Non-Targeted Metabolomics of White Rhinoceros Colostrum and Its Changes During Early Lactation by 1H Nuclear Magnetic Resonance Spectroscopy
Abstract
1. Introduction
2. Materials and Methods
2.1. Animals and Sample Collection
2.2. Sample Preparation of Milk for NMR Analysis
2.3. 1H NMR Analysis
2.4. 1H NMR Processing
2.5. Data Analysis
3. Results
3.1. Metabolite Profile
3.2. Significantly Different Metabolites
3.3. KEGG Pathway Enrichment Analysis of Significantly Different Metabolites
3.4. Key Metabolites Involved in Prominent Metabolic Pathways
4. Discussion
5. Conclusions
Author Contributions
Funding
Institutional Review Board Statement
Informed Consent Statement
Data Availability Statement
Acknowledgments
Conflicts of Interest
References
- Osthoff, G.; Beukes, B.; Steyn, A.C.; Hugo, A.; Deacon, F.; Butler, H.J.B.; O’Neill, F.H.; Grobler, J.P. Milk composition of white rhinoceros over lactation and comparison with other Perissodactyla. Zoo Biol. 2021, 40, 417–428. [Google Scholar] [CrossRef] [PubMed]
- Salimei, E.; Fantuz, F.; Coppola, R.; Chiofalo, B.; Polidori, P.; Varisco, G. Composition and characteristics of ass’s milk. Anim. Res. 2004, 53, 67–78. [Google Scholar] [CrossRef]
- Salimei, E.; Fantuz, F. Equid milk for human consumption. Int. Dairy J. 2012, 24, 130–142. [Google Scholar] [CrossRef]
- Doreau, M.; Martuzzi, F. Fat content and composition of mare’s milk. In Nutrition and Feeding of the Broodmare; Miraglia, N., Martin-Rosset, W., Eds.; EAAP Publication: Rome, Italy; Wageningen Academic Publishers: Wageningen, The Netherlands, 2006; pp. 77–87. [Google Scholar]
- Markiewicz-Keszycka, M.; Wójtowski, J.; Czyzak-Runowska, G.; Kuczynska, B.; Puppel, K.; Krzyzewski, J.; Strza1kowska, N.; Józwik, A.; Bagnicka, E. Concentration of selected fatty acids, fat-soluble vitamins and b-carotene in late lactation mares’ milk. Int. Dairy J. 2014, 38, 31–36. [Google Scholar] [CrossRef]
- Oftedal, O.T.; Jenness, R. Interspecies variation in milk composition amongst horses, zebras and asses (Perissodactyla; Equidae). J. Dairy Res. 1988, 55, 57–66. [Google Scholar] [CrossRef] [PubMed]
- Van Nieuwenhove, C.; Perez, M.E.; Hernandez, M.; Luna Pizarro, P. Characterization of gross composition, energy value and fatty acid profile of lowland tapir (Tapirus terrestris L., 1758) milk during different lactation periods. Can. J. Zool. 2014, 92, 803–809. [Google Scholar] [CrossRef]
- Gimmel, A.; Hoby, S.; Deillon, L.; Von Houwald, F.; Schweizer, R.; Kölln, M.; Ratert, C.; Liesegang, A. Milk composition of Indian rhinoceros (Rhinoceros unicornis) and changes over lactation. J. Zoo Wildlife Med. 2018, 49, 704–714. [Google Scholar] [CrossRef]
- Gregory, M.E.; Rowland, S.J.; Thompson, S.Y.; Kon, V.M. Changes during lactation in the composition of the milk of the African black rhinoceros (Diceros bicornis). Proc. Zool. Soc. Lond. 1964, 145, 327–333. [Google Scholar] [CrossRef]
