Abstract
The Valley of Death is the gap between the completion of research and development (R&D) projects and their transition to innovation. A key aspect to explain it are mindsets, which are one of the most complex to explain due to the number of factors they contain. What remains unclear is how people might have patterns of understanding the processes and activities that define mental models. This paper aims to explore how persons involved in R&D activities have a pattern to understand the processes. Data for this study were collected using a survey applied to directives, coordinators, technology managers, intellectual property managers, researchers, and entrepreneurs in a group of 11 universities in Medellín (Colombia) through a computational clustering analysis. The main contribution of this article is the generation of five patterns or mental models, in which the different roles linked to R&D converge, to this extent we could speak of shared mental models. One of the more significant findings that emerge from this study is that a simpler mental model with specific and relevant activities prioritised may work better than a complex one.
1. Introduction
In academic contexts, the term “Innovation” is used to indicate “a degree of newness, change, or even, a degree of usefulness of any application of something new” [1] (p. 2). Under this perspective, innovation is driven by research and development (R&D) processes and is linked to society, economy, and politics [2]. One of the main indicators of success in R&D projects of higher education institutions is related to the capability of producing innovation results. Therefore, understanding the project’s stakeholders, stages, and activities along its lifecycle become a critical factor of the innovation process.
Among the common stages and activities for characterising an innovation process, the literature reporting models [3,4,5], where a variety of steps allow the process to transcend from invention to innovation, have been highlighted. In light of this perspective, a critical phenomenon along the innovation process has been called as the Valley of Death and occurs when a project needs to obtain financing to generate socially “desirable commercial products” (goods and services) and is unable to acquire such resources [6] (p. 91), therefore slowing down or stopping its development. Several authors [7,8,9,10] acknowledge that the Valley of Death manifests itself after concluding the R&D phases, aimed at validating a prototype in the laboratory or completing pilot tests, and before initiating activities for the final development of the product. Researchers have typically approached the Valley of Death as a funding gap [11,12,13,14], arguing that the delay in the project is fundamentally due to the scarcity of economic resources to complete the innovation and enter the market. Nonetheless, other branches in the literature report a growing interest in exploring other elements beside the funding gap that could explain the causes of the Valley of Death, in which this phenomenon begins to be understood as a complex [7,10,15,16] and chaotic problem [8,9,17] made up of multiple gaps. For instance, [18] describes the Valley of Death as a result of a gap which is simultaneously financial, institutional, and of capabilities. Reference [19] assumes the Valley of Death to be a double gap of knowledge and capital.
Considering the Valley of Death from a complex perspective, various factors, in addition to the financial ones, have been reviewed. At that point, some authors identify that mindsets within the framework of organisations tend to constitute barriers to innovation [20,21,22]. Other authors [6,23,24,25] go further, asserting that mindsets condition the formation and persistence of the Valley of Death. This indicates that there is not enough information that can explain the constrains behind innovation processes, even if such limitations can make a project fall within a stage of the Valley of Death. Therefore, reflexing regarding the causes related to the Valley of Death, such as mental models, becomes a part of researching processes, with several questions because of the possible unknowns it involves. For this work, the research questions are, on one side, oriented to identify patterns in the way in which the stakeholders assign importance levels to the activities that support every process within a project and how those importance levels could affect or contribute to overcome the Valley of Death. On the other side, a second research question that could be addressed in this work is how to implement updated methodologies in computer science for extracting non-conventional information from data within the innovation management studies. This question is mainly supported by the fact that conventional data mining methods do not allow the extraction of relevant information which could help the academic community understand other restraints in the Valley of Death phenomenon.
As a response to the trends in this study field, this paper aims to explore how the persons involved in R&D projects prioritise the activities that support the processes required to surpass the Valley of Death. The purpose herein is to know how these people might reveal specific mindsets when understanding the processes of interest in an innovation project. In this case, identifying and recording the mindsets in a suitable structure, mental models were used. In this article, mental models will be understood as the patterns that coincide in the people involved in R&D activities, in the tendencies that are evident in terms of the levels of importance that they assign to the processes, and their respective activities. It is intended to describe patterns of mental models related to innovation processes and activities.
With the intention of identifying such mental models, data from a survey applied to directives, coordinators, technology managers, intellectual property managers, researchers, and entrepreneurs in a group of 11 universities in Medellín (Colombia) were collected. With the data, a computational clustering analysis was developed, and posteriorly, a careful study was conducted crossing variables explaining how the data are grouped. Within the manuscript organisation, the Section 2 accounts for the theoretical background. After that, Section 3 introduces the methods and procedures. Subsequently, are the results and analysis. Finally, conclusions are presented.
2. Theorical Framework
2.1. The Valley of Death in the Innovation Process
In the literature, multiple efforts can be identified to characterise innovation within the framework of a process. Works that mark a tradition in this line can be recognised, such as the generations of innovation processes [26], and its subsequently revisions [27], or chain processes [28]. Similarly, there are proposals for innovation processes [4], or the results of the literature review [5], regarding research approaches regarding the processes involved in innovation.
In part, the identification of processes to manage innovations is significant because it is expected that, by structuring innovation activities, uncertainties can be reduced, while contributing to the reduction in situations that limit the successful development of innovations. One of these circumstances is called the Valley of Death, which occurs when a technology fails to obtain the necessary funding to complete its development and thus generate desirable products, processes, and/or services on a commercial scale [6]. To locate the Valley of Death, it is usual that, after addressing a sequential process of innovation, the literature suggests that this restriction occurs in a transition stage between the completion of research activities and the start of formal processes of development of new products [8], or between the research development of functional prototypes and product development [17], or between the research and market introduction phases [29].
When innovation projects enter the Valley of Death, they are subjected to a situation of arrest and eventually of no conclusion. Some authors [10,30] estimate that only one in five innovations manage to overcome the Valley of Death and become innovations. Some authors [3] are more pessimistic, stating that the chances of overcoming the Valley of Death are about 10%.
Background studies on the Valley of Death have approached this issue as a funding gap [7,11,17,31]. However, some authors understood the Valley of Death as a complex phenomenon with multiple influencing factors. Alternative explanations to the funding gap have therefore been found to relate to the Valley of Death, such as the weakness of interactions [32,33,34,35,36,37]; lack of human talent competencies [6,8,22,38]; knowledge of business dimensions [25,39,40,41]; institutions [7,16,17,20,39,40].
