collision-dominated regime, for ;
- Intermediate regime, for ;
- Scattering-dominated regime, for .
2.2. Magnetic Field Amplification in the Collision-Dominated Regime and Perturbations Enhancing Pressure Anisotropy
3. A Model for Amplifying the Cosmic Magnetic Field Mediated by Plasma Instabilities
3.1. Instabilities Induced by Pressure Anisotropy
3.2. Amplification of the Cosmic Magnetic Field in the Intermediate Regime
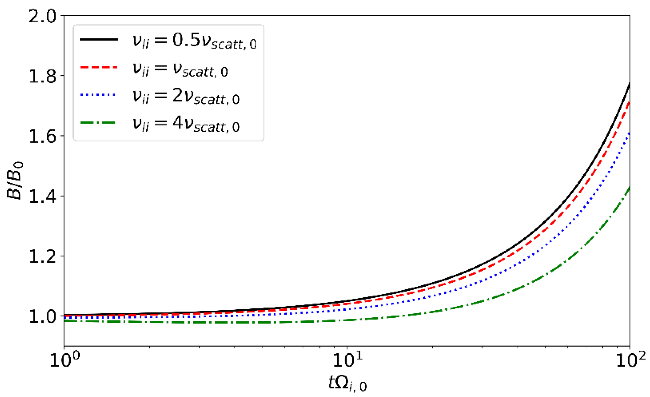
3.3. Amplification of the Cosmic Magnetic Field in the Scattering-Dominated Regime
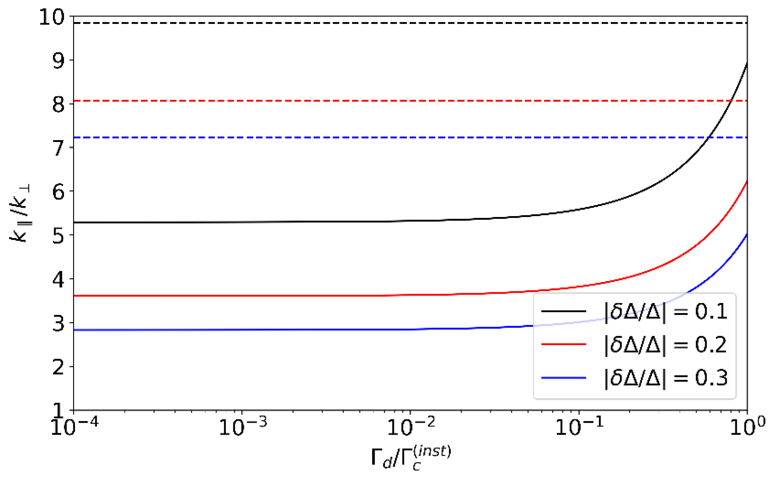
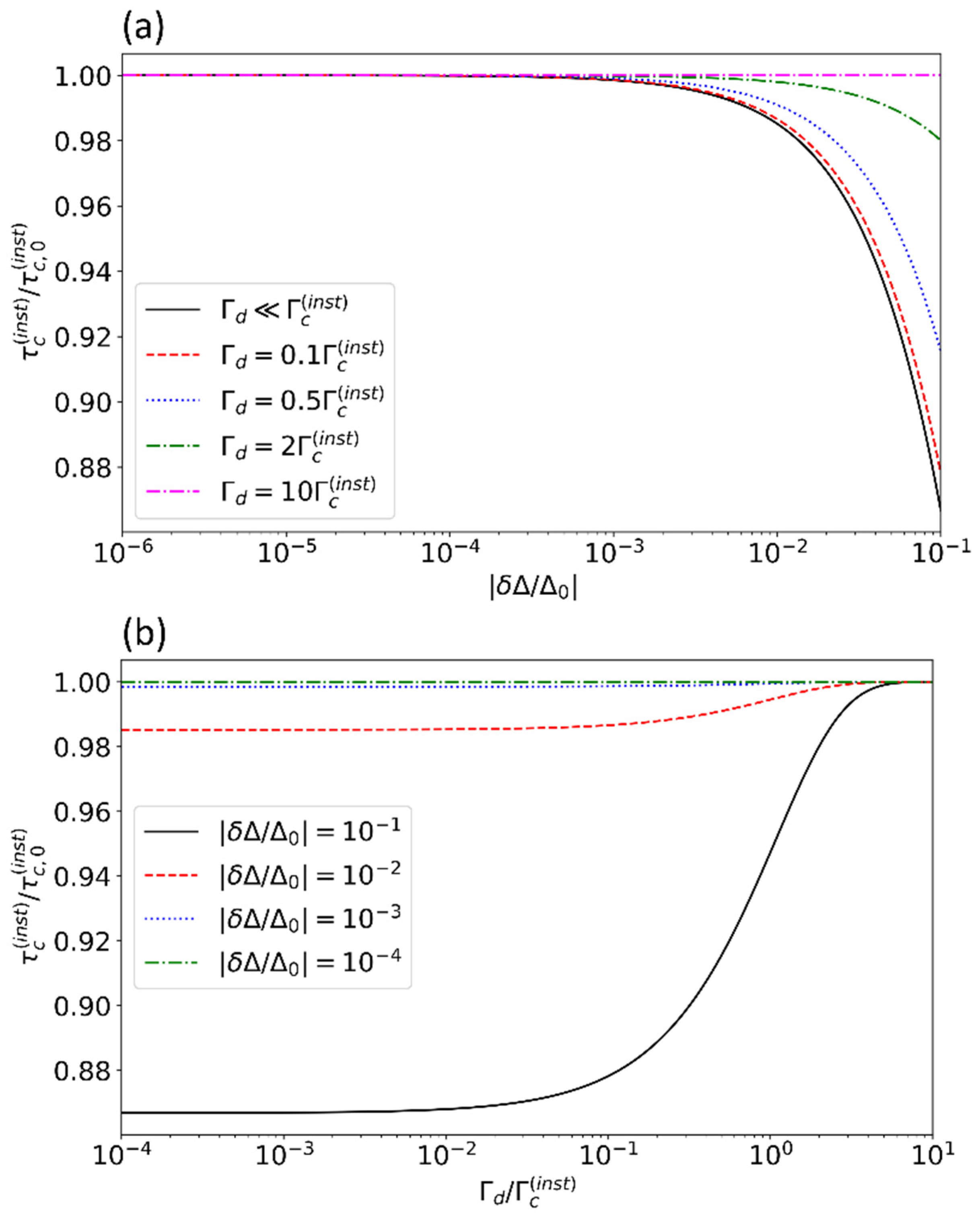
3.4. Saturation of Plasma Instabilities Driven by Pressure Anisotropy
4. Summary and Discussion
Funding
Data Availability Statement
Acknowledgments
Conflicts of Interest
References
- Ryu, D.; Kang, H.; Cho, J.; Das, S. Turbulence and Magnetic Fields in the Large Scale Structure of the Universe. Science 2008, 320, 909–912. [Google Scholar] [CrossRef] [PubMed]
- Kronberg, P.P. Extragalactic magnetic fields. Rep. Prog. Phys. 1994, 57, 325. [Google Scholar] [CrossRef]
- Zweibel, E.G.; Heiles, C. Magnetic fields in galaxies and beyond. Nature 1997, 385, 131–136. [Google Scholar] [CrossRef]
- Widrow, L.M. Origin of Galactic and Extragalactic Magnetic Fields. Rev. Mod. Phys. 2002, 74, 775–823. [Google Scholar] [CrossRef]
- Govoni, F.; Feretti, L. Magnetic Field in Clusters of Galaxies. Int. J. Mod. Phys. D 2004, D13, 1549–1594. [Google Scholar] [CrossRef]
- Ryu, D.; Schleicher, D.R.G.; Treumann, R.A.; Tsagas, C.G.; Widrow, L.M. Magnetic Fields in Large-Scale Structure of the Universe. Space Sci. Rev. 2012, 166, 1–35. [Google Scholar] [CrossRef]
- Di Gennaro, G.; van Weeren, R.J.; Brunetti, G.; Cassano, R.; Brüggen, M.; Hoeft, M.; Shimwell, T.W.; Röttgering, H.J.A.; Bonafede, A.; Botteon, A.; et al. Fast magnetic field amplification in distant galaxy clusters. Nat. Astron. 2021, 5, 268–275. [Google Scholar] [CrossRef]
- Bagchi, J.; Ensslin, T.A.; Miniati, F.; Stalin, C.S.; Singh, M.; Raychaudhury, S.; Humeshkar, N.B. Evidence for shock acceleration and intergalactic magnetic fields in a large-scale filament of galaxies ZwCl 2341.1+0000. New Astron. 2002, 7, 249–277. [Google Scholar] [CrossRef]
