Decoding the Nature of Coherent Radio Emission in Pulsars I: Observational Constraints
Abstract
1. Introduction
2. Polarization Behaviour in Normal Pulsars
2.1. The Rotating Vector Model
2.2. Effect of Magnetospheric Plasma on PPA
2.3. Example of Polarization in Pulsar Radio Emission
2.3.1. High Levels of Linear Polarization
Propagation Effect Cannot Explain the High Levels of Linear Polarization
High Levels of Linear Polarization from Curvature Radiation
2.3.2. Circular Polarization
3. Variation of Spectral Index across the Profile Window
3.1. Classification of Profile Morphology and Nature of Emission Beam
3.2. Measuring Spectral Variation across the Emission Beam
4. Subpulse Drifting: Window into Inner Acceleration Region
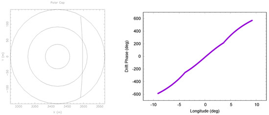
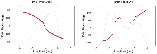
4.1. Drift Phase Variations: Evidence of Non-Dipolar Magnetic Field
4.2. Dependence of Drift Periodicity with : Evidence of Partially Screened Gap
5. Summary
- The origin and shape of the pulsar emission beam and its evolution with (see e.g., [118]).
- The physical origin of the evolution of average profile width, component width and component separation with frequency, and their dependence on the emission height (see accompanying paper Melikidze, Mitra & Basu, also see e.g., [52]).
- What is the origin of radio emission from Magnetars (see e.g., [160])?
Author Contributions
Funding
Acknowledgments
Conflicts of Interest
Abbreviations
| CCR | Coherent Curvature Radiation |
| GMRT | Giant Metrewave Radio Telescope |
| IAR | Inner Acceleration Region |
| IVG | Inner Vacuum Gap |
| LOS | Line Of Sight |
| LRFS | Longitude Resolve Fluctuation Spectra |
| -mode | Longitudinal Transverse mode |
| OPM | Orthogonal Polarization Mode |
| O-mode | Ordinary mode |
| PPA | Polarization Position Angle |
| PSG | Partially Screened Gap |
| RVM | Rotating Vector Model |
| SG | Steepest Gradient |
| t-mode | Transverse mode |
| u-GMRT | upgraded Giant Metrewave Radio Telescope |
| X-mode | Extraordinary mode |
| 1 | For example the linear acceleration mechanism excites the O-mode and has polarization oriented parallel to the k − B plane |
| 2 | Note that [59] found adiabatic walking to be important as they were considering an emission mechanism where the radio frequency is close to the characteristic frequency, i.e., , and has large values. |
References
- Hewish, A.; Bell, S.J.; Pilkington, J.D.H.; Scott, P.F.; Collins, R.A. Observation of a Rapidly Pulsating Radio Source. Nature 1968, 217, 709–713. [Google Scholar] [CrossRef]
- Gold, T. Rotating Neutron Stars and the Nature of Pulsars. Nature 1969, 221, 25–27. [Google Scholar] [CrossRef]
- Large, M.I.; Vaughan, A.E.; Wielebinski, R. Pulsar Search at the Molonglo Radio Observatory. Nature 1968, 220, 753–756. [Google Scholar] [CrossRef]
- Staelin, D.H.; Reifenstein, E.C., III. Pulsating Radio Sources near the Crab Nebula. Science 1968, 162, 1481–1483. [Google Scholar] [CrossRef] [PubMed]
- Comella, J.M.; Craft, H.D.; Lovelace, R.V.E.; Sutton, J.M. Crab Nebula Pulsar NP 0532. Nature 1969, 221, 453–454. [Google Scholar] [CrossRef]
- Cocke, W.J.; Disney, M.J.; Taylor, D.J. Discovery of Optical Signals from Pulsar NP 0532. Nature 1969, 221, 525–527. [Google Scholar] [CrossRef]
- Lynds, R.; Maran, S.P.; Trumbo, D.E. Optical Identification and Observations of the Pulsar NP 0532. Astrophys. J. Lett. 1969, 155, L121. [Google Scholar] [CrossRef]
- Ginzburg, V.L.; Zheleznyakov, V.V.; Zaitsev, V.V. Coherent Mechanisms of Radio Emission and Magnetic Models of Pulsars. Astrophys. Space Sci. 1969, 4, 464–504. [Google Scholar] [CrossRef]
- Goldreich, P.; Julian, W.H. Pulsar Electrodynamics. Astrophys. J. 1969, 157, 869. [Google Scholar] [CrossRef]
- Sturrock, P.A. A Model of Pulsars. Astrophys. J. 1971, 164, 529. [Google Scholar] [CrossRef]
- Ginzburg, V.L.; Zhelezniakov, V.V. On the pulsar emission mechanisms. Annu. Rev. Astron Astrophys. 1975, 13, 511–535. [Google Scholar] [CrossRef]