Other authors have focused on finding alternatives to overcome the Valley of Death. Reference [42] proposes five innovation management processes that can contribute to overcoming the restrictions involved in the Valley of Death, hereafter, the Processes to Overcome the Valley of Death (POVD): (i) to identify the technology concept, through the refinement of narratives for the technology concept; (ii) to evaluate technology performance, through the technical evaluation of lab-scale models; (iii) to reduce commercial uncertainty, through a better understanding of how technology will be used; (iv) to define potential impact, through comparative value assessment; (v) to define a commercialisation strategy, through the integration of innovator actor inputs. Notwithstanding, there is no clarity regarding the importance of each one of such processes when accounting for the obtainment of an innovation. According to the authors, these processes do not necessarily follow a sequential path, but rather are concurrent, so they can be executed following multiple paths.
2.2. Mental Models Involved in the Valley of Death
The problems related to restrictive mindsets in organisations are among the main barriers to innovation [22]. People with such mindsets manifest a fear of change, as well as a fear of the possibility of failure. Conservative decision making is also a symptom of restrictive mindsets. The discontinuities that innovation implies for organisations involve “cognitive dissonance”, which can motivate clinging to existing routines, reinforcing the status quo, and blocking change [21]. Therefore, changes in mindsets are needed to help, in part, to remove barriers of innovation. For example, creating new perspectives on how to approach the market and redefining existing technological solutions are conducive to radical innovations [43].
Innovation implies an internal tension of managers, which have to “debate” regarding the nature of their business. Similarly, when managers exhibit a lack of consensus regarding the relevance of the innovation prospected, the areas involved, and the way to implement the innovation, as well as the order of market entry, it often hinders the achievement of innovations [44].
There are several references in the literature, describing problems related to mindsets, to elements that affect, within a complex network of factors, the formation and persistence of the Valley of Death: part is due to the fact that innovators normally focus on perfecting technologies, while not attending to customer needs, positioning in the market, or shaping the human team required and the supply chain [23]. Focusing on university researchers who assume the role of innovators, traits are found of a scientific mindset within them that limit their innovative behaviour. Specifically, the authors point out that these individuals often find it difficult to interact with people in the industry, explain their projects in business terms, and also translate their ideas to the common language used by the market. These authors additionally identify researchers’ resistance to considering the usefulness and market of their innovative product [25]. For this purpose, there is a need to work on the researchers’ mindsets, so that they become more entrepreneurial [6,24].
From the above sources, it is possible to recognise the involvement of mindset in the stoppage of projects during the Valley of Death. Nevertheless, mindset is a broad concept, difficult to delimit and capture in a structured way, for studying purposes. For this reason, mental models were used in this research as an auxiliary concept that facilitates the identification and explanation of certain aspects of people’s mentality and even provides a basis for the construction of instruments for field work.
Mental models are images deeply rooted in the minds of individuals that represent their implicit and/or explicit understanding of how an aspect of reality works [45]. Such images intervene in the way the world is interpreted and thus, in the type of decisions made and actions taken. According to the author from reference [45], mental models constitute assumptions and theories based on the learning cycle that we store in our memory, which comprise know-how and know-why. They are “not simply equivalent to (declarative) knowledge. Although they are stored in memory” [46] (p. 7). Thus, people go on to construct an internal model of the reality which determines their decisions. In this sense, environmental, organisational, team, and individual conditions are determinants in the way mental models are constructed [47,48].
Mental models are constructs that articulate reality and generate constrains; these models are made up of images, assumptions, notions, theories, and beliefs regarding how things work and how to act based on all these understandings and underlying common constructs [48]. These representations are often rooted in the tacit knowledge of people, who are, therefore, unaware of their mental models. Nevertheless, it is feasible to present them in a structured way, which makes them useful to make specific elements of people’s mindsets explicit. Obsolete mental models act as mindset inhibitors of disruptive innovation [49].
One of the key aspects for the constitution of mental models is learning. The learning process happens in four stages: it starts with the observation of concrete experiences; from these experiences a process of meditation on these experiences is carried out; hence, with the meditation of the experiences, new concepts and generalisations are formed; these concepts and generalisations are tested through new experiences; finally, the cycle repeats itself [45]. Therefore, the mind is shaped by experiences and vice versa [50]. The construction of mental models depends upon tasks, time, requirements, limitations, and team configurations in a given situation. These characteristics lead to the existence of more than one mental model [46].
Memory is related to the retention of knowledge that has been acquired in individual learning. In this sense, the relationship between memory and the learning process is the mental models, which enable the generation of the world view, its functioning, and the assessment of the consequences of actions. It includes implicit and explicit understandings, allowing people to have a context where new knowledge is acquired, determining how particular information is relevant at a given time [45].
Mental models are framed in four modalities [47]. Two of them are closely related to the comprehension of activities and processes: the understanding of the work to be performed, which translates into the mental model of the tasks; the knowledge or beliefs regarding the effective processes to achieve a given outcome.
Working groups may share mental models, and this phenomenon occurs in degrees or levels, rather than in an exhaustive way, in which individuals foresee possibilities based on their knowledge and beliefs; with this persons construct reasoning [47,51].
3. Methods and Procedures
3.1. Case Selection
The present work explores the relationship between the POVD and a set of innovation activities, typically executed to overcome the Valley of Death, as well as the mental models of the stakeholders, representing these POVD/Activities relations. The research is focused on R&D higher education institutions. Therefore, the field work focuses on people who play roles in the R&D process at 11 universities, both public and private, located in Medellin, Colombia. The universities were selected based on their R&D capabilities; this group concentrated around 72% of the regional R&D capabilities, according to the Colombian Science, Technology, and Innovation Ministry [52].
Although there are different profiles associated with R&D processes within universities, this paper highlights the following six roles within the selected universities: directives, coordinators, technology managers, intellectual property managers, researchers, and entrepreneurs. This resulted in a total sample of 89 participants, linked to the 11 universities. For this work, data from applied research centers and companies were not available.
There was a series of POVD [42] and this was supported by a set of activities, as was introduced before. Along with this, we reviewed the innovation models of the 11 selected universities and the activities to be considered were extracted from them. This was possible thanks to the consultation of the documentation of these higher education institutions, complemented in some cases with interviews with the leaders of these processes at these universities. A synthesis was made of the activities found in the 11 universities consulted, resulting in the following common activities, listed in Table 1.
The following list describes the activities identified in the participating universities:
Table 1.
Innovation activities.
Table 1.
