Primordial Black Holes: Formation, Spin and Type II
Abstract
1. Introduction
2. Basic Concept of Primordial Black Holes
2.1. Mass
2.2. Evaporation
2.3. Probability
3. Formation
3.1. Overview
3.2. Fluctuations Generated by Inflation
3.3. Large-Amplitude Long-Wavelength Solutions
3.4. Formation Threshold in Radiation Domination
3.5. Softer Equation of State
3.6. Matter Domination
3.7. Critical Behavior
3.8. Abundance Estimation and Statistics
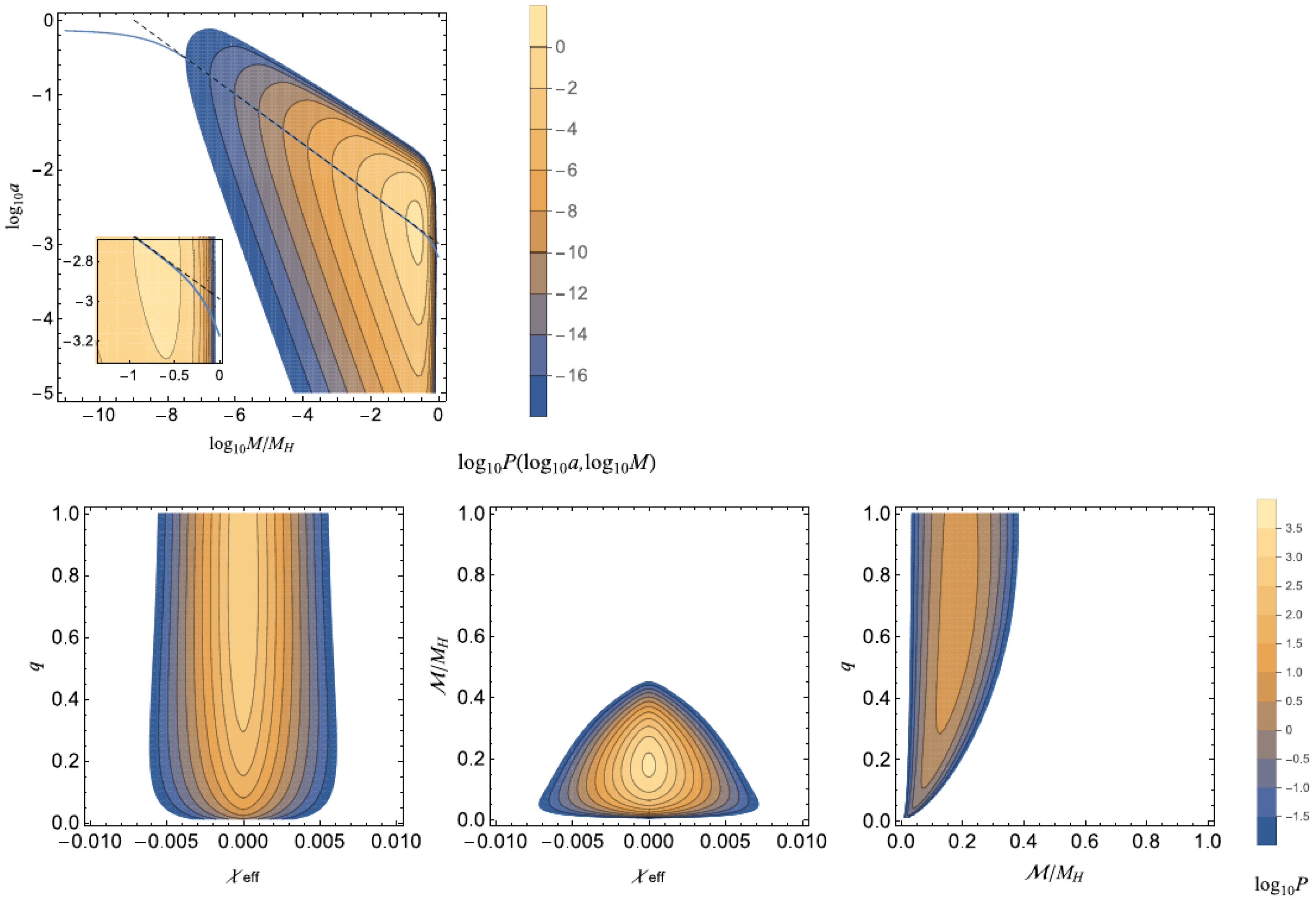
4. Initial Spins
4.1. Spins of Primordial Black Holes Formed in Radiation Domination
4.2. Spins of Primordial Black Holes Formed with a Soft Equation of State
4.3. Spins of Primordial Black Holes Formed in (Early) Matter Domination
4.4. Nonspherical Simulation of PBH Formation
5. Type II Perturbation and Type B PBH
5.1. Introduction to Type II Perturbation
5.2. Positive Curvature Region, Type II Perturbation and Separate Universe Condition
5.3. Type II Perturbation and Its Time Development
5.4. Type B Horizon Structure
6. Conclusions
Funding
Data Availability Statement
Acknowledgments
sica, Instituto Superior Técnico—IST at Universidade de Lisboa, and Niels Bohr International Academy at Niels Bohr Institute for their hospitality during the writing of this manuscript.Conflicts of Interest
Appendix A. Trapping Horizons
References
- Zel’dovich, Y.B.; Novikov, I.D. The Hypothesis of Cores Retarded during Expansion and the Hot Cosmological Model. Soviet Astron. AJ (Engl. Transl.) 1967, 10, 602. [Google Scholar]
- Hawking, S. Gravitationally Collapsed Objects of Very Low Mass. Mon. Not. R. Astron. Soc. 1971, 152, 75–78. [Google Scholar] [CrossRef]
- Carr, B.J.; Hawking, S.W. Black holes in the early Universe. Mon. Not. R. Astron. Soc. 1974, 168, 399–415. [Google Scholar] [CrossRef]
- Carr, B.J. The Primordial black hole mass spectrum. Astrophys. J. 1975, 201, 1–19. [Google Scholar] [CrossRef]
- Carr, B.J.; Green, A.M. The History of Primordial Black Holes. arXiv 2024, arXiv:2406.05736. [Google Scholar]
- Riotto, A.; Silk, J. The Future of Primordial Black Holes: Open Questions and Roadmap. arXiv 2024, arXiv:2403.02907. [Google Scholar]
- Nadezhin, D.K.; Novikov, I.D.; Polnarev, A.G. The hydrodynamics of primordial black hole formation. Sov. Astron. 1978, 22, 129–138. [Google Scholar]
- Hawking, S.W. Black hole explosions. Nature 1974, 248, 30–31. [Google Scholar] [CrossRef]
- Hawking, S.W. Particle Creation by Black Holes. Commun. Math. Phys. 1975, 43, 199–220, Erratum in Commun. Math. Phys. 1976, 46, 206. [Google Scholar] [CrossRef]
- Abbott, B.P.; Abbott, R.; Abbott, T.; Abernathy, M.R.; Acernese, F.; Ackley, K.; Aggarwal, N.; Aguiar, O.D.; Aiello, L.; Cavalieri, R.; et al. Observation of Gravitational Waves from a Binary Black Hole Merger. Phys. Rev. Lett. 2016, 116, 061102. [Google Scholar] [CrossRef]