- Ruderman, M.A.; Sutherland, P.G. Theory of pulsars: Polar gaps, sparks, and coherent microwave radiation. Astrophys. J. 1975, 196, 51–72. [Google Scholar] [CrossRef]
- Qiao, G. A mechanism for core emission of pulsars. Vistas Astron. 1988, 31, 393–397. [Google Scholar] [CrossRef]
- Qiao, G.J. Inverse Compton scattering (ICS) plays an important role in pulsar emission. In High Energy Astrophysics: Supernovae, Remnants, Active Galaxies, Cosmology; Springer: Berlin/Heidelberg, Germany, 1988; p. 88. [Google Scholar]
- Melikidze, G.I.; Gil, J.A.; Pataraya, A.D. The Spark-associated Soliton Model for Pulsar Radio Emission. Astrophys. J. 2000, 544, 1081–1096. [Google Scholar] [CrossRef]
- Kazbegi, A.Z.; Machabeli, G.Z.; Melikidze, G.I. On the circular polarization in pulsar emission. Mon. Not. RAS 1991, 253, 377. [Google Scholar] [CrossRef]
- Melrose, D.B. Coherent Radio Emission from Pulsars. Philos. Trans. R. Soc. Lond. Ser. A 1992, 341, 105–115. [Google Scholar] [CrossRef]
- Melrose, D.B. The models for radio emission from pulsars—The outstanding issues. J. Astrophys. Astron. 1995, 16, 137–164. [Google Scholar] [CrossRef]
- Melrose, D.B.; Rafat, M.Z.; Mastrano, A. Pulsar radio emission mechanisms: A critique. Mon. Not. RAS 2021, 500, 4530–4548. [Google Scholar] [CrossRef]
- Hardee, P.E.; Rose, W.K. Wave production in an ultrarelativistic electron-positron plasma. Astrophys. J. 1978, 219, 274–287. [Google Scholar] [CrossRef]
- Arons, J.; Barnard, J.J. Wave Propagation in Pulsar Magnetospheres: Dispersion Relations and Normal Modes of Plasmas in Superstrong Magnetic Fields. Astrophys. J. 1986, 302, 120. [Google Scholar] [CrossRef]
- Shapakidze, D.; Machabeli, G.; Melikidze, G.; Khechinashvili, D. Quasilinear theory of Cherenkov-drift instability. Phys. Rev. E 2003, 67, 026407. [Google Scholar] [CrossRef] [PubMed]
- Radhakrishnan, V.; Cooke, D.J. Magnetic Poles and the Polarization Structure of Pulsar Radiation. Astrophys. Lett. 1969, 3, 225. [Google Scholar]
- Wampler, E.J.; Scargle, J.D.; Miller, J.S. Optical Observations of the Crab Nebula Pulsar. Astrophys. J. Lett. 1969, 157, L1. [Google Scholar] [CrossRef]
- Böhm-Vitense, E. The Pulsar NP 0532 and the Implications of the Oblique-Rotator Hypothesis. Astrophys. J. Lett. 1969, 156, L131. [Google Scholar] [CrossRef]
- Morris, D.; Berge, G.L. Measurements of the polarization and angular extent of the decimetric radiation of Jupiter. Astrophys. J. 1962, 136, 276–282. [Google Scholar] [CrossRef]
- du Plessis, L.; Wadiasingh, Z.; Venter, C.; Harding, A.K. Constraining the Emission Geometry and Mass of the White Dwarf Pulsar AR Sco Using the Rotating Vector Model. Astrophys. J. 2019, 887, 44. [Google Scholar] [CrossRef]
- Radhakrishnan, V. Fifteen Months of Pulsar Astronomy. Publ. Astron. Soc. Aust. 1969, 1, 254–263. [Google Scholar] [CrossRef]
- Lerche, I. On the Motion of Current Sheets, and the Radio, Optical, and X-ray Emission from Pulsars. II. Pulse Structure, Polarization, Time-Varying Features, and Tight-Beam Emission. Astrophys. J. 1970, 160, 1003. [Google Scholar] [CrossRef]
- Manchester, R.N.; Taylor, J.H.; Huguenin, G.R. Observations of pulsar radio emission. II. Polarization of individual pulses. Astrophys. J. 1975, 196, 83–102. [Google Scholar] [CrossRef]
- Manchester, R.N. Orthogonal Polarization in Pulsar Radio Emission. Publ. Astron. Soc. Aust. 1975, 2, 334–336. [Google Scholar] [CrossRef]
- Backer, D.C.; Rankin, J.M.; Campbell, D.B. Orthogonal mode emission in geometric models of pulsar polarisation. Nature 1976, 263, 202–207. [Google Scholar] [CrossRef]
- Cocke, W.J.; Pacholczyk, A.G. Theory of the polarization of pulsar radio radiation. Astrophys. J. Lett. 1976, 204, L13–L15. [Google Scholar] [CrossRef]
- Melrose, D.B.; Stoneham, R.J. The natural wave modes in a pulsar magnetosphere. Publ. Astron. Soc. Aust. 1977, 3, 120–122. [Google Scholar] [CrossRef]
- Rankin, J.M. Toward an empirical theory of pulsar emission. I. Morphological taxonomy. Astrophys. J. 1983, 274, 333–358. [Google Scholar] [CrossRef]