Innovation activities.
| Activities | Code |
|---|---|
| TRL |
| NCOCIR |
| DMVP |
| SRFSU |
| VUUC |
| PCA |
| DTCIOM |
| IPS |
| VT |
| MPCA |
| CCTC |
The previous inputs (five POVD and eleven innovation activities) were used to outline a useful structure for identifying a type of mental model, which answers the question: what are the innovation activities that contribute most to the fulfilment of the POVDs? As mental models cannot be observed directly [53], the structure outlined was required to make them explicit. For this purpose, an approach to mental model metrics, based on structural networks, which are elicited through the comparison of actions or decisions associated with the achievement of an overall result, was taken [54]. Importance ratings, recommended by reference [54], were also used to qualify the contribution of each innovation activity towards every POVD. The mental model outlined is presented in the scheme in Figure 1, right side.
Figure 1.
Survey scheme to identify mental models regarding innovation activities and POVD, acronyms can be found in Section 2.1.
The previous mental model scheme was transferred to a survey, to be applied to each of the 89 participants. This instrument was carried out under a digital survey platform. The first part of the survey determined a respondent´s university affiliation and role. Next, participants evaluated the importance of each innovation activity (listed in Table 1) to the fulfilment of each POVD.
It should be noted that the scheme depicted in Figure 1 determines a combinational set, comprising 55 possible relationships (11 activities contributing to 5 POVD). In this work, the contribution was assumed as the level of importance that each respondent gives to the contribution of each activity towards each POVD. This would determine for the respondents that their mental models referred to activities necessary to achieve a specific task [47].
For this work, the level of contribution was measured as importance ratings [54] and was estimated by selecting one category out of five available, using a Likert scale as follows: 1. Not important; 2. minor importance; 3. moderately important; 4. important; 5. very important. Evaluation of an activity as unimportant means that the respondent does not consider this activity to be important to achieve success in the innovation process. After the application of the survey, the results were consolidated in a data table with dimensions of 89 × 55, in which we can find 89 responses with 55 attributes, each attribute corresponding to every combination: one POVD/one innovation activity.
3.2. Clustering for Database Processing
Beyond the visual analysis of survey results, there are connections among the responses that must be understood for identifying relationships among POVD, innovation activities, and the mental models of people involved in R&D processes. For this objective, grouping techniques allowed for the identification of non-trivial connections among data supporting any specific phenomenon [55]. Among these techniques, clustering is one of the most used. It takes, as input, the attributes of a set of objects and splits it into specific groups called clusters. The attributes of an object allow it to be placed as a datapoint in an n-dimensional space. Thus, grouping the objects becomes a task of separating the points according to one specific number of groups. In this part, this process was carried out by a machine learning algorithm that learns the distances that make a set of objects be similar among them [56].
With respect to the study regarding mental models, the objects correspond to every participant in the survey, and the attributes are the possible responses that the respondent could choose. Under this representation, the hypothesis of this work lies in the fact that groups of respondents, which exhibit similar attributes, could be related to similar mental models within the innovation processes. This task, analysed from a computational view, consists of representing all the participants in an n-dimensional space, and labeling them according to any number of groups defined by an expert user. As an example of the effect of clustering in our dataset, Figure 2 represents a system that takes, as input, a set of nine participants plotted into a two-dimensional space according to the attributes: importance of developing available prototypes (API), the importance of searching founding resources (SFRI). This produces, as output, the labels in colour, according to three expected groups.
Figure 2.
Representation of the clustering process by taking into account nine participants and two attributes.
In this matter, different branches exist for carrying out clustering algorithms. Notwithstanding, K-means clustering is the most widely used. This method carries out a nearest neighbour searching. K-means clustering assigns labels depending on ‘k’ groups by calculating distances between the objects and reference points placed within the groups. This process was performed iteratively by assigning each object to the group whose reference point is the nearest. Those reference points updated per every iteration by calculating the centroids of the groups [57]. As an explanation of the process, Figure 3 summarises the steps in the K-means clustering algorithm.
Figure 3.
Block diagram for the steps in the K-means clustering algorithm.
As presented above, the K-means algorithm starts by loading the dataset, introducing the ‘k’ number of expected groups, and estimating random values for the ‘k’ centroids, which work as reference points. After that, distances between all the objects (Participants) and every centroid are calculated. In this work, the Euclidean distance is used, as indicated by Equation (1). In there, represents every attribute in the object, and accounts for each attribute within the centroid. The attributes run from ‘1’ to ‘n’. In here, ‘55’ attributes were considered [58].
Once all the distances were calculated, a label was assigned to every object depending upon the group with the centroid in which the minimum distance was achieved. With these labels, new groups were generated and consequently, the centroids update by replacing them for the average of attributes in the labelled objects within the groups. Finally, this process was repeated sequentially until the updated centroids did not report significant changes with respect to the last values. As it can be inferred from the algorithm, the utility of this algorithm not only lies in the object labelling process, but also in the identification of centroids which allows us to group new objects [59].
Although the K-means is a popular data-clustering algorithm, one of its biggest challenges is the requirement for the ‘k’ number of clusters before the algorithm is applied. In our dataset, this implies the anticipation of the number of mental models in which the participants could be grouped. In this paper, selecting the ‘k’ value is carried out by developing the elbow method [60], which is supported by the fact that clustering algorithms experience performance variations depending on the number of clusters. Therefore, instead of using a single predefined ‘k’ value, the literature suggests using a set of them by following an incremental strategy, and consequently, analysing the performance variations. With this method, the ideal ‘k’ value is taken from the point in which the performance exhibits a strong variation, as illustrated in Figure 4. In there, the point rounded by a red circle indicates the suggested number of ‘k’ groups.
Figure 4.
Example of a K-means performance curve to apply the elbow method.
In relation to the elbow method, the literature reports different strategies for evaluating the K-means performance [61]. Herein, for performance evaluation, we use the accumulative distances of the objects to their respective centroids, as indicated in Equation (2) for the performance ‘P’. This metric is related to the variance within each obtained cluster [60]. With this, fewer values of ‘k’ produce a higher K-means performance. On the contrary, higher values of ‘k’ lead to lower values of performances.
4. Results and Analysis
4.1. Data Summarisation
By considering that the applied survey is composed by processes and activities, an array of 4895 cells was obtained with the possible combinations between them. In there, it is well observed that the role of the participants is strongly supported by researchers, as shown in Figure 5. This validates the fact that in a higher education institutions context, people who are involved within innovation are often related to research processes. Likewise, it was found that roles related to technology manager and coordinator are more common than directive, IP manager, and entrepreneur. This could be attributed to the low proportion of profiles that our universities reported in these kinds of roles.
Figure 5.
Histogram for the survey participants by taking into account the affiliation role in the universities.
