Spatiotemporal Patterns of Non-Communicable Disease Mortality in the Metropolitan Area of the Valley of Mexico, 2000–2019
Abstract
1. Introduction
2. Materials and Methods
2.1. Study Area
2.2. Mortality Data
2.3. Population Data
2.4. Data Analysis
2.4.1. Temporal Trends
Autocorrelation Assessment
2.4.2. Relative Risk Estimation by Age and Sex Groups
2.4.3. Relative Risk Estimation by Municipalities
2.4.4. Statistical Software
3. Results
3.1. Mortality by Non-Communicable Diseases at the Metropolitan Scale in the MAVM
3.1.1. Mortality Trends for the Total Population
3.1.2. Sex-Specific Mortality Trends
3.1.3. Age-Specific Mortality Trends
3.2. Municipal-Level Trends in Non-Communicable Disease Mortality in the MAVM
3.2.1. Mortality Trends for the Total Population
3.2.2. Sex-Specific Mortality Trends
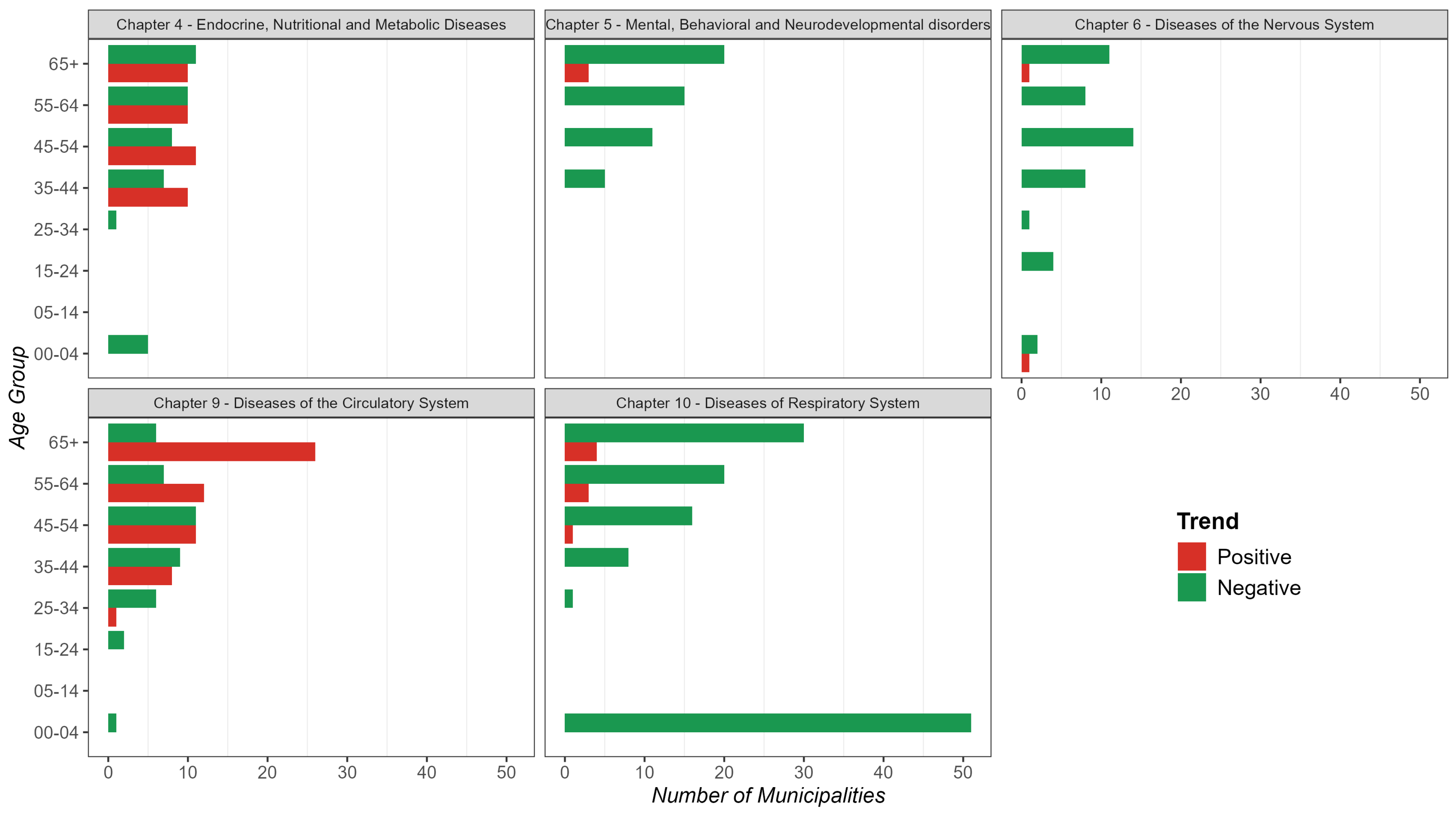
3.2.3. Age-Specific Mortality Trends
3.3. Relative Risk Trends in Non-Communicable Disease Mortality in the MAVM
3.3.1. Sex-Specific Relative Risk of Mortality over Time
3.3.2. Age-Specific Relative Risk (RR) of Mortality over Time
3.3.3. Municipality-Specific Relative Risk (RR) of Mortality over Time
4. Discussion
5. Conclusions
Supplementary Materials
Author Contributions
Funding
Institutional Review Board Statement
Informed Consent Statement
Data Availability Statement
Conflicts of Interest
Abbreviations
| MAVM | Metropolitan Area of Mexico Valley |
| NCD | Non-communicable diseases |
| MR | Mortality rate |
| Average of mortality rates | |
| CI | confidence interval |
| RR | relative risk |
Appendix A
| Average Mortality Rate (2000–2019) | Slope | p-Value | Trend | |
|---|---|---|---|---|
| Chapter 4 (Endocrine, Nutritional, and Metabolic Diseases) | ||||
| 0–4 | 4.6 | −0.300 | 0.0000 | No trend |
| 5–14 | 0.5 | −0.008 | 0.1310 | No trend |
| 15–24 | 1.3 | 0.006 | 0.3045 | No trend |
| 25–34 | 4.3 | 0.046 | 0.0060 | No trend |
| 35–44 | 15.9 | 0.330 | 0.0000 | No trend |
| 45–54 | 60.0 | 0.495 | 0.0000 | No trend |
| 55–64 | 176.4 | 0.444 | 0.0834 | No trend |
| 65+ | 607.6 | −0.844 | 0.4783 | No trend |
| Chapter 5 (Mental, Behavioral, and Neurodevelopmental Disorders) | ||||
| 0–4 | 0.1 | 0.004 | 0.3106 | No trend |