- Sasaki, M.; Suyama, T.; Tanaka, T.; Yokoyama, S. Primordial black holes—Perspectives in gravitational wave astronomy. Class. Quant. Grav. 2018, 35, 063001. [Google Scholar] [CrossRef]
- Sasaki, M.; Suyama, T.; Tanaka, T.; Yokoyama, S. Primordial Black Hole Scenario for the Gravitational-Wave Event GW150914. Phys. Rev. Lett. 2016, 117, 061101, Erratum in Phys. Rev. Lett. 2018, 121, 059901. [Google Scholar] [CrossRef] [PubMed]
- Bird, S.; Cholis, I.; Muñoz, J.B.; Ali-Haïmoud, Y.; Kamionkowski, M.; Kovetz, E.D.; Raccanelli, A.; Riess, A.G. Did LIGO detect dark matter? Phys. Rev. Lett. 2016, 116, 201301. [Google Scholar] [CrossRef] [PubMed]
- Clesse, S.; García-Bellido, J. The clustering of massive Primordial Black Holes as Dark Matter: Measuring their mass distribution with Advanced LIGO. Phys. Dark Univ. 2017, 15, 142–147. [Google Scholar] [CrossRef]
- Abbott, B.P.; Abbott, R.; Abbott, T.D.; Acernese, F.; Ackley, K.; Adams, C.; Adams, T.; Addesso, P.; Adhikari, R.X.; Cao, J.; et al. GW170104: Observation of a 50-Solar-Mass Binary Black Hole Coalescence at Redshift 0.2. Phys. Rev. Lett. 2017, 118, 221101, Erratum in Phys. Rev. Lett. 2018, 121, 129901. [Google Scholar] [CrossRef]
- Franciolini, G.; Baibhav, V.; De Luca, V.; Ng, K.K.Y.; Wong, K.W.K.; Berti, E.; Pani, P.; Riotto, A.; Vitale, S. Searching for a subpopulation of primordial black holes in LIGO-Virgo gravitational-wave data. Phys. Rev. D 2022, 105, 083526. [Google Scholar] [CrossRef]
- Carr, B.; Clesse, S.; Garcia-Bellido, J.; Hawkins, M.; Kuhnel, F. Observational evidence for primordial black holes: A positivist perspective. Phys. Rept. 2024, 1054, 1–68. [Google Scholar] [CrossRef]
- Agazie, G.; Anumarlapudi, A.; Archibald, A.M.; Arzoumanian, Z.; Baker, P.T.; Bécsy, B.; Blecha, L.; Brazier, A.; Brook, P.R.; NANOGrav Collaboration; et al. The NANOGrav 15 yr Data Set: Evidence for a Gravitational-wave Background. Astrophys. J. Lett. 2023, 951, L8. [Google Scholar] [CrossRef]
- Afzal, A.; Agazie, G.; Anumarlapudi, A.; Archibald, A.M.; Arzoumanian, Z.; Baker, P.T.; Bécsy, B.; Blanco-Pillado, J.J.; Blecha, L.; NANOGrav Collaboration; et al. The NANOGrav 15 yr Data Set: Search for Signals from New Physics. Astrophys. J. Lett. 2023, 951, L11, Erratum in Astrophys. J. Lett. 2024, 971, L27. [Google Scholar] [CrossRef]
- Liu, B.; Bromm, V. Accelerating Early Massive Galaxy Formation with Primordial Black Holes. Astrophys. J. Lett. 2022, 937, L30. [Google Scholar] [CrossRef]
- Hütsi, G.; Raidal, M.; Urrutia, J.; Vaskonen, V.; Veermäe, H. Did JWST observe imprints of axion miniclusters or primordial black holes? Phys. Rev. D 2023, 107, 043502. [Google Scholar] [CrossRef]