By taking into consideration that the obtained array reports extensive data, Table 2 summarises the importance in which the participants assume any activity, with respect to another, within a process. These results are presented through a frequency chart. In such cases, all the innovation processes and its respective activities are included, as introduced previously. In the table, the intensities of green colour are used to indicate differences between the range of participants who chose such an activity as important in the process. In there, dark intensities refer to a higher percent of frequencies; on the contrary, bright intensities indicate a low percent of frequencies.
Table 2.
Importance of the activities in the POVD; acronyms can be found in Section 2.1 and Section 3.1.
Among the reported frequencies per process, it was found that although most of the participants consider the activities which support every process as important (with a valuation of ‘4’) and very important (with a valuation of ‘5’), there are combinations with a lower level of importance. This could be attributed to the fact that participants, in a humble manner, demonstrate different levels of maturity or knowledge with respect to the activities within the innovation processes, and overall, on the way to overcoming a possible Valley of Death stage. In this sense, the reported data indicate that the activity with the highest importance was achieved by ‘MPCA’ (managing pre-commercial activities), with respect to the commercialisation strategy process. In here, a value of ‘63%’ was obtained. Likewise, the data in the table indicate that the activity marked as the lowest importance was the ‘MPCA’ with an ‘8%’ value, but in the technology concept process. This could be attributed to the fact that many of the participants consider as non-important the activity ‘MPCA’ when starting the R&D project, but it gains importance when the project becomes advanced into the technological development stages.
If it the obtained data are analysed in a wider manner, it can be noticed that, on one hand, there are activities which in general were evaluated as very important in a transversal manner for all five processes, as is the case of DTCIOM (Develop technical and competitive intelligence studies—opportunities analysis—identify markets). In there, the frequencies are mainly placed in the important and very important levels. This could indicate that the participants consider as necessary the existence of this type of report per every process, since the R&D projects start until they finalise. On the other hand, in the table, it is observed that for the two initial processes, a considerable number of activities report a higher dispersion of values, where the addition of a frequency distribution is placed generally in the levels corresponding to: no important, minor importance, and moderately. This indicates that in a general manner, those activities make no great contributions to the project until it achieves an advanced stage. In this case, the mentioned activities are VUUC (Validate user, usage, and consumption), PCA (Manage partnerships to complement technical, industrial, and/or commercial activities), MPCA (Managing pre-commercial activities), and CCTC (Manage contractual conditions, selections of mechanisms, and formalisations of transfer conditions), with the Identify technology concept, MPCA, and CCTC corresponding to the Evaluate technology performance process concept.
4.2. Data Grouping through Clustering
Although the previous data summarisation allowed for the identification of the activities that every person considers to be important in the innovation process, such representation does not allow us to relate the way in which they respond to the mental models one can find within the innovation processes. For this, results of the data grouping attempt to identify sets of participants whose responses might cause them to be labelled as similar. In this event, such similarities are assumed as a type of mental model.
4.2.1. Automatic Selection of the Number of Clusters
As the hypothesis of mental models in a data collection does not define the number of groups, the next Figure summarises the data grouping performance obtained iteratively from ‘2’ to ‘10’ groups. The elbow method suggests that ‘5’ is the maximum number of groups in which good data separability is obtained. According to the curve in Figure 6, to assign more than ‘5’ numbers of clusters could produce low values of separability. It indicates that although the participants could enface the activities with different levels of priority, five profiles are strongly identified. These profiles are assumed as the mental models, representing how the participants understand the POVD. In this work, the models will be called ‘A’, ‘B’, ‘C’, ‘D’, and ‘E’, as summarised by the axis label in Figure 6. It was obtained that ‘16’ participants were labelled as model ‘A’, ‘43’ participants as model ‘B’, ‘20’ participants as model ‘C’, ‘1’ participant as model ‘D’, and ‘9’ participants as model ‘E’ (Figure 7).
Figure 6.
Performance curve in elbow method for selecting the ideal number of groups in the dataset.
Figure 7.
Frequency chart that relates the number of participants labelled in every group (clusters). The capital letter in the x axis indicates the five found clusters.
4.2.2. Centroid Analysis
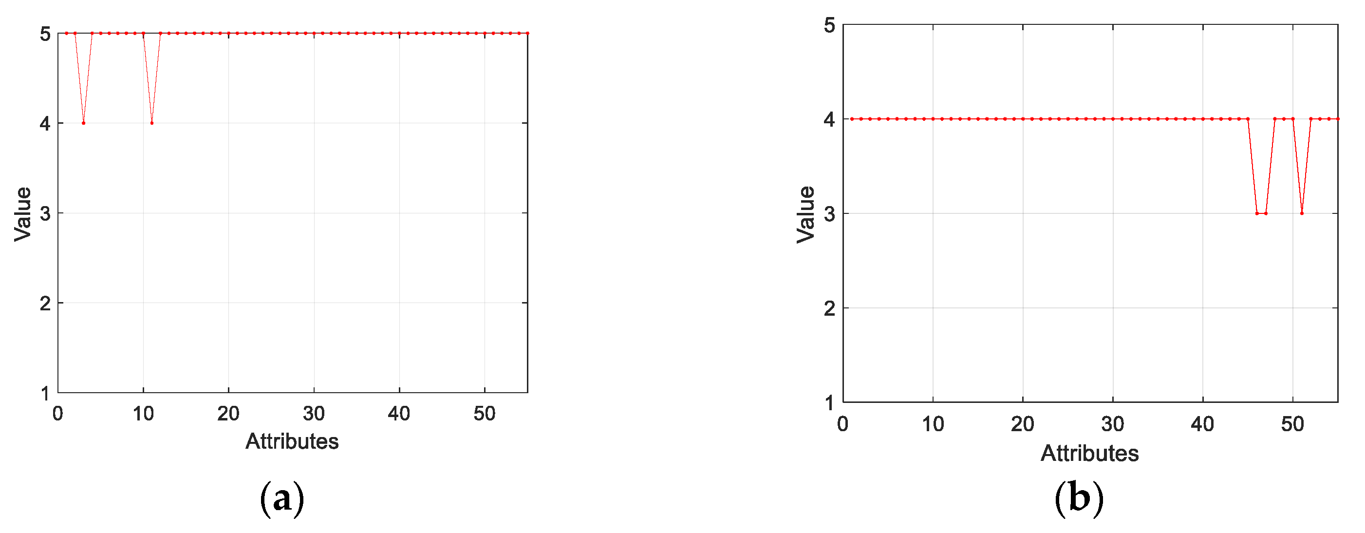
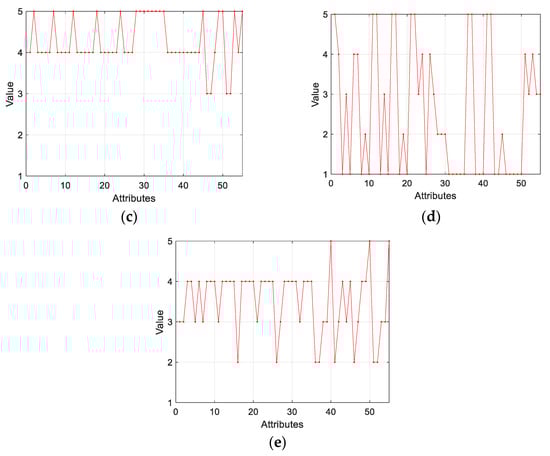
This section accounts for understanding the feature that makes a participant be labelled as a part of one of those groups. In this case, the values in the middle point of each group (Centroid) are assumed to represent the features which define every mental model. Group ‘A’ is represented by the participants that assume almost all the activities in all the processes as very important, as shown in Figure 8. This implies that for becoming part of group ‘A’, the participant must consider as five in importance all the activities in the processes.