| 5–14 | 0.1 | 0.008 | 0.4461 | No trend |
| 15–24 | 0.2 | 0.002 | 0.9606 | No trend |
| 25–34 | 1.0 | −0.015 | 0.7101 | No trend |
| 35–44 | 2.4 | −0.013 | 0.7904 | No trend |
| 45–54 | 3.5 | −0.070 | 0.3693 | No trend |
| 55–64 | 4.2 | 0.002 | 0.1542 | No trend |
| 65+ | 14.2 | 0.004 | 0.3790 | No trend |
| Chapter 6 (Diseases of the Nervous System) | ||||
| 0–4 | 3.3 | −0.022 | 0.0598 | No trend |
| 5–14 | 1.5 | 0.013 | 0.1052 | No trend |
| 15–24 | 2.6 | 0.041 | 0.0013 | No trend |
| 25–34 | 2.3 | 0.002 | 0.8179 | No trend |
| 35–44 | 3.0 | 0.041 | 0.0131 | No trend |
| 45–54 | 4.3 | 0.042 | 0.0187 | No trend |
| 55–64 | 6.8 | 0.088 | 0.0018 | No trend |
| 65+ | 34.5 | −0.174 | 0.2724 | No trend |
| Chapter 9 (Diseases of the Circulatory System) | ||||
| 0–4 | 1.9 | 0.027 | 0.2819 | No trend |
| 05–14 | 0.4 | 0.012 | 0.1136 | No trend |
| 15–24 | 2.5 | 0.060 | 0.0001 | No trend |
| 25–34 | 6.1 | 0.099 | 0.0000 | No trend |
| 35–44 | 16.2 | 0.279 | 0.0000 | No trend |
| 45–54 | 47.0 | 0.287 | 0.0019 | No trend |
| 55–64 | 128.1 | 0.573 | 0.0032 | Positive |
| 65+ | 1034.6 | 3.114 | 0.0054 | Positive |
| Chapter 10 (Diseases of the Respiratory System) | ||||
| 0–4 | 30.1 | −2.526 | 0.0000 | Negative |
| 5–14 | 0.8 | −0.024 | 0.0317 | No trend |
| 15–24 | 1.4 | −0.010 | 0.2832 | No trend |
| 25–34 | 2.7 | 0.027 | 0.1787 | No trend |
| 35–44 | 5.0 | 0.071 | 0.0616 | No trend |
| 45–54 | 10.9 | 0.111 | 0.0259 | No trend |
| 55–64 | 31.2 | 0.119 | 0.3199 | No trend |
| 65+ | 326.6 | −2.364 | 0.0000 | Negative |
References
- World Health Organization. Noncommunicable Diseases Country Profiles 2018; World Health Organization: Geneva, Switzerland, 2018. [Google Scholar]
- Bennett, J.E.; Stevens, G.A.; Mathers, C.D.; Bonita, R.; Rehm, J.; Kruk, M.E.; Riley, L.M.; Dain, K.; Kengne, A.P.; Chalkidou, K.; et al. NCD Countdown 2030: Worldwide Trends in Non-Communicable Disease Mortality and Progress towards Sustainable Development Goal Target 3.4. Lancet 2018, 392, 1072–1088. [Google Scholar] [CrossRef]
- Girum, T.; Mesfin, D.; Bedewi, J.; Shewangizaw, M. The Burden of Noncommunicable Diseases in Ethiopia, 2000–2016: Analysis of Evidence from Global Burden of Disease Study 2016 and Global Health Estimates 2016. Int. J. Chronic Dis. 2020, 2020, 3679528. [Google Scholar] [CrossRef]
