Effect of Arbuscular Mycorrhizal Fungi and Rock Phosphate on Growth, Physiology, and Biochemistry of Carob under Water Stress and after Rehydration in Vermicompost-Amended Soil
Abstract
1. Introduction
2. Materials and Methods
2.1. Biological Materials, Application of Fertilizers, and Experimental Design
2.2. Carob Growth and Root Mycorrhizal Colonization Measurement
2.3. Phosphorus Content Measurement
2.4. Measuring Physiological Performance
2.5. Measurement of Leaves Biochemical Traits
2.6. Statistical Analysis
3. Results
3.1. Mycorrhizal Colonization and Plant Growth Performance
3.2. Phosphorus Uptake Efficiency of Carob Seedlings under Drought and Recovery Regimes
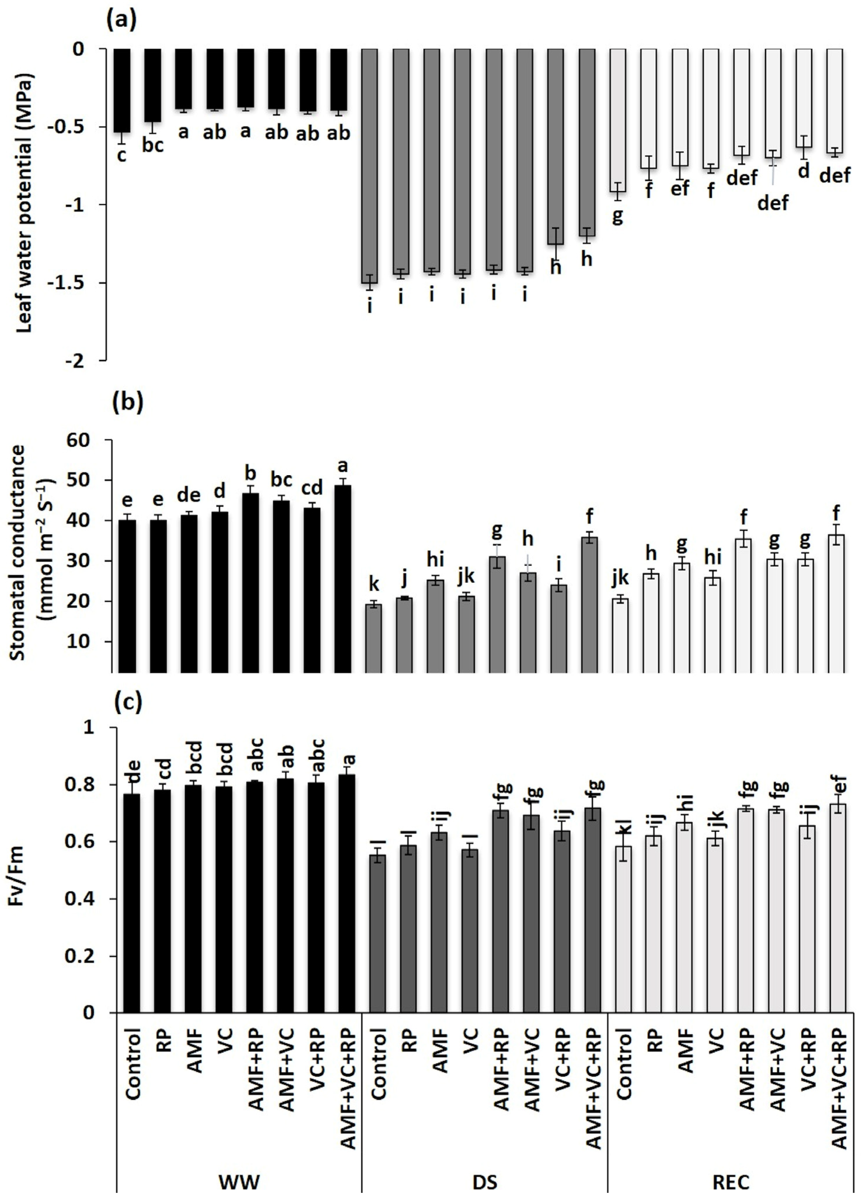
3.3. Water Potential and Physiological Efficiency of Carob Seedlings under Drought and Recovery Regimes
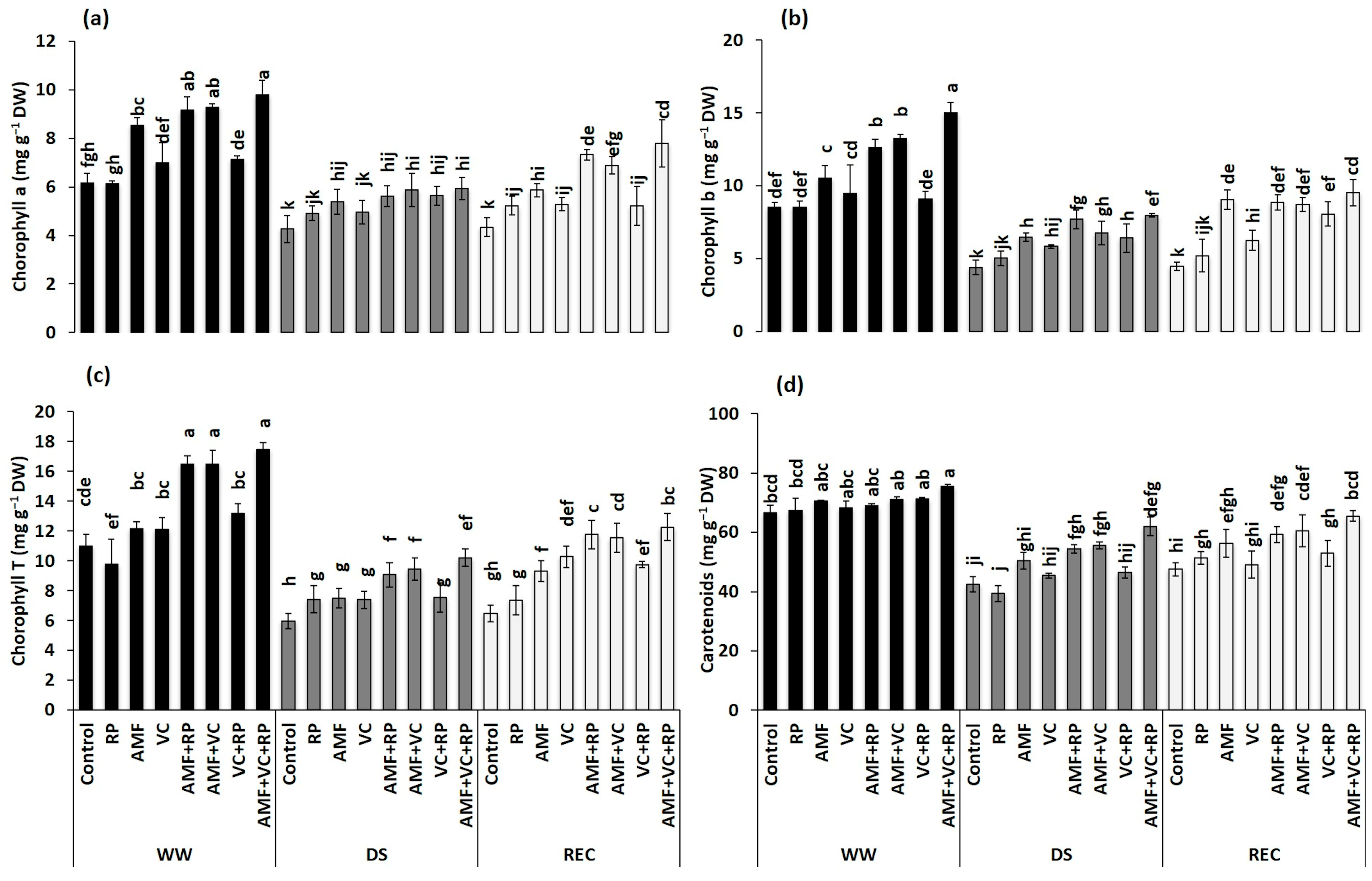
3.4. Photosynthetic Pigment Content in Carob Seedlings under Drought and Recovery Regimes
3.5. Protein and Total Soluble Sugar Contents in Carob Seedlings under Drought and Recovery Regimes
3.6. Hydrogen Peroxide and Malondialdehyde Contents in Carob Seedlings under Drought and Recovery Regimes
3.7. Antioxidant Enzymes Activity in Carob Seedlings under Drought and Recovery Regimes
4. Discussion
5. Conclusions
Author Contributions
Funding
Institutional Review Board Statement
Informed Consent Statement
Data Availability Statement
Conflicts of Interest
References
- Shirinbayan, S.; Khosravi, H.; Malakouti, M.J. Alleviation of drought stress in maize (Zea mays) by inoculation with Azotobacter strains isolated from semi-arid regions. Appl. Soil Ecol. 2019, 133, 138–145. [Google Scholar] [CrossRef]
- Meddich, A.; Jaiti, F.; Bourzik, W.; El Asli, A.; Hafidi, M. Use of mycorrhizal fungi as a strategy for improving the drought tolerance in date palm (Phoenix dactylifera). Sci. Hortic. 2015, 192, 468–474. [Google Scholar] [CrossRef]
- Yooyongwech, S.; Samphumphuang, T.; Tisarum, R.; Theerawitaya, C.; Cha-Um, S. Arbuscular mycorrhizal fungi (AMF) improved water deficit tolerance in two different sweet potato genotypes involves osmotic adjustments via soluble sugar and free proline. Sci. Hortic. 2016, 198, 107–117. [Google Scholar] [CrossRef]
- Anli, M.; Baslam, M.; Tahiri, A.; Raklami, A.; Symanczik, S.; Boutasknit, A.; Ait-El-Mokhtar, M.; Ben-Laouane, R.; Toubali, S.; Ait Rahou, Y.; et al. Biofertilizers as strategies to improve photosynthetic apparatus, growth, and drought stress tolerance in the date palm. Front. Plant Sci. 2020, 11, 1560. [Google Scholar] [CrossRef]
- Rady, M.M.; Belal, H.E.E.; Gadallah, F.M.; Semida, W.M. Selenium application in two methods promotes drought tolerance in Solanum lycopersicum plant by inducing the antioxidant defense system. Sci. Hortic. 2020, 266, 109290. [Google Scholar] [CrossRef]
- Augé, R.M.; Toler, H.D.; Saxton, A.M. Mycorrhizal stimulation of leaf gas exchange in relation to root colonization, shoot size, leaf phosphorus and nitrogen: A quantitative analysis of the literature using meta-regression. Front. Plant Sci. 2016, 7, 182198. [Google Scholar] [CrossRef]
- Mo, Y.; Wang, Y.; Yang, R.; Zheng, J.; Liu, C.; Li, H.; Ma, J.; Zhang, Y.; Wei, C.; Zhang, X. Regulation of plant growth, photosynthesis, antioxidation and osmosis by an arbuscular mycorrhizal fungus in watermelon seedlings under well-watered and drought conditions. Front. Plant Sci. 2016, 7, 644. [Google Scholar] [CrossRef]
- Barros, V.; Frosi, G.; Santos, M.; Ramos, D.G.; Falcão, H.M.; Santos, M.G. Arbuscular mycorrhizal fungi improve photosynthetic energy use efficiency and decrease foliar construction cost under recurrent water deficit in woody evergreen species. Plant Physiol. Biochem. 2018, 127, 469–477. [Google Scholar] [CrossRef] [PubMed]
- Sun, P.; Wahbi, S.; Tsonev, T.; Haworth, M.; Liu, S.; Centritto, M. On the use of leaf spectral indices to assess water status and photosynthetic limitations in Olea europaea L. during water-stress and recovery. PLoS ONE 2014, 9, e105165. [Google Scholar] [CrossRef]
- Saja-Garbarz, D.; Ostrowska, A.; Kaczanowska, K.; Janowiak, F. Accumulation of silicon and changes in water balance under drought stress in Brassica napus var. napus L. Plants 2021, 10, 280. [Google Scholar] [CrossRef]
- Ortuño, M.F.; Lorente, B.; Hernández, J.A.; Sánchez-Blanco, M.J. Mycorrhizal inoculation on compost substrate affects nutritional balance, water uptake and photosynthetic efficiency in Cistus albidus plants submitted to water stress. Braz. J. Bot. 2018, 41, 299–310. [Google Scholar] [CrossRef]
- Boutasknit, A.; Baslam, M.; Ait-El-Mokhtar, M.; Anli, M.; Ben-Laouane, R.; Douira, A.; El Modafar, C.; Mitsui, T.; Wahbi, S.; Meddich, A. Arbuscular mycorrhizal fungi mediate drought tolerance and recovery in two contrasting carob (Ceratonia siliqua L.) ecotypes by regulating stomatal, water relations, and (in)organic adjustments. Plants 2020, 9, 80. [Google Scholar] [CrossRef] [PubMed]
- Mahdad, Y.M.; Gaouar, S.B.S. Origin, distribution and domestication of the carob tree (Ceratonia siliqua L.). Turk. J. Bot. 2023, 47, 89–96. [Google Scholar] [CrossRef]
- Correia, P.J.; Gama, F.; Pestana, M.; Martins-Loução, M.A. Tolerance of young (Ceratonia siliqua L.) carob rootstock to NaCl. Agric. Water Manag. 2010, 97, 910–916. [Google Scholar] [CrossRef]
