Comparison of In Vitro Biotransformation of Olive Polyphenols Between Healthy Young and Elderly
Abstract
1. Introduction
2. Materials and Methods
2.1. Chemicals
2.2. Extract Identification
2.2.1. UPLC-QTOF-MS Analysis
2.2.2. Data Analysis
2.3. Gastrointestinal Biotransformation
2.3.1. Collection and Processing of the Faecal Samples
2.3.2. Simulation of Stomach, Small Intestine, and Colon
2.3.3. UPLC-ESI-QTOF Analysis
2.3.4. Data Analysis
2.4. Sequencing
2.4.1. Microbial DNA Isolation
2.4.2. 16S rRNA Gene Amplification and Sequencing
2.5. Comparison Between Age Groups
2.5.1. Comparison of Metabolite Profiles
2.5.2. Comparison of Bacterial Composition
2.6. Statistical Methods
3. Results
3.1. Extract Identification
3.2. Gastrointestinal Biotransformation
3.2.1. Construction of Faecal Suspension Pool
3.2.2. Metabolite Identification
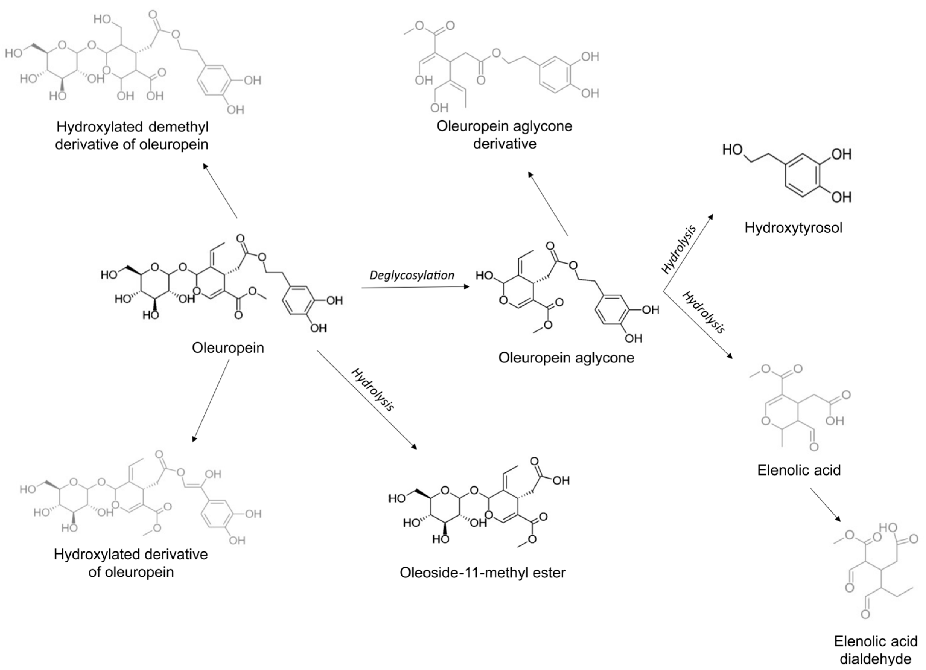
Biotransformation of Oleuropein
Biotransformation of Olive-Specific Polyphenols
Biotransformation of Flavonoids
Biotransformation of Phenolic Acids
| Compound | Rt (min) | Molecular Formula | m/z Experimental | m/z Calculated | Error (ppm) | Fragments | CL | References | |
|---|---|---|---|---|---|---|---|---|---|
| Olive-specific compounds | |||||||||
| 1 | Hydroxytyrosol | 2.47 | C8H10O3 | 153.0547 | 153.0552 | −3.27 | I | ||
| 2 | Hydrated product of loganin | 3.11 | C17H28O11 | 407.1538 | 407.1553 | −3.68 | IV | [41] | |
| 3 | Oleoside-11-methyl ester | 5.43 | C17H24O11 | 403.1238 | 403.1240 | −0.50 | 223.0602; 179.0550 | II | [39,40] |
| 4 | Aldehydic decarboxyl elenolic acid | 6.23 | C10H16O5 | 215.0915 | 215.092 | −2.32 | IV | [39] | |
| 5 | Hydroxytyrosol acetate | 6.46; 7.54; 8.81 | C10H12O4 | 195.0653 | 195.0657 | −2.05 | IV | [39,41] | |
| 6 | Elenolic acid | 6.75 | C11H14O6 | 241.0708 | 241.0712 | −1.66 | III | ||
| 7 | Desoxy-elenolic acid | 6.77 | C11H14O5 | 225.0757 | 225.0763 | −2.67 | IV | [41] | |
| 8 | Hydroxytyrosol-rutinoside | 6.82 | C20H30O12 | 461.1651 | 461.1659 | −1.73 | IV | [41] | |
| 9 | Elenolic acid dialdehyde | 7.11 | C11H16O6 | 243.0862 | 243.0869 | −2.88 | III | ||
| 10 | Hydroxy-verbascoside | 7.12 | C29H36O16 | 639.1887 | 639.1925 | −5.95 | IV | [41] | |
| 11 | Hydroxylated demethyl derivative of oleuropein | 7.22 | C23H32O15 | 547.165 | 547.1663 | −2.38 | III | ||
| 12 | Oleoside/secologanoside | 7.24; 8.29 | C16H22O11 | 389.1073 | 389.1084 | −2.83 | IV | [41] | |
| 13 | Demethyloleuropein | 7.25 | C24H30O13 | 525.1599 | 525.1608 | −1.71 | IV | [41] | |
| 14 | Verbascoside | 7.91 | C29H36O15 | 623.1966 | 623.1976 | −1.60 | 461.1696; 315.1097 | II | [39,42,44,46,47,48,49,50] |
| 15 | Isoverbascoside | 8.28 | C29H36O15 | 623.1966 | 623.1976 | −1.60 | 461.1696; 315.1097 | II | [39,44] |
| 16 | Hydroxytyrosol derivative | 8.45 | C17H24O6 | 323.1487 | 323.1495 | −2.48 | IV | [41] | |
| 17 | Oleuropein–glucoside | 8.53 | C31H42O18 | 701.2283 | 701.2293 | −1.43 | 539.1786; 377.1245 | II | [42] |
| 18 | Hydroxylated derivative of oleuropein | 8.81 | C25H30O14 | 553.1557 | 553.1557 | 0.00 | III | ||
| 19 | Lactone ester with hydroxytyrosol | 8.96 | C17H22O6 | 321.1332 | 321.1338 | −1.87 | 185.0821 | II | [39] |
| 20 | Elenolic acid dialdehyde epimer linked to hydroxytyrosol-glucoside | 9.15 | C25H34O13 | 541.1919 | 541.1921 | −0.37 | IV | [41] | |
| 21 | Hydroxy-methyl-oleuropein | 9.26 | C26H34O14 | 569.1874 | 569.187 | 0.70 | IV | [41] | |
| 22 | Oleuropein | 9.41 | C25H32O13 | 539.1766 | 539.1765 | 0.19 | 403.1246; 377.1243; 307.0823; 275.0909; 223.0611 | I | [39,40] |