- Tuoane-Nkhasi, M.; van Eeden, A. Spatial Patterns and Correlates of Mortality Due to Selected Non-Communicable Diseases among Adults in South Africa, 2011. GeoJournal 2017, 82, 1005–1034. [Google Scholar] [CrossRef]
- The Global Economic Burden of Non-Communicable Diseases. 2011. Available online: https://www3.weforum.org/docs/WEF_Harvard_HE_GlobalEconomicBurdenNonCommunicableDiseases_2011.pdf (accessed on 23 March 2025).
- Capizzi, S.; De Waure, C.; Boccia, S. Global Burden and Health Trends of Non-Communicable Diseases. In A Systematic Review of Key Issues in Public Health; Springer International Publishing: Cham, Switzerland, 2015; pp. 19–32. ISBN 9783319136202. [Google Scholar]
- Roth, G.A.; Abate, D.; Abate, K.H.; Abay, S.M.; Abbafati, C.; Abbasi, N.; Abbastabar, H.; Abd-Allah, F.; Abdela, J.; Abdelalim, A.; et al. Global, Regional, and National Age-Sex-Specific Mortality for 282 Causes of Death in 195 Countries and Territories, 1980–2017: A Systematic Analysis for the Global Burden of Disease Study 2017. Lancet 2018, 392, 1736–1788. [Google Scholar] [CrossRef] [PubMed]
- Ezzati, M.; Pearson-Stuttard, J.; Bennett, J.E.; Mathers, C.D. Acting on Non-Communicable Diseases in Low- and Middle-Income Tropical Countries. Nature 2018, 559, 507–516. [Google Scholar] [CrossRef] [PubMed]
- Niessen, L.W.; Mohan, D.; Akuoku, J.K.; Mirelman, A.J.; Ahmed, S.; Koehlmoos, T.P.; Trujillo, A.; Khan, J.; Peters, D.H. Tackling Socioeconomic Inequalities and Non-Communicable Diseases in Low-Income and Middle-Income Countries under the Sustainable Development Agenda. Lancet 2018, 391, 2036–2046. [Google Scholar] [CrossRef]
- Sommer, I.; Griebler, U.; Mahlknecht, P.; Thaler, K.; Bouskill, K.; Gartlehner, G.; Mendis, S. Socioeconomic Inequalities in Non-Communicable Diseases and Their Risk Factors: An Overview of Systematic Reviews. BMC Public Health 2015, 15, 914. [Google Scholar] [CrossRef]
- Wagner, K.H.; Brath, H. A Global View on the Development of Non Communicable Diseases. Prev. Med. 2012, 54, S38–S41. [Google Scholar] [CrossRef]