- Rankin, J.M. Toward an Empirical Theory of Pulsar Emission. IV. Geometry of the Core Emission Region. Astrophys. J. 1990, 352, 247. [Google Scholar] [CrossRef]
- Rankin, J.M. Toward an Empirical Theory of Pulsar Emission. VI. The Geometry of the Conal Emission Region. Astrophys. J. 1993, 405, 285. [Google Scholar] [CrossRef]
- Rankin, J.M. Toward an Empirical Theory of Pulsar Emission. VI. The Geometry of the Conal Emission Region: Appendix and Tables. Astrophys. J. Suppl. 1993, 85, 145. [Google Scholar] [CrossRef]
- Ferguson, D.C. The Optical Polarization of the Crab Nebula Pulsar. I. a Relativistic Vector Model. Astrophys. J. 1973, 183, 977–986. [Google Scholar] [CrossRef]
- Ferguson, D.C. The generalized single-vector polarization model for pulsars. I. Theory. Astrophys. J. 1976, 205, 247–260. [Google Scholar] [CrossRef]
- Shitov, Y.P. Pulsar Radio Polarization and the Magnetic Field Twist Effect. Sov. Astron. 1985, 29, 33–39. [Google Scholar]
- Barnard, J.J. Probing the Magnetic Field of Radio Pulsars: A Reexamination of Polarization Position Angle Swings. Astrophys. J. 1986, 303, 280. [Google Scholar] [CrossRef]
- Blaskiewicz, M.; Cordes, J.M.; Wasserman, I. A Relativistic Model of Pulsar Polarization. Astrophys. J. 1991, 370, 643. [Google Scholar] [CrossRef]
- Hibschman, J.A.; Arons, J. Polarization Sweeps in Rotation-powered Pulsars. Astrophys. J. 2001, 546, 382–393. [Google Scholar] [CrossRef]
- Gangadhara, R.T. Pulsar Radio Emission Altitude from Curvature Radiation. Astrophys. J. 2004, 609, 335–339. [Google Scholar] [CrossRef]
- Yuen, R.; Melrose, D.B. Visibility of Pulsar Emission: Motion of the Visible Point. Publ. Astron. Soc. Aust. 2014, 31, e039. [Google Scholar] [CrossRef]
- Phillips, J.A. Radio Emission Altitudes in the Pulsar Magnetosphere. Astrophys. J. 1992, 385, 282. [Google Scholar] [CrossRef]
- Xilouris, K.M.; Kramer, M.; Jessner, A.; Wielebinski, R.; Timofeev, M. Emission properties of pulsars at mm-wavelengths. Astron. Astrophys. 1996, 309, 481–492. [Google Scholar]
- Kijak, J.; Gil, J. Radio emission altitudes in pulsar magnetospheres. Mon. Not. RAS 1997, 288, 631–637. [Google Scholar] [CrossRef]
- von Hoensbroech, A.; Xilouris, K.M. Does radius-to-frequency mapping persist close to the pulsar surface? Astron. Astrophys. 1997, 324, 981–987. [Google Scholar]
- Kijak, J.; Gil, J. Radio emission regions in pulsars. Mon. Not. RAS 1998, 299, 855–861. [Google Scholar] [CrossRef]
- Mitra, D.; Rankin, J.M. Toward an Empirical Theory of Pulsar Emission. VII. On the Spectral Behavior of Conal Beam Radii and Emission Heights. Astrophys. J. 2002, 577, 322–336. [Google Scholar] [CrossRef]
- Kijak, J.; Gil, J. Radio emission altitude in pulsars. Astron. Astrophys. 2003, 397, 969–972. [Google Scholar] [CrossRef]
- Mitra, D.; Li, X.H. Comparing geometrical and delay radio emission heights in pulsars. Astron. Astrophys. 2004, 421, 215–228. [Google Scholar] [CrossRef]
- Weltevrede, P.; Johnston, S. Profile and polarization characteristics of energetic pulsars. Mon. Not. RAS 2008, 391, 1210–1226. [Google Scholar] [CrossRef]
- Mitra, D.; Rankin, J.M. Toward an Empirical Theory of Pulsar Emission. IX. On the Peculiar Properties and Geometric Regularity of Lyne and Manchester’s “PArtial Cone” Pulsars. Astrophys. J. 2011, 727, 92. [Google Scholar] [CrossRef]
- Mitra, D.; Melikidze, G.I.; Basu, R. Meterwavelength Single Pulse Polarimetric Emission Survey. VI. Toward Understanding the Phenomenon of Pulsar Polarization in Partially Screened Vacuum Gap Model. Astrophys. J. 2023, 952, 151. [Google Scholar] [CrossRef]
- Posselt, B.; Karastergiou, A.; Johnston, S.; Parthasarathy, A.; Oswald, L.S.; Main, R.A.; Basu, A.; Keith, M.J.; Song, X.; Weltevrede, P.; et al. The Thousand Pulsar Array program on MeerKAT—IX. The time-averaged properties of the observed pulsar population. Mon. Not. RAS 2023, 520, 4582–4600. [Google Scholar] [CrossRef]
- Cheng, A.F.; Ruderman, M.A. A theory of subpulse polarization patterns from radio pulsars. Astrophys. J. 1979, 229, 348–360. [Google Scholar] [CrossRef]