Figure 8.
(a) Mental model A; (b) mental model B; (c) mental model C; (d) mental model D; (e) mental model E.
For group ‘B’, the clustering strategy suggests that participants must consider the importance of the innovation activities in almost all the processes as ‘4’. Figure 8b represents the attributes of the participant responses which belong to mental model ‘B’. Regarding group ‘C’, the attributes are a mixture between groups ‘A’ and ‘B’. This means that participants who belong to group ‘C’ usually switch their responses between very important (5) and important (4). Similarly, some of the last attributes are assigned as moderately important (3), as indicated in Figure 8c.
Regarding group ‘D’, the obtained centroid indicates that participants do not have a specific pattern and/or data distribution. In this direction, the participants pass through all the importance levels. It means, in some cases, the participant evaluates first as very important, then to non-important, and continues with moderately important, and so on. This case is presented in Figure 8d. Finally, group ‘E’ reports different attributes in the groups. In this case, the mental model exhibits responses generally between minor importance (2) and important (4), as indicated in Figure 8e. In there, some values at the end of the graphic are considered as very important (5).
Figure 9 shows the activation lines of the mental models found where, for the purposes of this work, the activation lines will be understood as those activities that the participants evaluated as “important” and “very important”. In that respect, in mental model “A” where high importance was given to all the tasks, it is shown how all the connections are present in the model; on the contrary, in mental model “E”, few activation lines are observed in the tasks concerning the processes identify technology concept and evaluate technology performance, which implies that the mental models of the participants are different and, to this extent, they prioritise some tasks over others.
Figure 9.
Comparison between mental model A (a) and E (b). Acronyms can be found in Section 2.1.
5. Discussion
After describing the obtained results, our analysis suggests that the people involved in R&D activities exhibit specific patterns to develop the processes, and that such patterns could be related to the strategies they use when struggling with a possible condition of the Valley of Death. In this case, the stage of data processing yielded five clusters, which could be understood as common mental models and suggest similarities in the way people prioritise POVD and their respective activities.
The implications of these findings go beyond the identification of respondent profiles that rank the importance of any specific activity in any specific process. In here, these patterns reveal significant information regarding the compromise that different groups of people invest in to develop every activity in entire processes. Within the clustered groups, two types of mental models can be observed: the first type shows a monotonous perspective, indicating a high importance score in the whole set of activities for the entire POVD. In contrast, other groups can be identified that are more flexible, with respect to how they approach every stage in the process. In other words, the second type of mental model shows variability instead of monotony, meaning that only some activities are scored as highly important.
Within the features that validate our findings, it can be seen that although there are mental models (outlined by clusters A, B, and C) where the vast majority of activities were rated as important and very important, to lead them in practice could become a difficult task and runs the risk of entering the Valley of Death due to the need to be perfect when developing a process. This argument coincides with the report made by Tomlin (2021), where it is empathised that sophisticated models do not guarantee success. On the contrary, the same author states that simpler mental models, such as D and E, may perform better. For the mental models outlined by clusters D and E, a fewer number of activities are considered of high contribution to the achievement of the POVD; therefore, to execute and coordinate these activities would require a lower effort, compared to the effort to address the same job guided by more complex A, B, or C mental models.
The above can be interpreted by considering the degree of effort required to execute the activities leading to the accomplishment of the POVDs: it can be expected that if the job is guided by a simple mental model, the effort may be less than if it is guided by a more complex mental model.
In a deeper manner, the findings indicate that there are specific activities which are considered as relevant for carrying out many of the processes. This implies that most of the mental models have patterns in common. With the exception of mental model D, the others (A, B, C, and E) consider the PCA activity (Manage partnerships to complement technical, industrial, and/or commercial activities) to be important or very important (four or five, respectively). This is significant when dealing with processes focused on reducing commercial uncertainty, defining commercial impact, and defining marketing strategy. In this sense, the generation of partnerships is considered a driver of innovation [62]. Nevertheless, there are even projects where the generation of networking is discouraged by aspects such as disagreements on financial contributions between the university and the company or the difficulty in signing agreements due to bureaucratic processes that slow down the establishment of alliances and collaborative work [63].
Contrary to the activities which resulted transversal for almost all the processes, our findings indicate that there are some that although they are not important for beginner processes, they catch attention when projects gain maturity. This could indicate that there exists a certain type of persistence in the mental models when facing a project, and that there exists the possibility to overcome the Valley of Death and effectively become innovations through flexible models [64]. In those cases, the variability in the valuations of activities could indicate differences in conception related to the general R&D process and may help to validate the existence of different mental models when working in the same type of projects.
Beside the results discussed before, one of the aspects to be considered in future works involves the exploration of the patterns that could exist in teams conformed by people with different mental models, including aspects such as experience in the development of R&D projects during the pre-commercialisation stages. Therefore, the association between such patterns and the possible success of the projects could be established. It is valuable to examine whether different groups of people, who play distinct roles in universities, exhibit dissimilar mental models. For example, whether researchers manifest different mental models from technology and intellectual property managers. It would also be possible to determine to what extent the mental models of technology and intellectual property managers are similar to those of decision makers and resource allocators [65]. Thus, it is necessary to explore whether it is possible to establish the flexibility or rigidity of these models in developing innovation [66], as well as their possible evolution or change over time.
This work has implications for the management of innovation projects in higher education institutions. Mental models are part of a learning process, which is dynamic and can be collective within teams and organisations. This condition implies that mental models can be modified, as long as teams execute actions tending to share, test, validate, and modify their mental models. This opens the opportunity of creating spaces and instruments for the project’s stakeholders, in order to explicit their mental models concerning the POVD. Afterwards, these mental models might be collectively shared, discussed, and tested so as to seek shared mental models that gather the collective experience. In this way, interaction between parties could be facilitated and the processes aimed at managing innovation projects in their final stages could be made more fluid.
