The Shape of the Chameleon Fifth-Force on the Mass Components of Galaxy Clusters
Abstract
1. Introduction
2. Chameleon Gravity and Field Profile
3. Multi-Component Chameleon Solution
3.1. Comparison with a Single NFW Profile
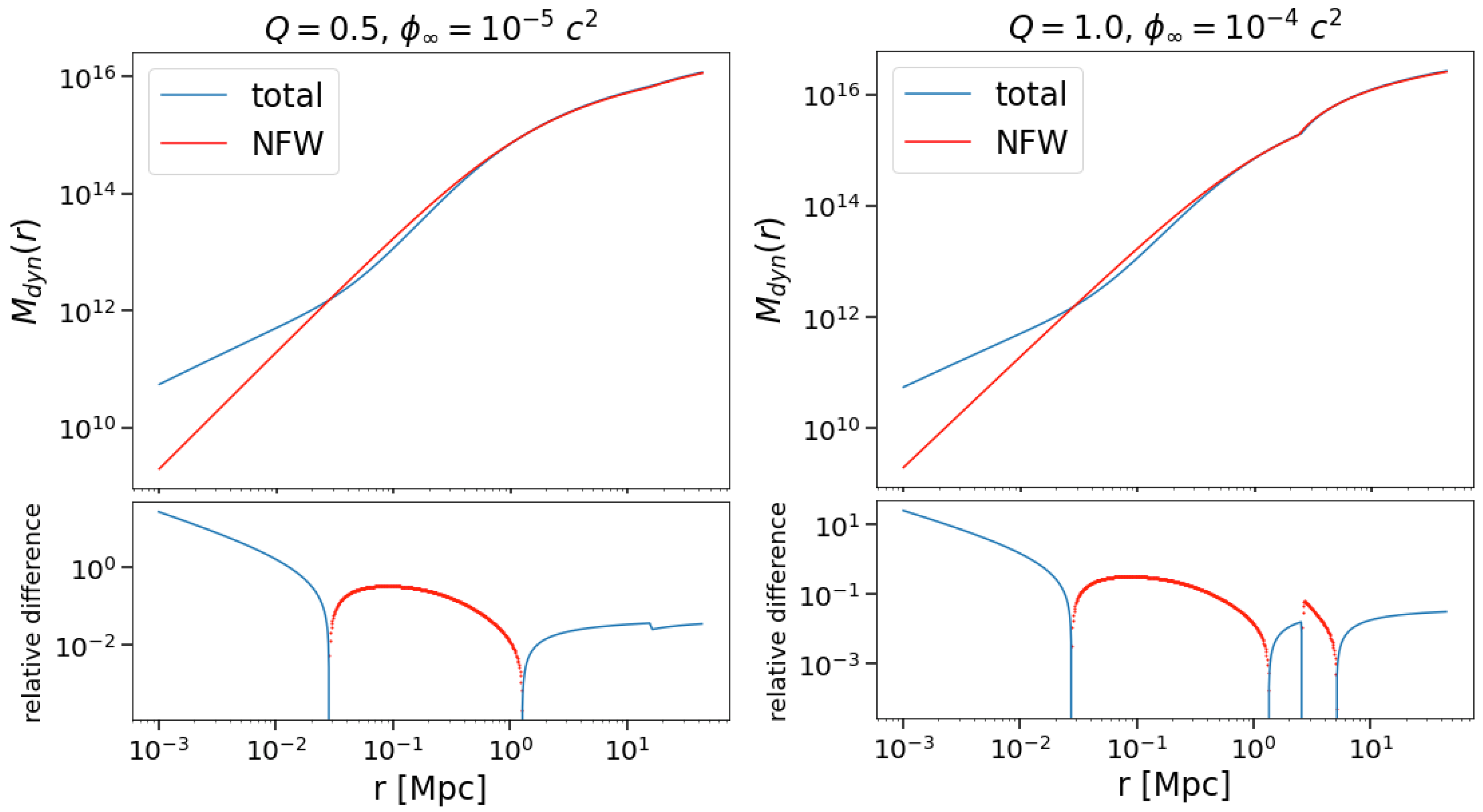
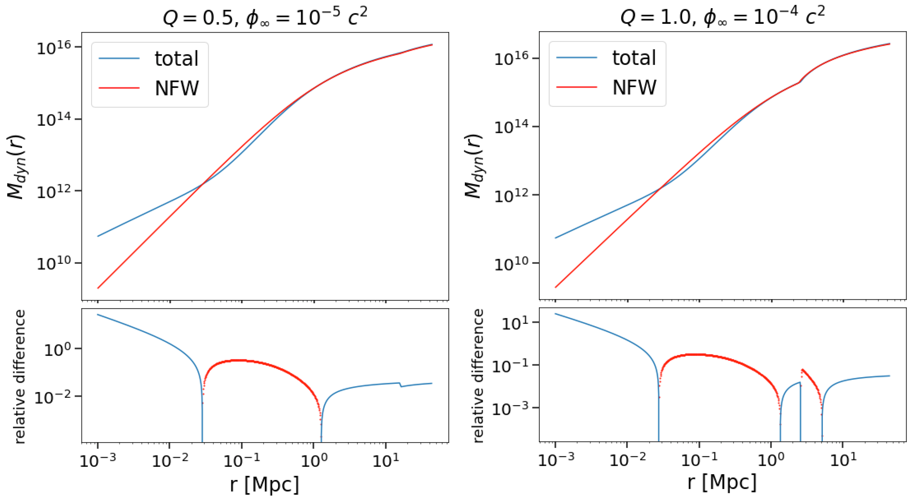
4. Validation with Numerical Solutions
5. Constraints on Chameleon Gravity with Kinematics and Lensing Analyses of Galaxy Clusters
6. Conclusions
Author Contributions
Funding
Data Availability Statement
Conflicts of Interest
Appendix A. Marginalized Distributions from the Analysis of the Mock Clusters




| 1 | |
| 2 | While it is possible to extend the analysis to distinct field couplings to the chameleon field, this is not the objective of the manuscript and will be explored in future investigations. |
| 3 | The standard NFW case was recovered for . |
| 4 | Note the superscript is being used here to distinguish from of the dark matter mass density profile. |
| 5 | The mass profile of member galaxies was obtained from [55]. The gas mass was provided by A. Biviano from S. Ettori via private communication. |
| 6 | Namely, at the centre of the mass distribution and at infinity. |
| 7 | A previous version of the code is publicly available at https://github.com/Pizzuti92/MG-MAMPOSSt. |
| 8 | The exploration of the parameter space was meticulously performed using a Metropolis–Hastings algorithm, with the first 10, 000 points considered as burn-in phase. |
| 9 | In this case, the Gaussian priors are centred on and , with the same relative uncertainties. |
| 10 | https://www.lsst.org/about (accessed on 29 November 2024). |
References
- Riess, A.G.; Filippenko, A.V.; Challis, P.; Clocchiatti, A.; Diercks, A.; Garnavich, P.M.; Gilliland, R.L.; Hogan, C.J.; Jha, S.; Kirshner, R.P.; et al. Observational Evidence from Supernovae for an Accelerating Universe and a Cosmological Constant. Astron. J. 1998, 116, 1009–1038. [Google Scholar] [CrossRef]
- Solanki, R.; De, A.; Mandal, S.; Sahoo, P. Accelerating expansion of the universe in modified symmetric teleparallel gravity. Phys. Dark Universe 2022, 36, 101053. [Google Scholar] [CrossRef]
- Weinberg, S. The cosmological constant problem. Rev. Mod. Phys. 1989, 61, 1–23. [Google Scholar] [CrossRef]
- Bull, P.; Akrami, Y.; Adamek, J.; Baker, T.; Bellini, E.; Beltrán Jiménez, J.; Bentivegna, E.; Camera, S.; Clesse, S.; Davis, J.H.; et al. Beyond ΛCDM: Problems, solutions, and the road ahead. Phys. Dark Universe 2016, 12, 56–99. [Google Scholar] [CrossRef]
