Investigating the Acute Metabolic Effects of the N-Methyl Carbamate Insecticide, Methomyl, on Mouse Liver
Abstract
1. Introduction
2. Materials and Methods
3. Results
3.1. Methomyl Exposure Altered Body Composition and Glucose Tolerance
3.2. Methomyl Exposure Altered Hepatic Xenobiotic and Intermediary Metabolism but Did Not Cause Liver Injury
3.3. Histological Evaluation of Liver Steatosis and Glycogen Content
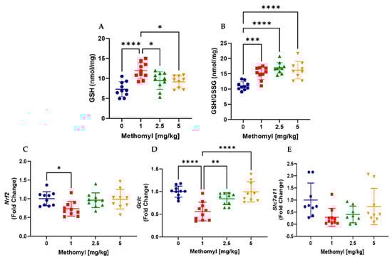
3.4. Effects of Methomyl Exposure on Liver Oxidative Stress
4. Discussion
5. Conclusions
Supplementary Materials
Author Contributions
Funding
Institutional Review Board Statement
Informed Consent Statement
Data Availability Statement
Acknowledgments
Conflicts of Interest
References
- Methomyl. Available online: https://www.epa.gov/ingredients-used-pesticide-products/methomyl (accessed on 19 July 2023).
- Struger, J.; Grabuski, J.; Cagampan, S.; Sverko, E.; Marvin, C. Occurrence and Distribution of Carbamate Pesticides and Metalaxyl in Southern Ontario Surface Waters 2007–2010. Bull Environ. Contam Toxicol 2016, 96, 423–431. [Google Scholar] [CrossRef]
- Heindel, J.J.; Blumberg, B.; Cave, M.; Machtinger, R.; Mantovani, A.; Mendez, M.A.; Nadal, A.; Palanza, P.; Panzica, G.; Sargis, R.; et al. Metabolism disrupting chemicals and metabolic disorders. Reprod. Toxicol. 2017, 68, 3–33. [Google Scholar] [CrossRef]
- Chung, Y.L.; Hou, Y.C.; Wang, I.K.; Lu, K.C.; Yen, T.H. Organophosphate pesticides and new-onset diabetes mellitus: From molecular mechanisms to a possible therapeutic perspective. World J. Diabetes 2021, 12, 1818–1831. [Google Scholar] [CrossRef]
- Wahlang, B.; Beier, J.I.; Clair, H.B.; Bellis-Jones, H.J.; Falkner, K.C.; McClain, C.J.; Cave, M.C. Toxicant-associated steatohepatitis. Toxicol. Pathol. 2013, 41, 343–360. [Google Scholar] [CrossRef] [PubMed]
- Yang, J.S.; Park, Y. Insecticide Exposure and Development of Nonalcoholic Fatty Liver Disease. J. Agric. Food Chem. 2018, 66, 10132–10138. [Google Scholar] [CrossRef] [PubMed]
- Petrovova, E.; Purzyc, H.; Mazensky, D.; Luptakova, L.; Torma, N.; Sopoliga, I.; Sedmera, D. Morphometric alterations, steatosis, fibrosis and active caspase-3 detection in carbamate bendiocarb treated rabbit liver. Environ. Toxicol. 2015, 30, 212–222. [Google Scholar] [CrossRef] [PubMed]
- Begum, G.; Vijayaraghavan, S. Carbofuran toxicity on total lipids and free fatty acids in air breathing fish during exposure and cessation of exposure—In vivo. Environ. Monit. Assess. 2001, 70, 233–239. [Google Scholar] [CrossRef] [PubMed]
- Cave, M.; Smith, M.R.; Go, Y.; Uppal, K.; Smith, S.; Jones, D.P. The Environmental Contribution to Nonalcoholic Fatty Liver Disease Severity [abstract#1964]. Toxicol. Suppl. Toxicol. Sci. Off. J. Soc. Toxicol. 2020. [Google Scholar]
- Djeffal, A.; Messarah, M.; Boumendjel, A.; Kadeche, L.; Feki, A.E. Protective effects of vitamin C and selenium supplementation on methomyl-induced tissue oxidative stress in adult rats. Toxicol. Ind. Health 2015, 31, 31–43. [Google Scholar] [CrossRef]