- Ozturk, M.; Dogan, Y.; Sakcali, M.S.; Doulis, A.; Karam, F. Ecophysiological responses of some maquis (Ceratonia siliqua L., Olea oleaster Hoffm. & Link, Pistacia lentiscus and Quercus coccifera L.) plant species to drought in the east Mediterranean ecosystem. J. Environ. Biol. 2010, 31, 233–245. [Google Scholar]
- Goulas, V.; Stylos, E.; Chatziathanasiadou, M.V.; Mavromoustakos, T.; Tzakos, A.G. Functional components of carob fruit: Linking the chemical and biological space. Int. J. Mol. Sci. 2016, 17, 1875. [Google Scholar] [CrossRef] [PubMed]
- Papaefstathiou, E.; Agapiou, A.; Giannopoulos, S.; Kokkinofta, R. Nutritional characterization of carobs and traditional carob products. Food Sci. Nutr. 2018, 6, 2151–2161. [Google Scholar] [CrossRef]
- Krokou, A.; Kokkinofta, R.; Stylianou, M.; Agapiou, A. Decoding carob flavor aroma using HS–SPME–GC–MS and chemometrics. Eur. Food Res. Technol. 2020, 246, 1419–1428. [Google Scholar] [CrossRef]
- Lakkab, I.; El Hajaji, H.; Lachkar, N.; Bali, B.E.; Lachkar, M.; Ciobica, A. Phytochemistry, bioactivity: Suggestion of Ceratonia siliqua L. as neurodegenerative disease therapy. J. Complement. Integr. Med. 2018, 15, 2–10. [Google Scholar] [CrossRef]
- Roseiro, L.B.; Tavares, C.S.; Roseiro, J.C.; Rauter, A.P. Antioxidants from aqueous decoction of carob pods biomass (Ceretonia siliqua L.): Optimisation using response surface methodology and phenolic profile by capillary electrophoresis. Ind. Crops Prod. 2013, 44, 119–126. [Google Scholar] [CrossRef]
- Rtibi, K.; Selmi, S.; Grami, D.; Amri, M.; Eto, B.; El-benna, J.; Sebai, H.; Marzouki, L. Chemical constituents and pharmacological actions of carob pods and leaves (Ceratonia siliqua L.) on the gastrointestinal tract: A review. Biomed. Pharmacother. 2017, 93, 522–528. [Google Scholar] [CrossRef] [PubMed]
- Ayache, S.B.; Reis, F.S.; Dias, M.I.; Pereira, C.; Glamočlija, J.; Soković, M.; Saafi, E.B.; Ferreira, I.C.; Barros, L.; Achour, L. Chemical characterization of carob seeds (Ceratonia siliqua L.) and use of different extraction techniques to promote its bioactivity. Food Chem. 2021, 351, 129263. [Google Scholar] [CrossRef] [PubMed]
- Kohler, J.; Caravaca, F.; Azcón, R.; Díaz, G.; Roldán, A. The combination of compost addition and arbuscular mycorrhizal inoculation produced positive and synergistic effects on the phytomanagement of a semiarid mine tailing. Sci. Total Environ. 2015, 514, 42–48. [Google Scholar] [CrossRef] [PubMed]
- Duo, L.A.; Liu, C.X.; Zhao, S.L. Alleviation of drought stress in turfgrass by the combined application of nano-compost and microbes from compost. Russ. J. Plant Physiol. 2018, 65, 419–426. [Google Scholar] [CrossRef]
- Ait-El-Mokhtar, M.; Fakhech, A.; Anli, M.; Ben-Laouane, R.; Boutasknit, A.; Wahbi, S.; Meddich, A. Infectivity of the palm groves arbuscular mycorrhizal fungi under arid and semi-arid climate and its edaphic determinants towards efficient ecological restoration. Rhizosphere 2020, 15, 100220. [Google Scholar] [CrossRef]
- Ben-Laouane, R.; Baslam, M.; Ait-El-mokhtar, M.; Anli, M.; Boutasknit, A.; Ait-Rahou, Y.; Toubali, S.; Mitsui, T.; Oufdou, K.; Wahbi, S.; et al. Potential of native arbuscular mycorrhizal fungi, rhizobia, and/or green compost as alfalfa (Medicago sativa) enhancers under salinity. Microorganisms 2020, 8, 1695. [Google Scholar] [CrossRef] [PubMed]
- Schröder, R.; Mohri, M.; Kiehl, K. AMF inoculation of green roof substrate improves plant performance but reduces drought resistance of native dry grassland species. Ecol. Eng. 2019, 139, 105583. [Google Scholar] [CrossRef]
- Tian, Y.H.; Lei, Y.B.; Zheng, Y.L.; Cai, Z.Q. Synergistic effect of colonization with arbuscular mycorrhizal fungi improves growth and drought tolerance of Plukenetia volubilis seedlings. Acta Physiol. Plant. 2013, 35, 687–696. [Google Scholar] [CrossRef]
- Essahibi, A.; Benhiba, L.; Babram, M.A.; Ghoulam, C.; Qaddoury, A. Influence of arbuscular mycorrhizal fungi on the functional mechanisms associated with drought tolerance in carob (Ceratonia siliqua L.). Trees 2018, 32, 87–97. [Google Scholar] [CrossRef]
- Quiroga, G.; Erice, G.; Aroca, R.; Zamarreño, Á.M.; García-Mina, J.M.; Ruiz-Lozano, J.M. Radial water transport in arbuscular mycorrhizal maize plants under drought stress conditions is affected by indole-acetic acid (IAA) application. J. Plant Physiol. 2020, 246–247, 153115. [Google Scholar] [CrossRef]
- Quiroga, G.; Erice, G.; Aroca, R.; Chaumont, F.; Ruiz-Lozano, J.M. Contribution of the arbuscular mycorrhizal symbiosis to the regulation of radial root water transport in maize plants under water deficit. Environ. Exp. Bot. 2019, 167, 103821. [Google Scholar] [CrossRef]
- Boutasknit, A.; Anli, M.; Tahiri, A.; Raklami, A.; Ait-El-Mokhta, M.; Ben-Laouane, R.; Ait Rahou, Y.; Boutaj, H.; Oufdou, K.; Wahbi, S.; et al. Potential effect of horse manure-green waste and olive pomace-green waste composts on physiology and yield of garlic (Allium sativum L.) and soil fertility. Gesunde Pflanzen 2020, 72, 285–295. [Google Scholar] [CrossRef]
- Lahbouki, S.; Ben-Laouane, R.; Anli, M.; Boutasknit, A.; Ait-Rahou, Y.; Ait-El-Mokhtar, M.; El Gabardi, S.; Douira, A.; Wahbi, S.; Outzourhit, A.; et al. Arbuscular mycorrhizal fungi and/or organic amendment enhance the tolerance of prickly pear (Opuntia ficus-indica) under drought stress. J. Arid Environ. 2022, 199, 104703. [Google Scholar] [CrossRef]