- Perivolaropoulos, L.; Skara, F. Challenges for ΛCDM: An update. New Astron. Rev. 2022, 95, 101659. [Google Scholar] [CrossRef]
- Planck Collaboration; Adam, R.; Ade, P.A.R.; Aghanim, N.; Akrami, Y.; Alves, M.I.R.; Argüeso, F.; Arnaud, M.; Arroja, F.; Ashdown, M.; et al. Planck 2015 results—I. Overview of products and scientific results. Astron. Astrophys. 2016, 594, A1. [Google Scholar] [CrossRef]
- Planck Collaboration; Ade, P.A.R.; Aghanim, N.; Arnaud, M.; Ashdown, M.; Aumont, J.; Baccigalupi, C.; Banday, A.J.; Barreiro, R.B.; Bartlett, J.G.; et al. Planck 2015 results—XIII. Cosmological parameters. Astron. Astrophys. 2016, 594, A13. [Google Scholar] [CrossRef]
- The FADE Collaboration; Bernardo, H.; Bose, B.; Franzmann, G.; Hagstotz, S.; He, Y.; Litsa, A.; Niedermann, F. Modified gravity approaches to the cosmological constant problem. arXiv 2022, arXiv:2210.06810. [Google Scholar]
- Nojiri, S.; Odintsov, S.; Oikonomou, V. Modified gravity theories on a nutshell: Inflation, bounce and late-time evolution. Phys. Rep. 2017, 692, 1–104. [Google Scholar] [CrossRef]
- Clifton, T.; Ferreira, P.G.; Padilla, A.; Skordis, C. Modified gravity and cosmology. Phys. Rep. 2012, 513, 1–189. [Google Scholar] [CrossRef]
- Moffat, J.W. Scalar–tensor–vector gravity theory. J. Cosmol. Astropart. Phys. 2006, 2006, 004. [Google Scholar] [CrossRef]
- Peracaula, J.S.; Gómez-Valent, A.; de Cruz Pérez, J.; Moreno-Pulido, C. Brans–Dicke Gravity with a Cosmological Constant Smoothes Out ΛCDM Tensions. Astrophys. J. Lett. 2019, 886, L6. [Google Scholar] [CrossRef]
- Hu, W.; Sawicki, I. Models of f(R) cosmic acceleration that evade solar system tests. Phys. Rev. D—Part. Fields Gravit. Cosmol. 2007, 76, 064004. [Google Scholar] [CrossRef]
- Khoury, J. Les Houches Lectures on Physics Beyond the Standard Model of Cosmology. arXiv 2013, arXiv:1312.2006. [Google Scholar]
- Burrage, C.; Sakstein, J. Tests of chameleon gravity. Living Rev. Relativ. 2018, 21, 1–58. [Google Scholar] [CrossRef]
- Brax, P.; van de Bruck, C.; Davis, A.; Green, A. Small scale structure formation in chameleon cosmology. Phys. Lett. B 2006, 633, 441–446. [Google Scholar] [CrossRef][Green Version]
- Brax, P.; Davis, A.C.; Li, B.; Winther, H.A.; Zhao, G.B. Systematic simulations of modified gravity: Chameleon models. J. Cosmol. Astropart. Phys. 2013, 2013, 029. [Google Scholar] [CrossRef]
- Will, C.M. The Confrontation between General Relativity and Experiment. Living Rev. Relativ. 2014, 17, 4. [Google Scholar] [CrossRef]