6. Conclusions
In complement to reports in the literature, which have identified that mindsets within the framework of organisations tend to constitute barriers to innovation and that such mindsets could condition the formation and persistence of the Valley of Death, our findings indicate that the patterns in the levels of importance assigned by the stakeholders, for every activity supporting the processes within an innovation project, could contribute additional information that allows a better understanding of the constrains that make a project fall in the Valley of Death. In light of this panorama, a computer science strategy based on data clustering was implemented within the “Innovation management” as a research field to estimate the possible mental models related to a set of actors belonging to an academic scenario in a small sample of 89 participants in 11 universities. When analysing the levels of importance that participants assign to innovation activities, five mental models were identified. Indicating that the way in which the participants evaluate the importance of each innovation activity may or may not affect the materialisation of an innovation, in other words, this could influence whether or not a technology overcomes the Valley of Death.
The way in which the academic actors assume the importance of activities in the innovation processes can be grouped according to similar attributes by using clustering strategies. In this paper, those similarities are denominated as mental models in the innovation. In this case, although the algorithms allow the option of assigning the number of expected groups, the elbow method suggested that in our dataset, the maximum number of models, while conserving the data separability, is through ‘5’ groups. In here, ‘16’ participants were labelled as model ‘A’, ‘43’ participants as model ‘B’, ‘20’ participants as model ‘C’, ‘1’ participant as model ‘D’, and ‘9’ participants as model ‘E’.
Within the clusters, centroids could be understood as the patterns that characterise the activities and the processes in which the respondents enface a project related to innovation. This supports the rationale for assigning different levels of importance to activities that support processes, indicating that in the pursuit of innovation, each person presents a mental model and that each type of model is related to their own procedural signature. Some are more rigid in aiming for perfection in fulfilling the full set of activities, but others assign levels of importance as processes gain maturity.
Although the considered population focused on a small group of participants, the obtained results allow us to explore the possibility of conducting more robust research which could consider the number of innovation products that each participant can evidence in their academic expertise. This, with the intention of providing a ground truth of innovation, serves as a validation of the relationship between the attributes and mental models.
Author Contributions
Conceptualisation, J.G.-B., R.Y. and I.R.; data curation, J.G.-B. and J.C.B.-D.L.; formal analysis, J.C.B.-D.L.; funding acquisition, J.G.-B.; investigation, J.G.-B., R.Y. and I.R.; methodology, J.G.-B., R.Y. and J.C.B.-D.L.; project administration, J.G.-B.; supervision, J.G.-B.; validation, R.Y.; visualisation, J.G.-B., J.C.B.-D.L. and I.R.; writing—original draft, J.G.-B. and J.C.B.-D.L.; writing—review and editing, J.G.-B., J.C.B.-D.L., R.Y. and I.R. All authors have read and agreed to the published version of the manuscript.
Funding
This research was funded by Institución Universitaria Pascual Bravo-RI202004.
Institutional Review Board Statement
The study was approved by the Institutional Review Board (IRB), and the protocols used in the study were checked carefully warranting that nobody nor any institution participant were affected.
Informed Consent Statement
Informed consent was obtained from all subjects involved in the study.
Data Availability Statement
Not applicable.
Conflicts of Interest
The authors declare no conflict of interest. The funders had no role in the design of the study; in the collection, analyses, or interpretation of data; in the writing of the manuscript; in the decision to publish the results.
References
- Granstrand, O.; Holgersson, M. Innovation ecosystems: A conceptual review and a new definition. Technovation 2020, 90–91, 102098. [Google Scholar] [CrossRef]
- Carayannis, E.G.; Campbell, D.F. ‘Mode 3’ and ‘Quadruple Helix’: Toward a 21st century fractal innovation ecosystem. Int. J. Technol. Manag. 2009, 46, 201–234. [Google Scholar] [CrossRef]
- Markham, S.K.; Mugge, P. Traversing the Valley of Death: A Practical Guide for Innovation Leaders; Stephen Markham: Raleigh, NC, USA, 2015; ISBN 978-0-9909853-1-0. [Google Scholar]
- Siegel, D.S.; Waldman, D.A.; Atwater, L.; Link, A. Toward a model of the effective transfer of scientific knowledge from academicians to practitioners: Qualitative evidence from the commercialization of university technologies. J. Eng. Technol. Manag. 2004, 21, 115–142. [Google Scholar] [CrossRef]
- Salerno, M.S.; de Vasconcelos Gomes, L.A.; Da Silva, D.O.; Bagno, R.B.; Freitas, S.L. Innovation processes: Which process for which project? Technovation 2015, 35, 59–70. [Google Scholar] [CrossRef]
- Abereijo, I.O. Transversing the “valley of death”: Understanding the determinants to commercialization of research outputs in Nigeria. Afr. J. Econ. Manag. Stud. 2015, 6, 90–106. [Google Scholar]
- Beard, T.R.; Ford, G.S.; Koutsky, T.M.; Spiwak, L.J. A valley of Death in the innovation sequence: An economic investigation. Res. Eval. 2009, 18, 343–356. [Google Scholar] [CrossRef]
- Markham, S.K.; Ward, S.J.; Aiman, L.; Kingon, A. The valley of death as context for role theory in product innovation. J. Prod. Inn. Manag. 2010, 27, 402–417. [Google Scholar] [CrossRef]