- Dessì, A.; Briana, D.; Corbu, S.; Gavrili, S.; Marincola, F.C.; Georgantzi, S.; Pintus, R.; Fanos, V.; Malamitsi-Puchner, A. Metabolomics of Breast Milk: The Importance of Phenotypes. Metabolites 2018, 8, 79. [Google Scholar] [CrossRef]
- Nolan, L.S.; Lewis, A.N.; Gong, Q.; Sollome, J.J.; DeWitt, O.N.; Williams, R.D.; Good, M. Untargeted Metabolomic Analysis of Human Milk from Mothers of Preterm Infants. Nutrients 2021, 13, 3604. [Google Scholar] [CrossRef]
- Li, M.; Chen, J.; Shen, X.; Abdlla, R.; Liu, L.; Yue, X.; Li, Q. Metabolomics-based comparative study of breast colostrum and mature breast milk. Food Chem. 2022, 384, 132491. [Google Scholar] [CrossRef] [PubMed]
- Scano, P.; Murgia, A.; Pirisi, F.M.; Caboni, P. A gas chromatography-mass spectrometry-based metabolomic approach for the characterization of goat milk compared with cow milk. J. Dairy Sci. 2014, 97, 6057–6066. [Google Scholar] [CrossRef] [PubMed]
- Settachaimongkon, S.; Wannakajeepiboon, N.; Arunpunporn, P.; Mekboonsonglarp, W.; Makarapong, D. Changes in Bovine Colostrum Metabolites during Early Postpartum Period Revealed by 1 H-NMR Metabolomics. Trop. Animal Sci. J. 2021, 44, 229–239. [Google Scholar] [CrossRef]
- Tenori, L.; Santucci, C.; Meoni, G.; Morrocchi, V.; Matteucci, G.; Luchinat, C. NMR metabolomic fingerprinting distinguishes milk from different farms. Food Res. Int. 2018, 113, 131–139. [Google Scholar] [CrossRef]
- Cabrera, D.; Fraser, K.; Roy, N.C. A metabolomics analysis of inter-species and seasonal trends in ruminant milk: The molecular difference between bovine, caprine and ovine milk. J. Dairy Sci. 2023, 107, 6511–6527. [Google Scholar] [CrossRef]
- Li, R.; Wang, S.; Zhang, J.; Miao, J.; Chen, G.; Dong, J.; Wu, L.; Yue, H.; Yang, J. Untargeted metabolomics allows to discriminate raw camel milk, heated camel milk, and camel milk powder. Int. Dairy J. 2022, 124, 105140. [Google Scholar] [CrossRef]
- Li, M.; Kang, S.; Zheng, Y.; Shao, J.; Zhao, H.; An, Y.; Cao, G.; Li, Q.; Yue, X.; Yang, M. Comparative metabolomics analysis of donkey colostrum and mature milk using ultra-high-performance liquid tandem chromatography quadrupole time-of-flight mass spectrometry. J. Dairy Sci. 2020, 103, 992–1001. [Google Scholar] [CrossRef]
- Laus, F.; Laghi, L.; Bazzano, M.; Cifone, M.G.; Cinque, B.; Yang, Y.; Marchegiani, A. Donkey colostrum and milk: How dietary probiotics can affect metabolomic profile, alkaline sphingomyelinase and alkaline phosphatase activity. Metabolites 2023, 13, 622. [Google Scholar] [CrossRef]
- Garhwal, R.; Sangwan, K.; Mehra, R.; Bhardwaj, A.; Pal, Y.; Nayan, V.; Legha, R.A.; Tiwari, M.; Chauhan, M.S.; Iquebal, M.A.; et al. Comparative metabolomics analysis of Halari donkey colostrum and mature milk throughout lactation stages using 1H Nuclear Magnetic Resonance. LWT—Food Sci. Tech. 2023, 182, 114805. [Google Scholar] [CrossRef]
