Association of Calf Circumference with Clinical and Biochemical Markers in Older Adults with COVID-19 Admitted at Intensive Care Unit: A Retrospective Cross-Sectional Study
Abstract
1. Introduction
2. Methods
2.1. Study and Sample
2.2. Data Collection
2.3. Statistical Analyzes
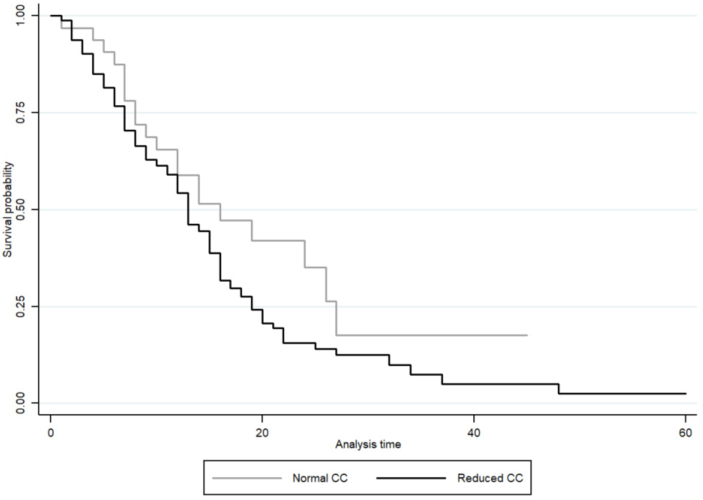
3. Results
4. Discussion
5. Conclusions
Supplementary Materials
Author Contributions
Funding
Institutional Review Board Statement
Informed Consent Statement
Data Availability Statement
Acknowledgments
Conflicts of Interest
References
- Santer, D.; Schneider, N.; de Carvalho, Y.S.S.; de Souza Bortolini, R.V.; Silva, F.M.; Franken, D.L.; da Silva Fink, J. The association between reduced calf and mid-arm circumferences and ICU mortality in critically ill COVID-19 patients. Clin. Nutr. ESPEN 2023, 54, 45–51. [Google Scholar] [CrossRef]
- Osuna-Padilla, I.; Rodríguez-Moguel, N.; Rodríguez-Llamazares, S.; Orsso, C.; Prado, C.; Ríos-Ayala, M.; Villanueva-Camacho, O.; Aguilar-Vargas, A.; Pensado-Piedra, L.; Juárez-Hernández, F.; et al. Low muscle mass in COVID-19 critically-ill patients: Prognostic significance and surrogate markers for assessment. Clin. Nutr. 2022, 41, 2910–2917. [Google Scholar] [CrossRef] [PubMed]
- Piotrowicz, K.; Gąsowski, J.; Michel, J.-P.; Veronese, N. Post-COVID-19 acute sarcopenia: Physiopathology and management. Aging Clin. Exp. Res. 2021, 33, 2887–2898. [Google Scholar] [CrossRef] [PubMed]
- Qin, C.; Zhou, L.; Hu, Z.; Zhang, S.; Yang, S.; Tao, Y.; Xie, C.; Ma, K.; Shang, K.; Wang, W.; et al. Dysregulation of Immune Response in Patients with Coronavirus 2019 (COVID-19) in Wuhan, China. Clin. Infect. Dis. 2020, 71, 762–768. [Google Scholar] [CrossRef] [PubMed]
- Padilha, D.M.H.; Mendes, M.C.S.; Lascala, F.; Silveira, M.N.; Pozzuto, L.; Santos, L.A.O.; Guerra, L.D.; Moreira, R.C.L.; Branbilla, S.R.; Junior, A.D.C.; et al. Low skeletal muscle radiodensity and neutrophil-to-lymphocyte ratio as predictors of poor outcome in patients with COVID-19. Sci. Rep. 2022, 12, 15718. [Google Scholar] [CrossRef] [PubMed]
- Gil, S.; Filho, W.J.; Shinjo, S.K.; Ferriolli, E.; Busse, A.L.; Avelino-Silva, T.J.; Longobardi, I.; de Oliveira Júnior, G.N.; Swinton, P.; Gualano, B.; et al. Muscle strength and muscle mass as predictors of hospital length of stay in patients with moderate to severe COVID-19: A prospective observational study. J. Cachexia Sarcopenia Muscle 2021, 12, 1871–1878. [Google Scholar] [CrossRef] [PubMed]
- Flower, L.; Haines, R.W.; McNelly, A.; Bear, D.E.; Koelfat, K.; Damink, S.O.; Hart, N.; Montgomery, H.; Prowle, J.R.; Puthucheary, Z. Effect of intermittent or continuous feeding and amino acid concentration on urea-to-creatinine ratio in critical illness. J. Parenter. Enter. Nutr. 2021, 46, 789–797. [Google Scholar] [CrossRef] [PubMed]
- Ali, A.M.; Kunugi, H. Skeletal Muscle Damage in COVID-19: A Call for Action. Medicina 2021, 57, 372. [Google Scholar] [CrossRef] [PubMed]
- Zhang, X.-M.; Wu, X.; Ma, Y.; Zhu, C.; Cao, J.; Liu, G.; Li, F.-F.; Cheng, A.S. Comparing the Performance of Calf Circumference, Albumin, and BMI for Predicting Mortality in Immobile Patients. Risk Manag. Healthc. Policy 2021, 14, 2289–2300. [Google Scholar] [CrossRef] [PubMed]
