Abstract
Background/Objectives: Type 2 diabetes mellitus (T2DM) is a chronic metabolic disorder associated with gut dysbiosis. To investigate the association between gut microbiota and T2DM in a Saudi Arabian population. Methods: We conducted a comparative analysis of fecal microbiota from 35 individuals, including both T2DM patients and healthy controls. 16S rRNA gene sequencing was employed to characterize the microbial community structure. Results: Our findings revealed significant differences in microbial composition between the two groups. The T2DM group exhibited a higher abundance of Firmicutes and lower levels of Bacteroidetes compared to the healthy control group. At the genus level, T2DM patients showed a decrease in butyrate-producing bacteria such as Bacteroides and Akkermansia, while an increase in Ruminococcus and Prevotella was observed. Additionally, the T2DM group had a higher abundance of Faecalibacterium, Agathobacter, and Lachnospiraceae, along with a lower abundance of Bacteroides. Conclusions: These results suggest that alterations in gut microbiota composition may contribute to the development of T2DM in the Saudi Arabian population. Further large-scale studies are needed to validate these findings and explore potential therapeutic interventions targeting the gut microbiome.
1. Introduction
Type 2 diabetes mellitus (T2DM) is a significant global health concern affecting millions worldwide [1]. Characterized by hyperglycemia, insulin resistance, and impaired insulin production, T2DM is influenced by various factors, including genetics, lifestyle, and dietary habits [2,3]. Recent research has increasingly recognized the role of gut microbiota in the development of T2DM [4,5,6,7].
Saudi Arabia, with its rapid lifestyle and dietary changes, has witnessed a significant rise in T2DM prevalence, ranking among the top 10 nations globally [8,9]. This trend is alarming, given the potential for severe health complications and reduced life expectancy associated with poorly controlled diabetes [10,11]. Studies from Saudi Arabia have reported suboptimal HbA1c control in a substantial proportion of T2DM patients, highlighting the need for effective management strategies [12,13,14,15].
The gut microbiota, a complex community of microorganisms, plays a crucial role in maintaining overall health. Alterations in gut microbiota composition, known as dysbiosis, have been linked to various metabolic disorders, including T2DM [4]. These microbial shifts can impact gut permeability, inflammation, and metabolic regulation. Additionally, the gut microbiota interacts with host metabolism by influencing the secretion of gut hormones, glucose regulation, and lipid metabolism. Previous studies have utilized 16S rRNA and whole metagenome shotgun sequencing to investigate the composition and function of gut microbial communities in prediabetic individuals [16].
While recent research has highlighted the potential role of gut microbiome dysbiosis in the development and progression of T2DM [17,18], conflicting findings exist regarding the specific microbial alterations associated with the disease. Some studies have reported decreased levels of Bacteroidetes and increased levels of Firmicutes in individuals with T2DM [5,7,19], while others have found contrasting results [4]. Furthermore, geographical variations, dietary habits, and medication use can influence gut microbiota composition and complicate the identification of a universal T2DM-associated microbiome profile [20,21,22,23].
Given the increasing prevalence of T2DM in Saudi Arabia and the potential impact of gut microbiota on disease development, this work aimed to investigate the diversity and composition of the gut microbiome in Saudi individuals with and without T2DM using metagenomic sequencing. By understanding the specific microbial alterations associated with T2DM in this population, we can potentially identify novel therapeutic targets and preventive strategies to combat this growing health crisis.
2. Material and Methods
2.1. Study Populations
The study was conducted after obtaining ethical approval from the Shaqra University Ethics Research Committee (ERC_SU_20220053) dated 20 June 2022. and in accordance with the Helsinki Declaration. A total of 24 Saudi individuals diagnosed with type 2 diabetes mellitus (T2DM) were randomly selected from the endocrinology clinic. Additionally, 11 healthy controls with HbA1c levels below 6% were included in the study. All participants were provided with detailed information about the study objectives, design, and confidentiality measures. Written informed consent was obtained from each participant. Sterile stool specimen containers with integrated collection spoons and instructions were provided to all participants. The recruitment process extended over a six-month period from May to October 2023.
Basic demographic characteristics, including gender, height, age, weight, and body mass index (BMI), was recorded for each participant. [Table 1] Blood samples were collected to analyze HbA1c levels, total cholesterol, and vitamin D levels. Stool samples were collected immediately and stored at −80 °C.
Table 1.
Clinical and demographic characteristics of Saudi Arabian T2DM cases (n = 24) and controls (n = 11).
To be eligible for the study, participants had to be 18 years of age or older. Individuals who had received antibiotic treatment within the past three months, were pregnant or lactating, or had inflammatory bowel disease were excluded from the study.
2.2. Sample Collection
A total of 35 blood and fecal samples were collected from diabetic patients. To ensure sample integrity, stringent sterile conditions were maintained throughout the collection process. Subsequently, the samples were stored at a temperature of −80 °C until further analysis, which included 16S rRNA gene sequencing and whole metagenome sequencing.
2.3. DNA Library Preparation and Sequencing
Fecal samples were subjected to DNA extraction using the QIAamp PowerFecal DNA Kit, adhering to the manufacturer’s protocol (Qiagen GmbH, Hilden, Germany). The extracted DNA was subsequently stored at −80 °C for future analyses.
The V4 region of the 16S rRNA gene was amplified using the primer pair 515F (GTGCCAGCMGCCGCGGTAA) and 806R (GGACTACHVGGGTWTCTAAT) [24]. PCR amplification of the targeted regions was performed using specific primers linked to unique barcodes. Amplicons of the appropriate size were selected through 2% agarose gel electrophoresis.
Equal amounts of PCR products from each sample were pooled, followed by end-repair, A-tailing, and ligation with Illumina adapters. The resulting libraries were sequenced on an Illumina platform, generating 250 base pair paired-end raw reads. Before sequencing, the library quality was assessed using Qubit for quantification and a Bioanalyzer for size distribution analysis. Quantified libraries were pooled and sequenced on Illumina platforms based on the desired sequencing depth and library concentration.
2.4. Bioinformatics Analysis
Paired-end reads were initially sorted based on their unique barcodes and then trimmed to remove barcode and primer sequences. These paired-end reads were merged into raw tags using Fast Length Adjustment of SHort reads, FLASH software (32.0.0.142) [25]. To ensure high-quality data, the raw tags were subjected to quality filtering using Fastp software (Version 0.23.1) [26]. The resulting high-quality clean tags were compared against reference databases (Silva for 16S/18S rRNA genes and Unite for ITS (Internal transcribed spacer) sequences) to identify and remove chimeric sequences using Vsearch software- A versatile open source tool for metagenomics (V2.16.0) [27].