- Shadmani, F.K.; Farzadfar, F.; Larijani, B.; Mirzaei, M.; Haghdoost, A.A. Trend and Projection of Mortality Rate Due to Non-Communicable Diseases in Iran: A Modeling Study. PLoS ONE 2019, 14, e0211622. [Google Scholar] [CrossRef]
- Aceves, B.; Ingram, M.; Nieto, C.; de Zapien, J.G.; Rosales, C. Non-Communicable Disease Prevention in Mexico: Policies, Programs and Regulations. Health Promot. Int. 2021, 35, 409–421. [Google Scholar] [CrossRef]
- Barquera, S.; Campos-Nonato, I.; Hernández-Barrera, L. Prevalencia de Obesidad En Adultos Mexicanos, ENSANUT 2012. Salud Publica México 2013, 55, 151. [Google Scholar] [CrossRef]
- Rtveladze, K.; Marsh, T.; Barquera, S.; Sanchez Romero, L.M.; Levy, D.; Melendez, G.; Webber, L.; Kilpi, F.; McPherson, K.; Brown, M. Obesity Prevalence in Mexico: Impact on Health and Economic Burden. Public Health Nutr. 2014, 17, 233–239. [Google Scholar] [CrossRef] [PubMed]
- Harbering, M.; Schlüter, J. Determinants of Transport Mode Choice in Metropolitan Areas the Case of the Metropolitan Area of the Valley of Mexico. J. Transp. Geogr. 2020, 87, 102766. [Google Scholar] [CrossRef]
- Delgado Ramos, G.C.; Jiménez Caballero, A.K.; Vidal Origel, D.S.; Castro Sánchez, L.E. Urban Political Ecology in Mexico: Metabolism, Conflicts, and the Need for Transformational Pathways in the Valley of Mexico, Guadalajara, and Monterrey. J. Polit. Ecol. 2023, 30, 2023. [Google Scholar] [CrossRef]
- Instituto Nacional de Estadística y Geografía. Censo de Población y Vivienda 2020; Instituto Nacional de Estadística y Geografía: Mexico City, Mexico, 2020. [Google Scholar]
- Comisión Ambiental Metropolitana del Valle de México. Programa de Gestión Para Mejorar La Calidad Del Aire de La Zona Metropolitana Del Valle de México; Comisión Ambiental Metropolitana del Valle de México: Mexico City, Mexico, 2021. [Google Scholar]
- Secretaría de Desarrollo Agrario Territorial y Urbano. Sistema Urbano Nacional 2018; Secretaría de Desarrollo Agrario Territorial y Urbano: Mexico City, Mexico, 2018. [Google Scholar]
- Centers for Medicare & Medicaid Services & National Center for Health Statistics. ICD-10-CM Official Guidelines for Coding and Reporting FY 2024 (Updated April 1, 2024); U.S. Department of Health and Human Services: Baltimore City, MD, USA, 2024.