- El-Demerdash, F.; Attia, A.A.; Elmazoudy, R.H. Biochemical and histopathological changes induced by different time intervals of methomyl treatment in mice liver. J. Environ. Sci. Health A Tox Hazard. Subst. Environ. Eng. 2012, 47, 1948–1954. [Google Scholar] [CrossRef]
- Kaliwal, B.B.; Manawadi, S. Methomyl induced alteration in mice hepatic-oxidative status. Int. J. Biotechnol. Appl. 2010, 2, 11–19. [Google Scholar]
- Chabane, K.; Khene, M.A.; Zaida, F.; Ainouz, L.; Giaimis, J.; Mameri, S.; Baz, A. Subacute and subchronic methomyl exposure induced toxic effects on intestines via oxidative stress in male albino rats: Biochemical and histopathological study. Drug Chem. Toxicol. 2020, 45, 1–14. [Google Scholar] [CrossRef] [PubMed]
- Holovska, K.; Almasiova, V.; Cigankova, V. Ultrastructural changes in the rabbit liver induced by carbamate insecticide bendiocarb. J. Environ. Sci. Health B 2014, 49, 616–623. [Google Scholar] [CrossRef]
- Hoggatt, A.F.; Hoggatt, J.; Honerlaw, M.; Pelus, L.M. A spoonful of sugar helps the medicine go down: A novel technique to improve oral gavage in mice. J. Am. Assoc. Lab. Anim. Sci. 2010, 49, 329–334. [Google Scholar] [PubMed]
- Watson, W.H.; Greenwell, J.C.; Zheng, Y.; Furmanek, S.; Torres-Gonzalez, E.; Ritzenthaler, J.D.; Roman, J. Impact of sex, age and diet on the cysteine/cystine and glutathione/glutathione disulfide plasma redox couples in mice. J. Nutr. Biochem. 2020, 84, 108431. [Google Scholar] [CrossRef] [PubMed]
- Bligh, E.G.; Dyer, W.J. A rapid method of total lipid extraction and purification. Can. J. Biochem. Physiol. 1959, 37, 911–917. [Google Scholar] [CrossRef] [PubMed]
- Pfaffl, M.W. A new mathematical model for relative quantification in real-time RT-PCR. Nucleic Acids Res. 2001, 29, e45. [Google Scholar] [CrossRef] [PubMed]
- Wahlang, B.; Hardesty, J.E.; Jin, J.; Falkner, K.C.; Cave, M.C. Polychlorinated Biphenyls and Nonalcoholic Fatty Liver Disease. Curr. Opin. Toxicol. 2019, 14, 21–28. [Google Scholar] [CrossRef]
- Gripshover, T.C.; Wahlang, B.; Head, K.Z.; Young, J.L.; Luo, J.; Mustafa, M.T.; Kirpich, I.A.; Cave, M.C. The environmental pollutant, polychlorinated biphenyl 126, alters liver function in a rodent model of alcohol-associated liver disease. Alcohol. Clin. Exp. Res. 2022, 47, 60–75. [Google Scholar] [CrossRef]
- Shanthalatha, A.; Madhuranath, B.N.; Yajurvedi, H.N. Effect of methomyl formulation, a carbamate pesticide on ovarian follicular development and fertility in albino mice. J. Environ. Biol. 2012, 33, 33–37. [Google Scholar]
- Shalaby, M.A.; El Zorba, H.Y.; Ziada, R.M. Reproductive toxicity of methomyl insecticide in male rats and protective effect of folic acid. Food Chem. Toxicol. 2010, 48, 3221–3226. [Google Scholar] [CrossRef] [PubMed]
- Sakr, S.; Hassanien, H.; Bester, M.J.; Arbi, S.; Sobhy, A.; El Negris, H.; Steenkamp, V. Beneficial effects of folic acid on the kidneys and testes of adult albino rats after exposure to methomyl. Toxicol. Res. 2018, 7, 480–491. [Google Scholar] [CrossRef] [PubMed]