- Schoonmaker, M.G.; Carayannis, E.; Rau, P. The role of marketing activities in the fuzzy front end of innovation: A study of the biotech industry. J. Technol. Trans. 2013, 38, 850–872. [Google Scholar] [CrossRef]
- Dean, T.; Zhang, H.; Xiao, Y. The role of complexity in the Valley of Death and radical innovation performance. Technovation 2022, 109. [Google Scholar] [CrossRef]
- Hottenrott, H.; Peters, B. Innovative capability and financing constraints for innovation: More money, more innovation? Rev. Econ. Stat. 2012, 94, 1126–1142. [Google Scholar] [CrossRef]
- McIntyre, R.A. Overcoming “The Valley of Death”. Sci. Prog. 2014, 97, 234–248. [Google Scholar] [CrossRef] [PubMed]
- Belz, A.; Terrile, R.J.; Zapatero, F.; Kawas, M.; Giga, A. Mapping the Valley of Death: Managing Selection and Technology Advancement in NASA′s Small Business Innovation Research Program. IEEE Transac. Eng. Manag. 2019, 68, 1476–1485. [Google Scholar] [CrossRef]
- Daldrup, V.; Krahl, O.; Bürger, R. Is Crowdfunding Suitable for Financing German Public Research Organization (PRO) Projects? In Contemporary Developments in Entrepreneurial Finance, FGF Studies in Small Business and Entrepreneurship; Moritz, A., Block, J.H., Golla, S., Werner, A., Eds.; Springer: Cham, Switzerland, 2020; pp. 309–338. [Google Scholar]
- Gou, J.; Li, J.; Ruan, P. Strategic Research of the Crossing of the «Death Valley» in Newly-Emerging Industry. In Proceedings of the 2013 International Conference on Advances in Social Science, Humanities, and Management, Guangzhou, China, 14–15 December 2013; Atlantis Press: Guangzhou, China, 2013; pp. 719–725. [Google Scholar]
- Bonnin-Roca, J.; O’Sullivan, E. The role of regulators in mitigating uncertainty within the Valley of Death. Technovation 2022, 109. [Google Scholar] [CrossRef]
- Auerswald, P.E.; Branscomb, L.M. Valleys of death and Darwinian seas: Financing the invention to innovation transition in the United States. J. Technol. Trans. 2003, 28, 227–239. [Google Scholar] [CrossRef]
- Barr, S.; Baker, T.; Markham, S.; Kingon, A. Bridging the Valley of Death: Lessons Learned From 14 Years of Commercialization of Technology Education. Acad. Manag. Learn. Educ. 2009, 8, 370–388. [Google Scholar]
- Colombo, M.; Piva, E. Strengths and weaknesses of academic startups: A conceptual model. IEEE Trans. Eng. Manag. 2008, 55, 37–49. [Google Scholar] [CrossRef]
- Negro, S.O.; Alkemade, F.; Hekkert, M.P. Why does renewable energy diffuse so slowly? A review of innovation system problems. Renew. Sustain. Energy Rev. 2012, 16, 3836–3846. [Google Scholar] [CrossRef]
- Bessant, J.; Öberg, C.; Trifilova, A. Framing problems in radical innovation. Indus. Mark. Manag. 2014, 43, 1284–1292. [Google Scholar] [CrossRef]
- Sandberg, B.; Aarikka-Stenroos, L. What makes it so difficult? A systematic review on barriers to radical innovation. Ind. Mark. Manag. 2014, 43, 1293–1305. [Google Scholar] [CrossRef]
- Verhoeff, A.; Menzel, H. Social capital to bridge the valley of death, simulating critical incidents in innovation. Int. J. Entrep. Small Bus. 2011, 14, 149–169. [Google Scholar] [CrossRef]
- Liening, A.; Geiger, J.M.; Kriedel, R. Bridging the Gap Between Invention and Innovation: The Role of University-Based Start-Up Programs and Private Cooperation. In Technology Entrepreneurship; Springer: Cham, Switzerland, 2018; pp. 241–260. [Google Scholar]
- Barron, E.; Amoros, J.E. Bridging the valley of death: Lessons from an entrepreneurial program. Int. J. Entrep. 2020, 24, 1–7. [Google Scholar]
- Rothwell, R. Towards the Fifth-generation Innovation Process. Int. Mark. Rev. 1994, 11, 7–31. [Google Scholar] [CrossRef]
- Cantisani, A. Technological innovation processes revisited. Technovation 2006, 26, 1294–1301. [Google Scholar] [CrossRef]
- Kline, S.J.; Rosenberg, N. An Overview of Innovation. In Studies on Science and the Innovation Process; World Scientific: Singapore, 2009; pp. 173–203. [Google Scholar]
- Raven, R.; Geels, F. Socio-cognitive evolution in niche development: Comparative analysis of biogas development in Denmark and the Netherlands (1973–2004). Technovation 2010, 30, 87–99. [Google Scholar] [CrossRef]
- Helmstetter, M. Bridging the Valley of Death between Ag Innovation Funding and Market Adoption. Available online: https://www.forbes.com/sites/michaelhelmstetter/2018/08/03/bridging-the-valley-of-death-between-innovation-funding-and-market-adoption/ (accessed on 29 April 2022).
- Savaneviciene, A.; Venckuviene, V.; Girdauskiene, L. Venture capital a catalyst for start-ups to overcome the «valley of death»: Lithuanian case. Procedia Econ. Financ. 2015, 26, 1052–1059. [Google Scholar] [CrossRef]
- Rothaermel, F.T.; Deeds, D.L. Alliance type, alliance experience and alliance management capability in high-technology ventures. J. Bus. Vent. 2006, 21, 429–460. [Google Scholar] [CrossRef]
- Rothaermel, F.T.; Hess, A.M. Building Dynamic Capabilities: Innovation Driven by Individual-, Firm-, and Network-Level Effects. Organ. Sci. 2007, 18, 898–921. [Google Scholar] [CrossRef]
- Lai, X.; Ye, Z.; Xu, Z.; Holmes, M.; Lambright, W. Carbon capture and sequestration (CCS) technological innovation system in China: Structure, function evaluation and policy implication. Energy Policy 2012, 50, 635–646. [Google Scholar] [CrossRef]
- Pons, X.A.; Martíns, J.J.G.; Parrilli, M.D. Evaluación de la fragmentación en los sistemas regionales de innovación: Una tipología para el caso de España. Investig. Reg. 2014, 28, 7–35. [Google Scholar]
- Aragón Amonarriz, C.; Iturrioz, C.; Narvaiza, L.; Parrilli, M.D. The role of social capital in regional innovation systems: Creative social capital and its institutionalization process. Pap. Reg. Sci. 2019, 98, 35–51. [Google Scholar] [CrossRef]
- González-Fernandez, S.; Kubus, R.; Mascareñas, J. Innovation Ecosystems in the EU: Policy Evolution and Horizon Europe Proposal Case Study (the Actors’ Perspective). Sustainability 2019, 11, 1–25. [Google Scholar] [CrossRef]