- Yang, Y.; Lv, K.; Zhang, Y.; Wang, X.; Deng, L. Widely targeted metabolomics reveals dynamic alterations in colostrum, transitional, and mature milk of jennies. LWT—Food Sci. Tech. 2024, 200, 116179. [Google Scholar] [CrossRef]
- Xu, W.; Van Knegsel, A.; Saccenti, E.; Van Hoeij, R.; Kemp, B.; Vervoort, J. Metabolomics of milk reflects a negative energy balance in cows. J. Proteome Res. 2020, 19, 2942–2949. [Google Scholar] [CrossRef]
- Rocchetti, G.; O’Callaghan, T.F. Application of metabolomics to assess milk quality and traceability. Curr. Opin. Food Sci. 2021, 40, 168–178. [Google Scholar] [CrossRef]
- Osthoff, G.; Wiese, I.; Deacon, F. African elephant milk short saccharide and metabolite composition and their changes over lactation. Animals 2023, 13, 544. [Google Scholar] [CrossRef]
- Zhang, T.; Zhang, R.; Zhang, L.; Zhang, Z.; Hou, R.; Wang, H.; Loeffler, I.K.; Watson, D.G.; Kennedy, D.G. Changes in the Milk Metabolome of the Giant Panda (Ailuropoda melanoleuca) with Time after Birth—Three Phases in Early Lactation and Progressive Individual Differences. PLoS ONE 2015, 10, e0143417. [Google Scholar] [CrossRef]
- Gowda, G.A.N.; Raftery, D. Quantitative NMR Methods in Metabolomics. Handb. Exp. Pharmacol. 2023, 277, 143–164. [Google Scholar] [CrossRef]
- Rathe, M.; Müller, K.; Sangild, P.T.; Husby, S. Clinical applications of bovine colostrum therapy: A systematic review. Nutr. Rev. 2014, 72, 237–254. [Google Scholar] [CrossRef] [PubMed]
- Stelwagen, K.; Mcfadden, H.A.; Demmer, J. Prolactin, alone or in combination with glucocorticoids, enhances tight junction formation and expression of the tight junction protein occludin in mammary cells. Mol Cell Endocrinol. 1999, 156, 55–61. [Google Scholar] [CrossRef] [PubMed]
- Mucina, L.; Rutherford, M.C. The Vegetation Map of South Africa, Lesotho and Swaziland; Strelitzia 19; South African National Biodiversity Institute: Pretoria, South Africa, 2006; ISBN-13: 978-1-919976-21-1; ISBN-10: 1-919976-21-3. [Google Scholar]
- Erasmus, E.; Mason, S.; van Reenen, M.; Steffens, F.E.; Vorster, B.C.; Reinecke, C.J. A laboratory approach for characterizingchronic fatigue: What does metabolomics tell us? Metabolomics 2019, 15, 158. [Google Scholar] [CrossRef]
- Benjamini, Y.; Hochberg, Y. Controlling the false discovery rate: A practical and powerful approach to multiple testing. J. R. Stat. Soc. Ser. B 1995, 57, 289–300. [Google Scholar] [CrossRef]
- Addinsoft. XLSTAT Statistical and Data Analysis Solution. NCCS 11 Statistical Software; NCSS, LLC: Kaysville, UT, USA, 2020. [Google Scholar]
- Pang, Z.; Lu, Y.; Zhou, G.; Hui, F.; Xu, L.; Viau, C.; Spigelman, A.F.; MacDonald, P.E.; Wishart, D.S.; Li, S.; et al. MetaboAnalyst 6.0: Towards a Unified Platform for Metabolomics Data Processing, Analysis and Interpretation. Nucleic Acids Res. 2024, 52, W398–W406. [Google Scholar] [CrossRef]
- KEGG: Kyoto Encyclopedia of Genes and Genomes. Available online: www.genome.jp/kegg/ (accessed on 10 October 2024).