- Yuan, G.W.; Lei, L.; Wang, Y.Z.; Wang, B.; Wang, Y.Y.; Chen, C.; Shen, Z.Q.; Cai, Y.F.; Fan, Y.Z. Rapidly growing primordial black holes as seeds of the massive high-redshift JWST Galaxies. Sci. China Phys. Mech. Astron. 2024, 67, 109512. [Google Scholar] [CrossRef]
- Carr, B.; Kohri, K.; Sendouda, Y.; Yokoyama, J. Constraints on primordial black holes. Rept. Prog. Phys. 2021, 84, 116902. [Google Scholar] [CrossRef] [PubMed]
- Carr, B.J. Primordial black holes as a probe of cosmology and high energy physics. In Quantum Gravity; Lecture Notes in Physics; Springer: Berlin/Heidelberg, Germany, 2003; Volume 631, pp. 301–321. [Google Scholar] [CrossRef]
- Escrivà, A. Simulation of primordial black hole formation using pseudo-spectral methods. Phys. Dark Univ. 2020, 27, 100466. [Google Scholar] [CrossRef]
- Dvali, G.; Eisemann, L.; Michel, M.; Zell, S. Black hole metamorphosis and stabilization by memory burden. Phys. Rev. D 2020, 102, 103523. [Google Scholar] [CrossRef]
- Carr, B.J.; Lidsey, J.E. Primordial black holes and generalized constraints on chaotic inflation. Phys. Rev. D 1993, 48, 543–553. [Google Scholar] [CrossRef]
- Carr, B.J.; Gilbert, J.H.; Lidsey, J.E. Black hole relics and inflation: Limits on blue perturbation spectra. Phys. Rev. D 1994, 50, 4853–4867. [Google Scholar] [CrossRef]
- Wald, R.M. General Relativity; Chicago University Press: Chicago, IL, USA, 1984. [Google Scholar] [CrossRef]
- Poisson, E. A Relativist’s Toolkit: The Mathematics of Black-Hole Mechanics; Cambridge University Press: Cambridge, UK, 2009. [Google Scholar] [CrossRef]
- Tomita, K. Primordial Irregularities in the Early Universe. Prog. Theor. Phys. 1972, 48, 1503–1516. [Google Scholar] [CrossRef]
- Shibata, M.; Sasaki, M. Black hole formation in the Friedmann universe: Formulation and computation in numerical relativity. Phys. Rev. D 1999, 60, 084002. [Google Scholar] [CrossRef]
- Lyth, D.H.; Malik, K.A.; Sasaki, M. A General proof of the conservation of the curvature perturbation. J. Cosmol. Astropart. Phys. 2005, 5, 004. [Google Scholar] [CrossRef]
- Polnarev, A.G.; Musco, I. Curvature profiles as initial conditions for primordial black hole formation. Class. Quant. Grav. 2007, 24, 1405–1432. [Google Scholar] [CrossRef]
- Harada, T.; Yoo, C.M.; Nakama, T.; Koga, Y. Cosmological long-wavelength solutions and primordial black hole formation. Phys. Rev. D 2015, 91, 084057. [Google Scholar] [CrossRef]
- Musco, I.; Miller, J.C.; Rezzolla, L. Computations of primordial black hole formation. Class. Quant. Grav. 2005, 22, 1405–1424. [Google Scholar] [CrossRef]
- Musco, I.; Miller, J.C.; Polnarev, A.G. Primordial black hole formation in the radiative era: Investigation of the critical nature of the collapse. Class. Quant. Grav. 2009, 26, 235001. [Google Scholar] [CrossRef]
