Next Article in Journal
Millimeter Wave Propagation in Long Corridors and Tunnels—Theoretical Model and Experimental Verification
Next Article in Special Issue
Sliding Mode Observer-Based Fault-Tolerant Secondary Control of Microgrids
Previous Article in Journal
An Efficient Resource Allocation for Massive MTC in NOMA-OFDMA Based Cellular Networks
Previous Article in Special Issue
Analytical and Experimental Evaluation of a Novel Mechanism to Improve the Control Plane in Next-Generation Mobile Networks
 
 
Font Type:
Arial Georgia Verdana
Font Size:
Aa Aa Aa
Line Spacing:
Column Width:
Background:
Article

Adaptive Cluster Synchronization of Complex Networks with Identical and Nonidentical Lur’e Systems

1
School of Internet of Things Engineering, Jiangnan University, Wuxi 214122, China
2
Engineering Research Center of Internet of Things Technology Applications (Ministry of Education), Jiangnan University, Wuxi 214122, China
3
Department of Electrical Engineering, Yeungnam University, 280 Daehak-Ro, Kyonsan 38541, Korea
*
Author to whom correspondence should be addressed.
Electronics 2020, 9(5), 706; https://doi.org/10.3390/electronics9050706
Submission received: 7 March 2020 / Revised: 23 April 2020 / Accepted: 24 April 2020 / Published: 25 April 2020
(This article belongs to the Special Issue Networked Control Technology with Limited Signals)

Abstract

This paper is devoted to investigating the cluster synchronization of a class of nonlinearly coupled Lur’e networks. A novel adaptive pinning control strategy is introduced, which is beneficial to achieve cluster synchronization of the Lur’e systems in the same cluster and weaken the directed connections of the Lur’e systems in different clusters. The coupled complex networks consisting of not only identical Lur’e systems but also nonidentical Lur’e systems are discussed, respectively. Based on the S-procedure and the concept of acceptable nonlinear continuous function class, sufficient conditions are obtained which prove that the complex dynamical networks can be pinned to the heterogeneous solutions for any initial values. In addition, effective and comparatively small control strengths are acquired by the designing of the adaptive updating algorithm. Finally, a numerical simulation is presented to illustrate the proposed theorems and the control schemes.

1. Introduction

Complex dynamical networks (CDNs), as the special examples of complex systems, could be generally regarded as composing of interacted multiple nodes or systems. The study of complex networks has attracted considerable attention from different kinds of research fields on account of its comprehensive engineering applications, such as parallel imagine processing, power distribution, epidemic spreading networks and so on [1,2,3,4,5]. Synchronization, as the representative phenomenon of collective behaviors in CDNs, has become one of the most popular research directions in the investigation of complex networks [6]. Synchronization signifies the states of nodes or systems in complex networks converge to a desired trajectory. With the efforts devoted by many experts, the synchronization types have been greatly expanded. Apart from the early discussed complete synchronization [7], lag synchronization [8], phase synchronization [9], some emerging synchronization forms, like impulsive synchronization [10], cluster synchronization [11,12,13] have been given more and more attention.
Other than the motion of all nodes in the complex networks in complete synchronization, cluster synchronization refers to the situation in which the nodes belonging to the same cluster will be synchronized while there is no consensus behaviors between any two different clusters [12]. In other words, relationship among the nodes in the same cluster is cooperative while there is no clear cooperative or competitive relationships among the nodes in different clusters. Since a coupled complex network is divided into some communities in practice, the target of synchronization varies in different clusters, this feature leads to some special requirements on cluster synchronization. In this regard, Li et al. designed the controller and identification law for the cluster synchronization of a kind of uncertain discrete networks [13]. The finite-time cluster synchronization problem of nonlinearly coupled discontinuous Lur’e systems was discussed by Tang in [14]. Moreover, Yang, et al. focused on the cluster synchronization of a class of hybrid coupled complex networks in [15], where the adaptive coupling control scheme is proposed.
As mentioned in [16], the synchronous paths are strongly linked to the dynamics of every self-governed nodes and the topological structure of the complex networks. In addition, variation of the coupling strength also exerts enormous influence on them. Accordingly, the synchronization will be difficult to be obtained by only adjusting the coupling strength and the system parameters. Consequently, the control technique was introduced to synchronize the dynamical networks to the desired equilibrium point or a periodic orbit [17]. For example, in power grid, the existed one or more power failures (represent de-synchronized oscillators) may lead to further destructions and ultimately a power outage [18]. On this occasion, the employment of a pinning controller may drive it to a normal state. In the latest two decades, many control protocols have been raised and intensively investigated to satisfy various requirements in projects, such as, fuzzy control [19], pinning control [11,20], intermittent control [21], cascade optimal control [22].
In fact, a variety of complex network models have been established in terms of actual issues. However, different kinds of uncertainties in complex networks should not be ignored. For example, the given values of the control strengths normally much bigger than the required ones, which directly leads to the waste of resources and control costs. Therefore, how to calculate some suitable control strengths should be taken into account when modelling and controlling the complex networks. In this situation, adaptive control strategy [23] is effectively proposed, which aims to provide some proper numerical values for the control strengths under some specified algorithms. Different from general control schemes, adaptive control relies less on the prior knowledge of the control strengths. For instance, with reference to the extended parameters variation formula and using of proportional delayed impulsive comparison principle, authors in [24] discussed the exponential synchronization problem of derivative coupled networks with proportional delay under adaptive control. Additionally, the synchronization between a kind of delayed dynamical networks and an isolated node was finally achieved by applying the distributed adaptive control approach in [25].
It is known to us that Lur’e system belongs to a class of typical nonlinear systems, which can be described in the form of s ˙ i ( t ) = B s i ( t ) + C f ( R s i ( t ) ) . It is named after the celebrated scientist Lur’e of the former Soviet Union. In the process of researching the control problems of aircraft autopilot, he found if applying traditional linearized method, there exists huge error in kinetics model of an aircraft. After repeated experiments, nonlinear disturbances which can be restrained by a sector condition, namely, f ( · ) [ m , n ] [26] are confirmed. In that case, Lur’e system can be considered as the sum of a linear system and a feedback linked nonlinearity. The previous studies of Lur’e system are mainly based on Lyapunov function, with the advent of linear matrix inequality (LMI), a mass of research achievements are inspired [27,28,29].
In this article, a pinning control protocol is applied to investigate the cluster synchronization of a class of nonlinearly coupled Lur’e networks. Comparing to traditional control issues in complex networks [30], some controllers are designed for only a fraction of the nodes in the networks. Generally, there requires a big enough control strength to ensure the achievement of cluster synchronization. From the perspective of control costs, adaptive strategy is introduced to obtain proper control strengths. Different from the previous work like [31], where linearly coupled network was studied, in this paper, the nonlinearly coupled complex networks will be discussed due to its universality. Inspired by the above analysis, this work aims to study the cluster synchronization problem of coupled complex networks consisting of identical and nonidentical Lur’e systems. The main contribution of this article can be concluded as follows: (1) The dynamical networks composed of identical Lur’e systems and nonidentical Lur’e systems are discussed respectively, making our analysis universally valid [31]; (2) To solve the nonlinear characteristic of individual system and nonlinear coupling situation, effective methods like S-procedure and the concept of acceptable nonlinear continuous function class are introduced [30]; (3) Sufficient conditions for the cluster synchronization of the nonlinearly coupled complex networks consisting of identical and nonidentical Lur’e systems are derived in the forms of LMI, respectively [32]; (4) Adaptive strategy is introduced in order to acquire some proper control strengths by designing the adaptive update laws, which only requires the information of the controlled nodes themselves and largely saves control costs [33].
The reminding part of this paper is segmented into five sections. In Section 2, we introduce complex networks with cluster structures, the model of nonlinearly coupled Lur’e network and some needful preliminaries. The cluster synchronization of complex networks consisting of identical and nonidentical nodes is discussed severally in Section 3 and Section 4. The theoretic analysis is proved by the presented numerical example in Section 5. Finally, we summarize this paper in Section 6.