- Helfand, D.J.; Gotthelf, E.V.; Halpern, J.P. Vela Pulsar and Its Synchrotron Nebula. Astrophys. J. 2001, 556, 380–391. [Google Scholar] [CrossRef]
- Lai, D.; Chernoff, D.F.; Cordes, J.M. Pulsar Jets: Implications for Neutron Star Kicks and Initial Spins. Astrophys. J. 2001, 549, 1111–1118. [Google Scholar] [CrossRef]
- Johnston, S.; Hobbs, G.; Vigeland, S.; Kramer, M.; Weisberg, J.M.; Lyne, A.G. Evidence for alignment of the rotation and velocity vectors in pulsars. Mon. Not. RAS 2005, 364, 1397–1412. [Google Scholar] [CrossRef]
- Rankin, J.M. Further Evidence for Alignment of the Rotation and Velocity Vectors in Pulsars. Astrophys. J. 2007, 664, 443–447. [Google Scholar] [CrossRef]
- Noutsos, A.; Kramer, M.; Carr, P.; Johnston, S. Pulsar spin-velocity alignment: Further results and discussion. Mon. Not. RAS 2012, 423, 2736–2752. [Google Scholar] [CrossRef]
- Noutsos, A.; Schnitzeler, D.H.F.M.; Keane, E.F.; Kramer, M.; Johnston, S. Pulsar spin-velocity alignment: Kinematic ages, birth periods and braking indices. Mon. Not. RAS 2013, 430, 2281–2301. [Google Scholar] [CrossRef]
- Force, M.M.; Demorest, P.; Rankin, J.M. Absolute polarization determinations of 33 pulsars using the Green Bank Telescope. Mon. Not. RAS 2015, 453, 4485–4499. [Google Scholar] [CrossRef]
- Swarup, G.; Ananthakrishnan, S.; Kapahi, V.K.; Rao, A.P.; Subrahmanya, C.R.; Kulkarni, V.K. The Giant Metre-Wave Radio Telescope. Curr. Sci. 1991, 60, 95. [Google Scholar]
- Gupta, Y.; Ajithkumar, B.; Kale, H.S.; Nayak, S.; Sabhapathy, S.; Sureshkumar, S.; Swami, R.V.; Chengalur, J.N.; Ghosh, S.K.; Ishwara-Chandra, C.H.; et al. The upgraded GMRT: Opening new windows on the radio Universe. Curr. Sci. 2017, 113, 707–714. [Google Scholar] [CrossRef]
- Johnston, S.; Kramer, M.; Karastergiou, A.; Keith, M.J.; Oswald, L.S.; Parthasarathy, A.; Weltevrede, P. The Thousand-Pulsar-Array programme on MeerKAT—XI. Application of the rotating vector model. Mon. Not. RAS 2023, 520, 4801–4814. [Google Scholar] [CrossRef]
- Gil, J.A.; Lyne, A.G. Unravelling the position angle variations in PSR 0329+54. Mon. Not. RAS 1995, 276, L55–L57. [Google Scholar] [CrossRef]
- Mitra, D.; Rankin, J.M.; Gupta, Y. Absolute broad-band polarization behaviour of PSR B0329+54: A glimpse of the core emission process. Mon. Not. RAS 2007, 379, 932–944. [Google Scholar] [CrossRef]
- Lyne, A.G. Mode changing in pulsar radiation. Mon. Not. RAS 1971, 153, 27P–32P. [Google Scholar] [CrossRef]
- Bartel, N.; Morris, D.; Sieber, W.; Hankins, T.H. The mode-switching phenomenon in pulsars. Astrophys. J. 1982, 258, 776–789. [Google Scholar] [CrossRef]
- Chen, J.L.; Wang, H.G.; Wang, N.; Lyne, A.; Liu, Z.Y.; Jessner, A.; Yuan, J.P.; Kramer, M. Long-term Monitoring of Mode Switching for PSR B0329+54. Astrophys. J. 2011, 741, 48. [Google Scholar] [CrossRef]
- Białkowski, S.; Lewandowski, W.; Kijak, J.; Błaszkiewicz, L.; Krankowski, A.; Osłowski, S. Mode switching characteristics of PSR B0329+54 at 150 MHz. Astrophys. Space Sci. 2018, 363, 110. [Google Scholar] [CrossRef]
- Brinkman, C.; Mitra, D.; Rankin, J. Investigation of the mode-switching phenomenon in pulsar B0329+54 through polarimetric analysis. Mon. Not. RAS 2019, 484, 2725–2734. [Google Scholar] [CrossRef]
- Mitra, D.; Gil, J.; Melikidze, G.I. Unraveling the Nature of Coherent Pulsar Radio Emission. Astrophys. J. Lett. 2009, 696, L141–L145. [Google Scholar] [CrossRef]
- Mitra, D.; Melikidze, G.I.; Basu, R. Evidence for Coherent Curvature Radiation in PSR J1645-0317 with Disordered Distribution of Polarization Position Angle. Mon. Not. RAS 2023, 521, L34–L38. [Google Scholar] [CrossRef]
- Smith, F.G. Relativistic Beaming of Radiation from Pulsars. Nature 1969, 223, 934–936. [Google Scholar] [CrossRef]
- Smith, F.G. How Do Pulsars Pulse? Q. J. RAS 1976, 17, 383. [Google Scholar]
- Johnston, S.; Mitra, D.; Keith, M.J.; Oswald, L.S.; Karastergiou, A. The Thousand-Pulsar-Array programme on MeerKAT XIV: On the high linearly polarized pulsar signals. Mon. Not. RAS 2024, 530, 4839–4849. [Google Scholar] [CrossRef]