- Musco, I.; Miller, J.C. Primordial black hole formation in the early universe: Critical behavior and self-similarity. Class. Quant. Grav. 2013, 30, 145009. [Google Scholar] [CrossRef]
- Harada, T.; Yoo, C.M.; Kohri, K. Threshold of primordial black hole formation. Phys. Rev. D 2013, 88, 084051, Erratum in Phys. Rev. D 2014, 89, 029903. [Google Scholar] [CrossRef]
- Harada, T.; Yoo, C.M.; Koga, Y. Revisiting compaction functions for primordial black hole formation. Phys. Rev. D 2023, 108, 043515. [Google Scholar] [CrossRef]
- Harada, T.; Iizuka, H.; Koga, Y.; Yoo, C.M. Geometrical origin for the compaction function for primordial black hole formation. arXiv 2024, arXiv:2409.05544. [Google Scholar]
- Musco, I. Threshold for primordial black holes: Dependence on the shape of the cosmological perturbations. Phys. Rev. D 2019, 100, 123524. [Google Scholar] [CrossRef]
- Nakama, T.; Harada, T.; Polnarev, A.G.; Yokoyama, J. Identifying the most crucial parameters of the initial curvature profile for primordial black hole formation. J. Cosmol. Astropart. Phys. 2014, 1, 037. [Google Scholar] [CrossRef]
- Escrivà, A.; Germani, C.; Sheth, R.K. Universal threshold for primordial black hole formation. Phys. Rev. D 2020, 101, 044022. [Google Scholar] [CrossRef]
- Ianniccari, A.; Iovino, A.J.; Kehagias, A.; Perrone, D.; Riotto, A. The Black Hole Formation—Null Geodesic Correspondence. Phys. Rev. Lett. 2024, 133, 081401. [Google Scholar] [CrossRef] [PubMed]
- Yoo, C.M.; Harada, T.; Hirano, S.; Okawa, H.; Sasaki, M. Primordial black hole formation from massless scalar isocurvature. Phys. Rev. D 2022, 105, 103538. [Google Scholar] [CrossRef]
- Escrivà, A.; Germani, C.; Sheth, R.K. Analytical thresholds for black hole formation in general cosmological backgrounds. J. Cosmol. Astropart. Phys. 2021, 1, 030. [Google Scholar] [CrossRef]
- Byrnes, C.T.; Hindmarsh, M.; Young, S.; Hawkins, M.R.S. Primordial black holes with an accurate QCD equation of state. J. Cosmol. Astropart. Phys. 2018, 8, 041. [Google Scholar] [CrossRef]
- Papanikolaou, T. Toward the primordial black hole formation threshold in a time-dependent equation-of-state background. Phys. Rev. D 2022, 105, 124055. [Google Scholar] [CrossRef]
- Escrivà, A.; Bagui, E.; Clesse, S. Simulations of PBH formation at the QCD epoch and comparison with the GWTC-3 catalog. J. Cosmol. Astropart. Phys. 2023, 5, 004. [Google Scholar] [CrossRef]
- Musco, I.; Jedamzik, K.; Young, S. Primordial black hole formation during the QCD phase transition: Threshold, mass distribution, and abundance. Phys. Rev. D 2024, 109, 083506. [Google Scholar] [CrossRef]
- Jedamzik, K. Primordial black hole formation during cosmic phase transitions. arXiv 2024, arXiv:2406.11417. [Google Scholar]