- Zhao, H.; Davies, R.; Ma, D. Potential therapeutic value of dexmedetomidine in COVID-19 patients admitted to ICU. Br. J. Anaesth. 2021, 126, e33–e35. [Google Scholar] [CrossRef]
- Barazzoni, R.; Bischoff, S.C.; Breda, J.; Wickramasinghe, K.; Krznaric, Z.; Nitzan, D.; Pirlich, M.; Singer, P. ESPEN expert statements and practical guidance for nutritional management of individuals with SARS-CoV-2 infection. Clin. Nutr. 2020, 39, 1631–1638. [Google Scholar] [CrossRef]
- Mechanick, J.I.; Carbone, S.; Dickerson, R.N.; Hernandez, B.J.D.; Hurt, R.T.; Irving, S.Y.; Li, D.; McCarthy, M.S.; Mogensen, K.M.; Gautier, J.B.O.; et al. Clinical Nutrition Research and the COVID-19 Pandemic: A Scoping Review of the ASPEN COVID-19 Task Force on Nutrition Research. J. Parenter. Enter. Nutr. 2021, 45, 13–31. [Google Scholar] [CrossRef]
- Bahat, G. Measuring calf circumference: A practical tool to predict skeletal muscle mass via adjustment with BMI. Am. J. Clin. Nutr. 2021, 113, 1398–1399. [Google Scholar] [CrossRef]
- Cruz-Jentoft, A.J.; Bahat, G.; Bauer, J.; Boirie, Y.; Bruyère, O.; Cederholm, T.; Cooper, C.; Landi, F.; Rolland, Y.; Sayer, A.A.; et al. Sarcopenia: Revised European consensus on definition and diagnosis. Age Ageing 2019, 48, 16–31. [Google Scholar] [CrossRef]
- Bunnell, K.M.; Thaweethai, T.; Buckless, C.; Shinnick, D.J.; Torriani, M.; Foulkes, A.S.; Bredella, M.A. Body composition predictors of outcome in patients with COVID-19. Int. J. Obes. 2021, 45, 2238–2243. [Google Scholar] [CrossRef] [PubMed]
- Poros, B.; Becker-Pennrich, A.S.; Sabel, B.; Stemmler, H.J.; Wassilowsky, D.; Weig, T.; Hinske, L.C.; Zwissler, B.; Ricke, J.; Hoechter, D.J. Anthropometric analysis of body habitus and outcomes in critically ill COVID-19 patients. Obes. Med. 2021, 25, 100358. [Google Scholar] [CrossRef]
- Pagotto, V.; Santos KF dos Malaquias, S.G.; Bachion, M.M.; Silveira, E.A. Calf circumference: Clinical validation for evaluation of muscle mass in the elderly. Rev. Bras. Enferm. 2018, 71, 322–328. [Google Scholar] [CrossRef] [PubMed]
- Alsharif, W.; Qurashi, A. Effectiveness of COVID-19 diagnosis and management tools: A review. Radiography 2021, 27, 682–687. [Google Scholar] [CrossRef]
- Petersen, S.W. Advanced Health Assessment and Diagnostic Reasoning; Jones & Bartlett Learning: Burlington, MA, USA, 2016. [Google Scholar]
- Vincent, J.-L.; Taccone, F.S. Understanding pathways to death in patients with COVID-19. Lancet Respir. Med. 2020, 8, 430–432. [Google Scholar] [CrossRef] [PubMed]
- Knaus, W.A.; Draper, E.A.; Wagner, D.P.; Zimmerman, J.E. APACHE II: A severity of disease classification system. Crit. Care Med. 1985, 13, 818–829. [Google Scholar] [CrossRef]
- Heyland, D.K.; Dhaliwal, R.; Jiang, X.; Day, A.G. Identifying critically ill patients who benefit the most from nutrition therapy: The development and initial validation of a novel risk assessment tool. Crit. Care 2011, 15, R268. [Google Scholar] [CrossRef] [PubMed]
- Sousa, I.M.; Fayh, A.P.T.; Lima, J.; Gonzalez, M.C.; Prado, C.M.; Silva, F.M. Low calf circumference adjusted for body mass index is associated with prolonged hospital stay. Am. J. Clin. Nutr. 2023, 117, 402–407. [Google Scholar] [CrossRef] [PubMed]