- Strong, A.W.; Moskalenko, I.V.; Ptuskin, V.S. Cosmic-ray propagation and interactions in the Galaxy. Annu. Rev. Nucl. Part. Sci. 2007, 57, 285–327. [Google Scholar] [CrossRef]
- Kim, J.; Ryu, D.; Kang, H.; Kim, S.; Rey, S.-C. Filaments of galaxies as a clue to the origin of ultra-high-energy cosmic rays. Sci. Adv. 2019, 5, eaau8227. [Google Scholar] [CrossRef] [PubMed]
- Wittor, D. Cosmic-Ray Acceleration and Magnetic Fields in Galaxy Clusters and Beyond: Insights from Radio Observations. Universe 2023, 9, 319. [Google Scholar] [CrossRef]
- Ha, J.-H.; Ryu, D.; Kang, H. Cosmic-Ray Acceleration and Nonthermal Radiation at Accretion Shocks in the Outer Regions of Galaxy Clusters. Astrophys. J. 2023, 943, 119. [Google Scholar] [CrossRef]
- Barrow, J.D.; Ferreira, P.G.; Silk, J. Constraints on a Primordial Magnetic Field. Phys. Rev. Lett. 1997, 78, 3610–3613. [Google Scholar] [CrossRef]
- Subramanian, K. Primordial magnetic fields and CMB anisotropies. Astron. Nachrichten 2006, 327, 403–409. [Google Scholar] [CrossRef]
- Minoda, T.; Ichiki, K.; Tashiro, H. Small-scale CMB anisotropies induced by the primordial magnetic fields. J. Cosmol. Astropart. Phys. 2021, 3, 093. [Google Scholar] [CrossRef]
- Grasso, D.; Rubinstein, H.R. Revisiting nucleosynthesis constraints on primordial magnetic fields. Phys. Lett. B 1996, 379, 73–79. [Google Scholar] [CrossRef]
- Biermann, L. Uber den Ursprung der Magnetfelder auf Sternen und im interstellaren Raum (miteinem Anhang von A. Schluter). Zs. Naturforschung 1950, 5, 65–71. [Google Scholar]
- Ryu, D.; Kang, H.; Biermann, P.L. Cosmic magnetic fields in large scale filaments and sheets. Astron. Astrophys. 1998, 335, 19–25. [Google Scholar]
- Naoz, S.; Narayan, R. Generation of Primordial Magnetic Fields on Linear Overdensity Scales. Phys. Rev. Lett. 2013, 111, 051303. [Google Scholar] [CrossRef]
- Langer, M.; Durrive, J.-B. Magnetizing the Cosmic Web during Reionization. Galaxies 2018, 6, 124. [Google Scholar] [CrossRef]
- Langer, M.; Aghanim, N.; Puget, J.-L. Magnetic fields from reionisation. Astron. Astrophys. 2005, 443, 367–372. [Google Scholar] [CrossRef]
- Durrive, J.-B.; Langer, M. Intergalactic magnetogenesis at Cosmic Dawn by photoionization. Mon. Not. R. Astron. Soc. 2015, 453, 345–356. [Google Scholar] [CrossRef]