- Benaffari, W.; Boutasknit, A.; Anli, M.; Ait-El-mokhtar, M.; Ait-Rahou, Y.; Ben-Laouane, R.; Ben Ahmed, H.; Mitsui, T.; Baslam, M.; Meddich, A. The native arbuscular mycorrhizal fungi and vermicompost-based organic amendments enhance soil fertility, growth performance, and the drought stress tolerance of Quinoa. Plants 2022, 11, 393. [Google Scholar] [CrossRef] [PubMed]
- Hoang, D.T.T.; Rashtbari, M.; Anh, L.T.; Wang, S.; Tu, D.T.; Hiep, N.V.; Razavi, B.S. Mutualistic interaction between arbuscular mycorrhiza fungi and soybean roots enhances drought resistant through regulating glucose exudation and rhizosphere expansion. Soil Biol. Biochem. 2022, 171, 108728. [Google Scholar] [CrossRef]
- Bechtaoui, N.; Raklami, A.; Benidire, L.; Tahiri, A.I.; Göttfert, M.; Oufdou, K. Effects of PGPR co-inoculation on growth, phosphorus nutrition and phosphatase/phytase activities of faba bean under different phosphorus availability conditions. Pol. J. Environ. Stud. 2020, 29, 1557–1565. [Google Scholar] [CrossRef]
- Igiehon, N.O.; Babalola, O.O. Biofertilizers and sustainable agriculture: Exploring arbuscular mycorrhizal fungi. Appl. Microbiol. Biotechnol. 2017, 101, 4871–4881. [Google Scholar] [CrossRef]
- Rawat, P.; Das, S.; Shankhdhar, D.; Shankhdhar, S.C. Phosphate-solubilizing microorganisms: Mechanism and their role in phosphate solubilization and uptake. J. Soil Sci. Plant Nutr. 2021, 21, 49–68. [Google Scholar] [CrossRef]
- Ahmed, B.; Floc’h, J.B.; Lahrach, Z.; Hijri, M. Phytate and microbial suspension amendments increased soybean growth and shifted microbial community structure. Microorganisms 2021, 9, 1803. [Google Scholar] [CrossRef]
- Wang, Q.; Awasthi, M.K.; Zhao, J.; Ren, X.; Li, R.; Wang, Z.; Wang, M.; Zhang, Z. Improvement of pig manure compost lignocellulose degradation, organic matter humification and compost quality with medical stone. Bioresour. Technol. 2017, 243, 771–777. [Google Scholar] [CrossRef]
- Juntahum, S.; Boonlue, S. Efficiency of arbuscular mycorrhiza fungal inoculation with rock phosphate on soil-available phosphorus, and drought stress, growth and yield of sugarcane under field conditions. Int. Sugar J. 2018, 120, 624–629. [Google Scholar]
- Phillips, J.M.; Hayman, D.S. Improved procedures for clearing roots and staining parasitic and vesicular-arbuscular mycorrhizal fungi for rapid assessment of infection. Trans. Br. Mycol. Soc. 1970, 55, 18–29. [Google Scholar] [CrossRef]
- McGonigle, T.P.; Miller, M.H.; Evans, D.G.; Fairchild, G.L.; Swan, J.A. A new method which gives an objective measure of colonization of roots by vesicular- arbuscular mycorrhizal fungi. New Phytol. 1990, 115, 495–501. [Google Scholar] [CrossRef]
- Olsen, S.; Sommers, L. Phosphorus. Methods of soil analyses, part 2. Chemical and microbiological properties. Agron. Monogr. 1982, 9, 421–422. [Google Scholar]
- Arnon, D.I. Copper enzymes in isolated chloroplasts. polyphenoloxidase in Beta vulgaris. Plant Physiol. 1949, 24, 1–15. [Google Scholar] [CrossRef] [PubMed]
- Dubois, M.; Gilles, K.A.; Hamilton, J.K.; Rebers, P.A.; Smith, F. Colorimetric method for determination of sugars and related substances. Anal. Chem. 1956, 28, 350–356. [Google Scholar] [CrossRef]
- Tejera García, N.A.; Olivera, M.; Iribarne, C.; Lluch, C. Partial purification and characterization of a non-specific acid phosphatase in leaves and root nodules of Phaseolus vulgaris. Plant Physiol. Biochem. 2004, 42, 585–591. [Google Scholar] [CrossRef] [PubMed]
- Bradford, M. A Rapid and sensitive method for the quantitation of microgram quantities of protein utilizing the principle of protein-dye binding. Anal. Biochem. 1976, 72, 248–254. [Google Scholar] [CrossRef] [PubMed]
- Beyer, W.F.; Fridovich, I. Assaying for superoxide dismutase activity: Some large consequences of minor changes in conditions. Anal. Biochem. 1987, 161, 559–566. [Google Scholar] [CrossRef]
- Gauillard, F.; Richard-Forget, F.; Nicolas, J. New sprectrophotometric assay for polyphenol oxidase activity. Anal. Biochem. 1993, 215, 59–65. [Google Scholar] [CrossRef]
- Savicka, M.; Škute, N. Effects of high temperature on malondialdehyde content, superoxide production and growth changes in wheat seedlings (Triticum aestivum L.). Ekologija 2010, 56, 26–33. [Google Scholar] [CrossRef]
- Velikova, V.; Yordanov, I.; Edreva, A. Oxidative stress and some antioxidant systems in acid rain-treated bean plants Protective role of exogenous polyamines. Phys. Rev. 2000, 176, 1709–1714. [Google Scholar] [CrossRef]
- Luján Soto, R.; Martínez-Mena, M.; Cuéllar Padilla, M.; de Vente, J. Restoring soil quality of woody agroecosystems in Mediterranean drylands through regenerative agriculture. Agric. Ecosyst. Environ. 2021, 306, 107191. [Google Scholar] [CrossRef]
- Sakcali, M.S.; Ozturk, M. Eco-physiological behaviour of some mediterranean plants as suitable candidates for reclamation of degraded areas. J. Arid Environ. 2004, 57, 141–153. [Google Scholar] [CrossRef]
- Lo Gullo, M.A.; Salleo, S.; Rosso, R.; Trifilò, P. Drought resistance of 2-year-old saplings of Mediterranean forest trees in the field: Relations between water relations, hydraulics and productivity. Plant Soil 2003, 250, 259–272. [Google Scholar] [CrossRef]
- Zia, R.; Nawaz, M.S.; Siddique, M.J.; Hakim, S.; Imran, A. Plant survival under drought stress: Implications, adaptive responses, and integrated rhizosphere management strategy for stress mitigation. Microbiol. Res. 2021, 242, 126626. [Google Scholar] [CrossRef] [PubMed]