- Khoury, J. Theories of Dark Energy with Screening Mechanisms. arXiv 2010, arXiv:1011.5909. [Google Scholar]
- Kobayashi, T.; Hiramatsu, T. Relativistic stars in degenerate higher-order scalar-tensor theories after GW170817. Phys. Rev. 2018, D97, 104012. [Google Scholar] [CrossRef]
- Amendola, L.; Kunz, M.; Saltas, I.D.; Sawicki, I. Fate of Large-Scale Structure in Modified Gravity After GW170817 and GRB170817A. Phys. Rev. Lett. 2018, 120, 131101. [Google Scholar] [CrossRef]
- Kimura, R.; Kobayashi, T.; Yamamoto, K. Vainshtein screening in a cosmological background in the most general second-order scalar-tensor theory. Phys. Rev. D 2012, 85, 024023. [Google Scholar] [CrossRef]
- Bayarsaikhan, B.; Koh, S.; Tsedenbaljir, E.; Tumurtushaa, G. Constraints on dark energy models from the Horndeski theory. J. Cosmol. Astropart. Phys. 2020, 2020, 057. [Google Scholar] [CrossRef]
- Bellini, E.; Cuesta, A.J.; Jimenez, R.; Verde, L. Constraints on deviations from ΛCDM within Horndeski gravity. J. Cosmol. Astropart. Phys. 2016, 2016, 053. [Google Scholar] [CrossRef]
- Saltas, I.D.; Lopes, I. Obtaining Precision Constraints on Modified Gravity with Helioseismology. Phys. Rev. Lett. 2019, 123, 091103. [Google Scholar] [CrossRef] [PubMed]
- Hiramatsu, T. CMB constraints on DHOST theories. J. Cosmol. Astropart. Phys. 2022, 2022, 035. [Google Scholar] [CrossRef]
- Khoury, J.; Weltman, A. Chameleon cosmology. Phys. Rev. D 2004, 69, 044026. [Google Scholar] [CrossRef]
- Pernot-Borràs, M.; Bergé, J.; Brax, P.; Uzan, J.P.; Métris, G.; Rodrigues, M.; Touboul, P. Constraints on chameleon gravity from the measurement of the electrostatic stiffness of the MICROSCOPE mission accelerometers. Phys. Rev. D 2021, 103, 064070. [Google Scholar] [CrossRef]
- Burrage, C.; Copeland, E.J.; Hinds, E. Probing dark energy with atom interferometry. J. Cosmol. Astropart. Phys. 2015, 2015, 042. [Google Scholar] [CrossRef]
- Fischer, H.; Käding, C.; Pitschmann, M. Screened Scalar Fields in the Laboratory and the Solar System. Universe 2024, 10, 297. [Google Scholar] [CrossRef]
- Naik, A.P.; Puchwein, E.; Davis, A.C.; Arnold, C. Imprints of Chameleon f(R) gravity on Galaxy rotation curves. Mon. Not. R. Astron. Soc. 2018, 480, 5211–5225. [Google Scholar] [CrossRef]
- Benisty, D.; Brax, P.; Davis, A.C. Stringent pulsar timing bounds on light scalar couplings to matter. Phys. Rev. D 2023, 107. [Google Scholar] [CrossRef]