The effective tags were then denoised using either DADA2 or Deblur within the QIIME2 software package (Version QIIME2-202202) to generate amplicon sequence variants (ASVs). Taxonomic annotation was performed using QIIME2, with the Silva database (https://www.arb-silva.de/, accessed on 11 December 2024) for 16S/18S sequences and the Unite database (https://unite.ut.ee/, accessed on 11 December 2024) for ITS sequences. Multiple sequence alignment was carried out using QIIME2 to study the phylogenetic relationships between ASVs and to identify differences in dominant species across different samples or groups.
Internal transcribed spacer sequences (ITS). Multiple sequence alignment was carried out using QIIME2 to study the phylogenetic relationships between ASVs and to identify differences in dominant species across different samples or groups.
Species across different samples or groups.
To account for variations in sequencing depth, the absolute abundance of ASVs was normalized based on the sample with the lowest number of sequences. Alpha diversity analysis was performed using QIIME2 to assess species richness and evenness within each sample. Beta diversity analysis, calculated using weighted and unweighted UniFrac distances in QIIME2, was used to compare community composition differences between samples or groups. Weighted UniFrac considers both the presence and abundance of species, while unweighted UniFrac focuses solely on the presence/absence of species.
2.5. Statistical Analysis
All statistical analyses were performed using R (version 4.0.3). To investigate the differentiation of community structure, a series of statistical analyses were conducted, including t-test and Wilcoxon test. To predict metagenomic functions based on marker genes, PICRUSt2 (version 2.3.0) was employed. Differential metabolic pathway analysis was performed using the t-test.
3. Results
3.1. Basic Characteristics of the Study Cohort
Basic demographic information, including age, gender, height, weight, and body mass index (BMI), was recorded for each participant. [Table 1] Blood samples were withdrawn to analyze HbA1c levels, total cholesterol, and vitamin D levels.
A total of 24 individuals with type 2 diabetes mellitus (T2DM) and 11 healthy controls were enrolled in this study. A significant difference was observed in the gender distribution between the two groups. The diabetic group was predominantly male (79%), while the healthy group was predominantly female (64%) (Fisher’s exact test, p < 0.05). Additionally, a significant age difference was noted between the two groups. The median age in the diabetic group was 55 years (IQR: 47–59), whereas the median age in the healthy group was 28 years (IQR: 25–30) (Wilcoxon test, p < 0.001). The majority of diabetic patients were aged between 40 and 60 years (74%), with 8% aged 20–40 and 21% aged over 60. In contrast, all healthy controls were aged between 20 and 40 years. Regarding glycemic control, 54% of the diabetic group had HbA1c levels between 6.5% and 8.1%, indicating fair control. However, 38% of the diabetic group had poorly controlled HbA1c levels (>8.1%). Among the ten healthy controls with available HbA1c information, nine had levels below 5.7%, indicating optimal control, and one had a prediabetic level. Cholesterol levels were mostly within the normal range in both groups and did not differ significantly. A small proportion of individuals in both groups had borderline high cholesterol (25% in the diabetic group and 30% in the healthy group). However, no individuals in the healthy group had high cholesterol, while 13% of the diabetic group did. Vitamin D deficiency was observed in 13% of the diabetic group, insufficiency in 39%, and sufficiency in 48%. In the healthy group, 80% had vitamin D insufficiency, and 20% had sufficiency. Regarding body weight, only 10% of the diabetic group and 20% of the healthy group were classified as normal weight. Overweight individuals accounted for 50% and 40% of the diabetic and healthy groups, respectively. Additionally, 40% of the diabetic group and 30% of the healthy group were classified as obese.
3.2. Relative and Taxonomic Abundance Among Samples
To further investigate the microbial composition within each T2DM and healthy sample, a detailed analysis of the most abundant phyla was conducted. Bacteroidota and Firmicutes were the two predominant phyla observed across all samples. However, some variations were noted. One T2DM sample exhibited a dominance of Euryarchaeota, while one healthy sample showed a prevalence of Verrucomicrobiota.
Among the T2DM samples, nine showed a Bacteroidota prevalence of over 50%, while five samples had a prevalence of less than or equal to 30%. The remaining T2DM samples exhibited a Bacteroidota prevalence between 30% and 50%. In contrast, ten T2DM samples showed a Firmicutes prevalence of over 50%, three samples showed a prevalence of less than or equal to 30%, and eleven samples showed a prevalence between 30% and 50%. In the healthy group, eight out of eleven samples showed a Bacteroidota prevalence of over 45%, and five samples showed a Firmicutes prevalence of over 45%. Notably, Euryarchaeota was predominantly present only in T2DM samples, while Verrucomicrobiota was predominantly found in healthy samples. Figure 1A illustrates the predominant phyla in all the studied samples.
Figure 1.
(A) Relative abundance of the top phyla in T2DM and healthy individuals. X-axis represents the diabetes samples in red and healthy samples in green. Y-axis represents relative abundance as a percentage. (B) Heatmap illustrating the distribution of top phyla across samples, with hierarchical clustering applied to both samples and phyla. Columns represent the sample while rows represent phyla.
To further explore the relationships between samples based on their microbial composition, unsupervised hierarchical clustering was performed using the top phyla. This analysis resulted in the formation of two main clusters. One cluster predominantly contained T2DM samples, characterized by a dominance of Firmicutes or a shared dominance with Bacteroidota. The other cluster primarily included healthy samples, with Bacteroidota as the dominant phylum. Figure 1B depicts the heatmap and clustered samples.
Overall, the results suggest that T2DM samples exhibit greater microbial diversity compared to healthy samples, with a noticeable shift in dominance from Bacteroidota to Firmicutes.
3.3. Microbial Compositional Differences Between T2DM and Healthy Individuals
To further elucidate the microbial differences between T2DM and healthy individuals, a comparative analysis was conducted at the phylum, class, family, and genus levels. A total of 879 taxa were shared between the two groups. However, the T2DM group exhibited a higher degree of microbial diversity, with 1241 unique taxa not found in healthy individuals. Conversely, the healthy group had 450 unique taxa (Figure 2A).
Figure 2.
(A) Venn diagram depicting shared and unique taxa between T2DM and healthy individuals. (B) Differential abundance analysis of specific genera between T2DM and healthy groups. The left panel presents the bar graphs depicting mean value of the abundance of the genus in each group. The right panel is the confidence interval of between-group variations. The right-most value is the p-value of the significance test of between-group variation using the t-test. (C–E) Comparative analysis of the relative abundance of top phyla, families, and genera between T2DM and healthy groups.
