Walking Exercise Reduces Postprandial Lipemia but Does Not Influence Postprandial Hemorheological Properties and Oxidative Stress
Abstract
1. Introduction
2. Materials and Methods
2.1. Participants
2.2. Experimental Design
2.3. Pretest
2.3.1. Submaximal Exercise Test
2.3.2. Graded Maximal Exercise Test
2.4. Experimental Process
2.5. Oral Fat Tolerance Test (OFTT)
2.6. Blood Collection
2.7. Blood Biochemical Analysis
2.8. Blood and Plasma Hemorheological Analysis
2.9. Statistical Analysis
3. Results
3.1. Treadmill Walking
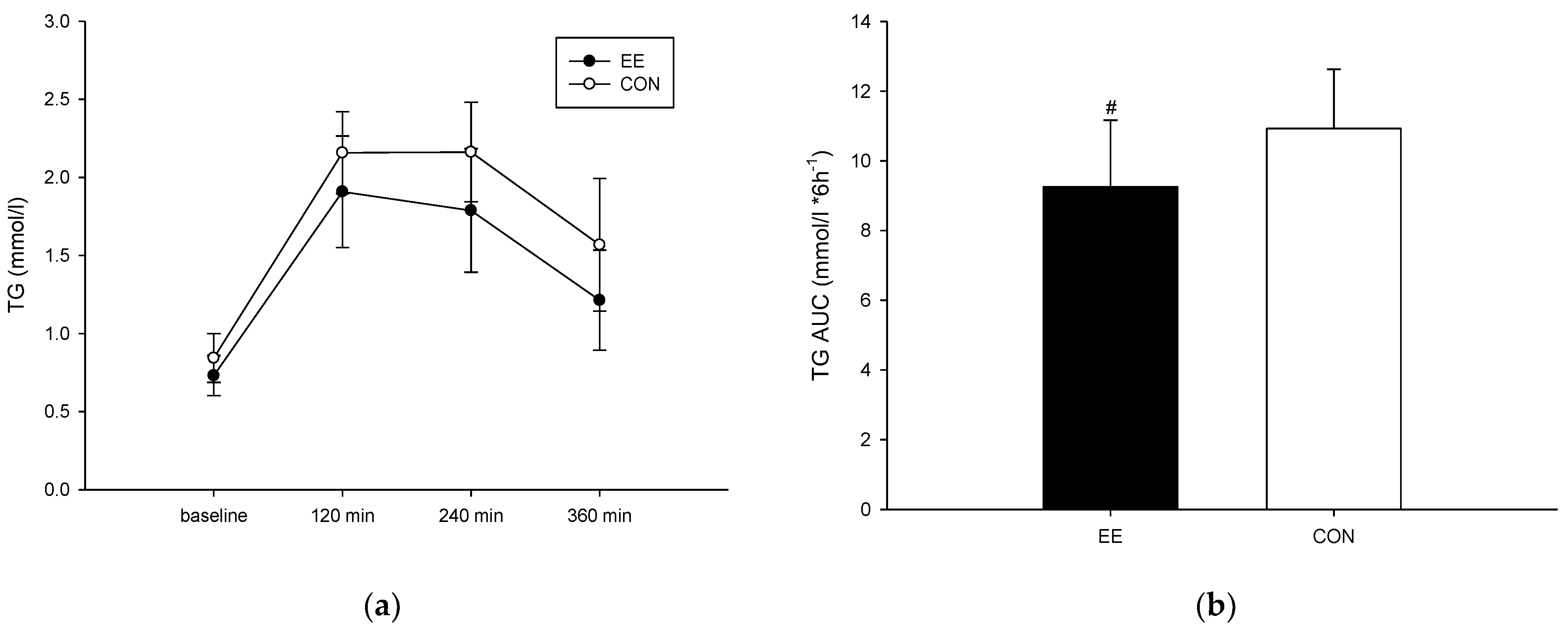
3.2. Triglyceride Level
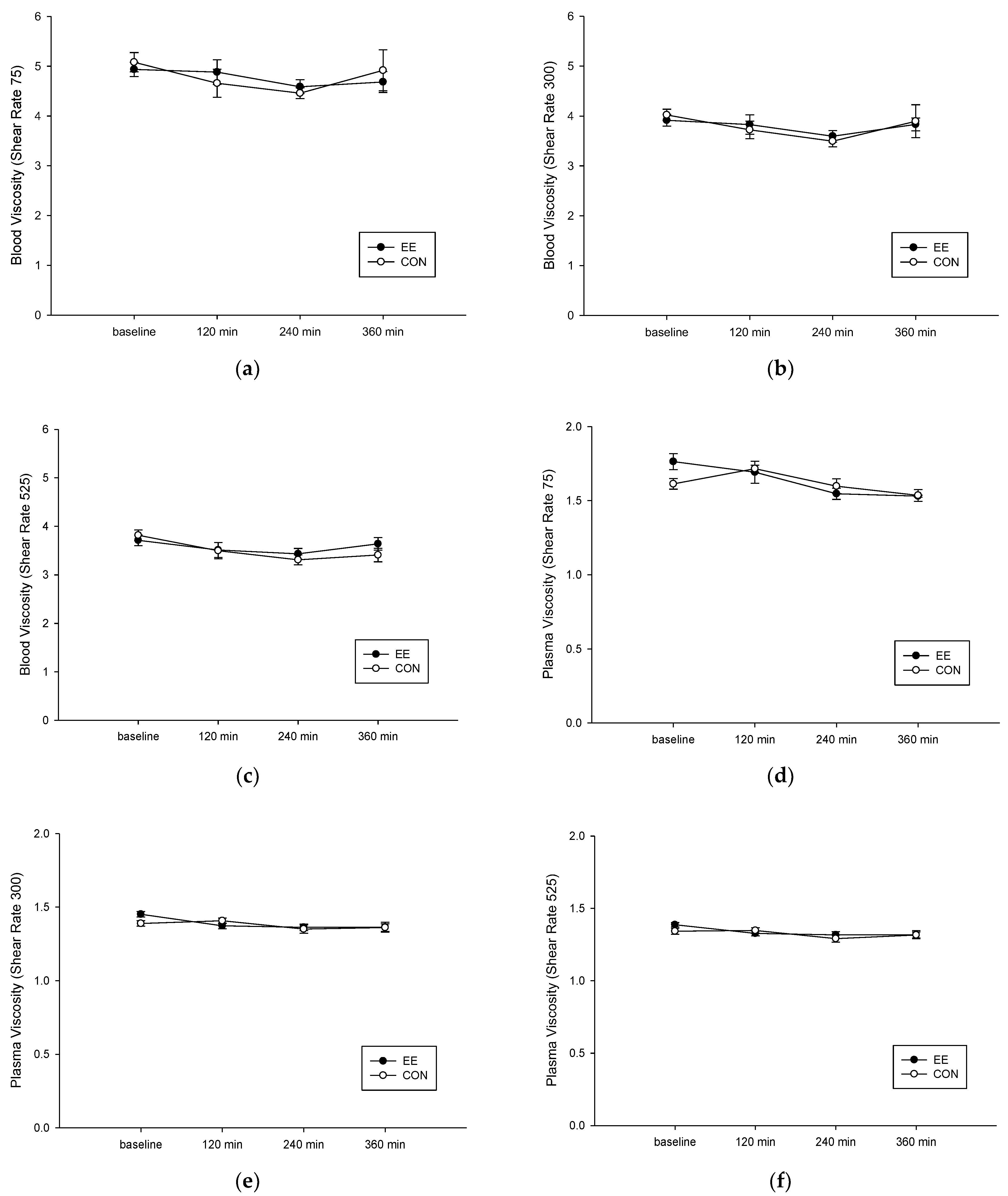
3.3. Blood and Plasma Viscosity
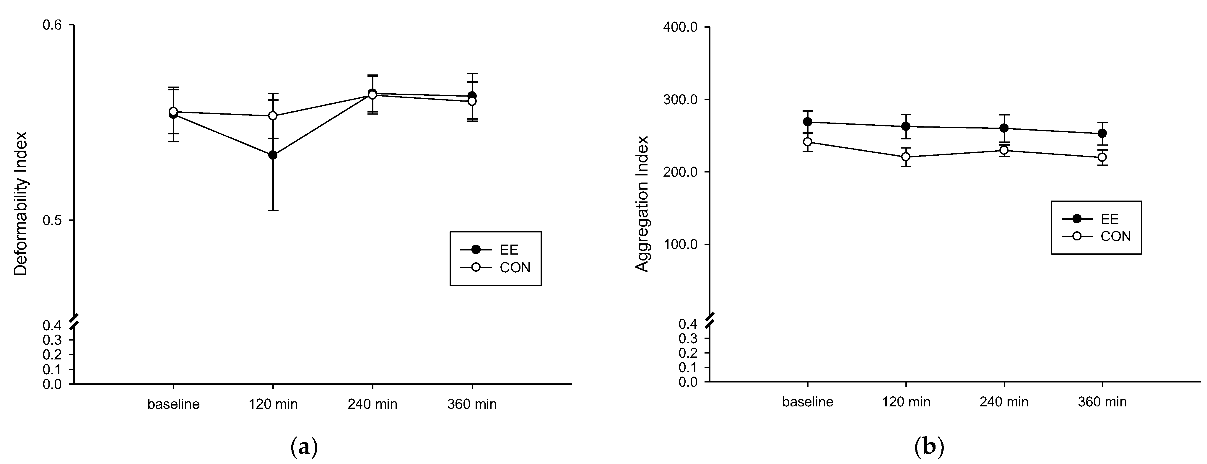
3.4. The RBC Aggregation
3.5. Total Cholesterol, HDL, LDL, MDA, and TP Levels in the Blood Plasma
4. Discussion
5. Conclusions
Author Contributions
Funding
Institutional Review Board Statement
Informed Consent Statement
Data Availability Statement
Acknowledgments
Conflicts of Interest
References
- Irace, C.; Scavelli, F.; Carallo, C.; Serra, R.; Gnasso, A. Plasma and blood viscosity in metabolic syndrome. Nutr. Metab. Cardiovasc. Dis. 2009, 19, 476–480. [Google Scholar] [CrossRef] [PubMed]
- Lipowsky, H.H. Microvascular rheology and hemodynamics. Microcirculation 2005, 12, 5–15. [Google Scholar] [CrossRef] [PubMed]
- Lip, P.-L.; Blann, A.D.; Hope-Ross, M.; Gibson, J.M.; Lip, G.Y. Age-related macular degeneration is associated with increased vascular endothelial growth factor, hemorheology and endothelial dysfunction. Ophthalmology 2001, 108, 705–710. [Google Scholar] [CrossRef]
- Pries, A.; Secomb, T. Rheology of the microcirculation. Clin. Hemorheol. Microcirc. 2003, 29, 143–148. [Google Scholar]