| 23 | Ligstroside | 10.24 | C25H32O12 | 523.182 | 523.1816 | 0.76 | 361.1291; 291.0876; 259.0971 | II | [39,42] |
| 24 | Elenolic acid derivative | 9.49; 10.25 | C26H36O13 | 555.2071 | 555.2078 | −1.26 | IV | [41] | |
| 25 | Dimethyl-hydroxy-ocenoyloxy-secologanoside | 10.01; 10.55 | C26H38O13 | 557.2223 | 557.2234 | −1.97 | IV | [41] | |
| 26 | Oleuropein aglycone | 10.47 | C19H22O8 | 377.1229 | 377.1236 | −1.86 | 241.0707; 195.0650 | II | [39,40] |
| 27 | Derivative of oleuropein aglycone | 10.67 | C19H24O8 | 379.1383 | 379.1393 | −2.64 | 243.0883 | III | |
| Flavonoids | |||||||||
| 28 | Luteolin-7,4-O-diglucoside | 6.31 | C27H30O16 | 609.1445 | 609.1456 | −1.81 | 285.0410; 447.0996 | II | [42,50] |
| 29 | Apigenin-rhamnosyl-acetyl- glucoside | 6.51; 7.90; 8.28 | C29H32O15 | 619.1634 | 619.1663 | −4.68 | IV | [41] | |
| 30 | Quercetin-3-O-rutoside | 7.29 | C27H30O16 | 609.1427 | 609.1456 | −4.76 | I | ||
| 31 | Luteolin-7-O-rutinoside | 7.53 | C27H30O15 | 593.15 | 593.1507 | −1.18 | 285.0407 | II | [42,48,50] |
| 32 | Luteolin-hexosyl-rhamnoside | 7.79; 8.28 | C27H30O15 | 593.1493 | 593.1507 | −2.36 | IV | [41] | |
| 33 | Luteolin-7-O-glucoside | 7.65 | C21H20O11 | 447.0927 | 447.0927 | 0.00 | 285.0398 | I | |
| 34 | Apigenin-7-O-rutinoside | 8.25 | C27H30O14 | 577.1559 | 577.1557 | 0.35 | 269.0450 | II | [40,42,48,50] |
| 35 | Quercetin-3-O-rhamnoside | 8.43 | C21H20O11 | 447.0941 | 447.0927 | 3.13 | I | ||
| 36 | Apigenin-7-O-glucoside | 8.46 | C21H20O10 | 431.0982 | 431.0978 | 0.93 | 269.045 | I | |
| 37 | Chrysoeriol-7-O-glucoside | 8.74 | C22H22O11 | 461.1098 | 461.1083 | 3.25 | 446.0844; 283.0240; 255.0296 | II | [42,44] |
| 38 | Luteolin | 10 | C15H10O6 | 285.0394 | 285.0399 | −1.75 | I | ||
| 39 | Quercetin | 10 | C15H10O7 | 301.0341 | 301.0348 | −2.33 | I | ||
| 40 | Apigenin | 10.79 | C15H10O5 | 269.0449 | 269.045 | −0.37 | I | ||
| Phenolic acids | |||||||||
| 41 | Phenyl acetic acid | 4.15 | C8H8O2 | 135.0446 | 135.0446 | 0.00 | II | [45] | |
| 42 | Caffeic acid | 4.16 | C9H8O4 | 179.0342 | 179.0344 | −1.12 | I | ||
| 43 | (iso)Ferulic acid-glucoside | 5.6 | C16H20O9 | 355.1019 | 355.1029 | −2.82 | 193.0482 | II | [40] |
| 44 | 3-(4-hydroxyphenyl)propionic acid | 5.64 | C9H10O3 | 165.0547 | 165.0552 | −3.03 | I | ||
| 45 | Coumaric acid | 5.78 | C9H8O3 | 163.0390 | 163.0395 | −3.07 | 119.0491 | III | [40] |
| 46 | Ferulic acid | 6.67 | C10H10O4 | 193.0495 | 193.0501 | −3.11 | I | ||
3.2.3. Controls
3.3. Comparison Between Age Groups
3.3.1. Comparison of Metabolite Profiles
3.3.2. Comparison of Bacterial Composition
4. Discussion
5. Conclusions
Supplementary Materials
Author Contributions
Funding
Institutional Review Board Statement
Informed Consent Statement
Data Availability Statement
Acknowledgments
Conflicts of Interest
References
- Polymerou-Kamilakis, A. The Culture of the Olive Tree (Mediterranean World). In Olive Oil: Chemistry and Technology, 2nd ed.; AOCS Publishing: Champaign, IL, USA, 2006; pp. 1–12. [Google Scholar] [CrossRef]
- Liphschitz, N.; Gophna, R.; Hartman, M.; Biger, G. The beginning of olive (Olea europaea) cultivation in the old world: A reassessment. J. Archaeol. Sci. 1991, 18, 441–453. [Google Scholar] [CrossRef]
- Hashmi, M.A.; Khan, A.; Hanif, M.; Farooq, U.; Perveen, S. Traditional Uses, Phytochemistry, and Pharmacology of Olea europaea (Olive). Evid Based Complement Altern. Med. 2015, 2015, 541591. [Google Scholar] [CrossRef] [PubMed]