- León-Sánchez, L.; Nicolás, E.; Prieto, I.; Nortes, P.; Maestre, F.T.; Querejeta, J.I. Altered leaf elemental composition with climate change is linked to reductions in photosynthesis, growth and survival in a semi-arid shrubland. J. Ecol. 2020, 108, 47–60. [Google Scholar] [CrossRef]
- Boutasknit, A.; Baslam, M.; Ait-El-Mokhtar, M.; Anli, M.; Ben-Laouane, R.; Ait-Rahou, Y.; Mitsui, T.; Douira, A.; El Modafar, C.; Wahbi, S.; et al. Assemblage of indigenous arbuscular mycorrhizal fungi and green waste compost enhance drought stress tolerance in carob (Ceratonia siliqua L.) trees. Sci. Rep. 2021, 11, 22835. [Google Scholar] [CrossRef] [PubMed]
- El-Asri, A.; Aguil, F.A.; Douaik, A.; Ouazzani, A. Study of the effect of irrigation on the growth of carob plants in eastern Morocco: Planting with seedlings a year. J. Anim. Plant Sci. 2013, 19, 2941–2947. [Google Scholar]
- Chandrasekaran, M.; Boopathi, T.; Manivannan, P. Comprehensive assessment of ameliorative effects of amf in alleviating abiotic stress in tomato plants. J. Fungi 2021, 7, 303. [Google Scholar] [CrossRef]
- Aguilar, R.; Carreón-Abud, Y.; López-Carmona, D.; Larsen, J. Organic fertilizers alter the composition of pathogens and arbuscular mycorrhizal fungi in maize roots. J. Phytopathol. 2017, 165, 448–454. [Google Scholar] [CrossRef]
- Soussani, F.E.; Boutasknit, A.; Ben-laouane, R.; Benkirane, R. Arbuscular mycorrhizal fungi and compost-based biostimulants enhance fitness, physiological responses, yield, and quality traits of drought-stressed tomato plants. Plants 2023, 12, 1856. [Google Scholar] [CrossRef] [PubMed]
- Ait Rahou, Y.; Ait-El-Mokhtar, M.; Anli, M.; Boutasknit, A.; Ben-Laouane, R.; Douira, A.; Benkirane, R.; El Modafar, C.; Meddich, A. Use of mycorrhizal fungi and compost for improving the growth and yield of tomato and its resistance to Verticillium dahliae. Arch. Phytopathol. Plant Prot. 2020, 54, 665–690. [Google Scholar] [CrossRef]
- Bona, E.; Lingua, G.; Manassero, P.; Cantamessa, S.; Marsano, F.; Todeschini, V.; Copetta, A.; Agostino, G.D.; Massa, N.; Avidano, L.; et al. AM fungi and PGP pseudomonads increase flowering, fruit production, and vitamin content in strawberry grown at low nitrogen and phosphorus levels. Mycorrhiza 2015, 25, 181–193. [Google Scholar] [CrossRef] [PubMed]
- Akensous, F.Z.; Anli, M.; Meddich, A. Arbuscular mycorrhizal fungi as solubilizers of rock phosphate and compost application improve date palm (Phoenix dactylifera L.)’s resilience to drought. Gesunde Pflanz. 2023, 76, 161–179. [Google Scholar] [CrossRef]
- Medina, A.; Azcón, R. Effectiveness of the application of arbuscular mycorrhiza fungi and organic amendments to improve soil quality and plant performance under stress conditions. J. Soil Sci. Plant Nutr. 2010, 10, 354–372. [Google Scholar] [CrossRef]
- Cavagnaro, T.R. Impacts of compost application on the formation and functioning of arbuscular mycorrhizas. Soil Biol. Biochem. 2014, 78, 38–44. [Google Scholar] [CrossRef]
- Abud-Archila, M.; Luján-Hidalgo, M.C.; López-Pérez, J.M.; Ordaz-Rivera, J.; Ruiz-Valdiviezo, V.M.; Oliva-Llaven, M.Á.; Gutiérrez-Miceli, F.A. Growth and fruit chemical characteristics of blackberry (Rubus Fruticosus) cultivated with vermicompost, Glomus mosseae and phosphate rock. Compos. Sci. Util. 2018, 26, 225–231. [Google Scholar] [CrossRef]
- Ren, W.; Guo, Y.; Han, X.; Sun, Y.; Li, Q.; Wu, B.; Xia, T.; Shen, K.; Wu, P.; He, Y. Indigenous microorganisms offset arbuscular mycorrhizal fungi-induced plant growth and nutrient acquisition through negatively modulating the genes of phosphorus transport and nitrogen assimilation. Front. Plant Sci. 2022, 13, 880181. [Google Scholar] [CrossRef]
- Zhang, K.; Liu, H.; Tao, P.; Chen, H. Comparative proteomic analyses provide new insights into low phosphorus stress responses in maize leaves. PLoS ONE 2014, 9, e98215. [Google Scholar] [CrossRef]
- Paymaneh, Z.; Sarcheshmehpour, M.; Mohammadi, H.; Askari Hesni, M. Vermicompost and/or compost and arbuscular mycorrhizal fungi are conducive to improving the growth of pistachio seedlings to drought stress. Appl. Soil Ecol. 2023, 182, 104717. [Google Scholar] [CrossRef]
- Wu, F.; Dong, M.; Liu, Y.; Ma, X.; An, L.; Young, J.P.W.; Feng, H. Effects of long-term fertilization on AM fungal community structure and Glomalin-related soil protein in the Loess Plateau of China. Plant Soil 2011, 342, 233–247. [Google Scholar] [CrossRef]
- Wu, H.H.; Zou, Y.N.; Rahman, M.M.; Ni, Q.D.; Wu, Q.S. Mycorrhizas alter sucrose and proline metabolism in trifoliate orange exposed to drought stress. Sci. Rep. 2017, 7, 42389. [Google Scholar] [CrossRef] [PubMed]
- Giovannetti, M.; Avio, L.; Sbrana, C. Fungal spore germination and pre-symbiotic mycelial growth–physiological and genetic aspects. In Arbuscular Mycorrhizas: Physiology and Function; Koltai, H., Kapulnik, Y., Eds.; Springer Science & Business Media: Dordrecht, The Netherlands, 2010; pp. 3–32. ISBN 9789048194896. [Google Scholar]
- Ohsowski, B.M.; Dunfield, K.; Klironomos, J.N.; Hart, M.M. Plant response to biochar, compost, and mycorrhizal fungal amendments in post-mine sandpits. Restor. Ecol. 2018, 26, 63–72. [Google Scholar] [CrossRef]