- Bolayir, B.; Arik, G.; Yeşil, Y.; Kuyumcu, M.E.; Varan, H.D.; Kara, Ö.; Güngör, A.E.; Yavuz, B.B.; Cankurtaran, M.; Halil, M.G. Validation of Nutritional Risk Screening-2002 in a Hospitalized Adult Population. Nutr. Clin. Pract. 2019, 34, 297–303. [Google Scholar] [CrossRef] [PubMed]
- Duerksen, D.R.; Yeo, T.A.; Siemens, J.L.; O’Connor, M.P. The validity and reproducibility of clinical assessment of nutritional status in the elderly. Nutrition 2000, 16, 740–744. [Google Scholar] [CrossRef] [PubMed]
- Lipschitz, D.A. Screening for nutritional status in the elderly. Prim. Care Clin. Off. Pract. 1994, 21, 55–67. [Google Scholar] [CrossRef]
- Bienvenu, L.A.; Noonan, J.; Wang, X.; Peter, K. Higher mortality of COVID-19 in males: Sex differences in immune response and cardiovascular comorbidities. Cardiovasc. Res. 2020, 116, 2197–2206. [Google Scholar] [CrossRef] [PubMed]
- Feng, H.; Gan, C.C.R.; Leiva, D.; Zhang, B.L.; Davies, S.E. COVID-19, sex, and gender in China: A scoping review. Glob. Health 2022, 18, 9. [Google Scholar] [CrossRef] [PubMed]
- Wijnhoven, H.A.; van Bokhorst-de van der Schueren, M.A.; Heymans, M.W.; de Vet, H.C.; Kruizenga, H.M.; Twisk, J.W.; Visser, M. Low Mid-Upper Arm Circumference, Calf Circumference, and Body Mass Index and Mortality in Older Persons. J. Gerontol. Ser. A Biol. Sci. Med. Sci. 2010, 65A, 1107–1114. [Google Scholar] [CrossRef] [PubMed]
- Hilton, T.N.; Tuttle, L.J.; Bohnert, K.L.; Mueller, M.J.; Sinacore, D.R. Excessive Adipose Tissue Infiltration in Skeletal Muscle in Individuals With Obesity, Diabetes Mellitus, and Peripheral Neuropathy: Association With Performance and Function. Phys. Ther. 2008, 88, 1336–1344. [Google Scholar] [CrossRef]
- Lim, W.S.; Lim, J.P.; Chew, J.; Tan, A.W.K. Calf Circumference as a Case-Finding Tool for Sarcopenia: Influence of Obesity on Diagnostic Performance. J. Am. Med. Dir. Assoc. 2020, 21, 1359–1361. [Google Scholar] [CrossRef]
- Gunst, J.; Kashani, K.B.; Hermans, G. The urea-creatinine ratio as a novel biomarker of critical illness-associated catabolism. Intensive Care Med. 2019, 45, 1813–1815. [Google Scholar] [CrossRef] [PubMed]
- Wei, J.; Jiao, J.; Chen, C.-L.; Tao, W.-Y.; Ying, Y.-J.; Zhang, W.-W.; Wu, X.-J.; Zhang, X.-M. The association between low calf circumference and mortality: A systematic review and meta-analysis. Eur. Geriatr. Med. 2022, 13, 597–609. [Google Scholar] [CrossRef] [PubMed]
- Fernandes, D.P.S.; Juvanhol, L.L.; Lozano, M.; Ribeiro, A.Q. Calf circumference is an independent predictor of mortality in older adults: An approach with generalized additive models. Nutr. Clin. Pract. 2022, 37, 1190–1198. [Google Scholar] [CrossRef] [PubMed]
- Merad, M.; Blish, C.A.; Sallusto, F.; Iwasaki, A. The immunology and immunopathology of COVID-19. Science 2022, 375, 1122–1127. [Google Scholar] [CrossRef] [PubMed]
- Colleluori, G.; Graciotti, L.; Pesaresi, M.; Di Vincenzo, A.; Perugini, J.; Di Mercurio, E.; Caucci, S.; Bagnarelli, P.; Zingaretti, C.M.; Nisoli, E.; et al. Visceral fat inflammation and fat embolism are associated with lung’s lipidic hyaline membranes in subjects with COVID-19. Int. J. Obes. 2022, 46, 1009–1017. [Google Scholar] [CrossRef] [PubMed]