- Martini, M.; Altomonte, I.; Manica, E.; Salari, F. Changes in donkey milk lipids in relation to season and lactation. J. Food Comp. Anal. 2015, 41, 30–34. [Google Scholar] [CrossRef]
- Nguyen, D.A.; Neville, M.C. Tight junction regulation in the mammary gland. J. Mammary Gland Biol. Neoplasia 1998, 3, 233–246. [Google Scholar] [CrossRef] [PubMed]
- Kobayashi, K. Culture Models to Investigate Mechanisms of Milk Production and Blood-Milk Barrier in Mammary Epithelial Cells: A Review and a Protocol. J. Mammary Gland Biol. Neoplasia 2023, 28, 8. [Google Scholar] [CrossRef] [PubMed]
- Kunz, C.; Rudloff, S.; Shad, W.; Braun, D. Lactose-derived oligosaccharides in the milk of elephants: Comparison with human milk. Br. J. Nutr. 1999, 82, 391–399. [Google Scholar] [CrossRef] [PubMed]
- Uemura, Y.; Asakuma, S.; Yon, L.; Saito, T.; Fukuda, K.; Arai, I.; Urashima, T. Structural determination of the oligosaccharidesin the milk of an Asian elephant (Elephas maximus). Comp. Biochem. Physiol. A 2006, 145, 468–478. [Google Scholar] [CrossRef]
- Osthoff, G.; Dickens, L.; Urashima, T.; Bonnet, S.L.; Uemura, Y.; Van der Westhuizen, J.H. Structural characterization of oligosaccharides in the milk of an African elephant (Loxodonta africana africana). Comp. Biochem. Physiol. B 2008, 150, 74–84. [Google Scholar] [CrossRef]
- Mehra, R.; Kelly, P. Milk oligosaccharides: Structural and technological aspects. Int. Dairy J. 2006, 16, 1334–1340. [Google Scholar] [CrossRef]
- Urashima, T.; Murata, S.; Nakamura, T. Structural determination of monosialyl trisaccharides obtained from caprine colostrum. Comp. Biochem. Physiol. B 1997, 116, 431–435. [Google Scholar] [CrossRef]
- Urashima, T.; Messer, M.; Oftedal, O.T. Oligosaccharides in the Milk of Other Mammals. In Prebiotics and Probiotics in Human Milk: Origins and Functions of Milk-Borne Oligosaccharides and Bacteria; Pontarotti, P., Ed.; Springer: Cham, Switzerland, 2014; pp. 45–139. [Google Scholar] [CrossRef]
- Chaturvedi, P.; Warren, C.D.; Altaye, M.; Morrow, A.L.; Ruiz-Palacios, G.; Pickering, L.K.; Newburg, D.S. Fucosylated human milk oligosaccharides vary between individuals and over the course of lactation. Glycobiology 2001, 11, 365–372. [Google Scholar] [CrossRef]