2. Model Description and Preliminaries

2.1. Model Description

First, we will make a description of the complex networks with cluster structures. Suppose such dynamical network consists of N Lur’e systems and λ clusters with N > λ 2 . If the ith Lur’e system belongs to the jth cluster, then we denote μ i = j . The set T j refers to all the Lur’e systems in the jth cluster and T ^ j is a set composed of the Lur’e systems in the jth cluster which have straightforward connections with the Lur’e systems in any other clusters. Thus, it’s clear about the following properties: (1) T i T j = , i j ; (2) i = 1 λ T i = { 1 , 2 , , N } .
Consider the following nonlinearly coupled dynamical networks composing of N Lur’e systems
z ˙ i ( t ) = B z i ( t ) + C f ( R z i ( t ) ) + ε j = 1 N a i j Γ G ( z j ( t ) ) , i = 1 , 2 , , N ,
where z i ( t ) = [ z i 1 , z i 2 , , z i n ] T R n is the state variable of the ith Lur’e system. The positive constant ε means the coupling strength. B R n × n , C R n × m , R R m × n are constant matrices. Γ = d i a g { k 1 , k 2 , , k n } R n × n with k q 0 ( q = 1 , 2 , , n ) called inner-linking matrix, which denotes the inner-coupling rule among the Lur’e systems. In this paper, for simple analysis, we take that Γ = I n . A = ( a i j ) N × N R N × N is the diffusive coupling matrix that shows the coupling configuration of the dynamical network. In particular, if there exists connection between the ith Lur’e system and jth Lur’e system ( i j ), then a i j = a j i > 0 , else a i j = a j i = 0 . Suppose the dynamical network is connected, so the coupling matrix is symmetrical and irreducible. Furthermore, the diagonal element of matrix A satisfies: a i i = j = 1 , j i N a i j . f : R m R m is a nonlinear continuous vector-valued function. The nonlinear coupling function G ( z j ( t ) ) = [ g ( z j 1 ( t ) ) , g ( z j 2 ( t ) ) , , g ( z j n ( t ) ) ] T R n , j = 1 , 2 , , N is continuous. Denote R z i ( t ) = [ r 1 z i ( t ) , r 2 z i ( t ) , , r m z i ( t ) ] T , f ( R z i ( t ) ) = [ f 1 ( r 1 z i ( t ) ) , f 2 ( r 2 z i ( t ) ) , , f m ( r m z i ( t ) ) ] T , where R = [ r 1 , r 2 , , r m ] T , r j R 1 × n , i = 1 , 2 , , N , j = 1 , 2 , , m .

2.2. Preliminaries

To derive the main conclusions of this paper, several definitions, lemmas and assumption will be put forward first.
Definition 1
([31]). Cluster synchronization of a complex network is achieved when both of the following conditions hold for all initial values: (1). lim t | | z i ( t ) z j ( t ) | | = 0 , μ i = μ j , i , j = 1 , 2 , , N ; (2). lim t | | z i ( t ) z j ( t ) | | 0 , μ i μ j , i , j = 1 , 2 , , N .
Definition 2
([17]). Considering such a nonlinear function g ( · ) belongs to the acceptable nonlinear continuous function class, namely, g ( · ) N C F ( ρ , σ ) , the following Lipschitz inequality holds for g ( x ) ρ x with arbitrary two constants x 1 , x 2 R ,
| ( g ( x 1 ) ρ x 1 ) ( g ( x 2 ) ρ x 2 ) | σ | x 1 x 2 | ,
where ρ and σ are two non-negative scalars.
Remark 1.
As shown in Definition 2, it is easy to decompose the nonlinear continuous function g ( x ) into two parts: one is the linear part ρ x , the other is the oscillatory part γ ( x ) = g ( x ) ρ x . It is to say the function g ( x ) N C F ( ρ , σ ) is oscillating around the linear part ρ x with γ ( x ) = g ( x ) ρ x as the restriction of the oscillatory amplitude. Clearly, for all x 1 , x 2 R , the following inequality holds
ρ σ g ( x 1 ) g ( x 2 ) x 1 x 2 ρ + σ .
Lemma 1
([14]). Let 1 n = ( 1 , 1 , , 1 ) T , I n = d i a g ( 1 , 1 , , 1 ) R n × n , U = [ u i j ] n × n = I n 1 N 1 n · 1 n T . And matrix N R n × n satisfies: n i i + i = 1 , i j n n i j = 0 , constant η > 0 , for any two vectors α = ( α 1 , α 2 , , α n ) T , β = ( β 1 , β 2 , , β n ) T , the inequality achieves
α T N β = α T N U β 1 2 ( 1 η α T N N T α + η β T U β ) .
Lemma 2
([34]). If M = [ m i j ] n × n R n × n , m i j = m j i , i j and satisfies m i i + j = 1 , i j n m i j = 0 , i = 1 , 2 , , n , then the following inequality holds for any vectors u ¯ = ( u 1 , u 2 , , u n ) T and v ¯ = ( v 1 , v 2 , , v n ) T ,
u ¯ T M v ¯ = i = 1 n j = 1 n u i m i j v j = j > i m i j ( u i u j ) ( v i v j ) .
Lemma 3
([35]). Assumedenotes the Kronecker product, then the following properties hold
1 ) . ( δ E ) F = E ( δ F ) ; 2 ) . ( E + F ) G = E G + F G ; 3 ) . ( E F ) ( G H ) = ( E G ) ( F H ) .
Assumption 1
([29]). Denote the nonlinear vector-valued function of the Lur’e system as f ( R z ) = [ f 1 ( r 1 z ) , f 2 ( r 2 z ) , , f m ( r m z ) ] T and assume it satisfies with the sector condition, namely, for any r j z r j x 0 , if non-negative constant ζ j , ν j exist, the equality holds
ζ j f j ( r j z ( t ) ) f j ( r j x ( t ) ) r j z ( t ) r j x ( t ) ν j , j = 1 , 2 , , m ,
for any two vectors z ( t ) , x ( t ) R n .