- Desmond, H.; Ferreira, P.G. Galaxy morphology rules out astrophysically relevant Hu-Sawicki f (R) gravity. Phys. Rev. D 2020, 102, 104060. [Google Scholar] [CrossRef]
- Wilcox, H.; Bacon, D.; Nichol, R.C.; Rooney, P.J.; Terukina, A.; Romer, A.K.; Koyama, K.; Zhao, G.B.; Hood, R.; Mann, R.G.; et al. The XMM Cluster Survey: Testing chameleon gravity using the profiles of clusters. Mon. Not. Roy. Astron. Soc. 2015, 452, 1171–1183. [Google Scholar] [CrossRef]
- Cataneo, M.; Rapetti, D.; Lombriser, L.; Li, B. Cluster abundance in chameleonf(R) gravity I: Toward an accurate halo mass function prediction. J. Cosmol. Astropart. Phys. 2016, 2016, 024. [Google Scholar] [CrossRef]
- Pizzuti, L.; Sartoris, B.; Amendola, L.; Borgani, S.; Biviano, A.; Umetsu, K.; Mercurio, A.; Rosati, P.; Balestra, I.; Caminha, G.B.; et al. CLASH-VLT: Constraints on f(R) gravity models with galaxy clusters using lensing and kinematic analyses. J. Cosmol. Astropart. Phys. 2017, 7, 023. [Google Scholar] [CrossRef]
- Tamosiunas, A.; Briddon, C.; Burrage, C.; Cui, W.; Moss, A. Chameleon screening depends on the shape and structure of NFW halos. J. Cosmol. Astropart. Phys. 2022, 2022, 047. [Google Scholar] [CrossRef]
- Navarro, J.F.; Frenk, C.S.; White, S.D.M. The Structure of cold dark matter halos. Astrophys. J. 1996, 462, 563–575. [Google Scholar] [CrossRef]
- Ettori, S.; Ghirardini, V.; Eckert, D.; Pointecouteau, E.; Gastaldello, F.; Sereno, M.; Gaspari, M.; Ghizzardi, S.; Roncarelli, M.; Rossetti, M. Hydrostatic mass profiles in X-COP galaxy clusters. Astron. Astrophys. 2019, 621, A39. [Google Scholar] [CrossRef]
- Boumechta, Y.; Haridasu, B.S.; Pizzuti, L.; Butt, M.A.; Baccigalupi, C.; Lapi, A. Constraining chameleon screening using galaxy cluster dynamics. Phys. Rev. D 2023, 108, 044007. [Google Scholar] [CrossRef]
- Pizzuti, L.; Boumechta, Y.; Haridasu, S.; Pombo, A.M.; Dossena, S.; Butt, M.A.; Benetti, F.; Baccigalupi, C.; Lapi, A. Mass Modeling and Kinematics of Galaxy Clusters in Modified Gravity. J. Cosmol. Astropart. Phys. 2024, 2024, 014. [Google Scholar] [CrossRef]
- Terukina, A.; Lombriser, L.; Yamamoto, K.; Bacon, D.; Koyama, K.; Nichol, R.C. Testing chameleon gravity with the Coma cluster. J. Cosmol. Astropart. Phys. 2014, 2014, 013. [Google Scholar] [CrossRef]
- Khoury, J.; Weltman, A. Chameleon fields: Awaiting surprises for tests of gravity in space. Phys. Rev. Lett. 2004, 93, 171104. [Google Scholar] [CrossRef] [PubMed]