- Melikidze, G.I.; Mitra, D.; Gil, J. On the Adiabatic Walking of Plasma Waves in a Pulsar Magnetosphere. Astrophys. J. 2014, 794, 105. [Google Scholar] [CrossRef]
- Morris, D.; Schwarz, U.J.; Cooke, D.J. Measurements of the Linear Polarization of Seven Pulsars at 11-cm Wavelength. Astrophys. Lett. 1970, 5, 181. [Google Scholar]
- Manchester, R.N.; Taylor, J.H.; Huguenin, G.R. Frequency Dependence of Pulsar Polarization. Astrophys. J. Lett. 1973, 179, L7. [Google Scholar] [CrossRef]
- McKinnon, M.M.; Stinebring, D.R. A Statistical Model for the Orthogonal Modes of Polarization in Pulsar Radio Emission. Astrophys. J. 1998, 502, 883–897. [Google Scholar] [CrossRef]
- Karastergiou, A.; Johnston, S.; Manchester, R.N. Polarization profiles of southern pulsars at 3.1 GHz. Mon. Not. RAS 2005, 359, 481–492. [Google Scholar] [CrossRef]
- Wang, P.F.; Wang, C.; Han, J.L. On the frequency dependence of pulsar linear polarization. Mon. Not. RAS 2015, 448, 771–780. [Google Scholar] [CrossRef]
- Gil, J.; Lyubarsky, Y.; Melikidze, G.I. Curvature Radiation in Pulsar Magnetospheric Plasma. Astrophys. J. 2004, 600, 872–882. [Google Scholar] [CrossRef]
- Lominadze, D.G.; Machabeli, G.Z.; Melikidze, G.I.; Pataraia, A.D. Plasma of pulsar magnetospheres. Fiz. Plazmy 1986, 12, 1233–1249. [Google Scholar]
- Rahaman, S.M.; Mitra, D.; Melikidze, G.I.; Lakoba, T. Pulsar radio emission mechanism—II. On the origin of relativistic Langmuir solitons in pulsar plasma. Mon. Not. RAS 2022, 516, 3715–3727. [Google Scholar] [CrossRef]
- Gil, J.; Melikidze, G.I.; Geppert, U. Drifting subpulses and inner accelerationregions in radio pulsars. Astron. Astrophys. 2003, 407, 315–324. [Google Scholar] [CrossRef]
- Rahaman, S.M.; Mitra, D.; Melikidze, G.I. Externally driven plasma models as candidates for pulsar radio emission. Mon. Not. RAS 2022, 512, 3589–3601. [Google Scholar] [CrossRef]
- Cordes, J.M.; Weisberg, J.M.; Hankins, T.H. Quasiperiodic Microstructure in Radio Pulsar Emission. Astron. J. 1990, 100, 1882. [Google Scholar] [CrossRef]
- Mitra, D.; Arjunwadkar, M.; Rankin, J.M. Polarized Quasiperiodic Structures in Pulsar Radio Emission Reflect Temporal Modulations of Non-stationary Plasma Flow. Astrophys. J. 2015, 806, 236. [Google Scholar] [CrossRef]
- Mikhailovskii, A.B.; Onishchenko, O.G.; Suramlishvili, G.I.; Sharapov, S.E. The Emergence of Electromagnetic Waves from Pulsar Magnetospheres. Sov. Astron. Lett. 1982, 8, 369–371. [Google Scholar]
- Bjornsson, C.I. A new look at pulsar polarization. Astrophys. J. 1984, 277, 367–374. [Google Scholar] [CrossRef]
- Gil, J.A.; Snakowski, J.K. Curvature radiation and the core emission of pulsars. Astron. Astrophys. 1990, 234, 237–242. [Google Scholar]
- Gil, J.A.; Snakowski, J.K. Pulsar emission as curvature-generated polarized shot noise. Astron. Astrophys. 1990, 234, 269. [Google Scholar]
- Radhakrishnan, V.; Rankin, J.M. Toward an Empirical Theory of Pulsar Emission. V. On the Circular Polarization in Pulsar Radiation. Astrophys. J. 1990, 352, 258. [Google Scholar] [CrossRef]
- Michel, F.C. A Pulsar Emission Model: Observational Tests. Astrophys. J. 1987, 322, 822. [Google Scholar] [CrossRef]
- Gangadhara, R.T. Orthogonal polarization mode phenomenon in pulsars. Astron. Astrophys. 1997, 327, 155–166. [Google Scholar] [CrossRef]
- Petrova, S.A.; Lyubarskii, Y.E. Propagation effects in pulsar magnetospheres. Astron. Astrophys. 2000, 355, 1168–1180. [Google Scholar]
- Wang, C.; Lai, D.; Han, J. Polarization changes of pulsars due to wave propagation through magnetospheres. Mon. Not. RAS 2010, 403, 569–588. [Google Scholar] [CrossRef]
- Allen, M.C.; Melrose, D.B. Elliptically polarized natural modes in pulsar magnetospheres. Publ. Astron. Soc. Aust. 1982, 4, 365–370. [Google Scholar] [CrossRef]
- Shafranov, V.D. Electromagnetic Waves in a Plasma. Rev. Plasma Phys. 1967, 3, 1–157. [Google Scholar]
- Radhakrishnan, V.; Cooke, D.J.; Komesaroff, M.M.; Morris, D. Evidence in Support of a Rotational Model for the Pulsar PSR 0833-45. Nature 1969, 221, 443–446. [Google Scholar] [CrossRef]