At the phylum level, Bacteroidetes and Firmicutes were the dominant phyla in both groups. However, their relative abundances differed significantly. Healthy individuals displayed a higher proportion of Bacteroidetes, while diabetic patients had a higher abundance of Firmicutes. At the class level, Bacteroidia was more prevalent in healthy individuals, whereas Clostridia was more abundant in diabetic patients. Additionally, the Methanobacteria class was specific to the diabetic group, while Negativicutes and Verrucomicrobiae classes were more prominent in the healthy group (Figure 2B).
At the family level, Bacteroidaceae was more abundant in healthy individuals, while Prevotellaceae was more prevalent in the diabetic group. Notably, Lachnospiraceae and Ruminococcaceae were enriched in the diabetic group, whereas Akkermansiaceae was more abundant in the healthy group. At the genus level, Bacteroides was dominant in the healthy group, along with Akkermansia and Alistipes. In contrast, Prevotella_9 was the most abundant genus in the diabetic group. A statistical comparison between the T2DM and healthy groups revealed significant differences in the abundance of specific microbial genera. Faecalibacterium was significantly enriched in the T2DM group compared to the healthy group (t-test; p < 0.001) (Figure 2C–E). Additionally, Genus Agathobacter and Coprococcus showed increased abundance in the T2DM group (t-test; p < 0.05). Conversely, a decrease in the abundance of Bacteroides was observed in the T2DM group compared to the healthy group (t-test; p < 0.05).
3.4. Microbial Alpha-Diversity Comparative Analysis
Alpha diversity metrics were employed to assess the richness and evenness of microbial communities within each sample. A series of statistical analyses, including Chao1, dominance, observed features, Pielou’s evenness, Shannon, and Simpson indices, were performed. Table 2 represents the summary of these indices in this cohort.
Table 2.
Mean value of different alpha diversity indices in diabetes vs. healthy group. All the significant p-values are highlighted in bold.
A comparison of these indices between the T2DM and healthy groups revealed significant differences. The Chao1 index, which estimates species richness, was significantly higher in the T2DM group compared to the healthy group (Welch’s two-sample t-test, p = 0.038). Similarly, the number of observed features was significantly higher in the T2DM group (Welch’s two-sample t-test, p = 0.038). The Shannon index, which considers both species richness and evenness, was also higher in the T2DM group (p = 0.033). Pielou’s evenness index, which measures community evenness, showed a trend towards higher values in the T2DM group but was not significant (p = 0.058). However, no significant differences were observed in the dominance and Simpson indices between the two groups. These findings suggest that the T2DM group exhibits higher microbial diversity compared to the healthy group.
3.5. Microbial Beta Diversity Compararative Analysis
Beta diversity analysis was employed to assess the compositional differences in microbial communities between T2DM and healthy individuals. To this end, unweighted and weighted UniFrac distances were calculated based on phylogenetic relationships and abundance information of microbial features.Principal coordinate analysis (PCoA) and unweighted pair group method with arithmetic mean (UPGMA) clustering was performed to visualize and analyze inter-group differences. The results consistently demonstrated a clear separation between T2DM and healthy samples. The T2DM samples formed distinct clusters, while the healthy samples clustered together.Furthermore, the relative abundance of phyla was analyzed. Firmicutes and Bacteroidota were identified as the most prevalent phyla, with a few samples exhibiting higher levels of Verrucomicrobiota followed by Proteobacteria. The T2DM-enriched clusters were characterized by a predominance of Firmicutes, while the healthy clusters were dominated by Bacteroidota and Verrucomicrobiota. Figure 3 and Figure 4 depicts the UPGMA clustering and PCoA analysis respectively.
Figure 3.
UPGMA clustering of samples based on weighted UniFrac distance, with the relative abundance of phyla visualized for each sample. The phylogenetic tree shows the distances between samples, with T2DM samples marked in red and healthy samples in blue. The accompanying bar chart displays the abundance of microbial taxa, highlighting the dominance of phyla.
Figure 4.
Principal coordinate analysis (PCoA) plots based on weighted and unweighted UniFrac distances, illustrating the separation between T2DM and healthy samples. Each point on the plot represents a sample, positioned according to one principal component on the X-axis and another on the Y-axis. The points are color-coded by group. The percentage shown on each axis indicates the contribution of that principal component to the overall variance among the samples.
These findings strongly suggest that T2DM and healthy individuals harbor distinct microbial community structures, with significant differences in both phylogenetic relationships and microbial abundance.