- Sumiyoshi, W.; Urashima, T.; Nakamura, T.; Arai, I.; Saito, T.; Tsumura, N.; Wang, B.; Brand-Miller, J.; Watanabe, Y.; Kimura, K. Determination of each neutral oligosaccharide in the milk of Japanese women during the course of lactation. Br. J. Nutr. 2003, 89, 61–69. [Google Scholar] [CrossRef]
- Klee, W.A.; Klee, C.B. The role of α-lactalbumin in lactose synthetase. Biochem. Biophys. Res. Commun. 1970, 39, 833–841. [Google Scholar] [CrossRef] [PubMed]
- Sharp, J.A.; Lefèvre, C.; Nicholas, K.R. Molecular evolution of monotreme and marsupial whey acid protein genes. Evol. Dev. 2007, 9, 378–392. [Google Scholar] [CrossRef] [PubMed]
- Sikes, R.S.; The Animal Care and Use Committee of the American Society of Mammalogists. Guidelines of the American Society of Mammalogists for the use of wild mammals in research and education. J. Mamm. 2016, 97, 663–688. [Google Scholar] [CrossRef] [PubMed]







| Day 1 vs. Day 3 | Day 3 vs. Day 7 | |||||||||||
|---|---|---|---|---|---|---|---|---|---|---|---|---|
| Group and Metabolite | Fold Change | log2 (Fold Change) | Regulated up (↑) or down (↓) | VIP Value | t.stat | p Value | Fold Change | log2 (Fold Change) | Regulated up (↑) or down (↓) | VIP Value | t.stat | p Value |
| Alcohols | ||||||||||||
| Ethanol | 0.20 | −2.35 | ↓ | 1.37 | 9.75 | <0.001 | 0.25 | |||||
| Amines | ||||||||||||
| Dimethylamine | 0.54 | −0.89 | ↓ | 1.02 | 3.00 | <0.01 | 0.63 | |||||
| Amino acid and derivatives | ||||||||||||
| Alanine | 0.43 | −1.21 | ↓ | 1.24 | 5.13 | <0.001 | 1.45 | 5.53 | <0.001 | |||
| Acetylcarnitine | 0.49 | 0.17 | ||||||||||
| Creatine | 2.15 | 1.11 | ↑ | 0.96 | −2.73 | <0.05 | 1.03 | |||||
| Creatine phosphate | 0.87 | 0.75 | ||||||||||
| Creatinine | 0.51 | 0.44 | ||||||||||
| Glutamate | 0.93 | 0.60 | ||||||||||
| Isoleucine | 0.15 | −2.75 | ↓ | 1.36 | 8.74 | <0.001 | 0.73 | |||||
| Tyrosine | 0.25 | −2.03 | ↓ | 0.59 | 0.26 | −1.93 | ↓ | 1.07 | 3.90 | <0.01 | ||
| Valine | 0.17 | −2.55 | ↓ | 1.34 | 7.34 | <0.001 | 0.35 | |||||
| Carbohydrate and derivatives | ||||||||||||
| UDP-N-Acetylglucosamine (1) | 0.58 | 0.02 | −5.96 | ↓ | 1.24 | 4.66 | <0.01 | |||||
| UDP-N-Acetylglucosamine (derivate) 1 | 2.07 | 1.05 | ↑ | 0.50 | 0.03 | −4.95 | ↓ | 1.42 | 5.26 | <0.001 | ||
| UDP-N-Acetylglucosamine (derivate) 2 | 0.07 | −3.94 | ↓ | 1.35 | 8.04 | <0.001 | 0.09 | −3.44 | ↓ | 1.37 | 4.87 | <0.001 |
| UDP-sacc 5.36 ppm | 21.49 | 4.43 | ↑ | 0.10 | 0.72 | |||||||