- Backer, D.C. Pulsar average wave forms and hollow-cone beam models. Astrophys. J. 1976, 209, 895–907. [Google Scholar] [CrossRef]
- Gil, J.A.; Kijak, J.; Seiradakis, J.H. On the two-dimensional structure ofp pulsar beams. Astron. Astrophys. 1993, 272, 268–276. [Google Scholar]
- Maciesiak, K.; Gil, J.; Ribeiro, V.A.R.M. On the pulse-width statistics in radio pulsars—I. Importance of the interpulse emission. Mon. Not. RAS 2011, 414, 1314–1328. [Google Scholar] [CrossRef]
- Maciesiak, K.; Gil, J. On the pulse-width statistics in radio pulsars—II. Importance of the core profile components. Mon. Not. RAS 2011, 417, 1444–1453. [Google Scholar] [CrossRef]
- Maciesiak, K.; Gil, J.; Melikidze, G. On the pulse-width statistics in radio pulsars—III. Importance of the conal profile components. Mon. Not. RAS 2012, 424, 1762–1773. [Google Scholar] [CrossRef]
- Skrzypczak, A.; Basu, R.; Mitra, D.; Melikidze, G.I.; Maciesiak, K.; Koralewska, O.; Filothodoros, A. Meterwavelength Single-pulse Polarimetric Emission Survey. IV. The Period Dependence of Component Widths of Pulsars. Astrophys. J. 2018, 854, 162. [Google Scholar] [CrossRef]
- Lyne, A.G.; Manchester, R.N. The shape of pulsar radio beams. Mon. Not. RAS 1988, 234, 477–508. [Google Scholar] [CrossRef]
- Basu, R.; Mitra, D.; Rankin, J.M. Toward an Empirical Theory of Pulsar Emission. X. On the Precursor and Postcursor Emission. Astrophys. J. 2015, 798, 105. [Google Scholar] [CrossRef]
- Dyks, J.; Rudak, B. Asymmetry of bifurcated features in radio pulsar profiles. Mon. Not. RAS 2012, 420, 3403–3411. [Google Scholar] [CrossRef]
- Wang, H.G.; Pi, F.P.; Zheng, X.P.; Deng, C.L.; Wen, S.Q.; Ye, F.; Guan, K.Y.; Liu, Y.; Xu, L.Q. A Fan Beam Model for Radio Pulsars. I. Observational Evidence. Astrophys. J. 2014, 789, 73. [Google Scholar] [CrossRef]
- Dyks, J.; Rudak, B. The origin of the frequency-dependent behaviour of pulsar radio profiles. Mon. Not. RAS 2015, 446, 2505–2522. [Google Scholar] [CrossRef]
- Karastergiou, A.; Johnston, S. An empirical model for the beams of radio pulsars. Mon. Not. RAS 2007, 380, 1678–1684. [Google Scholar] [CrossRef]
- Basu, R.; Mitra, D.; Melikidze, G.I.; Skrzypczak, A. Classification of subpulse drifting in pulsars. Mon. Not. RAS 2019, 482, 3757–3788. [Google Scholar] [CrossRef]
- Rankin, J. Radio pulsar beam geometry at lower frequencies: Bright sources outside the Arecibo sky. Mon. Not. RAS 2022, 514, 3202–3211. [Google Scholar] [CrossRef]
- Gil, J.A.; Sendyk, M. Spark Model for Pulsar Radiation Modulation Patterns. Astrophys. J. 2000, 541, 351–366. [Google Scholar] [CrossRef]
- Maron, O.; Kijak, J.; Kramer, M.; Wielebinski, R. Pulsar spectra of radio emission. Astron. Astrophys. Suppl. 2000, 147, 195–203. [Google Scholar] [CrossRef]
- Jankowski, F.; van Straten, W.; Keane, E.F.; Bailes, M.; Barr, E.D.; Johnston, S.; Kerr, M. Spectral properties of 441 radio pulsars. Mon. Not. RAS 2018, 473, 4436–4458. [Google Scholar] [CrossRef]
- Rickett, B.J. Radio propagation through the turbulent interstellar plasma. Annu. Rev. Astron Astrophys. 1990, 28, 561–605. [Google Scholar] [CrossRef]
- Helfand, D.J.; Fowler, L.A.; Kuhlman, J.V. Pulsar flux observations: Long-term intensity and spectral variations. Astron. J. 1977, 82, 701–705. [Google Scholar] [CrossRef]
- Kaspi, V.M.; Stinebring, D.R. Long-Term Pulsar Flux Monitoring and Refractive Interstellar Scintillation. Astrophys. J. 1992, 392, 530. [Google Scholar] [CrossRef]
- Labrecque, D.R.; Rankin, J.M.; Cordes, J.M. Long-Term Intensity Variations of 20 Pulsars. Astron. J. 1994, 108, 1854. [Google Scholar] [CrossRef]
- Stinebring, D.R.; Smirnova, T.V.; Hankins, T.H.; Hovis, J.S.; Kaspi, V.M.; Kempner, J.C.; Myers, E.; Nice, D.J. Five Years of Pulsar Flux Density Monitoring: Refractive Scintillation and the Interstellar Medium. Astrophys. J. 2000, 539, 300–316. [Google Scholar] [CrossRef]