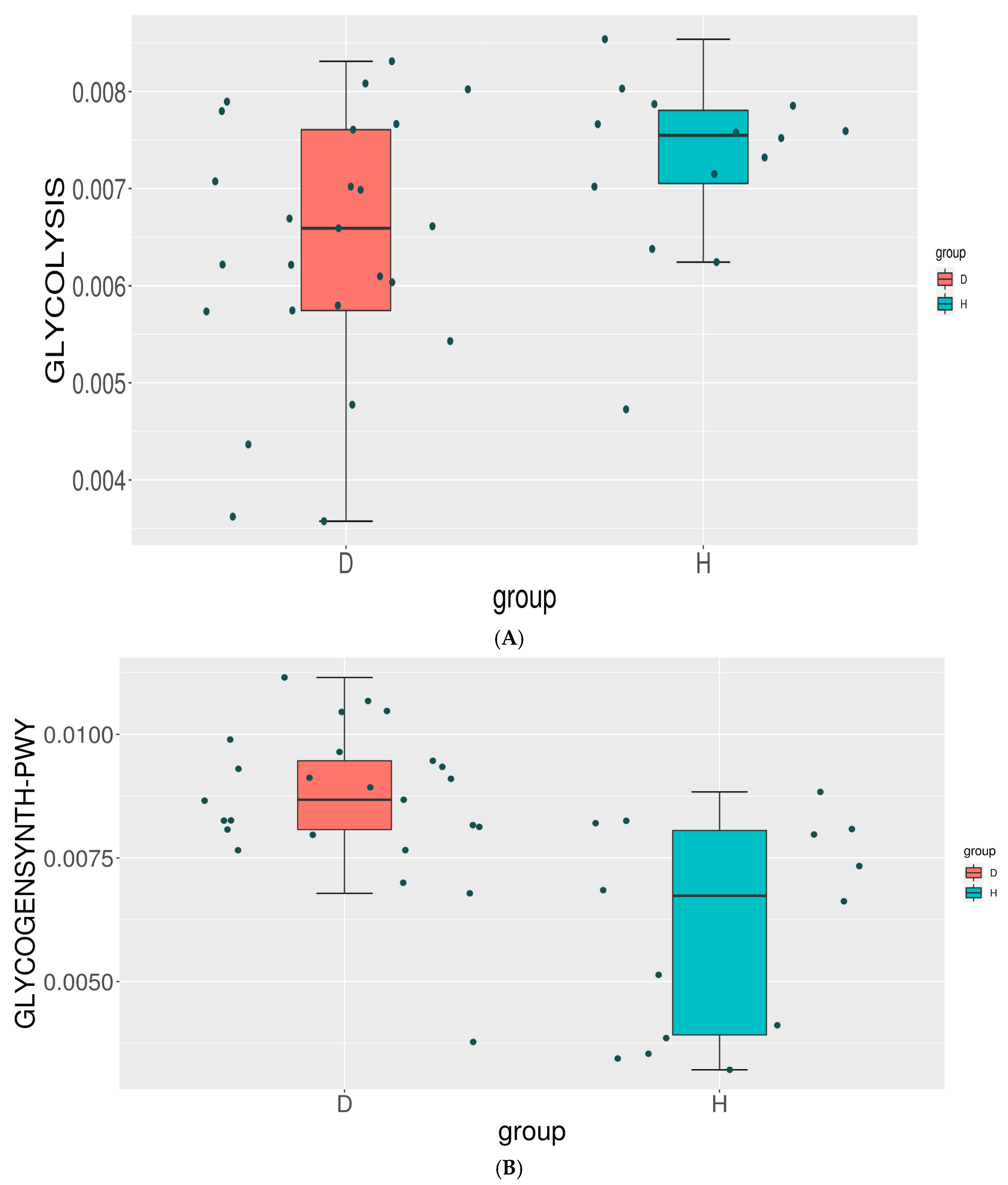
3.6. Functional Changes in Gut Microbiome
To predict the functional potential of the microbial communities, PICRUSt analysis was employed, utilizing 16S rRNA gene sequence data and the Kyoto Encyclopedia of Genes and Genomes (KEGG) database. The top 35 most abundant functions were identified for each sample. A comparative analysis of these predicted functions revealed significant differences between T2DM and healthy individuals. The glycolysis pathway, responsible for breaking down glucose into pyruvate and short-chain fatty acids (SCFAs), was predicted to be more active in the healthy group. SCFAs play a crucial role in gut health and insulin sensitivity. Conversely, the glycogen synthesis pathway, which converts glucose into glycogen, was predicted to be more active in the T2DM group. This pathway may contribute to altered glucose metabolism and insulin resistance in T2DM. Additionally, the anaerobic glycolysis pathway was predicted to be slightly more active in the T2DM group. Figure 5 illustrates the differential metabolic pathways between the two groups.

Figure 5.
Box plots comparing the relative abundance of specific metabolic pathways between T2DM and healthy individuals: (A) glycogen synthesis pathway; (B) glycolysis pathway; and (C) anaerobic glycolysis pathway.
4. Discussion
The primary aim of this pilot study was to explore the gut microbiota and associated bacteria in T2DM patients, compared to healthy subjects from a rural community in Saudi Arabia, where the traditional diet excludes Western food. Our findings indicate that the gut microbiota of T2DM is distinct from that of healthy controls. Both groups showed a predominance of Firmicutes and Bacteroidetes, in line with findings from Emirati populations [28]. However, the relative abundance of Firmicutes was higher in T2DM patients, whereas the healthy individuals showed a greater proportion of Bacteroidetes and Verrucomicrobiota. This is consistent with previous studies suggesting that the Firmicutes/Bacteroidetes ratio is higher in T2DM [7,21,28]. A study from Saudi Arabia also confirmed this pattern, with Firmicutes being prevalent in T2DM patients, along with increased microbial diversity in patients with higher HbA1c [19,29].
Our observations differ from the studies conducted in Western countries, where lower Firmicutes and Clostridia were reported to be lower in diabetic individuals [4]. On the other hand, research on African populations indicated that, in comparison with other populations, Firmicutes, Actinobacteria, Bacteroidetes, Clostridiaceae, and Peptostreptococcaceaea were notably reduced in T2DM patients [30]. In an Indian study, Firmicutes, Bacteroidetes, Proteobacteria and Actinobacteria were not significantly different from those in healthy controls [31].
Studies have confirmed the importance of metformin in regulating gut microbiota [32,33]. Although our study did not specifically assess metformin usage, its effects could be inferred based on previous literature [5,34,35]. A strong relationship has been observed between differences in ancestry, geographic regions, eating habits, research methods and gut microbiota [36]. Another possible explanation for this result is that, due to age, the diabetic group as more likely to be elderly, while the non-diabetic consisted of young adults; hence, microbial composition homeostasis mayt be subject to change [37].
Another finding at the class level was that Clostridia, and at the family level Lachnospiraceae and Ruminococcaceae, belonging to Firmicutes phylum, as well as the order level Oscillospirales and Lachnospirales, were abundant in diabetes patients. This could be explained by a non-Western, unprocessed diet. In this study, we did not include dietary intake due to insufficient data. The abundance of these families is associated with a healthy lifestyle and healthy diet due to their ability to digest complex plant materials that are indigestible by the host [38]. Other study shows an increase in both families following a 100% plant-based diet intervention combined with exercise and stress management, suggesting that changes in lifestyle and diet may effect their richness [39]. Lachnospiraceae and Ruminococcaceae have been found in diabetes patients in a previous study conducted in China [40]. Oscillospirales genus Oscillospia was associated positively with development and inflammation in T2DM disease in animal study [41].
Diabetes was associated positively with Lachnospiraceae, Faecalibacterium, and Agathobacter, and negatively with Bacteriodes. Fecalbacterium was inversely associated with fasting glucose in previous studies [42]. Another study on Mexican pediatric patients with metabolic syndrome and diabetes found a significant association between glucose levels, obesity, and Faecalibacterium [43,44]. Remarkably, in this study, this bacterium was positively associated with the diabetes group This could be explained by antidiabetic medications, notably Metformin, which have been shown to exert an important effect on the metagenomic profiles of individuals with T2DM [6,34].