- Armada, E.; Portela, G.; Roldán, A.; Azcón, R. Combined use of beneficial soil microorganism and agrowaste residue to cope with plant water limitation under semiarid conditions. Geoderma 2014, 232–234, 640–648. [Google Scholar] [CrossRef]
- Le Pioufle, O.; Ganoudi, M.; Calonne-salmon, M.; Ben Dhaou, F.; Declerck, S. Rhizophagus irregularis MUCL 41833 Improves phosphorus uptake and water use efficiency in maize plants during recovery from drought stress. Front. Plant Sci. 2019, 10, 897. [Google Scholar] [CrossRef] [PubMed]
- Comas, L.H.; Becker, S.R.; Cruz, V.M.V.; Byrne, P.F.; Dierig, D.A. Root traits contributing to plant productivity under drought. Front. Plant Sci. 2013, 4, 62325. [Google Scholar] [CrossRef] [PubMed]
- Hosseinzadeh, S.R.; Amiri, H.; Ismaili, A. Effect of vermicompost fertilizer on photosynthetic characteristics of chickpea (Cicer arietinum L.) under drought stress. Photosynthetica 2015, 54, 87–92. [Google Scholar] [CrossRef]
- Roldán, A.; Carrasco, L.; Caravaca, F. Stability of desiccated rhizosphere soil aggregates of mycorrhizal Juniperus oxycedrus grown in a desertified soil amended with a composted organic residue. Soil Biol. Biochem. 2006, 38, 2722–2730. [Google Scholar] [CrossRef]
- Caravaca, F.; Alguacil, M.M.; Azcón, R.; Roldán, A. Formation of stable aggregates in rhizosphere soil of Juniperus oxycedrus: Effect of AM fungi and organic amendments. Appl. Soil Ecol. 2006, 33, 30–38. [Google Scholar] [CrossRef]
- Zou, Y.N.; Huang, Y.M.; Wu, Q.S.; He, X.H. Mycorrhiza-induced lower oxidative burst is related with higher antioxidant enzyme activities, net H2O2 effluxes, and Ca2+ influxes in trifoliate orange roots under drought stress. Mycorrhiza 2015, 25, 143–152. [Google Scholar] [CrossRef] [PubMed]
- Ghorchiani, M.; Etesami, H.; Alikhani, H.A. Improvement of growth and yield of maize under water stress by co-inoculating an arbuscular mycorrhizal fungus and a plant growth promoting rhizobacterium together with phosphate fertilizers. Agric. Ecosyst. Environ. 2018, 258, 59–70. [Google Scholar] [CrossRef]
- Aroca, R.; Ruiz-lozano, J.M.; María, Á.; Paz, J.A.; García-mina, J.M.; Pozo, M.J.; López-ráez, J.A. Arbuscular mycorrhizal symbiosis influences strigolactone production under salinity and alleviates salt stress in lettuce plants. J. Plant Physiol. 2013, 170, 47–55. [Google Scholar] [CrossRef] [PubMed]
- Etesami, H.; Jeong, B.R.; Glick, B.R. Contribution of arbuscular mycorrhizal fungi, phosphate–solubilizing bacteria, and silicon to p uptake by plant. Front. Plant Sci. 2021, 12, 699618. [Google Scholar] [CrossRef] [PubMed]
- Salma, T.; Mohamed, A.; Abderrahim, B.; Raja, B.L.; Wissal, B.; Hela, B.A.; Meddich, A. Combined use of mycorrhizae and green compost for reducing the deleterious effects of salt stress in two genotypes of quinoa (Chenopodium quinoa). J. Soil Sci. Plant Nutr. 2023, 23, 1254–1271. [Google Scholar] [CrossRef]
- Liu, Z.; Li, Y.; Ma, L.; Wei, H.; Zhang, J.; He, X.; Tian, C. Coordinated regulation of arbuscular mycorrhizal fungi and soybean MAPK pathway genes improved mycorrhizal soybean drought tolerance. Mol. Plant-Microbe Interact. 2015, 28, 408–419. [Google Scholar] [CrossRef] [PubMed]
- Zhang, F.; Zou, Y.; Wu, Q. Quantitative estimation of water uptake by mycorrhizal extraradical hyphae in citrus under drought stress. Sci. Hortic. 2018, 229, 132–136. [Google Scholar] [CrossRef]
- Augé, R.M.; Toler, H.D.; Saxton, A.M. Arbuscular mycorrhizal symbiosis alters stomatal conductance of host plants more under drought than under amply watered conditions: A meta-analysis. Mycorrhiza 2014, 25, 13–24. [Google Scholar] [CrossRef] [PubMed]
- Augé, R.M. Water relations, drought and vesicular-arbuscular mycorrhizal symbiosis. Mycorrhiza 2001, 11, 3–42. [Google Scholar] [CrossRef]
- Zhu, X.C.; Song, F.B.; Liu, S.Q.; Liu, T.D.; Zhou, X. Arbuscular mycorrhizae improves photosynthesis and water status of Zea mays L. under drought stress. Plant Soil Environ. 2012, 58, 186–191. [Google Scholar] [CrossRef]
- Fernández, D.A.; Roldán, A.; Azcón, R.; Caravaca, F.; Bååth, E. Effects of water stress, organic amendment and mycorrhizal inoculation on soil microbial community structure and activity during the establishment of two heavy metal-tolerant native plant species. Microb. Ecol. 2012, 63, 794–803. [Google Scholar] [CrossRef] [PubMed]
- Arfan-Ul-haq, M.; Yaseen, M.; Naveed, M.; Mustafa, A.; Siddique, S.; Alamri, S.; Siddiqui, M.H.; Al-Amri, A.A.; Alsubaie, Q.D.; Ali, H.M. Deciphering the potential of bioactivated rock phosphate and di-ammonium phosphate on agronomic performance, nutritional quality and productivity of wheat (Triticum aestivum L.). Agronomy 2021, 11, 684. [Google Scholar] [CrossRef]
- Bagheri, V.; Shamshiri, M.H.; Shirani, H.; Roosta, H.R. Effect of mycorrhizal inoculation on ecophysiological responses of pistachio plants grown under different water regimes. Photosynthetica 2011, 49, 531–538. [Google Scholar] [CrossRef]
- Wu, Q.S.; Xia, R.X.; Zou, Y.N. Improved soil structure and citrus growth after inoculation with three arbuscular mycorrhizal fungi under drought stress. Eur. J. Soil Biol. 2008, 44, 122–128. [Google Scholar] [CrossRef]
- Gong, M.; Tang, M.; Chen, H.; Zhang, Q.; Feng, X. Effects of two Glomus species on the growth and physiological performance of Sophora davidii seedlings under water stress. New For. 2013, 44, 399–408. [Google Scholar] [CrossRef]