3. Cluster Synchronization of Identical Lur’e Systems

In this section, the global cluster synchronization for the nonlinearly coupled dynamical networks consisted of identical Lur’e systems will be investigated. Let u i ( t ) be the designed negative feedback controller, then the controlled coupled Lur’e network module can be given by
z ˙ i ( t ) = B z i ( t ) + C f ( R z i ( t ) ) + ε j = 1 N a i j G ( z j ( t ) ) + u i ( t ) , i = 1 , 2 , , N .
Consider the isolated Lur’e system in each cluster, we have
s ˙ i ( t ) = B s i ( t ) + C f ( R s i ( t ) ) , i = 1 , 2 , , λ ,
where s i ( t ) = [ s i 1 ( t ) , s i 2 ( t ) , , s i n ( t ) ] T R n , lim t | | s i ( t ) s j ( t ) | | 0 , for i j , i = j = 1 , 2 , , λ . Define the error vector as e i ( t ) = z i ( t ) s μ i ( t ) for i = 1 , 2 , , N . By subtracting the coupled Lur’e network (2) with the Lur’e system (3), we derive the following controlled nonlinearly coupled error Lur’e network
e ˙ i ( t ) = B e i ( t ) + C [ f ( R z i ( t ) ) f ( R s μ i ( t ) ) ] + ε j = 1 N a i j ( G ( z j ( t ) ) G ( s μ j ( t ) ) ) + ε j = 1 N a i j G ( s μ j ( t ) ) + u i ( t ) , i = 1 , 2 , , N .
Since A is a diffusive coupling matrix, there is j = 1 N a i j G ( s μ j ( t ) ) = 0 , for i T μ i T ^ μ i . In view of the discussion, the pinning negative feedback controller is designed as
u i ( t ) = d i ( t ) ( G ( z i ( t ) ) G ( s μ i ( t ) ) ) ε j = 1 N a i j G ( s μ j ( t ) ) , i T ^ μ i , 0 , i T μ i T ^ μ i ,
where d i ( t ) > 0 is a time-varying control strength which follows the adaptive update law
d ˙ i ( t ) = ξ e i ( t ) T P ( G ( z i ( t ) ) G ( s μ i ( t ) ) ) , i = 1 , 2 , , N ,
where the constant ξ > 0 and P = d i a g { p 1 , p 2 , , p n } is a positive matrix. For simple notation, let D = d i a g { d 1 , d 2 , , d N } , when i T ^ μ i , d i > 0 , else d i = 0 .
Theorem 1.
Suppose that the nonlinear coupling function g ( · ) N C F ( ρ , σ ) with ρ > σ > 0 and the nonlinear dynamics function f ( · ) satisfies the constraint in Assumption 1. If there exist two positive-definite matrices P = d i a g { p 1 , p 2 , , p n } , L = d i a g { l 11 , , l 1 m , , l N 1 , , l N m } with l i j > 0 and meanwhile, positive scalars ε, η, d i ( i T ^ μ i ) , such that both of the following inequalities hold:
(1) The following LMI
P ˜ B ˜ + B ˜ T P ˜ R ˜ T Γ ˜ L Π ˜ R ˜ P ˜ C ˜ + 1 2 R ˜ T ( Π ˜ + Γ ˜ ) L C ˜ T P ˜ + 1 2 L ( Π ˜ + Γ ˜ ) R ˜ L < 0 ;
(2) The inequality
ε ( 2 ρ A + 1 η A A T + 2 η σ 2 ( 1 1 N ) I N ) 2 ( ρ σ ) D < 0 ,
where P ˜ = I N P , B ˜ = I N B , C ˜ = I N C , R ˜ = I N R , Γ ˜ = I N Γ , Π ˜ = I N Π , Γ = d i a g { ζ 1 , ζ 2 , , ζ m } , Π = d i a g { ν 1 , ν 2 , , ν m } , then the cluster synchronization between the controlled nonlinearly coupled Lur’e networks (2) and the isolated Lur’e systems (3) is finally achieved under the pinning feedback controller (5) and the adaptive update law (6).
Proof. 
Choose the Lyapunov function as
V ( t ) = i = 1 N e i ( t ) T P e i ( t ) + i = 1 N 1 ξ ( d i ( t ) d i ) 2 .
Differentiating V ( t ) along the solution of the error networks (4) under the pinning negative feedback controller (5) gives
V ˙ ( t ) = 2 i = 1 N e i ( t ) T P e ˙ i ( t ) + 2 i = 1 N ( d i ( t ) d i ) e i ( t ) T P ( G ( z i ( t ) ) G ( s μ i ( t ) ) ) = 2 i = 1 N e i ( t ) T P { [ B e i ( t ) + C ( f ( R z i ( t ) ) f ( R s μ i ( t ) ) ) ] + ε j = 1 N a i j ( G ( z j ( t ) ) G ( s μ j ( t ) ) ) + ε j = 1 N a i j G ( s μ j ( t ) ) d i ( t ) ( G ( z i ( t ) ) G ( s μ i ( t ) ) ) ε j = 1 N a i j G ( s μ j ( t ) ) } + 2 i = 1 N ( d i ( t ) d i ) e i ( t ) T P ( G ( z i ( t ) ) G ( s μ i ( t ) ) ) = 2 i = 1 N e i ( t ) T P [ B e i ( t ) + C ( f ( R z i ( t ) ) f ( R s μ i ( t ) ) ) ] + 2 ε i = 1 N e i ( t ) T P j = 1 N a i j ( G ( z j ( t ) ) G ( s μ j ( t ) ) ) 2 i T ^ μ i d i e i ( t ) T P ( G ( z i ( t ) ) G ( s μ i ( t ) ) ) = V 1 1 ( t ) + V 1 2 ( t ) + V 1 3 ( t ) .
In order to smoothly write later, denote
e ( t ) = [ e 1 ( t ) T , e 2 ( t ) T , , e N ( t ) T ] T , ψ ( R z i ( t ) ; s μ i ( t ) ) = f ( R z i ( t ) ) f ( R s μ i ( t ) ) , ψ ( t ) = [ ψ 1 ( r 1 z i ( t ) ; s μ i ( t ) ) , ψ 2 ( r 2 z i ( t ) ; s μ i ( t ) ) , , ψ m ( r m z i ( t ) ; s μ i ( t ) ) ] T , Ω ( R ˜ z ( t ) ; S ( t ) ) = [ ψ ( R z 1 ( t ) ; s μ 1 ( t ) ) T , ψ ( R z 2 ( t ) ; s μ 2 ( t ) ) T , , ψ ( R z N ( t ) ; s μ N ( t ) ) T ] T .
By thinking of the sector condition of the function f ( · ) in Assumption 1, the inequality
ζ j ψ j ( r j z i ( t ) ; s μ i ( t ) ) r j z i ( t ) r j s μ i ( t ) = ψ j ( r j z i ( t ) ; s μ i ( t ) ) r j e i ( t ) ν j
is equal to ( ψ j ( r j z i ( t ) ; s μ i ( t ) ) ζ j r j e i ( t ) ) ( ψ j ( r j z i ( t ) ; s μ i ( t ) ) ν j r j e i ( t ) ) 0 for r j z i ( t ) ; s μ i ( t ) 0 , i = 1 , 2 , , N , j = 1 , 2 , , m . Moreover, it can be rewritten into a compact form by Kronecker product
( Ω ( R ˜ z ( t ) ; S ( t ) ) ( I N Γ ) ( I N R ) e ( t ) ) ( Ω ( R ˜ z ( t ) ; S ( t ) ) ( I N Π ) ( I N R ) e ( t ) ) 0 .
Rewriting the V 1 1 ( t ) gives
V 1 1 ( t ) = 2 i = 1 N e i ( t ) T P [ B e i ( t ) + C ( f ( R z i ( t ) ) f ( R s μ i ( t ) ) ) ] = 2 i = 1 N e i ( t ) T P [ B e i ( t ) + C ψ ( R z i ( t ) ; s μ i ( t ) ) ] .