- Ferreira, F.L. Serial Evaluation of the SOFA Score to Predict Outcome in Critically Ill Patients. JAMA 2001, 286, 1754. [Google Scholar] [CrossRef]
- Gupta, G.S. The Lactate and the Lactate Dehydrogenase in Inflammatory Diseases and Major Risk Factors in COVID-19 Patients. Inflammation 2022, 45, 2091–2123. [Google Scholar] [CrossRef] [PubMed]
- Lambden, S.; Laterre, P.F.; Levy, M.M.; Francois, B. The SOFA score—Development, utility and challenges of accurate assessment in clinical trials. Crit. Care 2019, 23, 374. [Google Scholar] [CrossRef] [PubMed]
- Naved, S.A.; Siddiqui, S.; Khan, F.H. APACHE-II Score Correlation with Mortality and Length of Stay in an Intensive Care Unit. J. Coll. Physicians Surg. Pak. 2011, 21, 4–8. [Google Scholar]
- Iepsen, U.W.; Plovsing, R.R.; Tjelle, K.; Foss, N.B.; Meyhoff, C.S.; Ryrsø, C.K.; Berg, R.M.G.; Secher, N.H. The role of lactate in sepsis and COVID-19: Perspective from contracting skeletal muscle metabolism. Exp. Physiol. 2022, 107, 665–673. [Google Scholar] [CrossRef]
- Singer, P.; Blaser, A.R.; Berger, M.M.; Alhazzani, W.; Calder, P.C.; Casaer, M.P.; Hiesmayr, M.; Mayer, K.; Montejo, J.C.; Pichard, C.; et al. ESPEN guideline on clinical nutrition in the intensive care unit. Clin. Nutr. 2019, 38, 48–79. [Google Scholar] [CrossRef] [PubMed]
- Kondrup, J. Nutritional risk screening (NRS 2002): A new method based on an analysis of controlled clinical trials. Clin. Nutr. 2003, 22, 321–336. [Google Scholar] [CrossRef] [PubMed]
- Leandro-Merhi, V.A.; Costa, C.L.; Saragiotto, L.; de Aquino, J.L.B. Nutritional indicators of malnutrition in hospitalized patients. Arq. Gastroenterol. 2019, 56, 447–450. [Google Scholar] [CrossRef] [PubMed]
- Zhang, X.Y.; Zhang, X.L.; Zhu, Y.X.; Jun, T.A.O.; Zhang, Z.; Zhang, Y.; Wang, Y.Y.; Ke, Y.Y.; Ren, C.X.; Jun, X.U.; et al. Low Calf Circumference Predicts Nutritional Risks in Hospitalized Patients Aged More Than 80 Years. Biomed. Environ. Sci. 2019, 32, 571–577. [Google Scholar] [PubMed]
- Lee, Z.Y.; Hasan, M.S.; Day, A.G.; Ng, C.C.; Ong, S.P.; Yap, C.S.L.; Engkasan, J.P.; Barakatun-Nisak, M.Y.; Heyland, D.K. Initial development and validation of a novel nutrition risk, sarcopenia, and frailty assessment tool in mechanically ventilated critically ill patients: The NUTRIC-SF score. J. Parenter. Enter. Nutr. 2022, 46, 499–507. [Google Scholar] [CrossRef] [PubMed]
- Paces, J.; Strizova, Z.; Smrz, D.; Cerny, J. COVID-19 and the Immune System. Physiol. Res. 2020, 69, 379–388. [Google Scholar] [CrossRef] [PubMed]
- Smilowitz, N.R.; Kunichoff, D.; Garshick, M.; Shah, B.; Pillinger, M.; Hochman, J.S.; Berger, J.S. C-reactive protein and clinical outcomes in patients with COVID-19. Eur. Heart J. 2021, 42, 2270–2279. [Google Scholar] [CrossRef] [PubMed]
- Hinkelmann, J.V.; de Oliveira, N.A.; Marcato, D.F.; Costa, A.R.R.O.; Ferreira, A.M.; Tomaz, M.; Rodrigues, T.J.; Mendes, A.P. Nutritional support protocol for patients with COVID-19. Clin. Nutr. ESPEN 2022, 49, 544–550. [Google Scholar] [CrossRef] [PubMed]