- Jeong, S.-K.; Cho, Y.I.; Duey, M.; Rosenson, R.S. Cardiovascular risks of anemia correction with erythrocyte stimulating agents: Should blood viscosity be monitored for risk assessment? Cardiovasc. Drugs Ther. 2010, 24, 151–160. [Google Scholar] [CrossRef]
- Vayá, A.; Hernández-Mijares, A.; Bonet, E.; Sendra, R.; Solá, E.; Pérez, R.; Corella, D.; Laiz, B. Association between hemorheological alterations and metabolic syndrome. Clin. Hemorheol. Microcirc. 2011, 49, 493–503. [Google Scholar] [CrossRef]
- Contreras, T.; Vayá, A.; Palanca, S.; Solá, E.; Corella, D.; Aznar, J. Influence of plasmatic lipids on the hemorheological profile in healthy adults. Clin. Hemorheol. Microcirc. 2004, 30, 423–425. [Google Scholar]
- Aloulou, I.; Varlet-Marie, E.; Mercier, J.; Brun, J.-F. Hemorheological disturbances correlate with the lipid profile but not with the NCEP-ATPIII score of the metabolic syndrome. Clin. Hemorheol. Microcirc. 2006, 35, 207–212. [Google Scholar]
- Wang, X.W.; Hu, L.; Zeng, Z.; Yao, W.J.; Han, J.Y.; Zhang, Y.Y.; Xu, X.F.; Liu, Y.Y.; Ka, W.B.; Sun, D.G. Effects of myakuryu on hemorheological characteristics and mesenteric microcirculation of rats fed with a high-fat diet. Biorheology 2008, 45, 587–598. [Google Scholar] [CrossRef]
- Tai, C.J.; Chen, C.H.; Chen, H.H.; Liang, H.J. Differential effect of high dietary fat intakes on haemorheological parameters in rats. Br. J. Nutr. 2010, 103, 977. [Google Scholar] [CrossRef]
- Cicha, I.; Suzuki, Y.; Tateishi, N.; Maeda, N. Enhancement of red blood cell aggregation by plasma triglycerides. Clin. Hemorheol. Microcirc. 2001, 24, 247–256. [Google Scholar] [PubMed]
- Cicha, I.; Suzuki, Y.; Tateishi, N.; Maeda, N. Effects of dietary triglycerides on rheological properties of human red blood cells. Clin. Hemorheol. Microcirc. 2004, 30, 301–306. [Google Scholar] [PubMed]