- Leporatti, M.L.; Ghedira, K. Comparative analysis of medicinal plants used in traditional medicine in Italy and Tunisia. J. Ethnobiol. Ethnomed. 2009, 5, 31. [Google Scholar] [CrossRef]
- Khan, M.Y.; Panchal, S.; Vyas, N.; Butani, A.; Kumar, V. Olea europaea: A Phyto-Pharmacological Review. Pharmacogn. Rev. 2007, 1, 114–118. [Google Scholar]
- Rivera-Mondragón, A.; Peeters, L.; Van, A.A.; Breynaert, A.; Caballero-George, C.; Pieters, L.; Hermans, N.; Foubert, K. Simulated Gastrointestinal Biotransformation of Chlorogenic Acid, Flavonoids, Flavonolignans and Triterpenoid Saponins in Cecropia obtusifolia Leaf Extract. Planta Med. 2021, 87, 404–416. [Google Scholar] [CrossRef]
- Mennen, L.I.; Walker, R.; Bennetau-Pelissero, C.; Scalbert, A. Risks and safety of polyphenol consumption. Am. J. Clin. Nutr. 2005, 81, 326S–329S. [Google Scholar] [CrossRef]
- Borghini, F.; Tamasi, G.; Loiselle, S.A.; Baglioni, M.; Ferrari, S.; Bisozzi, F.; Costantini, S.; Tozzi, C.; Riccaboni, A.; Rossi, C. Phenolic Profiles in Olive Leaves from Different Cultivars in Tuscany and Their Use as a Marker of Varietal and Geographical Origin on a Small Scale. Molecules 2024, 29, 3617. [Google Scholar] [CrossRef]
- El, S.N.; Karakaya, S. Olive tree (Olea europaea) leaves: Potential beneficial effects on human health. Nutr. Rev. 2009, 67, 632–638. [Google Scholar] [CrossRef]
- Tan, H.W.; Tuck, K.L.; Stupans, I.; Hayball, P.J. Simultaneous determination of oleuropein and hydroxytyrosol in rat plasma using liquid chromatography with fluorescence detection. J. Chromatogr. B 2003, 785, 187–191. [Google Scholar] [CrossRef]
- Di Lorenzo, C.; Colombo, F.; Biella, S.; Stockley, C.; Restani, P. Polyphenols and Human Health: The Role of Bioavailability. Nutrients 2021, 13, 273. [Google Scholar] [CrossRef]
- Chen, L.; Cao, H.; Xiao, J. Polyphenols: Absorption, bioavailability, and metabolomics. In Polyphenols: Properties, Recovery, and Applications; Woodhead Publishing: Saxton, UK, 2018; pp. 45–67. [Google Scholar] [CrossRef]
- Li, X.; Liu, L.; Cao, Z.; Li, W.; Li, H.; Lu, C.; Yang, X.; Liu, Y. Gut microbiota as an “invisible organ” that modulates the function of drugs. Biomed. Pharmacother. 2020, 121, 109653. [Google Scholar] [CrossRef] [PubMed]
- Maqbool, A. Colon: Structure, Function, and Disorders. Encycl. Hum. Nutr. 2013, 1–4, 378–396. [Google Scholar] [CrossRef]
- Zhao, Y.; Zhong, X.; Yan, J.; Sun, C.; Zhao, X.; Wang, X. Potential roles of gut microbes in biotransformation of natural products: An overview. Front. Microbiol. 2022, 13, 956378. [Google Scholar] [CrossRef] [PubMed]
- Zheng, J.; Wittouck, S.; Salvetti, E.; Franz, C.M.A.P.; Harris, H.M.B.; Mattarelli, P.; O’Toole, P.W.; Pot, B.; Vandamme, P.; Walter, J.; et al. A taxonomic note on the genus Lactobacillus: Description of 23 novel genera, emended description of the genus Lactobacillus beijerinck 1901, and union of Lactobacillaceae and Leuconostocaceae. Int. J. Syst. Evol. Microbiol. 2020, 70, 2782–2858. [Google Scholar] [CrossRef] [PubMed]
- Braune, A.; Blaut, M. Bacterial species involved in the conversion of dietary flavonoids in the human gut. Gut Microbes 2016, 7, 216. [Google Scholar] [CrossRef]
- Hazas, M.-C.L.d.L.; Piñol, C.; Macià, A.; Romero, M.-P.; Pedret, A.; Solà, R.; Rubió, L.; Motilva, M.-J. Differential absorption and metabolism of hydroxytyrosol and its precursors oleuropein and secoiridoids. J. Funct. Foods 2016, 22, 52–63. [Google Scholar] [CrossRef]