- Borges, T.C.; Gomes, T.L.N.; Pimentel, G.D. Sarcopenia as a predictor of nutritional status and comorbidities in hospitalized patients with cancer: A cross-sectional study. Nutrition 2020, 73, 110703. [Google Scholar] [CrossRef]
- Karimi Shahri, M.; Niazkar, H.R.; Rad, F. COVID-19 and hematology findings based on the current evidences: A puzzle with many missing pieces. Int. J. Lab. Hematol. 2021, 43, 160–168. [Google Scholar] [CrossRef]
- Palladino, M. Complete blood count alterations in COVID-19 patients: A narrative review. Biochem. Medica 2021, 31, 403–415. [Google Scholar] [CrossRef] [PubMed]
- Silva, J.; Giglio, B.M.; Lobo, P.C.B.; Araújo, V.A.; Pimentel, G.D. Neutrophil-to-lymphocyte ratio is not associated with risk of sarcopenia in elderly COVID-19 patients. Rev. Española Geriatría Gerontol. 2022, 57, 325–329. [Google Scholar] [CrossRef] [PubMed]
- Alnor, A.; Sandberg, M.B.; Toftanes, B.E.; Vinholt, P.J. Platelet parameters and leukocyte morphology is altered in COVID-19 patients compared to non-COVID-19 patients with similar symptomatology. Scand. J. Clin. Lab. Investig. 2021, 81, 213–217. [Google Scholar] [CrossRef] [PubMed]
- Ghazanfari, T.; Salehi, M.R.; Namaki, S.; Arabkheradmand, J.; Rostamian, A.; Chenary, M.R.; Ghaffarpour, S.; Ardestani, S.K.; Edalatifard, M.; Naghizadeh, M.M.; et al. Interpretation of Hematological, Biochemical, and Immunological Findings of COVID-19 Disease: Biomarkers Associated with Severity and Mortality. Iran. J. Allergy Asthma Immunol. 2021, 20, 46–66. [Google Scholar] [CrossRef]
- Kim, K.M.; Lim, S.; Oh, T.J.; Moon, J.H.; Choi, S.H.; Lim, J.Y.; Kim, K.W.; Park, K.S.; Jang, H.C. Longitudinal Changes in Muscle Mass and Strength, and Bone Mass in Older Adults: Gender-Specific Associations Between Muscle and Bone Losses. J. Gerontol. Ser. A 2018, 73, 1062–1069. [Google Scholar] [CrossRef]


| Variables | Total Sample | CC Reduced (n = 176) | CC Normal (n = 32) | p 1 |
|---|---|---|---|---|
| Age (years) 2 | 72 (66–81) | 73 (66–82) | 68 (64.5–71) | <0.001 * |
| Sex (n, %) 2 | 0.313 | |||
| Male | 113 (54) | 93 (52) | 20 (62) | |
| Female | 95 (46) | 83 (47) | 12 (37) | |
| Hospital length of stay (days) | 10 (6–15) | 9 (6–15) | 13 (8–19) | 0.016 * |
| Comorbidities (n, %) 2 | ||||
| Diabetes 2 | 69 (33) | 62 (40) | 7 (24) | 0.105 |
| Hypertension 2 | 124 (59) | 106 (68) | 18 (62) | 0.505 |
| Chronic obstructive pulmonary disease 2 | 30 (14) | 25 (16) | 5 (17) | 0.882 |
| Chronic kidney disease 2 | 23 (11) | 19 (12) | 4 (13) | 0.819 |
| Cardiopathy 2 | 39 (18) | 34 (22) | 5 (17) | 0.570 |
| Dementia 3 | 17 (8) | 13 (8) | 4 (13) | 0.356 |
| Hypothyroidism 2 | 17 (8) | 15 (9) | 2 (7) | 0.365 |
| Cancer 2 | 24 (11) | 20 (13) | 4 (14) | 0.896 |
| No comorbidities 2 | 19 (9) | 14 (9) | 5 (17) | 0.182 |
| Invasive mechanical ventilation (n, %) 2 | 90 (43) | 75 (48) | 15 (51) | 0.741 |
| Vasoactive drugs (n, %) 2 | 52 (25) | 44 (28) | 8 (27) | 0.930 |
| Sedation (n, %) 2 | 63 (30) | 54 (34) | 9 (31) | 0.692 |
| Hemodialysis (n, %) 2 | 18 (9) | 15 (9.6) | 3 (10.3) | 0.912 |
| Edema (n, %) 2 | 26 (12) | 18 (11) | 8 (27) | 0.023 * |
| Weight (kg) | 72 (±15.9) | 70 (±15.2) | 77.9 (±18.8) | 0.084 * |
| Height (m) | 1.63 (±0.1) | 1.62 (± 0.1) | 1.67 (±0.1) | 0.021 * |