- Bloomer, R.J.; Fisher-Wellman, K.H. Systemic oxidative stress is increased to a greater degree in young, obese women following consumption of a high fat meal. Oxidative Med. Cell. Longev. 2009, 2, 19–25. [Google Scholar] [CrossRef] [PubMed]
- Kawamura, T.; Muraoka, I. Exercise-induced oxidative stress and the effects of antioxidant intake from a physiological viewpoint. Antioxidants 2018, 7, 119. [Google Scholar] [CrossRef] [PubMed]
- Bloomer, R.J.; Fisher-Wellman, K.H. Lower postprandial oxidative stress in women compared with men. Gend. Med. 2010, 7, 340–349. [Google Scholar] [CrossRef]
- Singh, Z.; Karthigesu, I.P.; Singh, P.; Rupinder, K. Use of malondialdehyde as a biomarker for assessing oxidative stress in different disease pathologies: A review. Iran. J. Public Health 2014, 43, 7–16. [Google Scholar]
- McCarthy, C.G.; Farney, T.M.; Canale, R.E.; Dessoulavy, M.E.; Bloomer, R.J. High-fat feeding, but not strenuous exercise, increases blood oxidative stress in trained men. Appl. Physiol. Nutr. Metab. 2013, 38, 33–41. [Google Scholar] [CrossRef]
- Lopes Krüger, R.; Costa Teixeira, B.; Boufleur Farinha, J.; Cauduro Oliveira Macedo, R.; Pinto Boeno, F.; Rech, A.; Lopez, P.; Silveira Pinto, R.; Reischak-Oliveira, A. Effect of exercise intensity on postprandial lipemia, markers of oxidative stress, and endothelial function after a high-fat meal. Appl. Physiol. Nutr. Metab. 2016, 41, 1278–1284. [Google Scholar] [CrossRef]
- McAllister, M.J.; Steadman, K.S.; Renteria, L.I.; Case, M.J.; Butawan, M.B.; Bloomer, R.J.; McCurdy, K.W. Acute Resistance Exercise Reduces Postprandial Lipemia and Oxidative Stress in Resistance-Trained Men. J. Strength Cond. Res. 2020, 36, 2139–2146. [Google Scholar] [CrossRef]