- Kumamoto, H.; Dai, S.; Johnston, S.; Kerr, M.; Shannon, R.M.; Weltevrede, P.; Sobey, C.; Manchester, R.N.; Hobbs, G.; Takahashi, K. Flux density variability of 286 radio pulsars from a decade of monitoring. Mon. Not. RAS 2021, 501, 4490–4513. [Google Scholar] [CrossRef]
- Lewandowski, W.; Kowalińska, M.; Kijak, J. The analysis of the largest sample of multifrequency pulsar scatter time estimates. Mon. Not. RAS 2015, 449, 1570–1583. [Google Scholar] [CrossRef]
- Basu, R.; Mitra, D.; Melikidze, G.I. Spectral Variation across Pulsar Profile due to Coherent Curvature Radiation. Astrophys. J. 2022, 927, 208. [Google Scholar] [CrossRef]
- Cheng, A.F.; Ruderman, M.A. Particle acceleration and radio emission above pulsar polar caps. Astrophys. J. 1980, 235, 576–586. [Google Scholar] [CrossRef]
- Jones, P.B. Properties of condensed matter in very strong magnetic fields. Mon. Not. RAS 1986, 218, 477–485. [Google Scholar] [CrossRef]
- Basu, R.; Mitra, D.; Melikidze, G.I. Estimating the Evolution of Sparks in the Partially Screened Gap of Pulsars from Subpulse Drifting. Astrophys. J. 2023, 947, 86. [Google Scholar] [CrossRef]
- Backer, D.C. Pulsar Fluctuation Spectra and the Generalized Drifting-Subpulse Phenomenon. Astrophys. J. 1973, 182, 245–276. [Google Scholar] [CrossRef]
- Weltevrede, P.; Edwards, R.T.; Stappers, B.W. The subpulse modulation properties of pulsars at 21 cm. Astron. Astrophys. 2006, 445, 243–272. [Google Scholar] [CrossRef]
- Basu, R.; Mitra, D.; Melikidze, G.I.; Maciesiak, K.; Skrzypczak, A.; Szary, A. Meterwavelength Single-pulse Polarimetric Emission Survey. II. the Phenomenon of Drifting Subpulses. Astrophys. J. 2016, 833, 29. [Google Scholar] [CrossRef]
- Drake, F.D.; Craft, H.D. Second Periodic Pulsation in Pulsars. Nature 1968, 220, 231–235. [Google Scholar] [CrossRef]
- Backer, D.C.; Rankin, J.M.; Campbell, D.B. Pulsar fluctuation spectra and the generalized drifting-subpulse phenomenon. II. Astrophys. J. 1975, 197, 481–487. [Google Scholar] [CrossRef]
- Basu, R.; Mitra, D.; Melikidze, G.I. Periodic Modulation: Newly Emergent Emission Behavior in Pulsars. Astrophys. J. 2020, 889, 133. [Google Scholar] [CrossRef]
- Basu, R.; Paul, A.; Mitra, D. Subpulse drifting, nulling, and mode changing in PSR J2006—0807 with core emission. Mon. Not. RAS 2019, 486, 5216–5230. [Google Scholar] [CrossRef]
- Basu, R.; Lewandowski, W.; Kijak, J. Subpulse drifting and periodic nulling in single pulse emission of PSR B2000+40. Mon. Not. RAS 2020, 499, 906–913. [Google Scholar] [CrossRef]
- Rahaman, S.k.M.; Basu, R.; Mitra, D.; Melikidze, G.I. Mode changing, subpulse drifting, and nulling in four component conal pulsar PSR J2321+6024. Mon. Not. RAS 2021, 500, 4139–4152. [Google Scholar] [CrossRef]
- Wen, Z.G.; Yuan, J.P.; Wang, N.; Li, D.; Chen, J.L.; Wang, P.; Wu, Q.D.; Yan, W.M.; Yuen, R.; Wang, Z.; et al. A Single-pulse Study of the Subpulse Drifter PSR J1631+1252 Discovered at FAST. Astrophys. J. 2022, 929, 71. [Google Scholar] [CrossRef]
- Szary, A.; van Leeuwen, J.; Wright, G.; Weltevrede, P.; Agar, C.H.; Tiburzi, C.; Maan, Y.; Keith, M.J. MeerKAT Observations of the Reversing Drifting Subpulses in PSR J1750-3503. Astrophys. J. 2022, 934, 23. [Google Scholar] [CrossRef]
- Wang, H.; Wen, Z.G.; Duan, X.F.; Wang, Z.; He, D.L.; Wang, H.G.; Wang, N.; Yuan, J.P.; Yan, W.M.; Yuen, R.; et al. Exploring the Individual Pulse Behavior of Pulsar J1701-3726 with Parkes. Astrophys. J. 2023, 950, 166. [Google Scholar] [CrossRef]
- Basu, R.; Lewandowski, W.; Kijak, J.; Bartosz, Ś.; Soida, M.; Błaszkiewicz, L.; Krankowski, A. Single pulse emission from PSR B0809+74 at 150 MHz using Polish LOFAR station. Mon. Not. RAS 2023, 526, 691–699. [Google Scholar] [CrossRef]
- Yan, Y.; Han, J.L.; Wang, C.; Wang, P.F. Quasi-regular variations of subpulse drifting for PSR J1857+0057. Mon. Not. RAS 2023, 526, 3184–3200. [Google Scholar] [CrossRef]
- Song, X.; Weltevrede, P.; Szary, A.; Wright, G.; Keith, M.J.; Basu, A.; Johnston, S.; Karastergiou, A.; Main, R.A.; Oswald, L.S.; et al. The Thousand-Pulsar-Array programme on MeerKAT—VIII. The subpulse modulation of 1198 pulsars. Mon. Not. RAS 2023, 520, 4562–4581. [Google Scholar] [CrossRef]