- Butt, M.A.; Haridasu, B.S.; Boumechta, Y.; Benetti, F.; Pizzuti, L.; Baccigalupi, C.; Lapi, A. Caustic and hydrostatic mass bias: Implications for modified gravity. Phys. Rev. D 2024, 109, 064006. [Google Scholar] [CrossRef]
- Starobinsky, A.A. Disappearing cosmological constant in f (R) gravity. JETP Lett. 2007, 86, 157–163. [Google Scholar] [CrossRef]
- Oyaizu, H.; Lima, M.; Hu, W. Nonlinear evolution of f (R) cosmologies. II. Power spectrum. Phys. Rev. D 2008, 78, 123524. [Google Scholar] [CrossRef]
- Zhang, X.; Niu, R.; Zhao, W. Constraining the scalar-tensor gravity theories with and without screening mechanisms by combined observations. Phys. Rev. D 2019, 100, 024038. [Google Scholar] [CrossRef]
- Laganá, T.F.; Durret, F.; Lopes, P.A.A. Physical properties of the X-ray gas as a dynamical diagnosis for galaxy clusters. Mon. Not. R. Astron. Soc. 2019, 484, 2807–2830. [Google Scholar] [CrossRef]
- Biviano, A.; Pizzuti, L.; Mercurio, A.; Sartoris, B.; Rosati, P.; Ettori, S.; Girardi, M.; Grillo, C.; Caminha, G.B.; Nonino, M. CLASH-VLT: The Inner Slope of the MACS J1206.2-0847 Dark Matter Density Profile. Astrophys. J. 2023, 958, 148. [Google Scholar] [CrossRef]
- Burrage, C.; Copeland, E.J.; Moss, A.; Stevenson, J.A. The shape dependence of chameleon screening. J. Cosmol. Astropart. Phys. 2018, 01, 056. [Google Scholar] [CrossRef]
- Sartoris, B.; Biviano, A.; Rosati, P.; Mercurio, A.; Grillo, C.; Ettori, S.; Nonino, M.; Umetsu, K.; Bergamini, P.; Caminha, G.B.; et al. CLASH-VLT: A full dynamical reconstruction of the mass profile of Abell S1063 from 1 kpc out to the virial radius. Astron. Astrophys. 2020, 637, A34. [Google Scholar] [CrossRef]
- Laudato, E.; Salzano, V.; Umetsu, K. Multi-component DHOST analysis in galaxy clusters. arXiv 2021, arXiv:2110.11019. [Google Scholar]
- Jaffe, W. A simple model for the distribution of light in spherical galaxies. Mon. Not. R. Astron. Soc. 1983, 202, 995–999. [Google Scholar] [CrossRef]
- Sand, D.J.; Treu, T.; Smith, G.P.; Ellis, R.S. The Dark Matter Distribution in the Central Regions of Galaxy Clusters: Implications for Cold Dark Matter. Astrophys. J. 2004, 604, 88–107. [Google Scholar] [CrossRef]
- Annunziatella, M.; Biviano, A.; Mercurio, A.; Nonino, M.; Rosati, P.; Balestra, I.; Presotto, V.; Girardi, M.; Gobat, R.; Grillo, C.; et al. CLASH-VLT: The stellar mass function and stellar mass density profile of the z = 0.44 cluster of galaxies MACS J1206.2-0847. Astron. Astrophys. 2014, 571, A80. [Google Scholar] [CrossRef]