- Michailidis, Y.; Jamurtas, A.Z.; Nikolaidis, M.G.; Fatouros, I.G.; Koutedakis, Y.; Papassotiriou, I.; Kouretas, D. Sampling time is crucial for measurement of aerobic exercise-induced oxidative stress. Med. Sci. Sports Exerc. 2007, 39, 1107–1113. [Google Scholar] [CrossRef]
- Chiu, C.-H.; Burns, S.F.; Yang, T.-J.; Chang, Y.-H.; Chen, Y.-L.; Chang, C.-K.; Wu, C.-L. Energy replacement using glucose does not increase postprandial lipemia after moderate intensity exercise. Lipids Health Dis. 2014, 13, 177. [Google Scholar] [CrossRef] [PubMed]
- Miyashita, M.; Burns, S.F.; Stensel, D.J. Accumulating short bouts of brisk walking reduces postprandial plasma triacylglycerol concentrations and resting blood pressure in healthy young men. Am. J. Clin. Nutr. 2008, 88, 1225–1231. [Google Scholar] [PubMed]
- Ajmani, R.S.; Fleg, J.L.; Demehin, A.A.; Wright, J.G.; O’Connor, F.; Heim, J.M.; Tarien, E.; Rifkind, J.M. Oxidative stress and hemorheological changes induced by acute treadmill exercise. Clin. Hemorheol. Microcirc. 2003, 28, 29–40. [Google Scholar] [PubMed]
- Chiu, C.-H.; Chen, C.-H.; Wu, M.-H.; Lan, P.-T.; Hsieh, Y.-C.; Lin, Z.-Y.; Chen, B.-W. 5 days of time-restricted feeding increases fat oxidation rate but not affect postprandial lipemia: A crossover trial. Sci. Rep. 2022, 12, 9295. [Google Scholar] [CrossRef]
- Jentzsch, A.M.; Bachmann, H.; Fürst, P.; Biesalski, H.K. Improved analysis of malondialdehyde in human body fluids. Free. Radic. Biol. Med. 1996, 20, 251–256. [Google Scholar] [CrossRef]
- Faul, F.; Erdfelder, E.; Lang, A.-G.; Buchner, A. G* Power 3: A flexible statistical power analysis program for the social, behavioral, and biomedical sciences. Behav. Res. Methods 2007, 39, 175–191. [Google Scholar] [CrossRef]