- D’Archivio, M.; Santangelo, C.; Silenzi, A.; Scazzocchio, B.; Varì, R.; Masella, R. Dietary EVOO Polyphenols and Gut Microbiota Interaction: Are There Any Sex/Gender Influences? Antioxidants 2022, 11, 1744. [Google Scholar] [CrossRef]
- Keshet, A.; Segal, E. Identification of gut microbiome features associated with host metabolic health in a large population-based cohort. Nat. Commun. 2024, 15, 9358. [Google Scholar] [CrossRef]
- Schymanski, E.L.; Jeon, J.; Gulde, R.; Fenner, K.; Ruff, M.; Singer, H.P.; Hollender, J. Identifying small molecules via high resolution mass spectrometry: Communicating confidence. Environ. Sci. Technol. 2014, 48, 2097–2098. [Google Scholar] [CrossRef]
- Breynaert, A.; Bosscher, D.; Kahnt, A.; Claeys, M.; Cos, P.; Pieters, L.; Hermans, N. Development and Validation of an in vitro Experimental GastroIntestinal Dialysis Model with Colon Phase to Study the Availability and Colonic Metabolisation of Polyphenolic Compounds. Planta Med. 2015, 81, 1075–1083. [Google Scholar] [CrossRef]
- Mortelé, O.; Iturrospe, E.; Breynaert, A.; Verdickt, E.; Xavier, B.B.; Lammens, C.; Malhotra-Kumar, S.; Jorens, P.G.; Pieters, L.; van Nuijs, A.L.; et al. Optimization of an in vitro gut microbiome biotransformation platform with chlorogenic acid as model compound: From fecal sample to biotransformation product identification. J. Pharm. Biomed. Anal. 2019, 175, 112768. [Google Scholar] [CrossRef] [PubMed]
- Peeters, L.; Van der Auwera, A.; Beirnaert, C.; Bijttebier, S.; Laukens, K.; Pieters, L.; Hermans, N.; Foubert, K. Compound Characterization and Metabolic Profile Elucidation after In Vitro Gastrointestinal and Hepatic Biotransformation of an Herniaria hirsuta Extract Using Unbiased Dynamic Metabolomic Data Analysis. Metabolites 2020, 10, 111. [Google Scholar] [CrossRef] [PubMed]
- Biobank Antwerp. BE 71030031000, Biobank Antwerp [BB190007], BBMR-ERIC, Belgian [BIORESOURCE], Antwerp, Belgium.
- Feldman, M.; Cryer, B.; McArthur, K.E.; Huet, B.A.; Lee, E. Effects of aging and gastritis on gastric acid and pepsin secretion in humans: A prospective study. Gastroenterology 1996, 110, 1043–1052. [Google Scholar] [CrossRef] [PubMed]
- Beirnaert, C.; Peeters, L.; Meysman, P.; Bittremieux, W.; Foubert, K.; Custers, D.; Van der Auwera, A.; Cuykx, M.; Pieters, L.; Covaci, A.; et al. Using Expert Driven Machine Learning to Enhance Dynamic Metabolomics Data Analysis. Metabolites 2019, 9, 54. [Google Scholar] [CrossRef]
- Peeters, L.; Beirnaert, C.; Van der Auwera, A.; Bijttebier, S.; De Bruyne, T.; Laukens, K.; Pieters, L.; Hermans, N.; Foubert, K. Revelation of the metabolic pathway of hederacoside C using an innovative data analysis strategy for dynamic multiclass biotransformation experiments. J. Chromatogr. A 2019, 1595, 240–247. [Google Scholar] [CrossRef]
- Djoumbou-Feunang, Y.; Fiamoncini, J.; Gil-de-la-Fuente, A.; Greiner, R.; Manach, C.; Wishart, D.S. BioTransformer: A comprehensive computational tool for small molecule metabolism prediction and metabolite identification. J. Cheminform 2019, 11, 2. [Google Scholar] [CrossRef]
- Wishart, D.S.; Tian, S.; Allen, D.; Oler, E.; Peters, H.; Lui, V.W.; Gautam, V.; Djoumbou-Feunang, Y.; Greiner, R.; Metz, O.T. BioTransformer 3.0—A web server for accurately predicting metabolic transformation products. Nucleic Acids Res. 2022, 50, W115. [Google Scholar] [CrossRef]
- ChemAxon. Marvin 2023, Budapest, Hungary. Available online: http://www.chemaxon.com (accessed on 5 December 2024).