The present findings indicate an increased relative abundance of Prevotellaceae_9 genera in individuals with T2D. This increased abundance is consistent with a UAE study that similarly reported a higher presence of Prevotella among individuals with T2DM [21]. This study suggests that this bacterial group tends to appear in diabetic individuals but is less prevalent in healthy populations. This distinction highlights its potential as a microbial marker specific to diabetes. Additionally, previous studies have linked Prevotellaceae_9 to varying levels of diabetes complications, suggesting its possible role in predicting the progression or severity of the disease [45]. On the other hand, an earlier study in the UAE found a decrease in this genus in T2DM individuals [22]. The association of this genus with dietary fiber and polysaccharide metabolism implies that the dietary habits of the T2DM group, particularly in rural regions, could be characterized by higher fiber intake and traditional, non-Western foods such as whole wheat [46,47]. Notably, a previous study linked the increased presence of Prevotella with poorer glycemic control [48]. Overall, these results may indicate an alteration in gut microbiota related to glucose levels and complications of diabetes, and thus can support research into diagnosing the stages of development of this disease.
Healthy controls exhibited an increased presence of Akkermansia, Bacteroides, and Alistipes genera, consistent with previous studies conducted in China on diabetic individuals [40,48]. T2DM patients display significantly lower levels of Akkermansia muciniphila, which has been shown to regulate intestinal permeability by preserving the mucosal layer, which in turn is associated with glycemic control, insulin resistance management, and lower plasma cholesterol [49]. Akkermansia is vital for maintaining the integrity of the mucin layer and reducing inflammation. Mucins are large, highly glycosylated proteins that play a role in the luminal protection of the GIT, leading to a reduction in bacterial translocation and improvements in the storage of fat, adipose tissue metabolism, and glucose homeostasis [50].
Regarding the functional differences in gut microbiota between the two groups, the glycolysis pathway was found in healthy controls, responsible for breaking down carbohydrates and producing short-chain fatty acids such as acetate, propionate, and butyrate, which contribute to host health. On the other hand, glycogenesis was observed in the disease group, which is responsible for glycogen synthesis. This finding indicates that SCFAs may be involved in T2DM development. Among them, butyrate is one of the most well-studied SCFAs produced by the gut microbiota. It could ameliorate the progression of T2DM via a variety of mechanisms, including maintaining the integrity of the intestinal epithelial barrier [51], promoting liver glycogen metabolism [52], and regulating the function of mitochondria [53]. Likewise, acute supplementation of propionate increased postprandial plasma levels of these two gut hormones in humans, and its long-term supplementation prevented weight gain and worsening insulin sensitivity in overweight adults [54]. Moreover, propionate activated intestinal gluconeogenesis via the GPR41-dependent gut-brain neural circuit, thereby maintaining glucose and energy homeostasis [55].
5. Strength
This is the first study investigating a Saudi rural, non-Western diet population. Overall, our results emphasize the previous studies suggestion, which is that different taxa are indeed reported to be associated with T2DM positively and negatively in different studies. We confirm the differences between T2DM and HC in the abundance of several different genera.
6. Limitation
This pilot study focused on limited numbers of Saudi rural area participants only, so the results and interpretation should be taken with caution. The recruitment of volunteers was very challenging due to people’s reluctance to give stool samples. The lower number of T2DM patients and healthy controls could be one explanation for richness of the disease group microbiota. Differences in diet may be another factor affecting the results, as no detailed description of the diet was recorded. To strengthen the foundation for developing bacterial signatures for T2D, future studies should be larger, international, multi-site studies, to account for variation in inter-individual microbiota. Possible confounding factors that ought to be controlled closely include medication use, diet, and lifestyle.
7. Conclusions
In conclusion, this pilot study revealed that Saudi diabetes patients have a distinct microbiome composition compared to the healthy control population at the phylum, family, and genus levels. Additionally, T2DM glucose levels and the development of the disease result in differences in the diversity features of intestinal microorganisms. This may contribute to the complex interaction between the host and the gut microbiota.
Author Contributions
Conceptualization, S.N.A. and E.J.A.; methodology, S.N.A., E.J.A., M.A., A.A.A., M.A.A., A.M.A., R.A.A.E.-R. and R.M.; software, S.N.A. and E.J.A.; validation, S.N.A., E.J.A., and R.M.; formal analysis, S.N.A., E.J.A., M.A., A.A.A. and R.M.; investigation, S.N.A. and R.M.; writing—original draft preparation, S.N.A., E.A, M.A., A.A.A., M.A.A., A.M.A., R.A.A.E.-R. and R.M. and R.M.; writing—review and editing, S.N.A., E.J.A., M.A., A.A.A., M.A.A., A.M.A., R.A.A.E.-R. and R.M.; visualization, R.M. and S.N.A.; supervision, S.N.A.; project administration, S.N.A., E.J.A., M.A., A.A.A., M.A.A., A.M.A. and R.A.A.E.-R.; funding acquisition, S.N.A. All authors have read and agreed to the published version of the manuscript.
Funding
The authors extend their appreciation to the Deanship of Scientific Research at Shaqra University for funding this research through project number (SU-ANN-2023056).
Institutional Review Board Statement
The study was performed after receiving ethical approval from Shaqra University Ethics Research Committee (ERC_SU_20220053) approved on 20-06-2022. All experimental protocols involving human data followed the Declaration of Helsinki and were approved by the competent Research Ethics Committee of Shaqra University.
Informed Consent Statement
Informed consent was obtained from all subjects involved in the study.
Data Availability Statement
All data is available on request at. Departments of Food and Nutrition Science, Al-Quwayiyah College of Sciences and Humanities, Shaqra University, Al-Quwayiyah 11971, Saudi Arabia. snalarifi@su.edu.sa.
Acknowledgments
The authors are highly thankful to the Deanship of Scientific Research at Shaqra University for supported this study (Code -SU-ANN-2023056).
Conflicts of Interest
The authors declare no conflicts of interest.