- Babu, N.; Singh, M. Influence of hyperglycemia on aggregation, deformability and shape parameters of erythrocytes. Clin. Hemorheol. Microcirc. 2004, 31, 273–280. [Google Scholar]
- Cicero, A.; Vitale, G.; Savino, G.; Arletti, R. Panax notoginseng (Burk.) effects on fibrinogen and lipid plasma level in rats fed on a high-fat diet. Phytother. Res. 2003, 17, 174–178. [Google Scholar] [CrossRef]
- Carallo, C.; Irace, C.; De Franceschi, M.S.; Esposito, T.; Tripolino, C.; Scavelli, F.; Merante, V.; Gnasso, A. The effect of HDL cholesterol on blood and plasma viscosity in healthy subjects. Clin. Hemorheol. Microcirc. 2013, 55, 223–229. [Google Scholar] [CrossRef]
- Jaroslawska, J.; Gospodarska, E.; Korytko, A. Increasing energy expenditure through exercise and low ambient temperature offers oxidative protection to the hypothalamus after high-fat feeding to mice. J. Neuroendocrinol. 2022, 34, e13095. [Google Scholar] [CrossRef]
- Cipryan, L. The effect of fitness level on cardiac autonomic regulation, IL-6, total antioxidant capacity, and muscle damage responses to a single bout of high-intensity interval training. J. Sport Health Sci. 2018, 7, 363–371. [Google Scholar] [CrossRef] [PubMed]




| Baseline | OFTT120 | OFTT240 | OFTT360 | p Value (Interaction) | |
|---|---|---|---|---|---|
| TCHO (mmol/L) | |||||
| EE | 4.39 ± 0.15 | 4.13 ± 0.10 | 4.20 ± 0.12 | 4.14 ± 0.11 | 0.714 |
| CON | 4.44 ± 0.12 | 4.28 ± 0.16 | 4.34 ± 0.11 | 4.39 ± 0.11 | |
| HDL (mmol/L) | |||||
| EE | 2.41 ± 0.16 | 2.28 ± 0.16 | 2.21 ± 0.15 | 2.34 ± 0.17 | 0.032 |
| CON | 2.55 ± 0.17 | 2.34 ± 0.17 | 2.24 ± 0.14 | 2.31 ± 0.15 | |
| LDL (mmol/L) | |||||
| EE | 0.73 ± 0.13 | 1.91 ± 0.36 | 1.79 ± 0.40 | 1.21 ± 0.32 | 0.431 |
| CON | 0.84 ± 0.16 | 2.16 ± 0.26 | 2.16 ± 0.32 | 1.57 ± 0.42 | |
| TP (mmol/L) | |||||
| EE | 7.1 ± 0.2 | 7.0 ± 0.2 | 7.1 ± 0.2 | 6.9 ± 0.2 | 0.304 |