With reference to (7) and S-procedure [36], let H = i = 1 N j = 1 m l i j ( ψ j ( r j z i ( t ) ; s μ i ( t ) ) ζ j r j e i ( t ) ) ( ψ j ( r j z i ( t ) ; s μ i ( t ) ) ν j r j e i ( t ) ) for l i j > 0 . Then we construct
V 1 1 ( t ) H = 2 i = 1 N e i ( t ) T P [ B e i ( t ) + C ψ ( R z i ( t ) ; s μ i ( t ) ) ] i = 1 N j = 1 m l i j ( ψ j ( r j z i ( t ) ; s μ i ( t ) ) ζ j r j e i ( t ) ) ( ψ j ( r j z i ( t ) ; s μ i ( t ) ) ν j r j e i ( t ) ) .
Based on the above discussion, it further gives
V 1 1 ( t ) H = 2 e ( t ) T P ˜ B ˜ e ( t ) + 2 e ( t ) T P ˜ C ˜ Ω ( R ˜ z ( t ) ; S ( t ) ) ( Ω ( R ˜ z ( t ) ; S ( t ) ) Γ ˜ R ˜ e ( t ) ) T L ( Ω ( R ˜ z ( t ) ; S ( t ) ) Π ˜ R ˜ e ( t ) ) = e ( t ) Ω ( R ˜ z ( t ) ; S ( t ) ) T P ˜ B ˜ + B ˜ T P ˜ R ˜ T Γ ˜ L Π ˜ R ˜ P ˜ C ˜ + 1 2 R ˜ T ( Π ˜ + Γ ˜ ) L C ˜ T P ˜ + 1 2 L ( Π ˜ + Γ ˜ ) R ˜ L e ( t ) Ω ( R ˜ z ( t ) ; S ( t ) ) .
From the condition (1) in Theorem 1, it derives V 1 1 ( t ) H < 0 , and further gives V 1 1 ( t ) < 0 . Before calculating V 1 2 ( t ) , we give some notations
e ˜ k ( t ) = [ e 1 k ( t ) , e 2 k ( t ) , , e N k ( t ) ] T , g ˜ ( z k ( t ) ) = [ g ( z 1 k ( t ) ) , g ( z 2 k ( t ) ) , , g ( z N k ( t ) ) ] T , g ˜ ( s k ( t ) ) = [ g ( s μ 1 k ( t ) ) , g ( s μ 2 k ( t ) ) , , g ( s μ N k ( t ) ) ] T , w ˜ ( z k ( t ) ) = [ w ( z 1 k ( t ) ) , w ( z 2 k ( t ) ) , , w ( z N k ( t ) ) ] T , w ˜ ( s k ( t ) ) = [ w ( s μ 1 k ( t ) ) , w ( s μ 2 k ( t ) ) , , w ( s μ N k ( t ) ) ] T , k = 1 , 2 , , n .
In terms of g ( · ) N C F ( ρ , σ ) , we can deal with V 1 2 as
V 1 2 ( t ) = 2 ε i = 1 N e i ( t ) T P j = 1 N a i j ( G ( z j ( t ) ) G ( s μ j ( t ) ) ) = 2 ε k = 1 n p k e ˜ k ( t ) T A ( g ˜ ( z k ( t ) ) g ˜ ( s k ( t ) ) ) = 2 ε ρ k = 1 n p k e ˜ k ( t ) T A e ˜ k ( t ) + 2 ε k = 1 n p k e ˜ k ( t ) T A [ ( g ˜ ( z k ( t ) ) ρ z k ( t ) ) ( g ˜ ( z k ( t ) ) ρ s k ( t ) ) ] = 2 ε ρ k = 1 n p k e ˜ k ( t ) T A e ˜ k ( t ) + 2 ε k = 1 n p k e ˜ k ( t ) T A ( w ˜ ( z k ( t ) ) w ˜ ( s k ( t ) ) ) .
Focusing on the nonlinear part of V 1 2 ( t ) and thinking that the matrix A satisfies the zero-row-sum condition, we have the following results by applying Lemma 1 and 2
2 ε k = 1 n p k e ˜ k ( t ) T A ( w ˜ ( z k ( t ) ) w ˜ ( s k ( t ) ) ) ε η k = 1 n p k e ˜ k ( t ) T A A T e ˜ k ( t ) + ε η k = 1 n p k ( w ˜ ( z k ( t ) ) w ˜ ( s k ( t ) ) ) T U ( w ˜ ( z k ( t ) ) w ˜ ( s k ( t ) ) ) ε η k = 1 n p k e ˜ k ( t ) T A A T e ˜ k ( t ) ε η k = 1 n p k j > i u i j { ( w ( z j k ( t ) ) w ( s μ j k ( t ) ) ) ( w ( z i k ( t ) ) w ( s μ i k ( t ) ) ) } 2
ε η k = 1 n p k e ˜ k ( t ) T A A T e ˜ k ( t ) 2 ε η k = 1 n p k j > i u i j { ( w ( z j k ( t ) ) w ( s μ j k ( t ) ) ) 2 + ( w ( z i k ( t ) ) w ( s μ i k ( t ) ) ) 2 } ε η k = 1 n p k e ˜ k ( t ) T A A T e ˜ k ( t ) 2 ε η σ 2 k = 1 n p k j > i u i j ( e j k ( t ) 2 + e i k ( t ) 2 ) ε η k = 1 n p k e ˜ k ( t ) T A A T e ˜ k ( t ) + 2 ε η σ 2 k = 1 n p k ( 1 1 N ) e ˜ k ( t ) T e ˜ k ( t ) = ε k = 1 n p k e ˜ k ( t ) T [ 1 η A A T + 2 η σ 2 ( 1 1 N ) I N ] e ˜ k ( t ) .
Combining with the Equations (8) and (9), we derive
V 1 2 ( t ) 2 ε ρ k = 1 n p k e ˜ k ( t ) T A e ˜ k ( t ) + ε k = 1 n p k e ˜ k ( t ) T [ 1 η A A T + 2 η σ 2 ( 1 1 N ) I N ] e ˜ k ( t ) = ε k = 1 n p k e ˜ k ( t ) T [ 2 ρ A + 1 η A A T + 2 η σ 2 ( 1 1 N ) I N ] e ˜ k ( t ) .
Similarly, by applying g ( · ) N C F ( ρ , σ ) , ρ > σ and the Definition 2, one has
V 1 3 ( t ) = 2 i T ^ μ i d i e i ( t ) T P ( G ( z i ( t ) ) G ( s μ i ( t ) ) ) = 2 i T ^ μ i k = 1 n d i p k e i k ( t ) T ( g ( z i k ( t ) ) g ( s μ i k ( t ) ) ) 2 ( ρ σ ) i T ^ μ i k = 1 n d i p k e i k ( t ) 2 = 2 ( ρ σ ) k = 1 n p k e k ( t ) T D e k ( t ) .
Integrating the inequalities (10) and (11), one can get
V 1 2 ( t ) + V 1 3 ( t ) k = 1 n p k e ˜ k ( t ) T ( ε ( 2 ρ A + 1 η A A T + 2 η σ 2 ( 1 1 N ) I N ) 2 ( ρ σ ) D ) e ˜ k ( t ) ,
according to the condition (2) in Theorem 1, we have V 1 2 ( t ) + V 1 3 ( t ) < 0 . Above all, V ˙ ( t ) = V 1 1 ( t ) + V 1 2 ( t ) + V 1 3 ( t ) < 0 . In view of the Lyapunov stability theorem, we can derive lim t | | e i ( t ) | | = 0 that is lim t | | z i ( t ) s μ i ( t ) | | = 0 and lim t | | d i ( t ) | | = d i , i = 1 , 2 , , N . That is, the Lur’e systems have synchronized to the desired state s μ i ( t ) in each cluster and the control strength d i ( t ) have converged to constant d i for i T ^ μ i .
Until now, the cluster synchronization of the controlled nonlinearly coupled Lur’e networks (2) is finally achieved by designing the pinning negative feedback controller (5) and the adaptive update law (6). This completes the proof of Theorem 1. □
Remark 2.
In view of (5), it is noticed that pinning feedback controllers are imposed to only a fraction of the Lur’e systems, which have directed communication with the Lur’e systems in the other clusters. Actually, the effective controller is consisted of two parts: one is the negative feedback part d i ( t ) ( G ( z i ( t ) ) G ( s μ i ( t ) ) ) , which aims to realize the synchronization of all Lur’e systems in the same cluster; the other part is a coupling one: ε j = 1 N a i j G ( s μ j ( t ) ) , which is designed to diminish the interconnection effects among different clusters.