| Body mass index (kg/m2) | 26.5 (22.5–30) | 23.4 (23.2–24.8) | 27.5 (24.6–30.3) | 0.466 |
| Calf circumference (cm) | 29.7 (±3.8) | 28.8 (±3.3) | 34.3 (±2.7) | <0.001 * |
| Hemoglobin (g/dL) | 12.6 (11–13) | 12.7 (11–13.8) | 12.3 (9.8 -13.8) | 0.450 |
| Hematocrit (%) | 36.8 (±7.3) | 37 (±7.1) | 35.9 (±8.1) | 0.233 |
| Urea (mg/dL) | 57 (36–95) | 58 (36–96.5) | 54 (31–86) | 0.445 |
| Creatinine (mg/dL) | 1.1 (0.8–1.8) | 1.2 (0.8–1.8) | 1.1 (0.8–1.8) | 0.993 |
| Urea to creatinine ratio | 44 (33.3–58.3) | 45 (33.5–59.1) | 40.5 (31.4–57.8) | 0.173 |
| Neutrophil (×109/L) | 10 (6–14) | 10 (6–14) | 10.5 (7–13) | 0.888 |
| Lymphocyte (×109/L) | 808 (539–1149) | 808 (539–1166.5) | 803 (496–1070) | 0.825 |
| Neutrophil lymphocyte ratio | 11.1 (6–18) | 11.1 (5.6–15.3) | 10.6 (6.77–20.3) | 0.609 |
| C reactive protein (mg/dL) | 12.9 (7–20.9) | 18.4 (15.1–23) | 13.6 (13.3–21.4) | 0.456 |
| Lactate (mg/L) | 18.2 (14.8–23) | 18.2 (18.7–21.8) | 17.4 (18.1–25.2) | 0.351 |
| SOFA score | 6 (2–8) | 6 (2–8) | 5 (4–8) | 0.805 |
| APACHE II score | 15 (11–26) | 15.5 (11–26) | 16.5 (11–25.5) | 0.792 |
| NUTRIC 1 | 5 (4–6) | 5.0 (4–6) | 4.5 (3.5–6) | 0.432 |
| NRS 1 | 4 (3–5) | 4 (4–5) | 3 (3–5) | 0.011 * |
| ≥3 3 | 203 (97) | 174 (99) | 29 (90) | 0.005 * |
| <3 3 | 5 (3) | 2 (1) | 3 (10) | |
| SGA 1 | ||||
| Well-nourished | 100 (48) | 80 (46) | 20 (66.6) | 0.118 |
| Undernourished | 103 (49) | 92 (52) | 10 (31) | |
| Death (n, %) 2 | 137 (65) | 117 (66) | 20 (62) | 0.662 |
| Variables | Men | Women | ||||
|---|---|---|---|---|---|---|
| CC Reduced (n = 98) | CC Normal (n = 15) | p 1 | CC Reduced (n = 83) | CC Normal (n = 12) | p 1 | |
| Age (years) | 74 (67–81) | 69 (64–75) | 0.150 | 72 (66–83) | 65 (62.5–67.5) | 0.003 * |
| Hospital length of stay (days) | 9 (6–14) | 12.0 (7–22) | 0.087 | 10 (6–15) | 15.5 (8.5–21.5) | 0.069 |
| Comorbidities (n, %) 2 | ||||||
| Diabetes 2 | 32 (38) | 3 (15) | 0.064 | 30 (42) | 4 (40) | 0.892 |
| Hypertension 2 | 56 (66) | 12 (63) | 0.771 | 50 (70) | 6 (60) | 0.504 |
| Chronic obstructive pulmonary disease 3 | 14 (16) | 4 (21) | 0.649 | 11 (15) | 1 (10) | 0.647 |
| Chronic kidney disease 3 | 13 (15) | 3 (15) | 0.973 | 6 (8) | 1 (10) | 0.870 |
| Cardiopathy 2 | 16 (19) | 3 (15) | 0.741 | 18 (25) | 2 (20) | 0.713 |
| Dementia 3 | 8 (9) | 4 (21) | 0.157 | 5 (7) | 0 | 0.384 |
| Hypothyroidism 3 | 3 (3.5) | 1 (5.2) | 0.730 | 12 (16) | 1 (10) | 0.578 |
| Cancer 3 | 9 (10) | 4 (21) | 0.220 | 11 (15) | 0 | 0.181 |
| No comorbidities 3 | 7 (8) | 3 (15) | 0.322 | 7 (9) | 2 (20) | 0.339 |
| Invasive mechanical ventilation (n, %) 2 | 40 (47) | 11 (57) | 0.419 | 35 (49) | 4 (40) | 0.220 |
| Vasoactive drugs (n, %) 2 | 24 (28) | 7 (36) | 0.478 | 20 (28) | 1 (10) | 0.418 |
| Sedation (n, %) 2 | 29 (34) | 8 (42) | 0.534 | 25 (35) | 1 (10) | 0.110 |
| Hemodialysis (n, %) 3 | 8 (9) | 2 (10) | 0.894 | 7 (9) | 1 (10) | 0.989 |
| Edema (n, %) 3 | 5 (5) | 5 (26) | 0.007 | 13 (18) | 3 (30) | 0.385 |
| Weight (kg) | 69 (±14) | 83 (±18) | 0.089 | 72.2 (±16) | 77 (±19) | 0.480 |
| Height (m) | 1.68 (±0.1) | 1.73 (±0.1) | 0.046 * | 1.56 (±0.1) | 1.58 (±0.1) | 0.069 |
| Body mass index (kg/m2) | 24.1 (20–27) | 25.7 (24.4–29.8) | 0.370 | 28.3 (25.2–33.8) | 28.8 (27.8–33.1) | 0.242 |