| CON | 7.2 ± 0.2 | 6.8 ± 0.2 | 7.0 ± 0.3 | 7.1 ± 0.2 | |
| MDA (μM) | |||||
| EE | 4.02 ± 1.9 | 5.63 ± 2.6 | 5.48 ± 2.5 | 4.22 ± 2.4 | 0.526 |
| CON | 4.66 ± 2.0 | 5.25 ± 1.8 | 5.02 ± 2.1 | 5.26 ± 2.6 |
Publisher’s Note: MDPI stays neutral with regard to jurisdictional claims in published maps and institutional affiliations. |
© 2022 by the authors. Licensee MDPI, Basel, Switzerland. This article is an open access article distributed under the terms and conditions of the Creative Commons Attribution (CC BY) license (https://creativecommons.org/licenses/by/4.0/).
Share and Cite
Wu, C.-L.; Yang, T.-J.; Wu, M.-H.; Liang, H.-J.; Chen, Y.-L.; Wu, S.-L.; Chiu, C.-H. Walking Exercise Reduces Postprandial Lipemia but Does Not Influence Postprandial Hemorheological Properties and Oxidative Stress. Metabolites 2022, 12, 1038. https://doi.org/10.3390/metabo12111038
Wu C-L, Yang T-J, Wu M-H, Liang H-J, Chen Y-L, Wu S-L, Chiu C-H. Walking Exercise Reduces Postprandial Lipemia but Does Not Influence Postprandial Hemorheological Properties and Oxidative Stress. Metabolites. 2022; 12(11):1038. https://doi.org/10.3390/metabo12111038
Chicago/Turabian StyleWu, Ching-Lin, Tsung-Jen Yang, Min-Huan Wu, Hong-Jen Liang, Yi-Liang Chen, Shey-Lin Wu, and Chih-Hui Chiu. 2022. "Walking Exercise Reduces Postprandial Lipemia but Does Not Influence Postprandial Hemorheological Properties and Oxidative Stress" Metabolites 12, no. 11: 1038. https://doi.org/10.3390/metabo12111038
APA StyleWu, C.-L., Yang, T.-J., Wu, M.-H., Liang, H.-J., Chen, Y.-L., Wu, S.-L., & Chiu, C.-H. (2022). Walking Exercise Reduces Postprandial Lipemia but Does Not Influence Postprandial Hemorheological Properties and Oxidative Stress. Metabolites, 12(11), 1038. https://doi.org/10.3390/metabo12111038