- Weyns, A.-S.; Ahannach, S.; Van Rillaer, T.; De Bruyne, T.; Lebeer, S.; Hermans, N. Enhancing pediatric attention-deficit hyperactivity disorder treatment: Exploring the gut microbiota effects of French maritime pine bark extract and methylphenidate intervention. Front. Nutr. 2024, 11, 1422253. [Google Scholar] [CrossRef]
- Parks, D.H.; Chuvochina, M.; Rinke, C.; Mussig, A.J.; Chaumeil, P.A.; Hugenholtz, P. GTDB: An ongoing census of bacterial and archaeal diversity through a phylogenetically consistent, rank normalized and complete genome-based taxonomy. Nucleic Acids Res. 2022, 50, D785–D794. [Google Scholar] [CrossRef]
- Yilmaz, P.; Parfrey, L.W.; Yarza, P.; Gerken, J.; Pruesse, E.; Quast, C.; Schweer, T.; Peplies, J.; Ludwig, W.; Glöckner, F.O. The SILVA and “All-species Living Tree Project (LTP)” taxonomic frameworks. Nucleic Acids Res. 2014, 42, D643–D648. [Google Scholar] [CrossRef]
- Borchers, H.W. Practical Numerical Math Functions [R Package Pracma Version 2.4.4]; CRAN Package Pracma. 2023. Available online: https://cran.r-project.org/web/packages/pracma/index.html (accessed on 5 December 2024). [CrossRef]
- Storey, J.; Bass, A.; Dabney, A.; Robinson, D. Qvalue: Q-Value Estimation for False Discovery Rate Control; Version 2.36.0. Available online: http://github.com/jdstorey/qvalue (accessed on 7 October 2024).
- R Core Team. R: A Language and Environment for Statistical Computing; R: The R Project for Statistical Computing: Vienna, Austria, 2023; Available online: https://www.r-project.org/ (accessed on 24 September 2024).
- Wittouck, S. Tidyamplicons: Functions to Manipulate and Visualize Amplicon Abundance Data. Available online: https://github.com/SWittouck/tidyamplicons (accessed on 15 February 2024).
- Kanakis, P.; Termentzi, A.; Michel, T.; Gikas, E.; Halabalaki, M.; Skaltsounis, A.L. From Olive Drupes to Olive Oil. An HPLC-Orbitrap-based Qualitative and Quantitative Exploration of Olive Key Metabolites. Planta Med. 2013, 79, 1576–1587. [Google Scholar] [CrossRef] [PubMed]
- Wishart, D.S.; Guo, A.; Oler, E.; Wang, F.; Anjum, A.; Peters, H.; Dizon, R.; Sayeeda, Z.; Tian, S.; Lee, B.L.; et al. HMDB 5.0, the Human Metabolome Database for 2022. Nucleic Acids Res. 2022, 50, D622. [Google Scholar] [CrossRef] [PubMed]
- Garcia-Aloy, M.; Groff, N.; Masuero, D.; Nisi, M.; Franco, A.; Battelini, F.; Vrhovsek, U.; Mattivi, F. Exploratory Analysis of Commercial Olive-Based Dietary Supplements Using Untargeted and Targeted Metabolomics. Metabolites 2020, 10, 516. [Google Scholar] [CrossRef]
- Talhaoui, N.; Gómez-Caravaca, A.M.; León, L.; De la Rosa, R.; Segura-Carretero, A.; Fernández-Gutiérrez, A. Determination of phenolic compounds of ‘Sikitita’ olive leaves by HPLC-DAD-TOF-MS. Comparison with its parents ‘Arbequina’ and ‘Picual’ olive leaves. LWT–Food Sci. Technol. 2014, 58, 28–34. [Google Scholar] [CrossRef]
- Horai, H.; Arita, M.; Kanaya, S.; Nihei, Y.; Ikeda, T.; Suwa, K.; Ojima, Y.; Tanaka, K.; Tanaka, S.; Aoshima, K.; et al. MassBank: A public repository for sharing mass spectral data for life sciences. J. Mass. Spectrom. 2010, 45, 703–714. [Google Scholar] [CrossRef]
- Oberacher, H.; Sasse, M.; Antignac, J.-P.; Guitton, Y.; Debrauwer, L.; Jamin, E.L.; Schulze, T.; Krauss, M.; Covaci, A.; Caballero-Casero, N.; et al. A European proposal for quality control and quality assurance of tandem mass spectral libraries. Environ. Sci. Eur. 2020, 32, 43. [Google Scholar] [CrossRef]
- Castillo-Luna, A.; Ledesma-Escobar, C.A.; Gómez-Díaz, R.; Priego-Capote, F. The secoiridoid profile of virgin olive oil conditions phenolic metabolism. Food Chem. 2022, 395, 133585. [Google Scholar] [CrossRef]
- Bongiorno, D.; Di Stefano, V.; Indelicato, S.; Avellone, G.; Ceraulo, L. Bio-phenols determination in olive oils: Recent mass spectrometry approaches. Mass. Spectrom. Rev. 2023, 42, 1462–1502. [Google Scholar] [CrossRef]
- Kundisová, I.; Juan, M.E.; Planas, J.M. Simultaneous Determination of Phenolic Compounds in Plasma by LC-ESI-MS/MS and Their Bioavailability after the Ingestion of Table Olives. J. Agric. Food Chem. 2020, 68, 10213–10222. [Google Scholar] [CrossRef]