| UDP-sacc 5.40 ppm | 0.92 | 2.61 | <0.05 | 0.76 | ||||||||
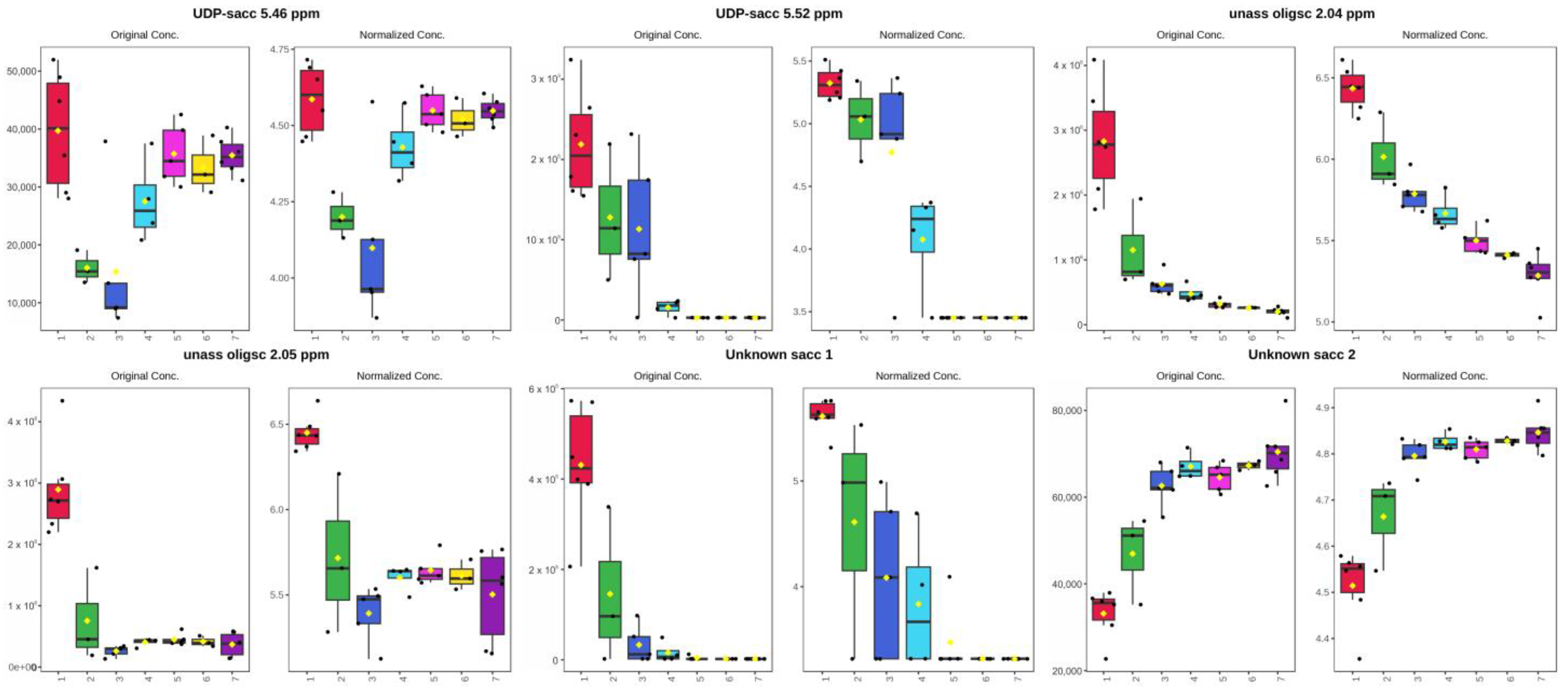
| UDP-sacc 5.46 ppm | 0.39 | −1.37 | ↓ | 1.12 | 3.87 | <0.01 | 2.31 | 1.21 | ↑ | 1.32 | −3.88 | <0.01 |
| UDP-sacc 5.49 ppm | 0.27 | −1.88 | ↓ | 1.18 | 4.64 | <0.01 | 1.11 | −2.83 | <0.05 | |||
| UDP-sacc 5.50 ppm | 2.16 | 1.11 | ↑ | 0.38 | 3.46 | 1.79 | ↑ | 1.25 | −3.45 | <0.01 | ||
| UDP-sacc 5.52 ppm | 0.53 | −0.92 | ↓ | 0.84 | 0.13 | −2.94 | ↓ | 1.32 | 3.96 | <0.01 | ||
| UDP-sacc 5.55 ppm | 0.03 | 0.03 | −5.27 | ↓ | 1.43 | 4.98 | <0.001 | |||||
| UDP-sacc 5.60 ppm | 0.55 | 0.15 | −2.71 | ↓ | 1.42 | 5.04 | <0.001 | |||||
| UDP-sacc 5.63 ppm | 0.37 | 0.14 | −2.81 | ↓ | 1.36 | 4.37 | <0.01 | |||||
| UDP-sacc 5.64 ppm | 21.49 | 4.43 | ↑ | 1.31 | −7.14 | <0.001 | 0.02 | −5.67 | ↓ | 9.13 | <0.001 | |
| Lactose | 1.80 | 0.85 | ↑ | 1.37 | −12.62 | <0.001 | 1.37 | −4.81 | <0.001 | |||
| 3′-Sialyllactose | 2.86 | 1.52 | ↑ | 1.02 | −3.21 | <0.05 | 0.13 | −2.91 | ↓ | 1.49 | 7.00 | <0.001 |
| unass oligsc 2.04 ppm | 0.22 | −2.17 | ↓ | 1.36 | 8.60 | <0.001 | 0.32 | −1.65 | ↓ | 1.48 | 6.35 | <0.001 |
| unass oligsc 2.05 ppm | 0.09 | −3.48 | ↓ | 1.39 | 12.79 | <0.001 | 0.45 | |||||
| unass oligsc 2.07 ppm | 0.01 | 0.67 | ||||||||||
| unass oligsc 2.08 ppm | 0.38 | −1.40 | ↓ | 1.21 | 4.93 | <0.001 | 0.90 | |||||
| Unknown sacc 1 | 0.08 | −3.70 | ↓ | 1.25 | 4.89 | <0.001 | 0.07 | −3.76 | ↓ | 1.02 | ||
| Unknown sacc 2 | 1.89 | 0.92 | ↑ | 1.30 | −6.95 | <0.001 | 0.96 | |||||
| Unknown sacc 3 | 0.04 | −4.51 | ↓ | 1.28 | 6.05 | <0.001 | 0.34 | −1.57 | ↓ | 0.81 | ||
| Carbonyls | ||||||||||||
| Acetone | 5.62 | 2.49 | ↑ | 1.17 | −4.26 | <0.01 | 0.53 | |||||
| Lipid derivatives | ||||||||||||
| Choline | 0.04 | −4.61 | ↓ | 1.08 | 3.62 | <0.01 | 0.33 | |||||
| Glycerophosphocholine | 0.35 | −1.50 | ↓ | 1.33 | 8.04 | <0.001 | 0.20 | |||||
| N-phenylacetylglycine | 0.40 | 0.38 | ||||||||||
| Phosphocholine | 0.18 | 0.91 | ||||||||||
| Nucleic acids and derivatives | ||||||||||||
| NAD | 0.76 | 0.12 | −3.08 | ↓ | 1.29 | 11.05 | <0.001 | |||||
| Uridine | 0.86 | 0.48 | −1.06 | ↓ | 1.06 | 4.19 | <0.016 | |||||
| Organic acids | ||||||||||||
| Acetate | 0.44 | −1.19 | ↓ | 1.30 | 6.93 | <0.001 | 0.39 | −1.37 | ↓ | 1.34 | 4.31 | <0.01 |
| cis-Aconitate | 0.12 | −3.05 | ↓ | 1.33 | 7.84 | <0.001 | 0.44 | −1.17 | ↓ | 0.98 | ||
| Citrate | 0.30 | −1.72 | ↓ | 1.35 | 9.73 | <0.001 | 0.48 | |||||