- Barrena, R.; Pizzuti, L.; Chon, G.; Böhringer, H. Unveiling the shape: A multi-wavelength analysis of the galaxy clusters Abell 76 and Abell 1307. Astron. Astrophys. 2024, 691, A135. [Google Scholar] [CrossRef]
- King, I. The structure of star clusters. I. an empirical density law. Astron. J. 1962, 67, 471. [Google Scholar] [CrossRef]
- Patej, A.; Loeb, A. A simple physical model for the gas distribution in galaxy clusters. Astrophys. J. Lett. 2014, 798, L20. [Google Scholar] [CrossRef]
- Cao, S.; Biesiada, M.; Zheng, X.; Zhu, Z.H. Testing the gas mass density profile of galaxy clusters with distance duality relation. Mon. Not. R. Astron. Soc. 2016, 457, 281–287. [Google Scholar] [CrossRef]
- Radiconi, F.; Vacca, V.; Battistelli, E.; Bonafede, A.; Capalbo, V.; Devlin, M.J.; Di Mascolo, L.; Feretti, L.; Gallardo, P.A.; Gill, A.; et al. The thermal and non-thermal components within and between galaxy clusters Abell 399 and Abell 401. Mon. Not. R. Astron. Soc. 2022, 517, 5232–5246. [Google Scholar] [CrossRef]
- Pizzuti, L.; Saltas, I.D.; Amendola, L. MG-MAMPOSST: A code to test modifications of gravity with internal kinematics and lensing analyses of galaxy clusters. Mon. Not. R. Astron. Soc. 2021, 506, 595–612. [Google Scholar] [CrossRef]
- Tiret, O.; Combes, F.; Angus, G.W.; Famaey, B.; Zhao, H.S. Velocity dispersion around ellipticals in MOND. Astron. Astrophys. 2007, 476, L1–L4. [Google Scholar] [CrossRef]
- Mamon, G.A.; Cava, A.; Biviano, A.; Moretti, A.; Poggianti, B.; Bettoni, D. Structural and dynamical modeling of WINGS clusters. II. The orbital anisotropies of elliptical, spiral and lenticular galaxies. Astron. Astrophys. 2019, 631, A131. [Google Scholar] [CrossRef]
- Pizzuti, L.; Saltas, I.D.; Biviano, A.; Mamon, G.; Amendola, L. MG-MAMPOSSt, a Fortran code to test gravity at galaxy-cluster scales. J. Open Source Softw. 2023, 8, 4800. [Google Scholar] [CrossRef]
- Mamon, G.A.; Biviano, A.; Boué, G. MAMPOSSt: Modelling Anisotropy and Mass Profiles of Observed Spherical Systems—I. Gaussian 3D velocities. Mon. Not. R. Astron. Soc. 2013, 429, 3079–3098. [Google Scholar] [CrossRef]
- Umetsu, K.; Zitrin, A.; Gruen, D.; Merten, J.; Donahue, M.; Postman, M. CLASH: Joint Analysis of Strong-Lensing, Weak-Lensing Shear and Magnification Data for 20 Galaxy Clusters. Astrophys. J. 2016, 821, 116. [Google Scholar] [CrossRef]
- Schmidt, F.; Vikhlinin, A.; Hu, W. Cluster constraints on f(R) gravity. Phys. Rev. D 2009, 80, 083505. [Google Scholar] [CrossRef]