- Subramanian, K.; Shukurov, A.; Haugen, N.E.L. Evolving turbulence and magnetic fields in galaxy clusters. Mon. Not. R. Astron. Soc. 2006, 366, 1437–1454. [Google Scholar] [CrossRef]
- Schekochihin, A.A.; Iskakov, A.B.; Cowley, S.C.; McWilliams, J.C.; Proctor, M.R.E.; Yousef, T.A. Fluctuation dynamo and turbulent induction at low magnetic Prandtl numbers. New J. Phys. 2007, 9, 300. [Google Scholar] [CrossRef]
- Schlickeiser, R.; Shukla, P.K. Cosmological Magnetic Field Generation by the Weibel Instability. Astrophys. J. Lett. 2003, 599, L57. [Google Scholar] [CrossRef]
- Schlickeiser, R. On the origin of cosmological magnetic fields by plasma instabilities. Plasma Phys. Control. Fusion 2005, 47, A205. [Google Scholar] [CrossRef]
- Jedamzik, K.; Katalinić, V.; Olinto, A.V. Damping of cosmic magnetic fields. Phys. Rev. D 1998, 57, 3264–3284. [Google Scholar] [CrossRef]
- Brandenburg, A.; Sokoloff, D.; Subramanian, K. Current Status of Turbulent Dynamo Theory. Space Sci. Rev. 2012, 169, 123–157. [Google Scholar] [CrossRef]
- Beresnyak, A. Universal Nonlinear Small-Scale Dynamo. Phys. Rev. Lett. 2012, 108, 035002. [Google Scholar] [CrossRef] [PubMed]
- Cho, J. Origin of Magnetic Field in the Intracluster Medium: Primordial or Astrophysical? Astrophys. J. 2014, 797, 133. [Google Scholar] [CrossRef]
- Martin-Alvarez, S.; Devriendt, J.; Slyz, A.; Sijacki, D.; Richardson, M.L.A.; Katz, H. Towards convergence of turbulent dynamo amplification in cosmological simulations of galaxies. Mon. Not. R. Astron. Soc. 2022, 513, 3326–3344. [Google Scholar] [CrossRef]
- Wagstaff, J.M.; Banerjee, R.; Schleicher, D.; Sigl, G. Magnetic field amplification by the small-scale dynamo in the early Universe. Phys. Rev. D 2014, 89, 103001. [Google Scholar] [CrossRef]
- Mogavero, F.; Schekochihin, A.A. Models of magnetic field evolution and effective viscosity in weakly collisional extragalactic plasmas. Mon. Not. R. Astron. Soc. 2014, 440, 3226–3242. [Google Scholar] [CrossRef]
- Grasso, D.; Rubinstein, H.R. Magnetic Fields in the Early Universe. Phys. Rep. 2001, 348, 163–266. [Google Scholar] [CrossRef]
- Falceta-Goncalves, D.; Kowal, G. Fast Magnetic Field Amplification in The Early Universe: Growth of Collisionless Plasma Instabilities in Turbulent Media. Astrophys. J. 2015, 808, 65. [Google Scholar] [CrossRef]