- Musco, I.; Papanikolaou, T. Primordial black hole formation for an anisotropic perfect fluid: Initial conditions and estimation of the threshold. Phys. Rev. D 2022, 106, 083017. [Google Scholar] [CrossRef]
- Khlopov, M.Y.; Polnarev, A.G. Primordial black holes as a cosmological test of grand unification. Phys. Lett. B 1980, 97, 383–387. [Google Scholar] [CrossRef]
- Polnarev, A.G.; Khlopov, M.Y. Primordial Black Holes and the ERA of Superheavy Particle Dominance in the Early Universe. Sov. Astron. 1981, 25, 406. [Google Scholar]
- Polnarev, A.G.; Khlopov, M.Y. Dustlike Stages in the Early Universe and Constraints on the Primordial Black-Hole Spectrum. Sov. Astron. 1982, 26, 391–395. [Google Scholar]
- Polnarev, A.G.; Khlopov, M.Y. Cosmology, primordial black holes, and supermassive particles. Sov. Phys. Uspekhi 1985, 28, 213–232. [Google Scholar] [CrossRef]
- Harada, T.; Yoo, C.M.; Kohri, K.; Nakao, K.I.; Jhingan, S. Primordial black hole formation in the matter-dominated phase of the Universe. Astrophys. J. 2016, 833, 61. [Google Scholar] [CrossRef]
- Klauder, J.R. (Ed.) Magic Without Magic—John Archibald Wheeler. A Collection of Essays in Honor of His 60th Birthday; Freeman: San Francisco, CA, USA, 1972. [Google Scholar]
- Misner, C.W.; Thorne, K.S.; Wheeler, J.A. Gravitation; W. H. Freeman: San Francisco, CA, USA, 1973. [Google Scholar]
- Kopp, M.; Hofmann, S.; Weller, J. Separate Universes Do Not Constrain Primordial Black Hole Formation. Phys. Rev. D 2011, 83, 124025. [Google Scholar] [CrossRef]
- Harada, T.; Jhingan, S. Spherical and nonspherical models of primordial black hole formation: Exact solutions. Prog. Theor. Exp. Phys. 2016, 2016, 093E04. [Google Scholar] [CrossRef]
- Kokubu, T.; Kyutoku, K.; Kohri, K.; Harada, T. Effect of Inhomogeneity on Primordial Black Hole Formation in the Matter Dominated Era. Phys. Rev. D 2018, 98, 123024. [Google Scholar] [CrossRef]
- Harada, T.; Kohri, K.; Sasaki, M.; Terada, T.; Yoo, C.M. Threshold of primordial black hole formation against velocity dispersion in matter-dominated era. J. Cosmol. Astropart. Phys. 2023, 2, 038. [Google Scholar] [CrossRef]
- Harada, T.; Yoo, C.M.; Kohri, K.; Nakao, K.I. Spins of primordial black holes formed in the matter-dominated phase of the Universe. Phys. Rev. D 2017, 96, 083517, Erratum in Phys. Rev. D 2019, 99, 069904. [Google Scholar] [CrossRef]
- Padilla, L.E.; Hidalgo, J.C.; Malik, K.A. New mechanism for primordial black hole formation during reheating. Phys. Rev. D 2022, 106, 023519. [Google Scholar] [CrossRef]
- Padilla, L.E.; Hidalgo, J.C.; Núñez, D. Long-wavelength nonlinear perturbations of a complex scalar field. Phys. Rev. D 2021, 104, 083513. [Google Scholar] [CrossRef]