4. Cluster Synchronization of Nonidentical Lur’e Systems

In this section, the discussion will be focused on the cluster synchronization of nonlinearly coupled network composed of nonidentical Lur’e systems.
Consider the following controlled complex network model consisting of nonidentical Lur’e systems in different clusters
z ˙ i ( t ) = B μ i z i ( t ) + C μ i f μ i ( R z i ( t ) ) + ε j = 1 N a i j G ( z j ( t ) ) + u i ( t ) ,
where for the different clusters, if μ i μ j , that is the ith Lur’e system and the jth Lur’e system belong to different clusters, therefore, B μ i B μ j , C μ i C μ j , f μ i f μ j for i , j = 1 , 2 , , N . Consider the desired synchronous state s μ i ( t ) in the μ i th cluster satisfies
s ˙ μ i ( t ) = B μ i s μ i ( t ) + C μ i f ( R s μ i ( t ) ) ,
where s μ i ( t ) = [ s μ i 1 ( t ) , s μ i 2 ( t ) , , s μ i n ( t ) ] R n ( i = 1 , 2 , , N ) is the state vector of isolated Lur’e systems. By defining the similar error vector, the following controlled error complex networks could be derived by subtracting the equation (13) from the controlled Lur’e network(12)
e ˙ i ( t ) = B μ i e i ( t ) + C [ f μ i ( R z i ( t ) ) f μ i ( R s μ i ( t ) ) ] + ε j = 1 N a i j ( G ( z j ( t ) ) G ( s μ j ( t ) ) ) + ε j = 1 N a i j G ( s μ j ( t ) ) + u i ( t ) ,
for i = 1 , 2 , , N . On account of the zero-row-sum characteristic of matrix A, the equation j = 1 N a i j G ( s μ j ( t ) ) = 0 holds if i T μ i T ^ μ i . Take this into consideration, the negative feedback pinning controller and the adaptive updating law of d i ( t ) are designed as (5) and (6), respectively. Similarly, give the following notations
f μ i ( R z i ( t ) ) = [ f μ i 1 ( r 1 z i ( t ) ) , f μ i 2 ( r 2 z i ( t ) ) , , f μ i m ( r m z i ( t ) ) ] T , ψ μ i ( R z i ( t ) ; s μ i ( t ) ) = f μ i ( R z i ( t ) ) f μ i ( R s μ i ( t ) ) , ψ μ i ( t ) = [ ψ μ i 1 ( r 1 z i ( t ) ; s μ i ( t ) ) , ψ μ i 2 ( r 2 z i ( t ) ; s μ i ( t ) ) , , ψ μ i m ( r m z i ( t ) ; s μ i ( t ) ) ] T .
By considering Assumption 1, it gives
ζ μ i j f μ i j ( r j z i ( t ) ) f μ i j ( r j s μ i ( t ) ) r j ( z i ( t ) s μ i ( t ) ) = ψ μ i j ( r j z i ( t ) ; s μ i ( t ) ) r j e i ( t ) ν μ i j ,
which equals to
( ψ μ i j ( r j z i ( t ) ; s μ i ( t ) ) ζ μ i j r j e i ( t ) ) ( ψ μ i j ( r j z i ( t ) ; s μ i ( t ) ) ν μ i j r j e i ( t ) ) 0
for r j e i ( t ) 0 , i = 1 , 2 , , N , j = 1 , 2 , , m , t R + .
In the following, we will present the second main results of this paper, which studies the cluster synchronization issue of a kind of complex networks consisting of nonidentical Lur’e systems by designing the pinning negative feedback controller (5).
Theorem 2.
Suppose that the nonlinear coupling function g ( · ) N C F ( ρ , σ ) with ρ > σ > 0 and the nonlinear dynamics function f ( · ) of Lur’e systems satisfies Assumption 1. If there exist two positive-definite matrices P = d i a g { p 1 , p 2 , , p n } , L μ i = d i a g { l μ i 1 , , l μ i 2 , , l μ i m } with l μ i j > 0 , i = 1 , 2 , , N , j = 1 , 2 , , m and some positive scalars ε, η, d i ( i T ^ μ i ) , such that both of the following inequalities hold:
(1) The following LMI
B μ i T P + P B μ i R T Γ μ i L μ i Π μ i R P C μ i + 1 2 R T ( Π μ i + Γ μ i ) L μ i C μ i T P + 1 2 L μ i ( Π μ i + Γ μ i ) R L μ i < 0 ;
(2) The inequality
ε ( 2 ρ A + 1 η A A T + 2 η σ 2 ( 1 1 N ) I N ) 2 ( ρ σ ) D < 0 ,
where Γ μ i = d i a g { ζ μ i 1 , ζ μ i 2 , , ζ μ i m } , Π = d i a g { ν μ i 1 , ν μ i 2 , , ν μ i m } , i = 1 , 2 , , N , then the cluster synchronization between the nonlinearly coupled Lur’e networks (12) and the isolated identical Lur’e systems (13) is finally realized under the negative feedback pinning controller (5) and the adaptive update law (6).
Proof. 
Construct the Lyapunov functional as
V ( t ) = i = 1 N e i ( t ) T P e i ( t ) + i = 1 N 1 ξ ( d i ( t ) d i ) 2 .
Calculating the derivative of V ( t ) along the error network (14) and adaptive update law (6) gives