- Sánchez-Blanco, M.J.; Ferrández, T.; Morales, M.A.; Morte, A.; Alarcón, J.J. Variations in water status, gas exchange, and growth in Rosmarinus officinalis plants infected with Glomus deserticola under drought conditions. J. Plant Physiol. 2004, 161, 675–682. [Google Scholar] [CrossRef] [PubMed]
- Ye, Q.; Wang, H.; Li, H. Arbuscular mycorrhizal fungi improve growth, photosynthetic activity, and chlorophyll fluorescence of Vitis vinifera L. cv. Ecolly under drought stress. Agronomy 2022, 12, 1563. [Google Scholar] [CrossRef]
- Abd El-Mageed, T.A.; Abdelkhalik, A.; Abd El-Mageed, S.A.; Semida, W.M. Co-composted poultry litter biochar enhanced soil quality and eggplant productivity under different irrigation regimes. J. Soil Sci. Plant Nutr. 2021, 21, 1917–1933. [Google Scholar] [CrossRef]
- Baslam, M.; Qaddoury, A.; Goicoechea, N. Role of native and exotic mycorrhizal symbiosis to develop morphological, physiological and biochemical responses coping with water drought of date palm, Phoenix dactylifera. Trees-Struct. Funct. 2014, 28, 161–172. [Google Scholar] [CrossRef]
- Li, F.; Deng, J.; Nzabanita, C.; Li, Y.; Duan, T. Growth and physiological responses of perennial ryegrass to an AMF and an epichloë endophyte under different soil water contents. Symbiosis 2019, 79, 151–161. [Google Scholar] [CrossRef]
- Wahid, F.; Sharif, M.; Fahad, S.; Adnan, M.; Khan, I.A.; Aksoy, E.; Ali, A.; Sultan, T.; Alam, M.; Saeed, M.; et al. Arbuscular mycorrhizal fungi improve the growth and phosphorus uptake of mung bean plants fertilized with composted rock phosphate fed dung in alkaline soil environment. J. Plant Nutr. 2019, 42, 1760–1769. [Google Scholar] [CrossRef]
- Azcón-Aguilar, C.; Barea, J.M. Nutrient cycling in the mycorrhizosphere. J. Soil Sci. Plant Nutr. 2015, 15, 372–396. [Google Scholar] [CrossRef]
- Bashir, A.; Rizwan, M.; Zia ur Rehman, M.; Zubair, M.; Riaz, M.; Qayyum, M.F.; Alharby, H.F.; Bamagoos, A.A.; Ali, S. Application of co-composted farm manure and biochar increased the wheat growth and decreased cadmium accumulation in plants under different water regimes. Chemosphere 2020, 246, 125809. [Google Scholar] [CrossRef] [PubMed]
- Teodoro, M.; Trakal, L.; Gallagher, B.N.; Šimek, P.; Soudek, P.; Pohořelý, M.; Beesley, L.; Jačka, L.; Kovář, M.; Seyedsadr, S.; et al. Application of co-composted biochar significantly improved plant-growth relevant physical/chemical properties of a metal contaminated soil. Chemosphere 2020, 242, 125255. [Google Scholar] [CrossRef] [PubMed]
- Boutasknit, A.; Baslam, M.; Anli, M.; Ait-El-Mokhtar, M.; Ben-Laouane, R.; Ait-Rahou, Y.; El Modafar, C.; Douira, A.; Wahbi, S.; Meddich, A. Impact of arbuscular mycorrhizal fungi and compost on the growth, water status, and photosynthesis of carob (Ceratonia siliqua) under drought stress and recovery. Plant Biosyst. 2021, 156, 994–1010. [Google Scholar] [CrossRef]
- Abbaspour, H.; Saeidi-Sar, S.; Afshari, H.; Abdel-Wahhab, M.A. Tolerance of mycorrhiza infected pistachio (Pistacia vera L.) seedling to drought stress under glasshouse conditions. J. Plant Physiol. 2012, 169, 704–709. [Google Scholar] [CrossRef] [PubMed]
- Ahanger, M.A.; Qi, M.; Huang, Z.; Xu, X.; Begum, N.; Qin, C.; Zhang, C.; Ahmad, N.; Mustafa, N.S.; Ashraf, M.; et al. Improving growth and photosynthetic performance of drought stressed tomato by application of nano-organic fertilizer involves up-regulation of nitrogen, antioxidant and osmolyte metabolism. Ecotoxicol. Environ. Saf. 2021, 216, 112195. [Google Scholar] [CrossRef] [PubMed]
- Sharma, B.; Vaish, B.; Monika; Singh, U.K.; Singh, P.; Singh, R.P. Recycling of organic wastes in agriculture: An environmental perspective. Int. J. Environ. Res. 2019, 13, 409–429. [Google Scholar] [CrossRef]
- Gharibi, S.; Tabatabaei, B.E.S.; Saeidi, G.; Goli, S.A.H. Effect of drought stress on total phenolic, lipid peroxidation, and antioxidant activity of Achillea species. Appl. Biochem. Biotechnol. 2016, 178, 796–809. [Google Scholar] [CrossRef]
- Ji, T.; Li, S.; Li, L.; Huang, M.; Wang, X.; Wei, M.; Shi, Q.; Li, Y.; Gong, B.; Yang, F. Cucumber phospholipase D alpha gene overexpression in tobacco enhanced drought stress tolerance by regulating stomatal closure and lipid peroxidation. BMC Plant Biol. 2018, 18, 355. [Google Scholar] [CrossRef]
- Aalipour, H.; Nikbakht, A.; Ghasemi, M.; Amiri, R. Morpho-physiological and biochemical responses of two turfgrass species to arbuscular mycorrhizal fungi and humic acid under water stress condition. J. Soil Sci. Plant Nutr. 2019, 20, 566–576. [Google Scholar] [CrossRef]
- Kaya, C.; Şenbayram, M.; Akram, N.A.; Ashraf, M.; Alyemeni, M.N.; Ahmad, P. Sulfur-enriched leonardite and humic acid soil amendments enhance tolerance to drought and phosphorus deficiency stress in maize (Zea mays L.). Sci. Rep. 2020, 10, 6432. [Google Scholar] [CrossRef] [PubMed]
- Ni, Q.D.; Zou, Y.N.; Wu, Q.S.; Huang, Y.M. Increased tolerance of citrus (Citrus tangerina) seedlings to soil water deficit after mycorrhizal inoculation: Changes in antioxidant enzyme defense system. Not. Bot. Horti Agrobot. Cluj-Napoca 2013, 41, 524–529. [Google Scholar] [CrossRef][Green Version]
- Fouad, M.O.; Essahibi, A.; Benhiba, L.; Qaddoury, A. Effectiveness of arbuscular mycorrhizal fungi in the protection of olive plants against oxidative stress induced by drought. Span. J. Agric. Res. 2014, 12, 763–771. [Google Scholar] [CrossRef]