- Hidalgo, J.C.; Padilla, L.E.; German, G. Production of PBHs from inflaton structures. Phys. Rev. D 2023, 107, 063519. [Google Scholar] [CrossRef]
- de Jong, E.; Aurrekoetxea, J.C.; Lim, E.A. Primordial black hole formation with full numerical relativity. J. Cosmol. Astropart. Phys. 2022, 3, 029. [Google Scholar] [CrossRef]
- de Jong, E.; Aurrekoetxea, J.C.; Lim, E.A.; França, T. Spinning primordial black holes formed during a matter-dominated era. J. Cosmol. Astropart. Phys. 2023, 10, 067. [Google Scholar] [CrossRef]
- Aurrekoetxea, J.C.; Clough, K.; Muia, F. Oscillon formation during inflationary preheating with general relativity. Phys. Rev. D 2023, 108, 023501. [Google Scholar] [CrossRef]
- Choptuik, M.W. Universality and scaling in gravitational collapse of a massless scalar field. Phys. Rev. Lett. 1993, 70, 9–12. [Google Scholar] [CrossRef]
- Evans, C.R.; Coleman, J.S. Observation of critical phenomena and selfsimilarity in the gravitational collapse of radiation fluid. Phys. Rev. Lett. 1994, 72, 1782–1785. [Google Scholar] [CrossRef]
- Koike, T.; Hara, T.; Adachi, S. Critical behavior in gravitational collapse of radiation fluid: A Renormalization group (linear perturbation) analysis. Phys. Rev. Lett. 1995, 74, 5170–5173. [Google Scholar] [CrossRef]
- Niemeyer, J.C.; Jedamzik, K. Dynamics of primordial black hole formation. Phys. Rev. D 1999, 59, 124013. [Google Scholar] [CrossRef]
- Hawke, I.; Stewart, J.M. The dynamics of primordial black hole formation. Class. Quant. Grav. 2002, 19, 3687–3707. [Google Scholar] [CrossRef]
- Maison, D. Nonuniversality of critical behavior in spherically symmetric gravitational collapse. Phys. Lett. B 1996, 366, 82–84. [Google Scholar] [CrossRef]
- Niemeyer, J.C.; Jedamzik, K. Near-critical gravitational collapse and the initial mass function of primordial black holes. Phys. Rev. Lett. 1998, 80, 5481–5484. [Google Scholar] [CrossRef]
- Yokoyama, J. Cosmological constraints on primordial black holes produced in the near critical gravitational collapse. Phys. Rev. D 1998, 58, 107502. [Google Scholar] [CrossRef]
- Press, W.H.; Schechter, P. Formation of galaxies and clusters of galaxies by selfsimilar gravitational condensation. Astrophys. J. 1974, 187, 425–438. [Google Scholar] [CrossRef]
- Peebles, P.J.E. Principles of Physical Cosmology; Princeton University Press: Princeton, NJ, USA, 2020. [Google Scholar]
- Young, S.; Byrnes, C.T. Primordial black holes in non-Gaussian regimes. J. Cosmol. Astropart. Phys. 2013, 8, 052. [Google Scholar] [CrossRef]
- Pi, S. Non-Gaussianities in primordial black hole formation and induced gravitational waves. arXiv 2024, arXiv:2404.06151. [Google Scholar]