| Calf circumference (cm) | 29.2 (±3.2) | 35.9 (±1.8) | <0.001 * | 28.3 (±3.26) | 34 (±0.9) | <0.001 * |
| Hemoglobin (g/dL) | 12.9 (11.1–14.1) | 13.2 (9.6–14.8) | 0.752 | 12.5 (10.9–13.5) | 11.7 (10.5–12.6) | 0.217 |
| Hematocrit (%) | 37.3 (±7.5) | 36 (±9.7) | 0.449 | 36.7 (±6.6) | 35 (±6.5) | 0.305 |
| Urea (mg/dL) | 66 (43–107) | 71 (41–119) | 0.943 | 47 (28–83) | 29.5 (25–43.5) | 0.075 |
| Creatinine (mg/dL) | 1.3 (0.9–2.3) | 1.5 (1–2.3) | 0.634 | 1 (0.7–1.6) | 0.8 (0.7–1.0) | 0.395 |
| Urea to creatinine ratio | 48.2 (35.4–61) | 41 (32–59.2) | 0.676 | 42.5 (31.7–20.8) | 31.8 (26.4–42) | 0.062 |
| Neutrophil(×109/L) | 10.0 (8–14) | 12 (8–14) | 0.874 | 8 (5–14) | 8.0 (8.4–11.3) | 0.621 |
| Lymphocyte(×109/L) | 783 (538–1124) | 670 (388–984) | 0.500 | 867 (553–1226) | 915 (700–1487) | 0.452 |
| Neutrophil lymphocyte ratio | 11.8 (7.28–18.4) | 18.2 (7.25–30.6) | 0.479 | 7.8 (4.5–15) | 7.5 (6–12.5) | 0.805 |
| C reactive protein (mg/dL) | 12.8 (7.4–1.8) | 12 (6.3–22) | 0.582 | 12.6 (5.9–20.8) | 15.6 (8.7–21) | 0.753 |
| Lactate(mmol/L) | 19.4 (16.7–24.6) | 18.6 (13–25.6) | 0.187 | 16.8 (13–20.7) | 16.4 (12.1–25.2) | 0.788 |
| SOFA score | 6.0 (3.5–8.0) | 6 (4–8) | 0.975 | 4 (2–8) | 4.5 (3–7) | 0.817 |
| APACHE II score | 17.5 (12–29) | 24 (15–29) | 0.457 | 13.0 (10–24) | 10.5 (7–18.5) | 0.076 |
| NUTRIC 2 | 5 (4–6) | 5 (4–6) | 0.790 | 4 (3–6) | 3.5 (2.5–5.5) | 0.071 |
| NRS 2 | 4 (4–5) | 4 (3–6) | 0.372 | 4 (3–5) | 3 (3–4) | <0.001 * |
| ≥3 3 | 91 (97) | 15 (100) | 1.000 | 83 (100) | 9 (75) | <0.001 * |
| <3 3 | 2 (2.1) | 0 | 0 | 3 (25) | ||
| SGA 2 | ||||||
| Well-nourished | 37 (40) | 10 (66) | 0.720 | 43 (52) | 10 (83) | 0.016 * |
| Undernourished | 54 (55) | 10 (66) | 39 (47) | 0 | ||
| Death (n, %) 2 | 60(64) | 15 (100) | 0.488 | 57 (68) | 5 (41) | 0.066 |
| Model 1 | Model 2 | |||
|---|---|---|---|---|
| Variables | OR (95% CI) | p | OR (95% CI) | p |
| Hemoglobin (g/dL) | 1.06 (0.91; 1.24) | 0.396 | 1.05 (0.90; 1.23) | 0.475 |
| Hematocrit (%) | 1.03 (0.98; 1.08) | 0.224 | 1.02 (0.97; 1.07) | 0.310 |
| Urea (mg/dL) | 1.00 (1.00; 1.01) | 0.233 | 1.00 (0.99; 1.01) | 0.229 |
| Creatinine (mg/dL) | 0.98 (0.89; 1.08) | 0.799 | 0.91 (0.76; 1.10) | 0.359 |
| Urea to creatinine ratio | 1.01 (0.99; 1.03) | 0.153 | 1.01 (0.99; 1.03) | 0.194 |
| Neutrophil(×109/L) | 1.01 (0.93; 1.09) | 0.721 | 1.01 (0.89; 1.15) | 0.789 |
| Lymphocyte(×109/L) | 1.00 (1.00; 1.00) | 0.782 | 0.99 (0.99; 1.00) | 0.976 |
| Neutrophil lymphocyte ratio | 0.98 (0.96; 1.00) | 0.214 | 0.98 (0.96; 1.01) | 0.295 |
| C reactive protein (mg/dL) | 0.99 (0.95; 1.02) | 0.624 | 0.99 (0.95;1.03) | 0.764 |
| Lactate (mmol/L) | 1.01 (0.97; 1.06) | 0.390 | 1.02 (0.97; 1.07) | 0.403 |
| Diabetes | 2.09 (0.84; 5.20) | 0.111 | 2.06 (0.81; 5.25) | 0.127 |
| Hypertension | 1.32 (0.58; 3.01) | 0.506 | 0.96 (0.39; 2.31) | 0.928 |
| Chronic obstructive pulmonary disease | 0.92 (0.32; 2.64) | 0.882 | 0.66 (0.21; 2.06) | 0.485 |
| Chronic kidney disease | 0.87 (0.27; 2.78) | 0.819 | 1.00 (0.30; 3.36) | 0.994 |
| Cardiopathy | 1.34 (047; 3.80) | 0.571 | 1.01 (0.34; 2.99) | 0.973 |
| Dementia | 0.57 (0.17; 1.89) | 0.361 | 0.33 (0.08; 1.28) | 0.111 |