V ˙ ( t ) = 2 i = 1 N e i ( t ) T P e ˙ i ( t ) + 2 i = 1 N ( d i ( t ) d i ) e i ( t ) T P ( G ( z i ( t ) ) G ( s μ i ( t ) ) ) = 2 i = 1 N e i ( t ) T P { [ B μ i e i ( t ) + C μ i ( f μ i ( R z i ( t ) ) f μ i ( R s μ i ( t ) ) ) ] + ε j = 1 N a i j ( G ( z j ( t ) ) G ( s μ j ( t ) ) ) + ε j = 1 N a i j G ( s μ j ( t ) ) d i ( t ) ( G ( z i ( t ) ) G ( s μ i ( t ) ) ) ε j = 1 N a i j G ( s μ j ( t ) ) } + 2 i T ^ μ i ( d i ( t ) d i ) e i ( t ) T P ( G ( z i ( t ) ) G ( s μ i ( t ) ) ) = 2 i = 1 N e i ( t ) T P [ B μ i e i ( t ) + C μ i ( f μ i ( R z i ( t ) ) f μ i ( R s μ i ( t ) ) ) ] + 2 ε i = 1 N e i ( t ) T P j = 1 N a i j ( G ( z j ( t ) ) G ( s μ j ( t ) ) ) 2 i T ^ μ i d i e i ( t ) T P ( G ( z i ( t ) ) G ( s μ i ( t ) ) ) = V 2 1 ( t ) + V 2 2 ( t ) + V 2 3 ( t ) .
In the following, we will focus on
V 2 1 ( t ) = 2 i = 1 N e i ( t ) T P [ B μ i e i ( t ) + C μ i ( f μ i ( R z i ( t ) ) f μ i ( R s μ i ( t ) ) ) ] = 2 i = 1 N e i ( t ) T P [ B μ i e i ( t ) + C μ i ψ μ i ( R z i ( t ) ; s μ i ( t ) ) ] .
Considering the condition (15) and S-procedure, define the following H
H = i = 1 N j = 1 m l μ i j ( ψ μ i j ( r j z i ( t ) ; s μ i ( t ) ) ζ μ i j r j e i ( t ) ) ( ψ μ i j ( r j z i ( t ) ; s μ i ( t ) ) ν μ i j r j e i ( t ) ) ,
where l μ i j > 0 for i = 1 , 2 , , N , j = 1 , 2 , , m . And further, we have
V 2 1 ( t ) H = 2 i = 1 N e i ( t ) T P [ B μ i e i ( t ) + C μ i ψ μ i ( R z i ( t ) ; s μ i ( t ) ) ] i = 1 N j = 1 m l μ i j ( ψ μ i j ( r j z i ( t ) ; s μ i ( t ) ) ζ μ i j r j e i ( t ) ) ( ψ μ i j ( r j z i ( t ) ; s μ i ( t ) ) ν μ i j r j e i ( t ) ) .
Denote L μ i = d i a g { l μ i 1 , l μ i 2 , , l μ i m } and one has l μ i h = l μ j h , if the ith Lur’e system and the jth Lur’e system belong to the same cluster for i , j = 1 , 2 , , N , h = 1 , 2 , , m . Then, the inequality (16) is transformed as
V 2 1 ( t ) H = i = 1 N { 2 e i ( t ) T P B μ i e i ( t ) + 2 e i ( t ) T P C μ i ψ μ i ( R z i ( t ) ; s μ i ( t ) ) ( ψ μ i ( t ) Γ μ i R e i ( t ) ) L μ i ( ψ μ i ( t ) Π μ i R e i ( t ) ) } = i = 1 N { 2 e i ( t ) T P B μ i e i ( t ) + 2 e i ( t ) T P C μ i ψ μ i ( t ) ψ μ i ( t ) T L μ i ψ μ i ( t ) + ψ μ i ( t ) T L μ i Π μ i R e i ( t ) + e i ( t ) T R T Γ μ i L μ i ψ μ i e i ( t ) T R T Γ μ i L μ i Π μ i R e i ( t ) } = i = 1 N e i ( t ) ψ μ i ( t ) T B μ i T P + P B μ i R T Γ μ i L μ i Π μ i R P C μ i + 1 2 R T ( Π μ i + Γ μ i ) L μ i C μ i T P + 1 2 L μ i ( Π μ i + Γ μ i ) R L μ i e i ( t ) ψ μ i ( t ) .
According to condition (1) of Theorem 2, it derives V 2 1 ( t ) < 0 . By similar procedure, we have V 2 2 ( t ) + V 2 3 ( t ) < 0 . Consequently, it gives V ˙ ( t ) < 0 , that is lim t | | e i ( t ) | | = lim t | | z i ( t ) s μ i ( t ) | | = 0 and lim t | | d i ( t ) | | = d i for i = 1 , 2 , , N . Until now, cluster synchronization of the nonidentically coupled Lur’e networks (12) is successfully achieved under negative feedback pinning control scheme (5) and the adaptive update law (6). We finish the proof now. □
Remark 3.
Generally speaking, big enough feedback control strengths could ensure the realization of the synchronization for the coupled complex networks. While in practical engineering and applications, it is impossible to provide control strengths at liberty due to the limitation of the control costs. As a result, adaptive control strategy is skillfully applied to solve this kind of issues, which helps to obtain some suitable control strengths by reasonably designing the adaptive updating laws. Comparing to [33], the control strengths can be obtained as the Lur’e networks varying. This point will be further shown by numerical examples.
Remark 4.
In previous studies like [37], the module of complex dynamical network is linearly coupled. In practical, the states z i ( t ) is often unable to be observed. Instead, the state z i ( t ) in some nonlinear forms are always captured. Therefore, it is more practical to consider the nonlinear couplings when modeling complex networks. In addition, the Lur’e system is considered in this paper, which is a typical nonlinear systems. Some common oscillators, such as Goodwin model, Chua’s circuits can be written in the form of Lur’e system.