- Schekochihin, A.A.; Cowley, S.C.; Kulsrud, R.M.; Hammett, G.W.; Sharma, P. Plasma Instabilities and Magnetic Field Growth in Clusters of Galaxies. Astrophys. J. 2005, 629, 139. [Google Scholar] [CrossRef]
- Schekochihin, A.A.; Cowley, S.C. Fast growth of magnetic fields in galaxy clusters: A self-accelerating dynamo. Astron. Nachrichten 2006, 327, 599–604. [Google Scholar] [CrossRef]
- Schekochihin, A.A.; Cowley, S.C. Turbulence, magnetic fields and plasma physics in clusters of galaxies. Phys. Plasmas 2006, 13, 056501. [Google Scholar] [CrossRef]
- Gary, S.P.; Li, H.; O’Rourke, S.; Winske, D. Proton resonant firehose instability: Temperature anisotropy and fluctuating field constraints. J. Geophys. Res. Space Phys. 1998, 103, 14567–14574. [Google Scholar] [CrossRef]
- Durrer, R.; Neronov, A. Cosmololgical Magnetic Fields: Their Generation, Evolution, and Observation. Astron. Astrophys. Rev. 2013, 21, 62. [Google Scholar] [CrossRef]






Disclaimer/Publisher’s Note: The statements, opinions and data contained in all publications are solely those of the individual author(s) and contributor(s) and not of MDPI and/or the editor(s). MDPI and/or the editor(s) disclaim responsibility for any injury to people or property resulting from any ideas, methods, instructions or products referred to in the content. |
© 2024 by the author. Licensee MDPI, Basel, Switzerland. This article is an open access article distributed under the terms and conditions of the Creative Commons Attribution (CC BY) license (https://creativecommons.org/licenses/by/4.0/).
Share and Cite
Ha, J.-H. A Model for Cosmic Magnetic Field Amplification: Effects of Pressure Anisotropy Perturbations. Universe 2025, 11, 9. https://doi.org/10.3390/universe11010009
Ha J-H. A Model for Cosmic Magnetic Field Amplification: Effects of Pressure Anisotropy Perturbations. Universe. 2025; 11(1):9. https://doi.org/10.3390/universe11010009
Chicago/Turabian StyleHa, Ji-Hoon. 2025. "A Model for Cosmic Magnetic Field Amplification: Effects of Pressure Anisotropy Perturbations" Universe 11, no. 1: 9. https://doi.org/10.3390/universe11010009
APA StyleHa, J.-H. (2025). A Model for Cosmic Magnetic Field Amplification: Effects of Pressure Anisotropy Perturbations. Universe, 11(1), 9. https://doi.org/10.3390/universe11010009