- Lakoba, T.; Mitra, D.; Melikidze, G. Relativistic charge solitons created due to non-linear Landau damping: A candidate for explaining coherent radio emission in pulsars. Mon. Not. RAS 2018, 480, 4526–4543. [Google Scholar] [CrossRef]
- Johnston, S.; Kramer, M. On the beam properties of radio pulsars with interpulse emission. Mon. Not. RAS 2019, 490, 4565–4574. [Google Scholar] [CrossRef]
- Basu, R.; Mitra, D.; Melikidze, G.I. Search for Off-pulse Emission in Long-period Pulsars. Astrophys. J. 2020, 905, 30. [Google Scholar] [CrossRef]
- Yuan, M.; Zhu, W.; Kramer, M.; Peng, B.; Lu, J.; Xu, R.; Shao, L.; Wang, H.G.; Meng, L.; Niu, J.; et al. High-altitude Magnetospheric Emissions from Two Pulsars. Astrophys. J. 2023, 949, 115. [Google Scholar] [CrossRef]
- Hermsen, W.; Kuiper, L.; Basu, R.; Hessels, J.W.T.; Mitra, D.; Rankin, J.M.; Stappers, B.W.; Wright, G.A.E.; Grießmeier, J.M.; Serylak, M.; et al. Discovery of synchronous X-ray and radio moding of PSR B0823+26. Mon. Not. RAS 2018, 480, 3655–3670. [Google Scholar] [CrossRef]
- Chen, X.; Yan, Y.; Han, J.L.; Wang, C.; Wang, P.F.; Jing, W.C.; Lee, K.J.; Zhang, B.; Xu, R.X.; Wang, T.; et al. Strong and weak pulsar radio emission due to thunderstorms and raindrops of particles in the magnetosphere. Nat. Astron. 2023, 7, 1235–1244. [Google Scholar] [CrossRef]
- Yan, Y.; Han, J.L.; Zhou, D.J.; Xie, L.; Kou, F.F.; Wang, P.F.; Wang, C.; Wang, T. Dwarf pulses of ten pulsars detected by FAST. arXiv 2024, arXiv:2403.01084. [Google Scholar]
- Kramer, M.; Xilouris, K.M.; Lorimer, D.R.; Doroshenko, O.; Jessner, A.; Wielebinski, R.; Wolszczan, A.; Camilo, F. The Characteristics of Millisecond Pulsar Emission. I. Spectra, Pulse Shapes, and the Beaming Fraction. Astrophys. J. 1998, 501, 270–285. [Google Scholar] [CrossRef]
- Kramer, M.; Lange, C.; Lorimer, D.R.; Backer, D.C.; Xilouris, K.M.; Jessner, A.; Wielebinski, R. The Characteristics of Millisecond Pulsar Emission. III. From Low to High Frequencies. Astrophys. J. 1999, 526, 957–975. [Google Scholar] [CrossRef]
- Xilouris, K.M.; Kramer, M.; Jessner, A.; von Hoensbroech, A.; Lorimer, D.R.; Wielebinski, R.; Wolszczan, A.; Camilo, F. The Characteristics of Millisecond Pulsar Emission. II. Polarimetry. Astrophys. J. 1998, 501, 286–306. [Google Scholar] [CrossRef]
- Turolla, R.; Zane, S.; Watts, A.L. Magnetars: The physics behind observations. A review. Rep. Prog. Phys. 2015, 78, 116901. [Google Scholar] [CrossRef]












Disclaimer/Publisher’s Note: The statements, opinions and data contained in all publications are solely those of the individual author(s) and contributor(s) and not of MDPI and/or the editor(s). MDPI and/or the editor(s) disclaim responsibility for any injury to people or property resulting from any ideas, methods, instructions or products referred to in the content. |
© 2024 by the authors. Licensee MDPI, Basel, Switzerland. This article is an open access article distributed under the terms and conditions of the Creative Commons Attribution (CC BY) license (https://creativecommons.org/licenses/by/4.0/).
Share and Cite
Mitra, D.; Basu, R.; Melikidze, G.I. Decoding the Nature of Coherent Radio Emission in Pulsars I: Observational Constraints. Universe 2024, 10, 248. https://doi.org/10.3390/universe10060248
Mitra D, Basu R, Melikidze GI. Decoding the Nature of Coherent Radio Emission in Pulsars I: Observational Constraints. Universe. 2024; 10(6):248. https://doi.org/10.3390/universe10060248
Chicago/Turabian StyleMitra, Dipanjan, Rahul Basu, and George I. Melikidze. 2024. "Decoding the Nature of Coherent Radio Emission in Pulsars I: Observational Constraints" Universe 10, no. 6: 248. https://doi.org/10.3390/universe10060248
APA StyleMitra, D., Basu, R., & Melikidze, G. I. (2024). Decoding the Nature of Coherent Radio Emission in Pulsars I: Observational Constraints. Universe, 10(6), 248. https://doi.org/10.3390/universe10060248