- Upadhyayula, V.K.; Gadhamshetty, V.; Shanmugam, K.; Souihi, N.; Tysklind, M. Advancing game changing academic research concepts to commercialization: A Life Cycle Assessment (LCA) based sustainability framework for making informed decisions in Technology Valley of Death (TVD). Res. Conserv. Recycl. 2018, 133, 404–416. [Google Scholar] [CrossRef]
- Van Lancker, J.; Mondelaers, K.; Wauters, E.; Van Huylenbroeck, G. The organizational innovation system: A systemic framework for radical innovation at the organizational level. Technovation 2016, 52–53, 40–50. [Google Scholar] [CrossRef]
- Nemet, G.F.; Zipperer, V.; Kraus, M. The valley of death, the technology pork barrel, and public support for large demonstration projects. Energy Pol. 2018, 119, 154–167. [Google Scholar] [CrossRef] [Green Version]
- Lettner, M.; Hesser, F.; Hedeler, B.; Schwarzbauer, P.; Stern, T. Barriers and incentives for the use of lignin-based resins: Results of a comparative importance performance analysis. J. Clean. Prod. 2020, 256, 120520. [Google Scholar] [CrossRef]
- Ellwood, P.; Williams, C.; Egan, J. Crossing the valley of death: Five underlying innovation processes. Technovation 2022, 109, 102162. [Google Scholar] [CrossRef]
- Ringberg, T.; Reihlen, M.; Rydén, P. The technology-mindset interactions: Leading to incremental, radical or revolutionary innovations. Ind. Mark. Manag. 2018, 79, 102–113. [Google Scholar] [CrossRef]
- Yannopoulos, P.; Gorish, N.; Kefalaki, M. Mental models as barriers to innovation. J. Bus. Psychol. 2011, 6, 115–124. [Google Scholar]
- Kim, D.H. The link between individual and organizational learning. In The Strategic Management of Intellectual Capital; Routledge: London, UK, 2009; pp. 41–62. [Google Scholar]
- Badke-Schaud, P.; Neumann, A.; Lauche, K.; Mohammed, S. Mental models in design teams: A valid approach to performance in design collaboration? CoDesign 2007, 3, 5–20. [Google Scholar] [CrossRef]
- Mohammed, S.; Klimoski, R.; Rentsch, J.R. The Measurement of Team Mental Models: We Have No Shared Schema. Org. Res. Meth. 2000, 3, 123–165. [Google Scholar] [CrossRef]
- Surroca, J.; Prior, D.; Tribó, J.A. Using panel data dea to measure CEOs′ focus of attention: An application to the study of cognitive group membership and performance. Strateg. Manag. J. 2014, 37, 37–388. [Google Scholar] [CrossRef]
- Assink, M. Inhibitors of disruptive innovation capability: A conceptual model. Eur. J. Inn. Manag. 2006, 9, 215–233. [Google Scholar] [CrossRef]
- Vink, J.; Edvardsson, B.; Wetter, K.; Tronvoll, B. Reshaping mental models–enabling innovation through service design. J. Serv. Manag. 2019, 300, 75–104. [Google Scholar] [CrossRef]
- Johnson-Laird, P.N. Mental models and cognitive change. J. Cogn. Psychol. 2013, 25, 131–138. [Google Scholar] [CrossRef]
- Minciencias. La Ciencia en Cifras. Available online: https://minciencias.gov.co/la-ciencia-en-cifras/grupos (accessed on 20 May 2022).
- Reinfried, S.; Tempelmann, S. The Impact of Secondary School Students’ Preconceptions on the Evolution of their Mental Models of the Greenhouse effect and Global Warming. Int. J. Sci. Educ. 2013, 36, 304–333. [Google Scholar] [CrossRef]
- Resick, C.J.; Murase, T.; Bedwell, W.L.; Sanz, E.; Jiménez, M.; DeChurch, L.A. Mental model metrics and team adaptability: A multi-facet multi-method examination. Group Dyn. Theory Res. Pract. 2010, 14, 332–349. [Google Scholar] [CrossRef]
- Ştefan, R.M. Cluster type methodologies for grouping data. Procedia Econ. Financ. 2014, 15, 357–362. [Google Scholar] [CrossRef]
- Likas, A.; Vlassis, N.; Verbeek, J.J. The global k-means clustering algorithm. Pattern Recognit. 2003, 36, 451–461. [Google Scholar] [CrossRef]
- Dayan, P.; Sahani, M.; Deback, G. Unsupervised learning. In The MIT Encyclopedia of the Cognitive Sciences; MIT: Cambridge, MA, USA, 1999; pp. 857–859. [Google Scholar]
- Shukla, S.; Naganna, S. A review on K-means data clustering approach. Int. J. Comput. Inf. Technol. 2014, 4, 1847–1860. [Google Scholar]
- Manjusha, M.; Harikumar, R. Performance analysis of KNN classifier and K-means clustering for robust classification of epilepsy from EEG signals. In Proceedings of the 2016 International Conference on Wireless Communications, Signal Processing and Networking (WiSPNET), Chennai, India, 23–25 March 2016; IEEE: New York, NY, USA; pp. 2412–2416. [Google Scholar]
- Syakur, M.A.; Khotimah, B.K.; Rochman, E.M.; Satoto, B.D. Integration k-means clustering method and elbow method for identification of the best customer profile cluster. IOP Conf. Ser. Mater. Sci. Eng. 2018, 336, 1–6. [Google Scholar] [CrossRef]
- Cui, M. Introduction to the k-means clustering algorithm based on the elbow method. Account. Audit. Financ. 2020, 1, 5–8. [Google Scholar]
- Kampers, L.F.; Asin-Garcia, E.; Schaap, P.J.; Wagemakers, A.; dos Santos, V.A.M. Navigating the Valley of Death: Perceptions of Industry and Academia on Production Platforms and Opportunities in Biotechnology. EFB Bioecon. J. 2022, 2, 100033. [Google Scholar] [CrossRef]
- Jiménez, E.; Yepes, E.R.; Rojas, I.D.; Arenas, J.F.; Giraldo, J.A. Factors involved in the valley of death of R&D&I: Polar cases approach. Rev. Esc. Adm. Neg. 2021, 90, 65–84. [Google Scholar]
- Jiménez, E.; Yepes, E.R.; Giraldo, J.A.; Rojas, I.D. Valley of Death: Factors Hindering the Success of Technological Innovations. Rev. CEA 2021, 7, 1–23. [Google Scholar]
- Yannopoulos, P.; Daskou, S. The role of mental models in managerial decision making. Int. J. Arts Sci. 2010, 3, 416–431. [Google Scholar]
- Tomlin, D. Consensus decision-making: Performance of heuristics and mental models. Evol. Hum. Behav. 2021, 42, 316–330. [Google Scholar] [CrossRef]
Publisher’s Note: MDPI stays neutral with regard to jurisdictional claims in published maps and institutional affiliations. |
© 2022 by the authors. Licensee MDPI, Basel, Switzerland. This article is an open access article distributed under the terms and conditions of the Creative Commons Attribution (CC BY) license (https://creativecommons.org/licenses/by/4.0/).