- Consejo Nacional de Población. Población de Los Municipios 1990–2040 (Bases de Datos); CONAPO: Mexico City, México, 2024. [Google Scholar]
- Lemaitre, M.; Carrat, F. Comparative Age Distribution of Influenza Morbidity and Mortality during Seasonal Influenza Epidemics and the 2009 H1N1 Pandemic. BMC Infect. Dis. 2010, 10, 162. [Google Scholar] [CrossRef]
- Sorenson, S.B. Gender Disparities in Injury Mortality: Consistent, Persistent, and Larger than You’d Think. Am. J. Public Health 2011, 101, S353–S358. [Google Scholar] [CrossRef]
- Morris, J.A.; Gardner, M.J. Calculating Confidence Intervals for Relative Risks (Odds Ratios) and Standardised Ratios and Rates. Br. Med. J. 1988, 296, 1313–1316. [Google Scholar] [CrossRef]
- Feigin, V.L.; Nichols, E.; Alam, T.; Bannick, M.S.; Beghi, E.; Blake, N.; Culpepper, W.J.; Dorsey, E.R.; Elbaz, A.; Ellenbogen, R.G.; et al. Global, Regional, and National Burden of Neurological Disorders, 1990–2016: A Systematic Analysis for the Global Burden of Disease Study 2016. Lancet Neurol. 2019, 18, 459–480. [Google Scholar] [CrossRef]
- Taheri Soodejani, M. Non-Communicable Diseases in the World over the Past Century: A Secondary Data Analysis. Front. Public Health 2024, 12, 1436236. [Google Scholar] [CrossRef]
- Paiva, A.S.S.; Bilal, U.; Andrade, R.F.S.; Neto, C.C.C.; de Sousa Filho, J.F.; Santos, G.F.; Barreto, M.L.; Rodriguez, D.A.; Mullachery, P.; Sanchez, B.; et al. Scaling of Cardiovascular Risk Factors in 230 Latin American Cities. Sci. Rep. 2025, 15, 7279. [Google Scholar] [CrossRef]
- Bilal, U.; de Castro, C.P.; Alfaro, T.; Barrientos-Gutierrez, T.; Barreto, M.L.; Leveau, C.M.; Martinez-Folgar, K.; Miranda, J.J.; Montes, F.; Mullachery, P.; et al. Scaling of Mortality in 742 Metropolitan Areas of the Americas. Sci. Adv. 2021, 7, 6325. [Google Scholar] [CrossRef]
- Guarnieri, M.; Balmes, J.R. Outdoor Air Pollution and Asthma. Lancet 2014, 383, 1581–1592. [Google Scholar] [CrossRef]
- Raga, G.B.; Baumgardner, D.; Castro, T.; Martínez-Arroyo, A.; Navarro-González, R. Mexico City Air Quality: A Qualitative Review of Gas and Aerosol Measurements (1960–2000). Atmos. Environ. 2001, 35, 4041–4058. [Google Scholar] [CrossRef]
- Patel, V.; Chisholm, D.; Parikh, R.; Charlson, F.J.; Degenhardt, L.; Dua, T.; Ferrari, A.J.; Hyman, S.; Laxminarayan, R.; Levin, C.; et al. Addressing the Burden of Mental, Neurological, and Substance Use Disorders: Key Messages from Disease Control Priorities, 3rd Edition. Lancet 2016, 387, 1672–1685. [Google Scholar] [CrossRef] [PubMed]
- Mahomed, F. Addressing the Problem of Severe Underinvestment in Mental Health and Well-Being from a Human Rights Perspective. Health Hum. Rights 2020, 22, 35–49. [Google Scholar] [PubMed]
- Bots, S.H.; Peters, S.A.E.; Woodward, M.; Sanne, D.; Peters, A.E. Sex Differences in Coronary Heart Disease and Stroke Mortality: A Global Assessment of the Effect of Ageing between 1980 and 2010. BMJ Glob. Health 2017, 2, 298. [Google Scholar] [CrossRef]
- Mikkola, T.S.; Gissler, M.; Merikukka, M.; Tuomikoski, P.; Ylikorkala, O. Sex Differences in Age-Related Cardiovascular Mortality. PLoS ONE 2013, 8, e63347. [Google Scholar] [CrossRef]