- Bardeen, J.M.; Bond, J.R.; Kaiser, N.; Szalay, A.S. The Statistics of Peaks of Gaussian Random Fields. Astrophys. J. 1986, 304, 15–61. [Google Scholar] [CrossRef]
- Yoo, C.M.; Harada, T.; Garriga, J.; Kohri, K. Primordial black hole abundance from random Gaussian curvature perturbations and a local density threshold. Prog. Theor. Exp. Phys. 2018, 2018, 123E01, Erratum in Prog. Theor. Exp. Phys. 2024, 2024, 049202. [Google Scholar] [CrossRef]
- Yoo, C.M.; Harada, T.; Hirano, S.; Kohri, K. Abundance of Primordial Black Holes in Peak Theory for an Arbitrary Power Spectrum. Prog. Theor. Exp. Phys. 2021, 2021, 013E02, Erratum in Prog. Theor. Exp. Phys. 2024, 2024, 049203. [Google Scholar] [CrossRef]
- Germani, C.; Sheth, R.K. Nonlinear statistics of primordial black holes from Gaussian curvature perturbations. Phys. Rev. D 2020, 101, 063520. [Google Scholar] [CrossRef]
- Kitajima, N.; Tada, Y.; Yokoyama, S.; Yoo, C.M. Primordial black holes in peak theory with a non-Gaussian tail. J. Cosmol. Astropart. Phys. 2021, 10, 053. [Google Scholar] [CrossRef]
- Germani, C.; Sheth, R.K. The Statistics of Primordial Black Holes in a Radiation-Dominated Universe: Recent and New Results. Universe 2023, 9, 421. [Google Scholar] [CrossRef]
- Young, S. Computing the abundance of primordial black holes. arXiv 2024, arXiv:2405.13259. [Google Scholar]
- De Luca, V.; Franciolini, G.; Pani, P.; Riotto, A. The evolution of primordial black holes and their final observable spins. J. Cosmol. Astropart. Phys. 2020, 4, 052. [Google Scholar] [CrossRef]
- Chiba, T.; Yokoyama, S. Spin Distribution of Primordial Black Holes. Prog. Theor. Exp. Phys. 2017, 2017, 083E01. [Google Scholar] [CrossRef]
- He, M.; Suyama, T. Formation threshold of rotating primordial black holes. Phys. Rev. D 2019, 100, 063520. [Google Scholar] [CrossRef]
- De Luca, V.; Desjacques, V.; Franciolini, G.; Malhotra, A.; Riotto, A. The initial spin probability distribution of primordial black holes. J. Cosmol. Astropart. Phys. 2019, 5, 018. [Google Scholar] [CrossRef]
- Harada, T.; Yoo, C.M.; Kohri, K.; Koga, Y.; Monobe, T. Spins of primordial black holes formed in the radiation-dominated phase of the universe: First-order effect. Astrophys. J. 2021, 908, 140. [Google Scholar] [CrossRef]
- Koga, Y.; Harada, T.; Tada, Y.; Yokoyama, S.; Yoo, C.M. Effective Inspiral Spin Distribution of Primordial Black Hole Binaries. Astrophys. J. 2022, 939, 65. [Google Scholar] [CrossRef]
- Banerjee, I.K.; Harada, T. Spin of Primordial Black Holes from Broad Power Spectrum: Radiation Dominated Universe. arXiv 2024, arXiv:2409.06494. [Google Scholar]
- Saito, D.; Harada, T.; Koga, Y.; Yoo, C.M. Spins of primordial black holes formed with a soft equation of state. J. Cosmol. Astropart. Phys. 2023, 7, 030. [Google Scholar] [CrossRef]