References
- Khan, M.A.B.; Hashim, M.J.; King, J.K.; Govender, R.D.; Mustafa, H.; Al Kaabi, J. Epidemiology of type 2 diabetes–global burden of disease and forecasted trends. J. Epidemiol. Glob. Health 2020, 10, 107–111. [Google Scholar] [CrossRef] [PubMed]
- American Diabetes Association. Diagnosis and classification of diabetes mellitus. Diabetes Care 2010, 33 (Suppl. S1), S62–S69. [Google Scholar] [CrossRef] [PubMed]
- Schellenberg, E.S.; Dryden, D.M.; Vandermeer, B.; Ha, C.; Korownyk, C. Lifestyle interventions for patients with and at risk for type 2 diabetes: A systematic review and meta-analysis. Ann. Intern. Med. 2013, 159, 543–551. [Google Scholar] [CrossRef]
- Larsen, N.; Vogensen, F.K.; Van Den Berg, F.W.J.; Nielsen, D.S.; Andreasen, A.S.; Pedersen, B.K.; Al-Soud, W.A.; Sørensen, S.J.; Hansen, L.H.; Jakobsen, M. Gut microbiota in human adults with type 2 diabetes differs from non-diabetic adults. PLoS ONE 2010, 5, e9085. [Google Scholar] [CrossRef] [PubMed]
- Qin, J.; Li, Y.; Cai, Z.; Li, S.; Zhu, J.; Zhang, F.; Liang, S.; Zhang, W.; Guan, Y.; Shen, D.; et al. A metagenome-wide association study of gut microbiota in type 2 diabetes. Nature 2012, 490, 55–60. [Google Scholar] [CrossRef]
- Karlsson, F.H.; Tremaroli, V.; Nookaew, I.; Bergström, G.; Behre, C.J.; Fagerberg, B.; Nielsen, J.; Bäckhed, F. Gut metagenome in European women with normal, impaired and diabetic glucose control. Nature 2013, 498, 99–103. [Google Scholar] [CrossRef] [PubMed]
- Zhang, X.; Shen, D.; Fang, Z.; Jie, Z.; Qiu, X.; Zhang, C.; Chen, Y.; Ji, L. Human gut microbiota changes reveal the progression of glucose intolerance. PLoS ONE 2013, 8, e71108. [Google Scholar] [CrossRef]
- Boutayeb, A.; Boutayeb, W.; Lamlili, M.E.N.; Boutayeb, S. Estimation of the direct cost of diabetes in the Arab region. Mediterr. J. Nutr. Metab. 2014, 7, 21–32. [Google Scholar] [CrossRef]
- Ogurtsova, K.; da Rocha Fernandes, J.D.; Huang, Y.; Linnenkamp, U.; Guariguata, L.; Cho, N.H.; Cavan, D.; Shaw, J.E.; Makaroff, L.E. IDF Diabetes Atlas: Global estimates for the prevalence of diabetes for 2015 and 2040. Diabetes Res. Clin. Pract. 2017, 128, 40–50. [Google Scholar] [CrossRef] [PubMed]
- Glasgow, R.E.; Ruggiero, L.; Eakin, E.G.; Dryfoos, J.; Chobanian, L. Quality of Life and Associated Characteristics in a Large National Sample of Adults With Diabetes. Diabetes Care 1997, 20, 562–567. [Google Scholar] [CrossRef] [PubMed]
- The Emerging Risk Factors Collaboration. Diabetes Mellitus, Fasting Glucose, and Risk of Cause-Specific Death. N. Engl. J. Med. 2011, 364, 829–841. [Google Scholar] [CrossRef] [PubMed]
- Klein, R.; Klein, B.E.K.; Moss, S.E. Relation of Glycemic Control to Diabetic Microvascular Complications in Diabetes Mellitus. Ann. Intern. Med. 1996, 124 Pt 2, 90–96. [Google Scholar] [CrossRef] [PubMed]
- Al-Nuaim, A.R.; Mirdad, S.; Al-Rubeaan, K.; Al-Mazrou, Y.; Al-Attas, O.; Al-Daghari, N. Pattern and Factors Associated with Glycemic Control of Saudi Diabetic Patients. Ann. Saudi Med. 1998, 18, 109–112. [Google Scholar] [CrossRef] [PubMed]
- Alzaheb, R.A.; Altemani, A.H. The prevalence and determinants of poor glycemic control among adults with type 2 diabetes mellitus in Saudi Arabia. Diabetes Metab. Syndr. Obes. Targets Ther. 2018, 11, 15–21. [Google Scholar] [CrossRef] [PubMed]
- Al-Qahtani, A.M. Frequency and factors associated with inadequate self-care behaviors in patients with type 2 diabetes mellitus in Najran, Saudi Arabia: Based on diabetes self-management questionnaire. Saudi Med. J. 2020, 41, 955–964. [Google Scholar] [CrossRef] [PubMed]
- Zhou, W.; Sailani, M.R.; Contrepois, K.; Zhou, Y.; Ahadi, S.; Leopold, S.R.; Zhang, M.J.; Rao, V.; Avina, M.; Mishra, T.; et al. Longitudinal multi-omics of host–microbe dynamics in prediabetes. Nature 2019, 569, 663–671. [Google Scholar] [CrossRef]
- Lu, J.; Ma, K.L.; Ruan, X.Z. Dysbiosis of gut microbiota contributes to the development of diabetes mellitus. Infect. Microbes Dis. 2019, 1, 43–48. [Google Scholar] [CrossRef]
- Sharma, S.; Tripathi, P. Gut microbiome and type 2 diabetes: Where we are and where to go? J. Nutr. Biochem. 2019, 63, 101–108. [Google Scholar] [CrossRef]
- Napolitano, A.; Miller, S.; Nicholls, A.W.; Baker, D.; Van Horn, S.; Thomas, E.; Rajpal, D.; Spivak, A.; Brown, J.R.; Nunez, D.J. Novel gut-based pharmacology of metformin in patients with type 2 diabetes mellitus. PLoS ONE 2014, 9, e100778. [Google Scholar] [CrossRef] [PubMed]
- Gurung, M.; Li, Z.; You, H.; Rodrigues, R.; Jump, D.B.; Morgun, A.; Shulzhenko, N. Role of gut microbiota in type 2 diabetes pathophysiology. EBioMedicine 2020, 51, 102590. [Google Scholar] [CrossRef]
- Al Bataineh, M.T.; Henschel, A.; Mousa, M.; Daou, M.; Waasia, F.; Kannout, H.; Khalili, M.; Kayasseh, M.A.; Alkhajeh, A.; Uddin, M.; et al. Gut microbiota interplay with COVID-19 reveals links to host lipid metabolism among middle eastern populations. Front. Microbiol. 2021, 12, 761067. [Google Scholar] [CrossRef]
- Al Bataineh, M.T.; Dash, N.R.; Lassen, P.B.; Banimfreg, B.H.; Nada, A.M.; Belda, E.; Clément, K. Revealing links between gut microbiome and its fungal community in Type 2 Diabetes Mellitus among Emirati subjects: A pilot study. Sci. Rep. 2020, 10, 9624. [Google Scholar] [CrossRef] [PubMed]