- Li, J.; Pandian, V.; Davidson, P.M.; Song, Y.; Chen, N.; Fong, D.Y.T. Burden and Attributable Risk Factors of Non-Communicable Diseases and Subtypes in 204 Countries and Territories, 1990–2021: A Systematic Analysis for the Global Burden of Disease Study 2021. Int. J. Surg. 2025, 111, 2385–2397. [Google Scholar] [CrossRef]
- Roth, G.A.; Johnson, C.; Abajobir, A.; Abd-Allah, F.; Abera, S.F.; Abyu, G.; Ahmed, M.; Aksut, B.; Alam, T.; Alam, K.; et al. Global, Regional, and National Burden of Cardiovascular Diseases for 10 Causes, 1990 to 2015. J. Am. Coll. Cardiol. 2017, 70, 1–25. [Google Scholar] [CrossRef]
- Stanaway, J.D.; Afshin, A.; Gakidou, E.; Lim, S.S.; Abate, D.; Abate, K.H.; Abbafati, C.; Abbasi, N.; Abbastabar, H.; Abd-Allah, F.; et al. Global, Regional, and National Comparative Risk Assessment of 84 Behavioural, Environmental and Occupational, and Metabolic Risks or Clusters of Risks for 195 Countries and Territories, 1990–2017: A Systematic Analysis for the Global Burden of Disease Study 2017. Lancet 2018, 392, 1923–1994. [Google Scholar] [CrossRef]
- Grandjean, P.; Landrigan, P.J. Neurobehavioural Effects of Developmental Toxicity. Lancet Neurol. 2014, 13, 330–338. [Google Scholar] [CrossRef] [PubMed]
- Fuller, R.; Landrigan, P.J.; Balakrishnan, K.; Bathan, G.; Bose-O’Reilly, S.; Brauer, M.; Caravanos, J.; Chiles, T.; Cohen, A.; Corra, L.; et al. Pollution and Health: A Progress Update. Lancet Planet. Health 2022, 6, e535–e547. [Google Scholar] [CrossRef] [PubMed]
- Su, X.; Song, H.; Cheng, Y.; Yao, X.; Li, Y. The Mortality Burden of Nervous System Diseases Attributed to Ambient Temperature: A Multi-City Study in China. Sci. Total Environ. 2021, 800, 149548. [Google Scholar] [CrossRef] [PubMed]
- Lin, S.Y.; Ng, C.F.S.; Kim, Y.; Htay, Z.W.; Cao, A.Q.; Pan, R.; Hashizume, M. Ambient Temperature and Nervous System Diseases-Related Mortality in Japan from 2010 to 2019: A Time-Stratified Case-Crossover Analysis. Sci. Total Environ. 2023, 867, 161464. [Google Scholar] [CrossRef]
- Vogel, B.; Acevedo, M.; Appelman, Y.; Bairey Merz, C.N.; Chieffo, A.; Figtree, G.A.; Guerrero, M.; Kunadian, V.; Lam, C.S.P.; Maas, A.H.E.M.; et al. The Lancet Women and Cardiovascular Disease Commission: Reducing the Global Burden by 2030. Lancet 2021, 397, 2385–2438. [Google Scholar] [CrossRef] [PubMed]
- Diez Roux, A.V. Conceptual Approaches to the Study of Health Disparities. Annu. Rev. Public Health 2012, 33, 41–58. [Google Scholar] [CrossRef] [PubMed]
- Argumedo, G.; Cruz-Casarrubias, C.A.; Bonvecchio-Arenas, A.; Jáuregui, A.; Saavedra-Romero, A.; Martínez-Montañez, O.G.; Meléndez-Irigoyen, M.T.; Karam-Araujo, R.; Uribe-Carvajal, R.; Olvera, A.; et al. Towards the Design of Healthy Living, a New Curriculum for Basic Education in Mexico. Salud Publica México 2023, 65, 82–92. [Google Scholar] [CrossRef] [PubMed]
- Secretaría de Salud Programa Sectorial Derivado Del Plan Nacional de Desarrollo 2019–2024. Diario Oficial de la Federación. 2020. Available online: https://www.gob.mx/salud/documentos/programa-sectorial-de-salud-2020-2024 (accessed on 23 March 2025).