- Dumanović, J.; Nepovimova, E.; Natić, M.; Kuča, K.; Jaćević, V. The significance of reactive oxygen species and antioxidant defense system in plants: A concise overview. Front. Plant Sci. 2021, 11, 552969. [Google Scholar] [CrossRef] [PubMed]
- Torun, H. Time-course analysis of salicylic acid effects on ROS regulation and antioxidant defense in roots of hulled and hulless barley under combined stress of drought, heat and salinity. Physiol. Plant. 2019, 165, 169–182. [Google Scholar] [CrossRef] [PubMed]
- Kirova, E.; Pecheva, D.; Simova-Stoilova, L. Drought response in winter wheat: Protection from oxidative stress and mutagenesis effect. Acta Physiol. Plant. 2021, 43, 8. [Google Scholar] [CrossRef]
- Rani, B.; Madan, S.; Sharma, K.D.; Pooja; Kumar, A. Influence of arbuscular mycorrhiza on antioxidative system of wheat (Triticum aestivum) under drought stress. Indian J. Agric. Sci. 2018, 88, 289–295. [Google Scholar] [CrossRef]



| pH | EC (mS cm−1) | OM (%) | TN (%) | AP (mg Kg−1) | K (mg Kg−1) | Ca (mg Kg−1) | Fe (mg Kg−1) | Zn (mg Kg−1) | Cu (mg Kg−1) |
|---|---|---|---|---|---|---|---|---|---|
| 7.70 | 0.14 | 43.80 | 0.62 | 290 | 4960 | 1900 | 820.10 | 44.90 | 27.40 |
| Parameters | AMF (A) | VC (B) | RP (C) | DS (D) | REC (E) | A × D | A × E | B × D | B × E | C × D | C × E | A × B × D | A × B × E | A × C × D | A × C × E | B × C × D | B × C × E | A × B × C × D | A × B × C × E |
|---|---|---|---|---|---|---|---|---|---|---|---|---|---|---|---|---|---|---|---|
| F | *** | ** | *** | *** | *** | *** | *** | ns | * | * | * | ns | * | * | * | ns | ns | ns | ns |
| I | *** | ns | ns | *** | *** | *** | *** | ns | ns | ns | ns | ns | *** | ns | ns | ns | ns | ns | ns |
| SH | *** | *** | *** | ns | * | ns | ns | ns | ns | ns | ns | ns | *** | ns | ns | ns | ns | ns | ns |
| RL | *** | *** | *** | ns | ** | ns | ns | ns | ns | ns | ns | ns | *** | ns | ns | ns | ns | ns | ns |
| SDW | *** | *** | *** | *** | ** | ns | ns | ns | ns | ns | ns | ns | *** | ns | ns | ns | ns | ns | ns |
| RDW | *** | *** | *** | ** | ns | ns | ns | ns | ns | ns | ns | ns | *** | ns | ns | ns | ns | ns | ns |
| gs | *** | *** | *** | *** | *** | *** | *** | ns | ns | *** | *** | ns | ** | ns | * | ns | ns | ns | ns |
| Fv/Fm | *** | *** | *** | *** | *** | *** | *** | ns | ns | ** | * | ns | ns | ns | ns | ns | ns | ns | ns |
| ΨLeaf | *** | *** | *** | *** | *** | ns | ns | * | ns | *** | ** | ns | ns | ns | ns | *** | ns | ns | ns |
| Chl a | *** | *** | *** | *** | *** | *** | * | ns | ns | ns | ns | ns | ns | ns | ns | ns | ns | ns | ns |
| Chl b | *** | *** | *** | *** | *** | *** | * | ns | ns | ns | ns | *** | *** | ns | *** | ns | ns | ns | ns |
| Chl T | *** | *** | *** | *** | *** | *** | ** | ** | ns | ns | ns | ns | * | * | ns | ns | ns | *** | ** |
| Car | *** | *** | ** | *** | *** | *** | *** | ns | ns | ns | ns | ns | ns | * | ns | ns | ns | ns | ns |
| TSS | *** | ** | *** | *** | *** | ns | ns | ns | ns | ns | ns | ns | ns | ns | ns | ns | ns | ns | ns |
| Proteins | *** | *** | *** | *** | *** | ** | * | ns | ns | ns | ns | ns | ns | ns | ns | ns | * | ns | ns |
| H2O2 | *** | * | * | *** | ** | ns | * | ** | * | ns | ns | ** | *** | ns | ns | ns | * | ns | ns |
| MDA | *** | ns | ns | *** | *** | ns | ns | ns | ns | ns | ns | ns | ns | ns | ns | ns | * | ns | ns |
| SOD | * | ns | ns | *** | *** | ns | ns | ns | ns | * | ns | ns | ns | ns | ns | ns | ns | ns | ns |
| PPO | *** | *** | ns | *** | *** | ** | *** | * | ns | ns | ns | ns | ns | ns | ns | ns | ns | ns | ns |
| POX | *** | ns | ns | *** | *** | ** | *** | ns | ns | ns | ns | ns | ns | ns | ns | ns | ns | ns | ns |
| P | * | *** | *** | * | ns | ns | ns | ns | ns | ns | ns | ns | ns | ns | ns | ns | ns | ns | ns |
| F (%) | I (%) | SH (cm) | RL (cm) | SDW (g) | RDW (g) | P (mg g−1) | ||
|---|---|---|---|---|---|---|---|---|
| WW | Control | 0.0 ± 0.0 f | 0.0 ± 0.0 e | 16.1 ± 0.9 j | 33.3 ± 1.3 i | 1.6 ± 0.4 l | 0.9 ± 0.0 n | 2.0 ± 0.4 f |
| RP | 0.0 ± 0.0 f | 0.0 ± 0.0 e | 23.0 ± 2.0 j | 42.3 ± 1.9 gh | 2.2 ± 0.3 k | 1.2 ± 0.2 i–n | 2.7 ± 0.4 b–e | |
| AMF | 62.2 ± 5.1 bcd | 51.3 ± 6.8 d | 24.7 ± 1.8 gh | 42.1 ± 1.4 h | 2.5 ± 0.1 h–k | 1.4 ± 0.3 h–k | 2.4 ± 0.2 d–f | |
| VC | 0.0 ± 0.0 f | 0.0 ± 0.0 e | 25.2 ±1.5 f–h | 43.3 ± 2.5 f–h | 2.3 ± 0.4 jk | 1.1 ± 0.1 k–n | 2.6 ± 0.4 c–f | |
| AMF + RP | 61.0 ± 3.5 cd | 62.3 ± 4.5 cd | 27.1 ± 1.2 b–d | 45.1 ± 1.0 d–f | 3.1 ± 0.2 fg | 1.7 ± 0.2 e–g | 2.9 ± 0.5 a–d | |
| AMF + VC | 53.8 ± 6.8 e | 59.8 ± 4.4 ab | 27.0 ± 0.5 b–d | 47.2 ± 2.6 b–d | 3.4 ± 0.3 d–f | 1.9 ± 0.4 de | 3.0 ± 0.5 a–d | |
| VC + RP | 0.0 ± 0.0 f | 0.0 ± 0.0 e | 26.2 ± 0.5 d–f | 45.9 ± 2.6 c–e | 2.6 ± 0.5 hi | 1.2 ± 0.4 i–m | 3.1 ± 0.2 a–c | |
| AMF + VC + RP | 53.7 ± 5.4 e | 54.0 ± 7.6 cd | 35.3 ± 1.3 a | 52.8 ± 2.6 a | 3.6 ± 0.2 b–e | 2.4 ± 0.3 ab | 3.2 ± 0.4 a–c | |
| DS | Control | 0.0± 0.0 f | 0.0 ± 0.0 e | 16.1 ± 0.7 j | 34.1 ± 2.0 i | 1.8 ± 0.3 l | 1.0 ± 0.2 mn | 2.1 ± 0.2 ef |
| RP | 0.0 ± 0.0 f | 0.0 ± 0.0 e | 23.8 ± 1.3 i | 42.0 ± 0.5 gh | 2.7 ± 0.2 hi | 1.3 ± 0.3 i–m | 3.0 ± 0.2 a–d | |
| AMF | 64.5 ± 4.1 abc | 58.0 ± 7.6 bc | 24.7 ± 1.2 gh | 42.3 ± 1.5 gh | 2.8 ± 0.2 gh | 1.4 ± 0.3 g–i | 2.8 ± 0.2 a–d | |
| VC | 0.0 ± 0.0 f | 0.0 ± 0.0 e | 25.4 ± 1.4 e–h | 43.3 ± 2.4 f–h | 2.6 ± 0.3 h–j | 1.3 ± 0.2 i–l | 3.1 ± 0.3 a–c | |
| AMF + RP | 66.3 ± 5.8 ab | 62.3 ± 4.5 ab | 27.1 ± 0.8 b–d | 45.9 ± 1.2 b–e | 3.7 ± 0.3 b–d | 1.6 ± 0.2 f–h | 3.2 ± 0.2 a–c | |