- He, Y.; Wu, W.; Zheng, H.M.; Li, P.; McDonald, D.; Sheng, H.-F.; Chen, M.-X.; Chen, Z.-H.; Ji, G.-Y.; Zheng, Z.-D.; et al. Regional variation limits applications of healthy gut microbiome reference ranges and disease models. Nat. Med. 2018, 24, 1532–1535. [Google Scholar] [CrossRef] [PubMed]
- Caporaso, J.G.; Lauber, C.L.; Walters, W.A.; Berg-Lyons, D.; Lozupone, C.A.; Turnbaugh, P.J.; Fierer, N.; Knight, R. Global patterns of 16S rRNA diversity at a depth of millions of sequences per sample. Proc. Natl. Acad. Sci. USA 2011, 108 (Suppl. S1), 4516–4522. [Google Scholar] [CrossRef] [PubMed]
- Magoč, T.; Salzberg, S.L. FLASH: Fast length adjustment of short reads to improve genome assemblies. Bioinformatics 2011, 27, 2957–2963. [Google Scholar] [CrossRef] [PubMed]
- Bokulich, N.A.; Subramanian, S.; Faith, J.J.; Gevers, D.; Gordon, J.I.; Knight, R.; Mills, D.A.; Caporaso, J.G. Quality-filtering vastly improves diversity estimates from Illumina amplicon sequencing. Nat. Methods 2013, 10, 57–59. [Google Scholar] [CrossRef] [PubMed]
- Edgar, R.C.; Haas, B.J.; Clemente, J.C.; Quince, C.; Knight, R. UCHIME improves sensitivity and speed of chimera detection. Bioinformatics 2011, 27, 2194–2200. [Google Scholar] [CrossRef]
- Dash, N.R.; Al Bataineh, M.T.; Alili, R.; Al Safar, H.; Alkhayyal, N.; Prifti, E.; Zucker, J.-D.; Belda, E.; Clément, K. Functional alterations and predictive capacity of gut microbiome in type 2 diabetes. Sci. Rep. 2023, 13, 22386. [Google Scholar] [CrossRef] [PubMed]
- Al-Muhanna, F.A.; Dowdell, A.K.; Al Eleq, A.H.; Albaker, W.I.; Brooks, A.W.; Al-Sultan, A.I.; Al-Rubaish, A.M.; Alkharsah, K.R.; Sulaiman, R.M.; Al-Quorain, A.A.; et al. Gut microbiota analyses of Saudi populations for type 2 diabetes-related phenotypes reveals significant association. BMC Microbiol. 2022, 22, 301. [Google Scholar] [CrossRef]
- Doumatey, A.P.; Adeyemo, A.; Zhou, J.; Lei, L.; Adebamowo, S.N.; Adebamowo, C.; Rotimi, C.N. Gut Microbiome Profiles Are Associated With Type 2 Diabetes in Urban Africans. Front. Cell. Infect. Microbiol. 2020, 10, 63. [Google Scholar] [CrossRef] [PubMed]
- Das, T.; Jayasudha, R.; Chakravarthy, S.; Prashanthi, G.S.; Bhargava, A.; Tyagi, M.; Rani, P.K.; Pappuru, R.R.; Sharma, S.; Shivaji, S. Alterations in the gut bacterial microbiome in people with type 2 diabetes mellitus and diabetic retinopathy. Sci. Rep. 2021, 11, 2738. [Google Scholar] [CrossRef] [PubMed]
- Sun, L.; Xie, C.; Wang, G.; Wu, Y.; Wu, Q.; Wang, X.; Liu, J.; Deng, Y.; Xia, J.; Chen, B.; et al. Gut microbiota and intestinal FXR mediate the clinical benefits of metformin. Nat. Med. 2018, 24, 1919–1929. [Google Scholar] [CrossRef]
- Wu, H.; Esteve, E.; Tremaroli, V.; Khan, M.T.; Caesar, R.; Manneras-Holm, L.; Stahlman, M.; Olsson, L.M.; Serino, M.; Planas-Felix, M.; et al. Metformin alters the gut microbiome of individuals with treatment-naive type 2 diabetes, contributing to the therapeutic effects of the drug. Nat. Med. 2017, 23, 850–858. [Google Scholar] [CrossRef]
- Forslund, K.; Hildebrand, F.; Nielsen, T.; Falony, G.; Le Chatelier, E.; Sunagawa, S.; Prifti, E.; Vieira-Silva, S.; Gudmundsdottir, V.; Pedersen, H.K.; et al. Correction: Corrigendum: Disentangling type 2 diabetes and metformin treatment signatures in the human gut microbiota. Nature 2017, 545, 116. [Google Scholar] [CrossRef] [PubMed]
- Han, J.-L.; Lin, H.-L. Intestinal microbiota and type 2 diabetes: From mechanism insights to therapeutic perspective. World J. Gastroenterol. 2014, 20, 17737–17745. [Google Scholar] [CrossRef] [PubMed]
- Jeffery, I.B.; Lynch, D.B.; O’Toole, P.W. Composition and temporal stability of the gut microbiota in older persons. ISME J. 2016, 10, 170–182. [Google Scholar] [CrossRef] [PubMed]
- Dash, N.R.; Al Bataineh, M.T. Metagenomic Analysis of the Gut Microbiome Reveals Enrichment of Menaquinones (Vitamin K2) Pathway in Diabetes Mellitus. Diabetes Metab. J. 2021, 45, 77–85. [Google Scholar] [CrossRef]
- Biddle, A.; Stewart, L.; Blanchard, J.; Leschine, S. Untangling the genetic basis of fibrolytic specialization by lachnospiraceae and ruminococcaceae in diverse gut communities. Diversity 2013, 5, 627–640. [Google Scholar] [CrossRef]
- Ahrens, A.P.; Culpepper, T.; Saldivar, B.; Anton, S.; Stoll, S.; Handberg, E.M.; Xu, K.; Pepine, C.; Triplett, E.W.; Aggarwal, M. A six-day, lifestyle-based immersion program mitigates cardiovascular risk factors and induces shifts in gut microbiota, specifically Lachnospiraceae, Ruminococcaceae, Faecalibacterium prausnitzii: A pilot study. Nutrients 2021, 13, 3459. [Google Scholar] [CrossRef] [PubMed]
- Zhao, L.; Lou, H.; Peng, Y.; Chen, S.; Zhang, Y.; Li, X. Comprehensive relationships between gut microbiome and faecal metabolome in individuals with type 2 diabetes and its complications. Endocrine 2019, 66, 526–537. [Google Scholar] [CrossRef]
- Zhu, Y.; Dong, L.; Huang, L.; Shi, Z.; Dong, J.; Yao, Y.; Shen, R. Effects of oat β-glucan, oat resistant starch, and the whole oat flour on insulin resistance, inflammation, and gut microbiota in high-fat-diet-induced type 2 diabetic rats. J. Funct. Foods 2020, 69, 103939. [Google Scholar] [CrossRef]