- Nayak, N.C.; Sathar, S.A.; Mughal, S.; Duttagupta, S.; Mathur, M.; Chopra, P. The nature and significance of liver cell vacuolation following hepatocellular injury—An analysis based on observations on rats rendered tolerant to hepatotoxic damage. Virchows Arch. 1996, 428, 353–365. [Google Scholar] [CrossRef] [PubMed]
- El-Demerdash, F.; Dewer, Y.; ElMazoudy, R.H.; Attia, A.A. Kidney antioxidant status, biochemical parameters and histopathological changes induced by methomyl in CD-1 mice. Exp. Toxicol. Pathol. 2013, 65, 897–901. [Google Scholar] [CrossRef] [PubMed]
- Melkonian, E.A.; Asuka, E.; Schury, M.P. Physiology, Gluconeogenesis; StatPearls: Treasure Island, FL, USA, 2022. [Google Scholar]
- Moore, M.C.; Connolly, C.C.; Cherrington, A.D. Autoregulation of hepatic glucose production. Eur. J. Endocrinol. 1998, 138, 240–248. [Google Scholar] [CrossRef] [PubMed]
- Kauffman, F.C.; Davis, L.H.; Whittaker, M. Activation of glycogen phosphorylase in rat pheochromocytoma PC12 cells and isolated hepatocytes by organophosphates. Biochem. Pharmacol. 1990, 39, 347–354. [Google Scholar] [CrossRef]
- Wang, L.; Ahn, Y.J.; Asmis, R. Sexual dimorphism in glutathione metabolism and glutathione-dependent responses. Redox Biol. 2020, 31, 101410. [Google Scholar] [CrossRef]
- Patil, J.A.; Patil, A.J.; Sontakke, A.V.; Govindwar, S.P. Effect of methomyl on hepatic mixed function oxidases in rats. Indian. J. Pharmacol. 2008, 40, 158–163. [Google Scholar] [CrossRef]





Disclaimer/Publisher’s Note: The statements, opinions and data contained in all publications are solely those of the individual author(s) and contributor(s) and not of MDPI and/or the editor(s). MDPI and/or the editor(s) disclaim responsibility for any injury to people or property resulting from any ideas, methods, instructions or products referred to in the content. |
© 2023 by the authors. Licensee MDPI, Basel, Switzerland. This article is an open access article distributed under the terms and conditions of the Creative Commons Attribution (CC BY) license (https://creativecommons.org/licenses/by/4.0/).
Share and Cite
Groswald, A.M.; Gripshover, T.C.; Watson, W.H.; Wahlang, B.; Luo, J.; Jophlin, L.L.; Cave, M.C. Investigating the Acute Metabolic Effects of the N-Methyl Carbamate Insecticide, Methomyl, on Mouse Liver. Metabolites 2023, 13, 901. https://doi.org/10.3390/metabo13080901
Groswald AM, Gripshover TC, Watson WH, Wahlang B, Luo J, Jophlin LL, Cave MC. Investigating the Acute Metabolic Effects of the N-Methyl Carbamate Insecticide, Methomyl, on Mouse Liver. Metabolites. 2023; 13(8):901. https://doi.org/10.3390/metabo13080901
Chicago/Turabian StyleGroswald, Amy M., Tyler C. Gripshover, Walter H. Watson, Banrida Wahlang, Jianzhu Luo, Loretta L. Jophlin, and Matthew C. Cave. 2023. "Investigating the Acute Metabolic Effects of the N-Methyl Carbamate Insecticide, Methomyl, on Mouse Liver" Metabolites 13, no. 8: 901. https://doi.org/10.3390/metabo13080901
APA StyleGroswald, A. M., Gripshover, T. C., Watson, W. H., Wahlang, B., Luo, J., Jophlin, L. L., & Cave, M. C. (2023). Investigating the Acute Metabolic Effects of the N-Methyl Carbamate Insecticide, Methomyl, on Mouse Liver. Metabolites, 13(8), 901. https://doi.org/10.3390/metabo13080901