| AMF + VC | 54.5 ± 8.0 e | 61.5 ± 1.6 ab | 27.7 ± 0.6 bc | 47.9 ± 2.3 bc | 3.9 ± 0.4 a–c | 2.1 ± 0.3 cd | 3.2 ± 0.4 a–c | |
| VC + RP | 0.0 ± 0.0 f | 0.0 ± 0.0 e | 26.1 ± 0.9 d–f | 45.8 ± 1.3 c–e | 3.2 ± 0.3 f | 1.4 ± 0.4 g–i | 3.1 ± 0.3 a–d | |
| AMF + VC + RP | 66.5 ± 6.9 a | 61.8 ± 4.4 ab | 35.3 ± 0.8 a | 53.1 ± 1.4 a | 4.1 ± 0.2 a | 2.7 ± 0.2 a | 3.3 ± 0.4 ab | |
| REC | Control | 0.0 ± 0.0 f | 0.0 ± 0.0 e | 16.5 ± 1.1 j | 34.8 ± 0.7 i | 1.7 ± 0.3 l | 0.9 ± 0.2 n | 2.0 ± 0.4 ef |
| RP | 0.0 ± 0.0 f | 0.0 ± 0.0 e | 25.0 ± 1.0 hi | 43.5 ± 1.8 i | 2.3 ± 0.2 i–k | 1.1 ± 0.0 l–n | 2.9 ± 0.5 a–d | |
| AMF | 61.8 ± 4.4 cd | 60.7 ± 4.1 ab | 25.3 ± 0.8 e–h | 43.1 ± 2.6 f–h | 2.6 ± 0.4 hi | 1.4 ± 0.3 g–j | 2.9 ± 0.5 a–d | |
| VC | 0.0 ± 0.0 f | 0.0 ± 0.0 e | 25.6 ± 1.4 e–g | 44.5 ± 1.3 e–g | 2.4 ± 0.3 i–k | 1.2 ± 0.1 i–n | 3.0 ± 0.3 a–d | |
| AMF + RP | 67.2 ± 4.5 a | 63.7 ± 3.1 a | 27.6 ± 0.5 bc | 46.5 ± 1.1 b–e | 3.3 ± 0.4 ef | 1.6 ± 0.3 f–h | 3.4 ± 0.3 a | |
| AMF + VC | 58.8 ± 3.2 d | 62.0 ± 2.4 ab | 27.8 ± 0.5 b | 48.1 ± 2.9 b | 3.6 ± 0.5 c–e | 1.9 ± 0.3 d–f | 3.1 ± 0.6 a–c | |
| VC + RP | 0.0 ± 0.0 f | 0.0 ± 0.0 e | 26.5 ± 0.8 c–e | 46.8 ± 2.6 b–d | 2.8 ± 0.3 gh | 1.3 ± 0.2 i–l | 3.0 ± 0.2 a–d | |
| AMF + VC + RP | 66.7 ± 3.5 a | 62.2 ± 2.8 a | 35.8 ± 1.0 a | 53.8 ± 1.6 a | 3.9 ± 0.3 ab | 2.3 ± 0.2 bc | 3.3 ± 0.6 a–c |
| TSS (mg g−1) | Proteins (mg g−1) | H2O2 (µmol g−1 DW) | MDA (µmol g−1 DW) | ||
|---|---|---|---|---|---|
| WW | Control | 12.6 ± 0.8 k | 11.5 ± 0.9 cd | 14.3 ± 0.6 c–f | 12.3 ± 0.8 c–h |
| RP | 14.7 ± 0.9 h–j | 11.5 ± 0.7 cd | 14.3 ± 1.3 c–f | 11.3 ± 0.6 g–j | |
| AMF | 14.7 ± 0.7 h–j | 11.7 ± 0.2 bc | 13.4 ± 1.2 fg | 11.8 ± 0.5 f–j | |
| VC | 13.4 ± 1.9 jk | 11.8 ± 0.7 bc | 16.3 ± 2.1 b | 11.0 ± 0.6 ij | |
| AMF + RP | 14.3 ± 0.4 i–k | 12.0 ± 0.4 bc | 12.9 ± 0.5 fg | 10.6 ± 1.6 c–h | |
| AMF + VC | 16.1 ± 0.8 gh | 12.1 ± 0.8 bc | 14.3 ± 1.0 c–f | 11.3 ± 1.0 h–j | |
| VC + RP | 14.3 ± 1.0 ij | 12.6 ± 1.5 ab | 15.1 ± 1.2 b–e | 12.4 ± 0.5 c–h | |
| AMF + VC + RP | 16.3 ± 0.7 f–h | 13.4 ± 1.5 a | 12.2 ± 0.4 g | 11.5 ± 1.2 g–j | |
| DS | Control | 17.8 ± 0.8 c–f | 7.8 ± 0.5 k | 19.7 ± 1.3 a | 14.4 ± 0.5 a |
| RP | 19.4 ± 1.5 | 8.8 ± 0.8 hi | 19.6 ± 1.0 a | 14.0 ± 0.8 ab | |
| AMF | 19.3 ± 1.4 a–c | 9.9 ± 0.1 jk | 16.5 ± 0.8 b | 13.5 ± 0.9 a–d | |
| VC | 19.1 ± 1.3 a–d | 8.5 ± 0.4 d–h | 19.4 ± 0.7 a | 14.1 ± 0.3 ab | |
| AMF + RP | 19.6 ± 1.0 ab | 10.4 ± 0.2 f–h | 15.5 ± 1.1 b–d | 13.2 ± 0.8 a–e | |
| AMF + VC | 19.0 ± 0.5 a–d | 10.1 ± 0.4 f–h | 15.7 ± 0.6 bc | 13.4 ± 1.2 a–d | |
| VC + RP | 19.9 ± 0.8 ab | 9.4 ± 0.7 h–j | 16.1 ± 0.3 b | 14.1 ± 0.8 ab | |
| AMF + VC + RP | 20.2 ± 0.7 a | 11.0 ± 0.1 c–g | 15.3 ± 1.1 b–e | 13.0 ± 0.9 b–f | |
| REC | Control | 15.2 ± 0.4 hi | 8.6 ± 0.5 jk | 18.7 ± 1.2 a | 13.3 ± 0.8 a–d |
| RP | 17.6 ± 0.5 d–g | 10.2 ± 0.1 e–h | 18.3 ± 0.4 a | 13.9 ± 0.6 ab | |
| AMF | 18.7 ± 0.4 a–e | 10.0 ± 0.1 gh | 13.7 ± 0.6 e–g | 12.7 ± 0.6 b–g | |
| VC | 17.2 ± 1.1 e–f | 9.7 ± 0.2 hi | 14.3 ± 1.1 c–f | 13.6 ± 0.9 a–c | |
| AMF + RP | 19.6 ± 0.9 ab | 11.2 ± 0.5 c–f | 12.1 ± 1.2 g | 11.8 ± 0.5 e–i | |
| AMF + VC | 19.0 ± 1.0 a–d | 11.4 ± 0.4 cd | 14.1 ± 0.6 d–f | 12.1 ± 1.3 d–i | |
| VC + RP | 18.5 ± 2.1 b–e | 10.3 ± 0.5 e–h | 16.4 ± 0.8 b | 12.7 ± b–h | |
| AMF + VC + RP | 20.1 ± 0.3 ab | 11.3 ± 0.4 c–e | 14.1 ± 0.5 c–f | 11.5 ± 1.0 g–j |
Disclaimer/Publisher’s Note: The statements, opinions and data contained in all publications are solely those of the individual author(s) and contributor(s) and not of MDPI and/or the editor(s). MDPI and/or the editor(s) disclaim responsibility for any injury to people or property resulting from any ideas, methods, instructions or products referred to in the content. |
© 2024 by the authors. Licensee MDPI, Basel, Switzerland. This article is an open access article distributed under the terms and conditions of the Creative Commons Attribution (CC BY) license (https://creativecommons.org/licenses/by/4.0/).
Share and Cite
Boutasknit, A.; Ait-El-Mokhtar, M.; Fassih, B.; Ben-Laouane, R.; Wahbi, S.; Meddich, A. Effect of Arbuscular Mycorrhizal Fungi and Rock Phosphate on Growth, Physiology, and Biochemistry of Carob under Water Stress and after Rehydration in Vermicompost-Amended Soil. Metabolites 2024, 14, 202. https://doi.org/10.3390/metabo14040202
Boutasknit A, Ait-El-Mokhtar M, Fassih B, Ben-Laouane R, Wahbi S, Meddich A. Effect of Arbuscular Mycorrhizal Fungi and Rock Phosphate on Growth, Physiology, and Biochemistry of Carob under Water Stress and after Rehydration in Vermicompost-Amended Soil. Metabolites. 2024; 14(4):202. https://doi.org/10.3390/metabo14040202
Chicago/Turabian StyleBoutasknit, Abderrahim, Mohamed Ait-El-Mokhtar, Boujemaa Fassih, Raja Ben-Laouane, Said Wahbi, and Abdelilah Meddich. 2024. "Effect of Arbuscular Mycorrhizal Fungi and Rock Phosphate on Growth, Physiology, and Biochemistry of Carob under Water Stress and after Rehydration in Vermicompost-Amended Soil" Metabolites 14, no. 4: 202. https://doi.org/10.3390/metabo14040202
APA StyleBoutasknit, A., Ait-El-Mokhtar, M., Fassih, B., Ben-Laouane, R., Wahbi, S., & Meddich, A. (2024). Effect of Arbuscular Mycorrhizal Fungi and Rock Phosphate on Growth, Physiology, and Biochemistry of Carob under Water Stress and after Rehydration in Vermicompost-Amended Soil. Metabolites, 14(4), 202. https://doi.org/10.3390/metabo14040202