- Ferrocino, I.; Ponzo, V.; Gambino, R.; Zarovska, A.; Leone, F.; Monzeglio, C.; Goitre, I.; Rosato, R.; Romano, A.; Grassi, G.; et al. Changes in the gut microbiota composition during pregnancy in patients with gestational diabetes mellitus (GDM). Sci. Rep. 2018, 8, 12216. [Google Scholar] [CrossRef] [PubMed]
- Gallardo-Becerra, L.; Cornejo-Granados, F.; García-López, R.; Valdez-Lara, A.; Bikel, S.; Canizales-Quinteros, S.; López-Contreras, B.E.; Mendoza-Vargas, A.; Nielsen, H.; Ochoa-Leyva, A. Metatranscriptomic analysis to define the Secrebiome, and 16S rRNA profiling of the gut microbiome in obesity and metabolic syndrome of Mexican children. Microb. Cell Factories 2020, 19, 61. [Google Scholar] [CrossRef] [PubMed]
- Carrizales-Sánchez, A.K.; Tamez-Rivera, O.; Rodríguez-Gutiérrez, N.A.; Elizondo-Montemayor, L.; Gradilla-Hernández, M.S.; García-Rivas, G.; Pacheco, A.; Senés-Guerrero, C. Characterization of gut microbiota associated with metabolic syndrome and type-2 diabetes mellitus in Mexican pediatric subjects. BMC Pediatr. 2023, 23, 210. [Google Scholar] [CrossRef] [PubMed]
- De Filippis, F.; Pasolli, E.; Tett, A.; Tarallo, S.; Naccarati, A.; De Angelis, M.; Neviani, E.; Cocolin, L.; Gobbetti, M.; Segata, N.; et al. Distinct Genetic and Functional Traits of Human Intestinal Prevotella copri Strains Are Associated with Different Habitual Diets. Cell Host Microbe 2019, 25, 444–453.e443. [Google Scholar] [CrossRef] [PubMed]
- Wu, G.D.; Chen, J.; Hoffmann, C.; Bittinger, K.; Chen, Y.-Y.; Keilbaugh, S.A.; Bewtra, M.; Knights, D.; Walters, W.A.; Knight, R.; et al. Linking Long-Term Dietary Patterns with Gut Microbial Enterotypes. Science 2011, 334, 105–108. [Google Scholar] [CrossRef]
- Tsai, C.-Y.; Liu, P.-Y.; Huang, M.-C.; Chang, C.-I.; Chen, H.-Y.; Chou, Y.-H.; Tsai, C.N.; Lin, C.-H. Abundance of Prevotella copri in gut microbiota is inversely related to a healthy diet in patients with type 2 diabetes. J. Food Drug Anal. 2023, 31, 599–608. [Google Scholar] [CrossRef]
- Li, Q.; Chang, Y.; Zhang, K.; Chen, H.; Tao, S.; Zhang, Z. Implication of the gut microbiome composition of type 2 diabetic patients from northern China. Sci. Rep. 2020, 10, 5450. [Google Scholar] [CrossRef] [PubMed]
- Depommier, C.; Everard, A.; Druart, C.; Plovier, H.; Van Hul, M.; Vieira-Silva, S.; Falony, G.; Raes, J.; Maiter, D.; Delzenne, N.M.; et al. Supplementation with Akkermansia muciniphila in overweight and obese human volunteers: A proof-of-concept exploratory study. Nat. Med. 2019, 25, 1096–1103. [Google Scholar] [CrossRef]
- Everard, A.; Belzer, C.; Geurts, L.; Ouwerkerk, J.P.; Druart, C.; Bindels, L.B.; Guiot, Y.; Derrien, M.; Muccioli, G.G.; Delzenne, N.M.; et al. Cross-talk between Akkermansia muciniphila and intestinal epithelium controls diet-induced obesity. Proc. Natl. Acad. Sci. USA 2013, 110, 9066–9071. [Google Scholar] [CrossRef]
- Cheng, J.; Xue, F.; Zhang, M.; Cheng, C.; Qiao, L.; Ma, J.; Sui, W.; Xu, X.; Gao, C.; Hao, P.; et al. TRIM31 Deficiency Is Associated With Impaired Glucose Metabolism and Disrupted Gut Microbiota in Mice. Front. Physiol. 2018, 9, 24. [Google Scholar] [CrossRef] [PubMed]
- Zhang, W.-Q.; Zhao, T.-T.; Gui, D.-K.; Gao, C.-L.; Gu, J.-L.; Gan, W.-J.; Huang, W.; Xu, Y.; Zhou, H.; Chen, W.-N.; et al. Sodium Butyrate Improves Liver Glycogen Metabolism in Type 2 Diabetes Mellitus. J. Agric. Food Chem. 2019, 67, 7694–7705. [Google Scholar] [CrossRef]
- Zhao, T.; Gu, J.; Zhang, H.; Wang, Z.; Zhang, W.; Zhao, Y.; Zheng, Y.; Zhang, W.; Zhou, H.; Zhang, G.; et al. Sodium Butyrate-Modulated Mitochondrial Function in High-Insulin Induced HepG2 Cell Dysfunction. Oxidative Med. Cell. Longev. 2020, 2020, 1904609. [Google Scholar] [CrossRef] [PubMed]
- Chambers, E.S.; Viardot, A.; Psichas, A.; Morrison, D.J.; Murphy, K.G.; Zac-Varghese, S.E.K.; MacDougall, K.; Preston, T.; Tedford, C.; Finlayson, G.S.; et al. Effects of Targeted Delivery of Propionate to the Human Colon on Appetite Regulation, Body Weight Maintenance and Adiposity in Overweight Adults. Gut 2015, 64, 1744–1754. [Google Scholar] [CrossRef] [PubMed]
- De Vadder, F.; Kovatcheva-Datchary, P.; Goncalves, D.; Vinera, J.; Zitoun, C.; Duchampt, A.; Bäckhed, F.; Mithieux, G. Microbiota-Generated Metabolites Promote Metabolic Benefits via Gut-Brain Neural Circuits. Cell 2014, 156, 84–96. [Google Scholar] [CrossRef] [PubMed]
Disclaimer/Publisher’s Note: The statements, opinions and data contained in all publications are solely those of the individual author(s) and contributor(s) and not of MDPI and/or the editor(s). MDPI and/or the editor(s) disclaim responsibility for any injury to people or property resulting from any ideas, methods, instructions or products referred to in the content. |
© 2024 by the authors. Licensee MDPI, Basel, Switzerland. This article is an open access article distributed under the terms and conditions of the Creative Commons Attribution (CC BY) license (https://creativecommons.org/licenses/by/4.0/).