| Formate | 0.32 | 0.13 | ||||||||||
| Fumarate | 1.09 | 3.57 | <0.01 | 0.53 | ||||||||
| Hippurate | 0.39 | 0.04 | ||||||||||
| Lactate | 0.25 | −2.03 | ↓ | 1.16 | 4.30 | <0.01 | 0.35 | −1.51 | ↓ | 1.45 | 5.10 | <0.001 |
| 2-oxoglutarate | 0.11 | 0.11 | ||||||||||
| Succinate | 0.25 | 0.96 | ||||||||||
| Propionate | 10.76 | 3.43 | ↑ | 1.35 | −11.13 | <0.001 | 0.49 | −1.04 | ↓ | 0.81 | ||
| Pyruvate | 0.27 | −1.91 | ↓ | 1.31 | 7.04 | <0.001 | 0.20 | −2.34 | ↓ | 1.33 | 4.39 | <0.01 |
| Unassigned signal | ||||||||||||
| 6.20 ppm | ||||||||||||
| 7.94 ppm | ||||||||||||
| 7.95 ppm | ||||||||||||
| 8.05 ppm | ||||||||||||
| 8.11 ppm | ||||||||||||
| 8.62 ppm | ||||||||||||
Disclaimer/Publisher’s Note: The statements, opinions and data contained in all publications are solely those of the individual author(s) and contributor(s) and not of MDPI and/or the editor(s). MDPI and/or the editor(s) disclaim responsibility for any injury to people or property resulting from any ideas, methods, instructions or products referred to in the content. |
© 2024 by the authors. Licensee MDPI, Basel, Switzerland. This article is an open access article distributed under the terms and conditions of the Creative Commons Attribution (CC BY) license (https://creativecommons.org/licenses/by/4.0/).
Share and Cite
Osthoff, G.; Nieuwoudt, P. Non-Targeted Metabolomics of White Rhinoceros Colostrum and Its Changes During Early Lactation by 1H Nuclear Magnetic Resonance Spectroscopy. Metabolites 2024, 14, 637. https://doi.org/10.3390/metabo14110637
Osthoff G, Nieuwoudt P. Non-Targeted Metabolomics of White Rhinoceros Colostrum and Its Changes During Early Lactation by 1H Nuclear Magnetic Resonance Spectroscopy. Metabolites. 2024; 14(11):637. https://doi.org/10.3390/metabo14110637
Chicago/Turabian StyleOsthoff, Gernot, and Petronella Nieuwoudt. 2024. "Non-Targeted Metabolomics of White Rhinoceros Colostrum and Its Changes During Early Lactation by 1H Nuclear Magnetic Resonance Spectroscopy" Metabolites 14, no. 11: 637. https://doi.org/10.3390/metabo14110637
APA StyleOsthoff, G., & Nieuwoudt, P. (2024). Non-Targeted Metabolomics of White Rhinoceros Colostrum and Its Changes During Early Lactation by 1H Nuclear Magnetic Resonance Spectroscopy. Metabolites, 14(11), 637. https://doi.org/10.3390/metabo14110637