- Pizzuti, L.; Sartoris, B.; Borgani, S.; Biviano, A. Calibration of systematics in constraining modified gravity models with galaxy cluster mass profiles. J. Cosmol. Astropart. Phys. 2020, 2020, 024. [Google Scholar] [CrossRef]
- Girardi, M.; Mercurio, A.; Balestra, I.; Nonino, M.; Biviano, A.; Grillo, C.; Rosati, P.; Annunziatella, M.; Demarco, R.; Fritz, A.; et al. CLASH-VLT: Substructure in the galaxy cluster MACS J1206.2-0847 from kinematics of galaxy populations. Astron. Astrophys. 2015, 579, A4. [Google Scholar] [CrossRef]
- Ferrami, G.; Bertin, G.; Grillo, C.; Mercurio, A.; Rosati, P. Dynamics of the galactic component of Abell S1063 and MACS J1206. 2- 0847. Astron. Astrophys. 2023, 676, A66. [Google Scholar] [CrossRef]
- Ettori, S.; Donnarumma, A.; Pointecouteau, E.; Reiprich, T.; Giodini, S.; Lovisari, L.; Schmidt, R. Mass profiles of Galaxy Clusters from X-ray analysis. Space Sci. Rev. 2013, 177, 119–154. [Google Scholar] [CrossRef]
- Varieschi, G.U. Newtonian Fractional-Dimension Gravity and MOND. Found. Phys. 2020, 50, 1608–1644. [Google Scholar] [CrossRef]
- Koyama, K.; Sakstein, J. Astrophysical Probes of the Vainshtein Mechanism: Stars and Galaxies. Phys. Rev. 2015, D91, 124066. [Google Scholar] [CrossRef]
- Crisostomi, M.; Lewandowski, M.; Vernizzi, F. Vainshtein regime in scalar-tensor gravity: Constraints on degenerate higher-order scalar-tensor theories. Phys. Rev. D 2019, 100, 024025. [Google Scholar] [CrossRef]
- Dima, A.; Bezares, M.; Barausse, E. Dynamical chameleon neutron stars: Stability, radial oscillations, and scalar radiation in spherical symmetry. Phys. Rev. D 2021, 104, 084017. [Google Scholar] [CrossRef]
- Haridasu, B.S.; Karmakar, P.; De Petris, M.; Cardone, V.F.; Maoli, R. Testing generalized scalar-tensor theories of gravity with clusters of galaxies. arXiv 2021, arXiv:2111.01101. [Google Scholar] [CrossRef]
- Gandolfi, G.; Lapi, A.; Liberati, S. Self-gravitating Equilibria of Non-minimally Coupled Dark Matter Halos. Astrophys. J. 2021, 910, 76. [Google Scholar] [CrossRef]
- Gandolfi, G.; Haridasu, B.S.; Liberati, S.; Lapi, A. Looking for Traces of Nonminimally Coupled Dark Matter in the X-COP Galaxy Clusters Sample. Astrophys. J. 2023, 952, 105. [Google Scholar] [CrossRef]
- Zamani, S.; Salzano, V.; Bettoni, D. Gravitational lensing from clusters of galaxies to test disformal couplings theories. Eur. Phys. J. C 2024, 84, 618. [Google Scholar] [CrossRef]
- Benetti, F.; Lapi, A.; Gandolfi, G.; Butt, M.A.; Boumechta, Y.; Haridasu, B.S.; Baccigalupi, C. Dark Matter in Fractional Gravity III: Dwarf Galaxies Kinematics. Universe 2023, 9, 478. [Google Scholar] [CrossRef]