- Leouifoudi, I.; Harnafi, H.; Zyad, A. Olive Mill Waste Extracts: Polyphenols Content, Antioxidant, and Antimicrobial Activities. Adv. Pharmacol. Sci. 2015, 2015, 714138. [Google Scholar] [CrossRef]
- Moreno-González, R.; Juan, M.E.; Planas, J.M. Table olive polyphenols: A simultaneous determination by liquid chromatography–mass spectrometry. J. Chromatogr. A 2020, 1609, 460434. [Google Scholar] [CrossRef] [PubMed]
- Quirantes-Piné, R.; Lozano-Sánchez, J.; Herrero, M.; Ibáñez, E.; Segura-Carretero, A.; Fernández-Gutiérrez, A. HPLC–ESI–QTOF–MS as a Powerful Analytical Tool for Characterising Phenolic Compounds in Olive-leaf Extracts. Phytochem. Anal. 2013, 24, 213–223. [Google Scholar] [CrossRef]
- Levi, C.S.; Lesmes, U. Bi-compartmental elderly or adult dynamic digestion models applied to interrogate protein digestibility. Food Funct. 2014, 5, 2402–2409. [Google Scholar] [CrossRef] [PubMed]
- Russell, T.L.; Berardi, R.R.; Barnett, J.L.; Dermentzoglou, L.C.; Jarvenpaa, K.M.; Schmaltz, S.P.; Dressman, J.B. Upper Gastrointestinal pH in Seventy-Nine Healthy, Elderly, North American Men and Women. Pharm. Res. An. Off. J. Am. Assoc. Pharm. Sci. 1993, 10, 187–196. [Google Scholar] [CrossRef]
- Soenen, S.; Rayner, C.K.; Horowitz, M.; Jones, K.L. Gastric Emptying in the Elderly. Clin. Geriatr. Med. 2015, 31, 339–353. [Google Scholar] [CrossRef]
- Glaser, J.; Stienecker, K. Does aging influence pancreatic response in the ultrasound secretin test by impairing hydrokinetic exocrine function or sphincter of Oddi motor function? Dig. Liver Dis. 2000, 32, 25–28. [Google Scholar] [CrossRef]
- Gullo, L.; Ventrucci, M.; Naldoni, P.; Pezzilli, R. Aging and Exocrine Pancreatic Function. J. Am. Geriatr. Soc. 1986, 34, 790–792. [Google Scholar] [CrossRef]
- Vellas, B.; Balas, D.; Moreau, J.; Bouisson, M.; Senegas-Balas, F.; Guidet, M.; Ribet, A. Exocrine pancreatic secretion in the elderly. Int. J. Pancreatol. 1988, 3, 497–502. [Google Scholar] [CrossRef]
- Einarsson, K.; Nilsell, K.; Leijd, B.; Angelin, B. Influence of Age on Secretion of Cholesterol and Synthesis of Bile Acids by the Liver. N. Engl. J. Med. 1985, 313, 277–282. [Google Scholar] [CrossRef]
- Salemans, J.M.J.I.; Nagengast, F.M.; Tangerman, A.; VAN Schaik, A.; Hopman, W.P.M.; DE Haan, A.F.J.; Jansen, J.B.M.J. Effect of ageing on postprandial conjugated and unconjugated serum bile acid levels in healthy subjects. Eur. J. Clin. Investig. 1993, 23, 192–198. [Google Scholar] [CrossRef]
- Bermúdez-Soto, M.J.; Tomás-Barberán, F.A.; García-Conesa, M.T. Stability of polyphenols in chokeberry (Aronia melanocarpa) subjected to in vitro gastric and pancreatic digestion. Food Chem. 2007, 102, 865–874. [Google Scholar] [CrossRef]
- Gayoso, L.; Claerbout, A.S.; Calvo, M.I.; Cavero, R.Y.; Astiasarán, I.; Ansorena, D. Bioaccessibility of rutin, caffeic acid and rosmarinic acid: Influence of the in vitro gastrointestinal digestion models. J. Funct. Foods 2016, 26, 428–438. [Google Scholar] [CrossRef]
- Clarkston, W.K.; Pantano, M.M.; Morley, J.E.; Horowitz, M.; Littlefield, J.M.; Burton, F.R. Evidence for the anorexia of aging: Gastrointestinal transit and hunger in healthy elderly vs. young adults. Am. J. Physiol. Integr. Comp. Physiol. 1997, 272, R243–R248. [Google Scholar] [CrossRef] [PubMed]
- O’Mahony, D.; O’Leary, P.; Quigley, E.M.M. Aging and Intestinal Motility. Drugs Aging 2002, 19, 515–527. [Google Scholar] [CrossRef]
- Menard, O.; Lesmes, U.; Shani-Levi, C.S.; Calahorra, A.A.; Lavoisier, A.; Morzel, M.; Rieder, A.; Feron, G.; Nebbia, S.; Mashiah, L.; et al. Static in vitro digestion model adapted to the general older adult population: An INFOGEST international consensus. Food Funct. 2023, 14, 4569–4582. [Google Scholar] [CrossRef]
- Wojtunik-Kulesza, K.; Oniszczuk, A.; Oniszczuk, T.; Combrzyński, M.; Nowakowska, D.; Matwijczuk, A. Influence of In Vitro Digestion on Composition, Bioaccessibility and Antioxidant Activity of Food Polyphenols—A Non-Systematic Review. Nutrients 2020, 12, 1401. [Google Scholar] [CrossRef]