- Saito, D.; Harada, T.; Koga, Y.; Yoo, C.M. Revisiting spins of primordial black holes in a matter-dominated era based on peak theory. arXiv 2024, arXiv:2409.00435. [Google Scholar] [CrossRef]
- Yoo, C.M.; Harada, T.; Okawa, H. Threshold of Primordial Black Hole Formation in Nonspherical Collapse. Phys. Rev. D 2020, 102, 043526, Erratum in Phys. Rev. D 2023, 107, 049901. [Google Scholar] [CrossRef]
- Yoo, C.M. Primordial black hole formation from a nonspherical density profile with a misaligned deformation tensor. arXiv 2024, arXiv:2403.11147. [Google Scholar] [CrossRef]
- Escrivà, A.; Atal, V.; Garriga, J. Formation of trapped vacuum bubbles during inflation, and consequences for PBH scenarios. J. Cosmol. Astropart. Phys. 2023, 10, 035. [Google Scholar] [CrossRef]
- Uehara, K.; Escrivà, A.; Harada, T.; Saito, D.; Yoo, C.M. Numerical simulation of type II primordial black hole formation. arXiv 2024, arXiv:2401.06329. [Google Scholar]
- Hayward, S.A. General laws of black hole dynamics. Phys. Rev. D 1994, 49, 6467–6474. [Google Scholar] [CrossRef]
- Hayward, S.A. Gravitational energy in spherical symmetry. Phys. Rev. D 1996, 53, 1938–1949. [Google Scholar] [CrossRef]
- Maeda, H.; Harada, T.; Carr, B.J. Cosmological wormholes. Phys. Rev. D 2009, 79, 044034. [Google Scholar] [CrossRef]











| Cosmological Time | Mass of PBHs |
|---|---|
| ∼ s [Planck time] | ∼ g [Planck mass] |
| ∼ s | ∼ g [Critical Mass] |
| ∼ s [QCD crossover] | ∼ g [Solar mass] |
| ∼ s [Matter-radiation equality] | ∼ g |
| ∼ s [Present epoch] | ∼ g [Mass of the observable Universe] |
Disclaimer/Publisher’s Note: The statements, opinions and data contained in all publications are solely those of the individual author(s) and contributor(s) and not of MDPI and/or the editor(s). MDPI and/or the editor(s) disclaim responsibility for any injury to people or property resulting from any ideas, methods, instructions or products referred to in the content. |
© 2024 by the author. Licensee MDPI, Basel, Switzerland. This article is an open access article distributed under the terms and conditions of the Creative Commons Attribution (CC BY) license (https://creativecommons.org/licenses/by/4.0/).
Share and Cite
Harada, T. Primordial Black Holes: Formation, Spin and Type II. Universe 2024, 10, 444. https://doi.org/10.3390/universe10120444
Harada T. Primordial Black Holes: Formation, Spin and Type II. Universe. 2024; 10(12):444. https://doi.org/10.3390/universe10120444
Chicago/Turabian StyleHarada, Tomohiro. 2024. "Primordial Black Holes: Formation, Spin and Type II" Universe 10, no. 12: 444. https://doi.org/10.3390/universe10120444
APA StyleHarada, T. (2024). Primordial Black Holes: Formation, Spin and Type II. Universe, 10(12), 444. https://doi.org/10.3390/universe10120444