| Hypothyroidism | 1.44 (0.31; 6.69) | 0.637 | 0.94 (0.18; 4.75) | 0.942 |
| Cancer | 0.92 (0.29; 2.93) | 0.896 | 1.04 (0.32; 3.43) | 0.936 |
| No comorbidities | 2.09 (0.69; 6.36) | 0.190 | 1.45 (0.45; 4.66) | 0.524 |
| Invasive mechanical ventilation | 0.87 (0.39; 1.93) | 0.742 | 0.98 (0.41; 2.32) | 0.975 |
| Vasoactive drugs | 1.04 (0.42; 2.52) | 0.930 | 1.13 (0.41; 3.08) | 0.806 |
| Sedation | 1.18 (0.50; 2.78) | 0.692 | 1.25 (0.48; 3.22) | 0.642 |
| Hemodialysis | 0.92 (0.25; 3.43) | 0.912 | 1.09 (0.27; 4.31) | 0.898 |
| Edema (n, %) | 0.34 (0.13; 0.89) | 0.028 * | 0.26 (0.09; 0.74) | 0.012 * |
| SOFA score | 1.00 (0.89; 1.11) | 0.988 | 1.01 (0.86; 1.18) | 0.881 |
| NUTRIC | 1.12 (0.89; 1.41) | 0.320 | 1.11 (0.72; 1.73) | 0.619 |
| NRS (continuous) | 1.49 (1.06; 2.10) | 0.021 * | 1.45 (1.01; 2.10) | 0.043 * |
| NRS (≥3 vs. <3) | 0.11 (0.01; 0.69) | 0.019 * | 2.11 (0.89; 5.02) | 0.089 |
| SGA (well-nourished vs. undernourished) | 2.32 (1.02; 5.25) | 0.043 * | 2.19 (1.16; 4.15) | 0.016 * |
| Hospital length of stay (days) | 1.18 (054; 2.59) | 0.663 | 1.10 (0.46; 2.59) | 0.827 |
| Model 1 | Model 2 | |||
|---|---|---|---|---|
| Variables | OR (95% CI) | p | OR (95% CI) | p |
| CC (reduced vs. normal) | 1.47 (1.04; 2.06) | 0.027 * | 1.31 (0.86; 1.98) | 0.204 |
Disclaimer/Publisher’s Note: The statements, opinions and data contained in all publications are solely those of the individual author(s) and contributor(s) and not of MDPI and/or the editor(s). MDPI and/or the editor(s) disclaim responsibility for any injury to people or property resulting from any ideas, methods, instructions or products referred to in the content. |
© 2024 by the authors. Licensee MDPI, Basel, Switzerland. This article is an open access article distributed under the terms and conditions of the Creative Commons Attribution (CC BY) license (https://creativecommons.org/licenses/by/4.0/).
Share and Cite
Araújo, V.A.; Souza, J.S.; Giglio, B.M.; Lobo, P.C.B.; Pimentel, G.D. Association of Calf Circumference with Clinical and Biochemical Markers in Older Adults with COVID-19 Admitted at Intensive Care Unit: A Retrospective Cross-Sectional Study. Diseases 2024, 12, 97. https://doi.org/10.3390/diseases12050097
Araújo VA, Souza JS, Giglio BM, Lobo PCB, Pimentel GD. Association of Calf Circumference with Clinical and Biochemical Markers in Older Adults with COVID-19 Admitted at Intensive Care Unit: A Retrospective Cross-Sectional Study. Diseases. 2024; 12(5):97. https://doi.org/10.3390/diseases12050097
Chicago/Turabian StyleAraújo, Vanessa A., Jefferson S. Souza, Bruna M. Giglio, Patrícia C. B. Lobo, and Gustavo D. Pimentel. 2024. "Association of Calf Circumference with Clinical and Biochemical Markers in Older Adults with COVID-19 Admitted at Intensive Care Unit: A Retrospective Cross-Sectional Study" Diseases 12, no. 5: 97. https://doi.org/10.3390/diseases12050097
APA StyleAraújo, V. A., Souza, J. S., Giglio, B. M., Lobo, P. C. B., & Pimentel, G. D. (2024). Association of Calf Circumference with Clinical and Biochemical Markers in Older Adults with COVID-19 Admitted at Intensive Care Unit: A Retrospective Cross-Sectional Study. Diseases, 12(5), 97. https://doi.org/10.3390/diseases12050097