- Lockyer, S.; Yaqoob, P.; Spencer, J.P.E.; Rowland, I. Olive leaf phenolics and cardiovascular risk reduction: Physiological effects and mechanisms of action. Nutr. Aging 2012, 1, 125–140. [Google Scholar] [CrossRef]
- Özcan, M.M.; Matthäus, B. A review: Benefit and bioactive properties of olive (Olea europaea L.) leaves. Eur. Food Res. Technol. 2016, 243, 89–99. [Google Scholar] [CrossRef]
- Vogel, P.; Machado, I.K.; Garavaglia, J.; Zani, V.T.; de Souza, D.; Dal Bosco, S.M. Polyphenols benefits of olive leaf (Olea europaea L.) to human health. Nutr. Hosp. 2014, 31, 1427–1433. [Google Scholar] [CrossRef]
- Orozco-Solano, M.I.; Ferreiro-Vera, C.; Priego-Capote, F.; Luque de Castro, M.D. Automated method for determination of olive oil phenols and metabolites in human plasma and application in intervention studies. J. Chromatogr. A 2012, 1258, 108–116. [Google Scholar] [CrossRef]
- Pastor, A.; Rodríguez-Morató, J.; Olesti, E.; Pujadas, M.; Pérez-Mañá, C.; Khymenets, O.; Fitó, M.; Covas, M.-I.; Solá, R.; Motilva, M.-J.; et al. Analysis of free hydroxytyrosol in human plasma following the administration of olive oil. J. Chromatogr. A 2016, 1437, 183–190. [Google Scholar] [CrossRef] [PubMed]
- Jaganath, I.B.; Mullen, W.; Lean, M.E.J.; Edwards, C.A.; Crozier, A. In vitro catabolism of rutin by human fecal bacteria and the antioxidant capacity of its catabolites. Free Radic. Biol. Med. 2009, 47, 1180–1189. [Google Scholar] [CrossRef] [PubMed]
- Chemler, J.A.; Leonard, E.; Koffas, M.A.G. Flavonoid Biotransformations in Microorganisms. In Anthocyanins; Springer: New York, NY, USA, 2008; pp. 191–255. [Google Scholar] [CrossRef]
- Braune, A.; Gütschow, M.; Engst, W.; Blaut, M. Degradation of Quercetin and Luteolin by Eubacterium ramulus. Appl. Environ. Microbiol. 2001, 67, 5558–5567. [Google Scholar] [CrossRef]
- Bokkenheuser, V.D.; Shackleton, C.H.L.; Winter, J. Hydrolysis of dietary flavonoid glycosides by strains of intestinal Bacteroides from humans. Biochem. J. 1987, 248, 953–956. [Google Scholar] [CrossRef] [PubMed]
- Braune, A.; Blaut, M. Intestinal bacterium Eubacterium cellulosolvens deglycosylates flavonoid C- and O-glucosides. Appl. Environ. Microbiol. 2012, 78, 8151–8153. [Google Scholar] [CrossRef]
- Schneider, H.; Schwiertz, A.; Collins, M.D.; Blaut, M. Anaerobic transformation of quercetin-3-glucoside by bacteria from the human intestinal tract. Arch. Microbiol. 1999, 171, 81–91. [Google Scholar] [CrossRef]
- Marotti, I.; Bonetti, A.; Biavati, B.; Catizone, P.; Dinelli, G. Biotransformation of common bean (Phaseolus vulgaris L.) flavonoid glycosides by bifidobacterium species from human intestinal origin. J. Agric. Food Chem. 2007, 55, 3913–3919. [Google Scholar] [CrossRef]
- Schneider, H.; Blaut, M. Anaerobic degradation of flavonoids by Eubacterium ramulus. Arch. Microbiol. 2000, 173, 71–75. [Google Scholar] [CrossRef]
- Schoefer, L.; Mohan, R.; Schwiertz, A.; Braune, A.; Blaut, M. Anaerobic degradation of flavonoids by Clostridium orbiscindens. Appl. Environ. Microbiol. 2003, 69, 5849–5854. [Google Scholar] [CrossRef]
- Winter, J.; Popoff, M.R.; Grimont, P.; Bokkenheuser, V.D. Clostridium orbiscindens sp. nov., a human intestinal bacterium capable of cleaving the flavonoid C-ring. Int. J. Syst. Bacteriol. 1991, 41, 355–357. [Google Scholar] [CrossRef]
- Hou, K.; Wu, Z.-X.; Chen, X.-Y.; Wang, J.-Q.; Zhang, D.; Xiao, C.; Zhu, D.; Koya, J.B.; Wei, L.; Li, J.; et al. Microbiota in health and diseases. Signal Transduct. Target. Ther. 2022, 7, 135. [Google Scholar] [CrossRef] [PubMed]
- Ghosh, T.S.; Shanahan, F.; O’Toole, P.W. The gut microbiome as a modulator of healthy ageing. Nat. Rev. Gastroenterol. Hepatol. 2022, 19, 565–584. [Google Scholar] [CrossRef] [PubMed]
- Ishiguro, E.; Haskey, N.; Campbell, K. Gut Microbiota Throughout the Lifespan. In Gut Microbiota; Academic Press: Cambridge, MA, USA, 2023; pp. 61–82. [Google Scholar] [CrossRef]