5. Numerical Simulation

In this section, a numerical simulation is presented to demonstrate the accuracy of main results and the effective of the control scheme in this paper.
Consider the following Chua’s circuits ([34,38])
x ˙ 1 ( t ) x ˙ 2 ( t ) x ˙ 3 ( t ) = a 1 ( x 1 ( t ) + x 2 ( t ) + m ( x 1 ( t ) ) ) x 1 ( t ) x 2 ( t ) + x 3 ( t ) a 2 x 2 ( t ) + a 3 x 3 ( t ) ,
where function m ( x 1 ( t ) ) = k x 1 ( t ) + 1 2 ( j k ) ( x 1 ( t ) + 1 x 1 ( t ) 1 ) . Then rewrite Chua’s circuits in the form of Lur’e system consulting to (3) with B = a 1 k a a 1 0 1 1 1 0 a 2 a 3 , C = a 1 ( j k ) 0 0 , R = 1 0 0 , f ( R s ( t ) ) = 1 2 ( j k ) ( x 1 ( t ) + 1 x 1 ( t ) 1 ) satisfies the section condition f ( · ) [ 0 , 1 ] . We set a 1 = 9 , a 2 = 100 / 7 , a 3 = 0 , j = 8 / 7 , k = 5 / 7 . As for the second cluster, we consider the different parameters of Chua’s circuits from cluster one, let a 1 = 12 , a 2 = 10 , a 3 = 0 . 02 , j = 31 / 28 , k = 3 / 4 .
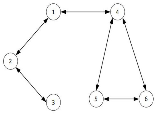
Consider a nonlinearly coupled complex network consisted of six nodes together with two clusters T 1 = { 1 , 2 , 3 } , T 2 = { 4 , 5 , 6 } . As shown in Figure 1, nodes 1 and 4 are connected directly. By the pinning control scheme, nodes 1 and 4 are selected to be controlled. To obtained the cluster synchronization of nonlinearly coupled complex networks under the negative feedback pinning controller (5), let the outer coupling matrix A = 3 1 0 2 0 0 1 2 1 0 0 0 0 1 1 0 0 0 2 0 0 4 1 1 0 0 0 1 2 1 0 0 0 1 1 2 , P = I 6 , the coupling strength ε = 0 . 3 . By the application of MATLAB LMI TOOLBOX, two conditions of Theorem 2 are satisfied.
Now, based on definition of the error vector e i ( t ) = z i ( t ) s μ i ( t ) , we define the error of each node in the controlled networks as e i ( t ) = 1 3 ( ( e i 1 ( t ) ) 2 + ( e i 2 ( t ) ) 2 + ( e i 3 ( t ) ) 2 ) for i = 1 , 2 , , 6 . Figure 2 shows that with time goes to about 18s, e i t ) converges to zero, which implies the each state are synchronized to the desired trajectories. In order to illustrate the synchronization is acquired in each cluster, let E i j ( t ) be the jth state of the ith cluster. For the first cluster, let E 1 j ( t ) = 1 3 ( ( e 1 j ( t ) ) 2 + ( e 2 j ( t ) ) 2 + ( e 3 j ( t ) ) 2 ) , j = 1 , 2 , 3 , and E 2 j ( t ) = 1 3 ( ( e 4 j ( t ) ) 2 + ( e 5 j ( t ) ) 2 + ( e 6 j ( t ) ) 2 ) , j = 1 , 2 , 3 for the second cluster. The evolution error state curves of these two clusters are given in Figure 3. Furthermore, define the state error between the two cluster as E 1 2 j = 1 3 ( ( z 1 j ( t ) ) 2 + ( z 2 j ( t ) ) 2 + ( z 3 j ( t ) ) 2 ) 1 3 ( ( z 4 j ( t ) ) 2 + ( z 5 j ( t ) ) 2 + ( z 6 j ( t ) ) 2 ) , j = 1 , 2 , 3 . It can be found from the Figure 3, Figure 4 that the error curves approach to zero as time goes by in the same cluster but the curves vibrate irregularly between two different clusters. From the above analysis and the Definition 1, it could be concluded that the cluster synchronization on the nonlinearly coupled complex networks is successfully realized by designing the negative feedback pinning controller (5). Furthermore, the evolution curves of the negative feedback control strengths are presented in Figure 5, which show some effective control strengths are obtained by designing the adaptive updating law(6). It should be noticed that Theorem 1 could be viewed as a special case of Theorem 2 when the dynamics of all Lur’e systems are the same. Naturally, we prove the validity of Theorem 1.

6. Conclusions

In this paper, we discussed the cluster synchronization problem of a kind of nonlinearly coupled Lur’e dynamical networks. Different from previous studies where the dynamics of all nodes are the same, in this paper, the case of nonidentical dynamics has also been studied in order to describe more practical situations. In view of the topological structure of the Lur’e networks, only those Lur’e systems which have directed connections with any other clusters have been controlled. Based on the linearization function definition, S-procedure and basic properties of matrices, sufficient conditions in the form of LMIs have been derived to ensure cluster synchronization of nonlinearly coupled Lur’e networks by applying the negative feedback pinning control. Moreover, adaptive update law has been proposed to obtain some suitable control strengths. Finally, the simulation has verified the effectiveness of the main results.

Author Contributions

Y.G.: Writing—original draft; Software; Validation; Investigation. D.D.: Formal analysis; Data curation; Visualization. Z.T.: Conceptualization; Resources; Funding acquisition; Methodology; Project administration; Supervision. All authors have read and agreed to the published version of the manuscript.

Funding

This work were supported by the National Natural Science Foundation of China with Grant No. 61803180, the Natural Science Foundation of Jiangsu Province with Grant No. BK20180599 and the 111 Project with Grant No. B12018.

Conflicts of Interest

The authors declare no conflict of interest.