- Jbaily, A.; Zhou, X.; Liu, J.; Lee, T.H.; Kamareddine, L.; Verguet, S.; Dominici, F. Air Pollution Exposure Disparities across US Population and Income Groups. Nature 2022, 601, 228–233. [Google Scholar] [CrossRef]
- Khoshakhlagh, A.H.; Mohammadzadeh, M.; Gruszecka-Kosowska, A.; Oikonomou, E. Burden of Cardiovascular Disease Attributed to Air Pollution: A Systematic Review. Glob. Health 2024, 20, 37. [Google Scholar] [CrossRef]
- Gómez-Gómez, M.; Danglot-Banck, C. Contaminación Ambiental En El Valle de México ¿Estamos Haciendo Lo Necesario? Rev. Mex. Pediatr. 1998, 65, 254–260. [Google Scholar]
- Cacciatore, S.; Mao, S.; Nuñez, M.V.; Massaro, C.; Spadafora, L.; Bernardi, M.; Perone, F.; Sabouret, P.; Biondi-Zoccai, G.; Banach, M.; et al. Urban Health Inequities and Healthy Longevity: Traditional and Emerging Risk Factors across the Cities and Policy Implications. Aging Clin. Exp. Res. 2025, 37, 143. [Google Scholar] [CrossRef]
- Cummins, S.; Curtis, S.; Diez-Roux, A.V.; Macintyre, S. Understanding and Representing “place” in Health Research: A Relational Approach. Soc. Sci. Med. 2007, 65, 1825–1838. [Google Scholar] [CrossRef]










| Cumulative Deaths from 2000 to 2019 | |||||||
|---|---|---|---|---|---|---|---|
| Sex | Age Group | Chapter 4 | Chapter 5 | Chapter 6 | Chapter 9 | Chapter 10 | Total |
| Men | 0–4 | 937 | 12 | 675 | 376 | 6365 | 8365 |
| 5–14 | 177 | 16 | 624 | 171 | 301 | 1289 | |
| 15–24 | 519 | 135 | 1285 | 1185 | 638 | 3762 | |
| 25–34 | 1916 | 618 | 972 | 2923 | 1344 | 7773 | |
| 35–44 | 6114 | 1313 | 1054 | 6547 | 1908 | 16,936 | |
| 45–54 | 16,500 | 1457 | 1060 | 13,618 | 2926 | 35,561 | |
| 55–64 | 28,239 | 1079 | 1130 | 22,913 | 5222 | 58,583 | |
| 65+ | 70,865 | 1977 | 4099 | 115,163 | 41,363 | 233,467 | |
| Women | 0–4 | 743 | 8 | 507 | 309 | 4709 | 6276 |
| 5–14 | 160 | 10 | 465 | 143 | 254 | 1032 | |
| 15–24 | 457 | 35 | 601 | 643 | 407 | 2143 | |
| 25–34 | 1093 | 54 | 645 | 1341 | 560 | 3693 | |
| 35–44 | 3325 | 72 | 712 | 3058 | 1026 | 8193 | |
| 45–54 | 10,580 | 114 | 869 | 7561 | 2013 | 21,137 | |
| 55–64 | 23,120 | 134 | 891 | 14,509 | 3879 | 42,533 | |
| 65+ | 88,320 | 1733 | 4906 | 157,741 | 43,688 | 296,388 | |
| TOTAL | 253,065 | 8767 | 20,495 | 348,201 | 116,603 | 747,131 | |
Disclaimer/Publisher’s Note: The statements, opinions and data contained in all publications are solely those of the individual author(s) and contributor(s) and not of MDPI and/or the editor(s). MDPI and/or the editor(s) disclaim responsibility for any injury to people or property resulting from any ideas, methods, instructions or products referred to in the content. |
© 2025 by the authors. Licensee MDPI, Basel, Switzerland. This article is an open access article distributed under the terms and conditions of the Creative Commons Attribution (CC BY) license (https://creativecommons.org/licenses/by/4.0/).
Share and Cite
González-Salazar, C.; Gasca-Gómez, K.; Cordero-Saldierna, O. Spatiotemporal Patterns of Non-Communicable Disease Mortality in the Metropolitan Area of the Valley of Mexico, 2000–2019. Diseases 2025, 13, 241. https://doi.org/10.3390/diseases13080241
González-Salazar C, Gasca-Gómez K, Cordero-Saldierna O. Spatiotemporal Patterns of Non-Communicable Disease Mortality in the Metropolitan Area of the Valley of Mexico, 2000–2019. Diseases. 2025; 13(8):241. https://doi.org/10.3390/diseases13080241
Chicago/Turabian StyleGonzález-Salazar, Constantino, Kathia Gasca-Gómez, and Omar Cordero-Saldierna. 2025. "Spatiotemporal Patterns of Non-Communicable Disease Mortality in the Metropolitan Area of the Valley of Mexico, 2000–2019" Diseases 13, no. 8: 241. https://doi.org/10.3390/diseases13080241
APA StyleGonzález-Salazar, C., Gasca-Gómez, K., & Cordero-Saldierna, O. (2025). Spatiotemporal Patterns of Non-Communicable Disease Mortality in the Metropolitan Area of the Valley of Mexico, 2000–2019. Diseases, 13(8), 241. https://doi.org/10.3390/diseases13080241