- Euclid Collaboration; Mellier, Y.; Abdurro’uf; Acevedo Barroso, J.A.; Achúcarro, A.; Adamek, J.; Adam, R.; Addison, G.E.; Aghanim, N.; Aguena, M.; et al. Euclid. I. Overview of the Euclid mission. arXiv 2024, arXiv:2405.13491. [Google Scholar]
- McElwain, M.W.; Feinberg, L.D.; Perrin, M.D.; Clampin, M.; Mountain, C.M.; Lallo, M.D.; Lajoie, C.P.; Kimble, R.A.; Bowers, C.W.; Stark, C.C.; et al. The James Webb Space Telescope Mission: Optical Telescope Element Design, Development, and Performance. Publ. Astron. Soc. Pac. 2023, 135, 058001. [Google Scholar] [CrossRef]
- Barret, D.; Decourchelle, A.; Fabian, A.; Guainazzi, M.; Nandra, K.; Smith, R.; den Herder, J. The Athena space X-ray observatory and the astrophysics of hot plasma†. Astron. Nachrichten 2020, 341, 224–235. [Google Scholar] [CrossRef]






| Parameter | Lower Bound | Upper Bound |
|---|---|---|
| 0 | 2 | |
| 0.5 | 5.5 | |
| 0.5 | 5.5 | |
| 4.20 | 4.74 | |
| 0 | 1 | |
| 0 | 1 |
Disclaimer/Publisher’s Note: The statements, opinions and data contained in all publications are solely those of the individual author(s) and contributor(s) and not of MDPI and/or the editor(s). MDPI and/or the editor(s) disclaim responsibility for any injury to people or property resulting from any ideas, methods, instructions or products referred to in the content. |
© 2024 by the authors. Licensee MDPI, Basel, Switzerland. This article is an open access article distributed under the terms and conditions of the Creative Commons Attribution (CC BY) license (https://creativecommons.org/licenses/by/4.0/).
Share and Cite
Pizzuti, L.; Amatori, V.; Pombo, A.M.; Haridasu, S. The Shape of the Chameleon Fifth-Force on the Mass Components of Galaxy Clusters. Universe 2024, 10, 443. https://doi.org/10.3390/universe10120443
Pizzuti L, Amatori V, Pombo AM, Haridasu S. The Shape of the Chameleon Fifth-Force on the Mass Components of Galaxy Clusters. Universe. 2024; 10(12):443. https://doi.org/10.3390/universe10120443
Chicago/Turabian StylePizzuti, Lorenzo, Valentina Amatori, Alexandre M. Pombo, and Sandeep Haridasu. 2024. "The Shape of the Chameleon Fifth-Force on the Mass Components of Galaxy Clusters" Universe 10, no. 12: 443. https://doi.org/10.3390/universe10120443
APA StylePizzuti, L., Amatori, V., Pombo, A. M., & Haridasu, S. (2024). The Shape of the Chameleon Fifth-Force on the Mass Components of Galaxy Clusters. Universe, 10(12), 443. https://doi.org/10.3390/universe10120443