- Biagi, E.; Franceschi, C.; Rampelli, S.; Severgnini, M.; Ostan, R.; Turroni, S.; Consolandi, C.; Quercia, S.; Scurti, M.; Monti, D.; et al. Gut Microbiota and Extreme Longevity. Curr. Biol. 2016, 26, 1480–1485. [Google Scholar] [CrossRef] [PubMed]
- Yeo, S.; Park, H.; Kim, H.; Ryu, C.B.; Huh, C.S. Selenobaculum gbiensis gen. nov. sp. nov., a new bacterium isolated from the gut microbiota of a patient with Crohn’s disease. Sci. Rep. 2023, 13, 14835. [Google Scholar] [CrossRef]
- Ramos, P.; Santos, S.A.; Guerra, Â.R.; Guerreiro, O.; Felício, L.; Jerónimo, E.; Silvestre, A.J.; Neto, C.P.; Duarte, M. Valorization of olive mill residues: Antioxidant and breast cancer antiproliferative activities of hydroxytyrosol-rich extracts derived from olive oil by-products. Ind. Crops Prod. 2013, 46, 359–368. [Google Scholar] [CrossRef]
- Hong, Y.; Wang, Z.; Barrow, C.J.; Dunshea, F.R.; Suleria, H.A.R. High-Throughput Screening and Characterization of Phenolic Compounds in Stone Fruits Waste by LC-ESI-QTOF-MS/MS and Their Potential Antioxidant Activities. Antioxidants 2021, 10, 234. [Google Scholar] [CrossRef]












| Compound | Rt (min) | Molecular Formula | m/z Experimental | m/z Calculated | Error (ppm) | Fragments | CL | References | |
|---|---|---|---|---|---|---|---|---|---|
| 1 | Hydroxytyrosol | 2.47 | C8H10O3 | 153.0547 | 153.0551 | −2.61 | I | ||
| 2 | Oleoside-11-methyl ester | 5.43 | C17H24O11 | 403.1238 | 403.1240 | −0.50 | 223.0602; 179.0550 | II | [39,40] |
| 3 | Elenolic acid | 6.75 | C11H14O6 | 241.0708 | 241.0712 | −1.66 | III | ||
| 4 | Elenolic acid dialdehyde | 7.11 | C11H16O6 | 243.0862 | 243.0869 | −2.88 | III | ||
| 5 | Hydroxylated demethyl derivative of oleuropein | 7.22 | C23H32O15 | 547.165 | 547.1663 | −2.38 | III | ||
| 6 | Hydroxylated derivative of oleuropein | 8.81 | C25H30O14 | 553.1557 | 553.1557 | 0.00 | 403,1246; 223.0611 | III | |
| 7 | Oleuropein | 9.41 | C25H32O13 | 539.1764 | 539.1764 | 0.00 | 403,1246; 377.1243; 307.0823; 275.0909; 223.0611 | I | [39,40] |
| 8 | Oleuropein aglycone | 10.47 | C19H22O8 | 377.1229 | 377.1236 | −1.86 | 241.0707; 195.0650 | II | [39,40] |
| 9 | Derivative of oleuropein aglycone | 10.67 | C19H24O8 | 379.1383 | 379.1393 | −2.64 | 243.0883 | III |
Disclaimer/Publisher’s Note: The statements, opinions and data contained in all publications are solely those of the individual author(s) and contributor(s) and not of MDPI and/or the editor(s). MDPI and/or the editor(s) disclaim responsibility for any injury to people or property resulting from any ideas, methods, instructions or products referred to in the content. |
© 2025 by the authors. Licensee MDPI, Basel, Switzerland. This article is an open access article distributed under the terms and conditions of the Creative Commons Attribution (CC BY) license (https://creativecommons.org/licenses/by/4.0/).
Share and Cite
Lauwers, S.; Weyns, A.-S.; Breynaert, A.; Van Rillaer, T.; Van Huynegem, V.; Fransen, E.; Bittremieux, W.; Lebeer, S.; Tuenter, E.; Hermans, N. Comparison of In Vitro Biotransformation of Olive Polyphenols Between Healthy Young and Elderly. Metabolites 2025, 15, 26. https://doi.org/10.3390/metabo15010026
Lauwers S, Weyns A-S, Breynaert A, Van Rillaer T, Van Huynegem V, Fransen E, Bittremieux W, Lebeer S, Tuenter E, Hermans N. Comparison of In Vitro Biotransformation of Olive Polyphenols Between Healthy Young and Elderly. Metabolites. 2025; 15(1):26. https://doi.org/10.3390/metabo15010026
Chicago/Turabian StyleLauwers, Stef, Anne-Sophie Weyns, Annelies Breynaert, Tim Van Rillaer, Valerie Van Huynegem, Erik Fransen, Wout Bittremieux, Sarah Lebeer, Emmy Tuenter, and Nina Hermans. 2025. "Comparison of In Vitro Biotransformation of Olive Polyphenols Between Healthy Young and Elderly" Metabolites 15, no. 1: 26. https://doi.org/10.3390/metabo15010026
APA StyleLauwers, S., Weyns, A.-S., Breynaert, A., Van Rillaer, T., Van Huynegem, V., Fransen, E., Bittremieux, W., Lebeer, S., Tuenter, E., & Hermans, N. (2025). Comparison of In Vitro Biotransformation of Olive Polyphenols Between Healthy Young and Elderly. Metabolites, 15(1), 26. https://doi.org/10.3390/metabo15010026