References

  1. Chen, G.; Wang, X.; Li, X.; Lü, J. Some Recent Advances in Complex Networks Synchronization. Stud. Comput. Intell. 2009, 254, 3–16. [Google Scholar]
  2. Strogatz, S.H. Exploring Complex Networks. Nature 2001, 410, 268–276. [Google Scholar] [CrossRef] [PubMed]
  3. Lee, D.; Kahng, B.; Cho, Y.S.; Goh, K.I.; Lee, D.S. Recent Advances of Percolation Theory in Complex Networks. J. Korean Phys. Soc. 2018, 73, 152–164. [Google Scholar] [CrossRef]
  4. Pu, C.; Cui, W.; Wu, J.; Yang, J. Bufferless Transmission in Complex Networks. IEEE Trans. Circuits Syst. II Express Briefs 2018, 65, 893–897. [Google Scholar] [CrossRef]
  5. Wu, A.K.; Tian, L.; Liu, Y.Y. Bridges in Complex Networks. Phys. Rev. E. 2018, 97, 1–11. [Google Scholar] [CrossRef] [PubMed]
  6. Wang, Q.; Duan, Z.; Perc, M.; Chen, G. Synchronization Transitions on Small-World Neuronal Networks: Effects of Information Transmission Delay and Rewiring Probability. EPL (Europhys. Lett.) 2008, 83, 50008. [Google Scholar] [CrossRef]
  7. Xiao, Y.; Tang, S.; Sun, Z.; Song, X. Positive Role of Multiplication Noise in Attaining Complete Synchronization on Large Complex Networks of Dynamical Systems. Appl. Math. Model. 2018, 54, 803–816. [Google Scholar] [CrossRef]
  8. Zheng, M.; Wang, Z.; Li, L.; Peng, H.; Xiao, J.; Yang, Y.; Zhang, Y.; Feng, C. Finite-Time Generalized Projective Lag Synchronization Criteria for Neutral-Type Neural Networks With Delay. Chaos Solitons Fractals 2018, 107, 195–203. [Google Scholar] [CrossRef]
  9. Novičenko, V.; Ratas, I. In-Phase Synchronization in Complex Oscillator Networks by Adaptive Delayed Feedback Control. Phys. Rev. E. 2018, 98, 1–11. [Google Scholar] [CrossRef]
  10. Ma, W.; Li, C.; Wu, Y. Impulsive Synchronization of Fractional Takagi-Sugeno Fuzzy Complex Networks. Chaos 2016, 26, 084311. [Google Scholar] [CrossRef]
  11. Park, J.H.; Tang, Z.; Feng, J. Pinning Cluster Synchronization of Delay-Coupled Lur’e Dynamical Networks in A Convex Domain. Nonlinear Dyn. 2017, 89, 623–638. [Google Scholar] [CrossRef]
  12. Xia, W.; Cao, M. Clustering in Diffusively Coupled Networks. Automatica 2011, 47, 2395–2405. [Google Scholar] [CrossRef]
  13. Li, C.; Lü, L.; Chen, L.; Hong, Y.; Zhou, S.; Yang, Y. Cluster Synchronization Transmission of Different External Signals in Discrete Uncertain Network. Phys. A Stat. Mech. Its Appl. 2018, 501, 238–247. [Google Scholar] [CrossRef]
  14. Tang, Z.; Park, J.H.; Shen, H. Finite-Time Cluster Synchronization of Lur’e Networks: A Nonsmooth Approach. IEEE Trans. Syst. Man Cybern. Syst. 2018, 48, 1213–1224. [Google Scholar] [CrossRef]
  15. Yang, L.; Jiang, J.; Liu, X. Cluster Synchronization in Community Network with Hybrid Coupling. Chaos Solitons Fractals 2016, 86, 82–91. [Google Scholar] [CrossRef]
  16. Liu, B.; Lu, W.; Chen, T. Pinning Consensus in Networks of Multiagents via A Single Impulsive Controller. IEEE Trans. Neural Networks Learn. Syst. 2013, 24, 1141–1149. [Google Scholar] [CrossRef]
  17. Feng, J.; Chen, S.; Wang, J.; Zhao, Y. Quasi-Synchronization of Coupled Nonlinear Memristive Neural Networks with Time Delays by Pinning Control. IEEE Access 2018, 6, 26271–26282. [Google Scholar] [CrossRef]
  18. Skardal, P.S.; Arenas, A. Control of Coupled Oscillator Networks with Application to Microgrid Technologies. Sci. Adv. 2015, 1, 1–7. [Google Scholar] [CrossRef]
  19. Er, M.J.; Deng, C.; Su, S.F.; Wang, N. Fuzzy Synchronization Control of Complex Dynamical Networks Under Network Attacks and Actuator Faults. Int. J. Fuzzy Syst. 2019, 21, 2043–2053. [Google Scholar] [CrossRef]
  20. Tang, Z.; Park, J.H.; Jung, H.Y. Pinning Cluster Synchronization of Lur’e Dynamical Networks: A Convex Domain Method. In Proceedings of the IEEE Conference on Control Technology and Applications (CCTA), Mauna Lani, HI, USA, 27–30 August 2017; pp. 337–342. [Google Scholar]
  21. Luo, M.; Liu, X.; Zhong, S.; Cheng, J. Synchronization of Multi-Stochastic-Link Complex Networks via Aperiodically Intermittent Control with Two Different Switched Periods. Phys. A Stat. Mech. Its Appl. 2018, 509, 20–38. [Google Scholar] [CrossRef]
  22. Wang, M.; Ren, X.; Chen, Q. Cascade Optimal Control for Tracking and Synchronization of A Multimotor Driving System. IEEE Trans. Control Syst. Technol. 2019, 27, 1376–1384. [Google Scholar] [CrossRef]
  23. Du, L.; Yang, Y.; Lei, Y. Synchronization in A Fractional-Order Dynamic Network with Uncertain Parameters Using An Adaptive Control Strategy. Appl. Math. Mech. 2018, 39, 353–364. [Google Scholar] [CrossRef]
  24. Tang, Z.; Park, J.H.; Wang, Y.; Feng, J. Adaptively Synchronize the Derivative Coupled Complex Networks With Proportional Delay. IEEE Trans. Syst. Man Cybern. Syst. 2019, 1–11. [Google Scholar] [CrossRef]
  25. Kazemy, A.; Cao, J. Consecutive Synchronization of A Delayed Complex Dynamical Network via Distributed Adaptive Control Approach. Int. J. Control. Autom. Syst. 2018, 16, 2656–2664. [Google Scholar] [CrossRef]
  26. Rakkiyappan, R.; Velmurugan, G.; Nicholas George, J.; Selvamani, R. Exponential Synchronization of Lur’e Complex Dynamical Networks with Uncertain Inner Coupling and Pinning Impulsive Control. Appl. Math. Comput. 2017, 307, 217–231. [Google Scholar] [CrossRef]
  27. Tang, Z.; Park, J.H.; Feng, J. Novel Approaches to Pin Cluster Synchronization on Complex Dynamical Networks in Lur’e Forms. Commun. Nonlinear Sci. Numer. Simul. 2018, 57, 422–438. [Google Scholar] [CrossRef]
  28. Guo, L.; Nian, X.; Zhao, Y.; Duan, Z. Cluster Synchronisation of Lur’e Dynamical Networks. IET Control Theory Appl. 2012, 6, 2499–2508. [Google Scholar] [CrossRef]
  29. Liu, X.; Wang, J.; Huang, L. Global Synchronization for A Class of Dynamical Complex Networks. Phys. A Stat. Mech. Its Appl. 2007, 386, 543–556. [Google Scholar] [CrossRef]
  30. Chen, T.; Liu, X.; Lu, W. Pinning Complex Networks by A Single Controller. IEEE Trans. Circuits Syst. I Regul. Pap. 2007, 54, 1317–1326. [Google Scholar] [CrossRef]
  31. Wu, W.; Zhou, W.; Chen, T. Cluster Synchronization of Linearly Coupled Complex Networks Under Pinning Control. IEEE Trans. Circuits Syst. I Regul. Pap. 2009, 56, 829–839. [Google Scholar] [CrossRef]
  32. Druzhinina, O.V.; Sedova, N.O. Analysis of Stability and Stabilization of Cascade Systems with Time Delay in Terms of Linear Matrix Inequalities. J. Comput. Syst. Sci. Int. 2017, 56, 19–32. [Google Scholar] [CrossRef]
  33. Wang, K.; Fu, X.; Li, K. Cluster Synchronization in Community Networks with Nonidentical Nodes. Chaos 2009, 19, 023106. [Google Scholar] [CrossRef] [PubMed]
  34. Feng, J.; Tang, Z.; Zhao, Y.; Xu, C. Cluster Synchronisation of Non-Linearly Coupled Lur’e Networks with Identical and Non-Identical Nodes and An Asymmetrical Coupling Matrix. IET Control Theory Appl. 2013, 7, 2117–2127. [Google Scholar] [CrossRef]
  35. D’Angeli, D.; Donno, A. Shuffling Matrices, Kronecker Product and Discrete Fourier Transform. Discret. Appl. Math. 2017, 233, 1–18. [Google Scholar] [CrossRef]
  36. Derinkuyu, K.; Pinar, M.Ç. On the S-procedure and Some Variants. Math. Methods Oper. Res. 2006, 64, 55–77. [Google Scholar] [CrossRef]
  37. Liu, J. A Practical Criterion on Synchronization of Linear Coupling Chaotic Complex Dynamical Network. In Proceedings of the Chinese Control Conference, Changsha, China, 26–31 July 2007; pp. 409–414. [Google Scholar]
  38. Posadas-Castillo, C.; Cruz-Hernández, C.; López-Gutiérrez, R.M. Experimental Realization of Synchronization in Complex Networks with Chua’s Circuits like Nodes. Chaos Solitons Fractals 2009, 40, 1963–1975. [Google Scholar] [CrossRef]
Figure 1. Topological structure of the community network.
Figure 1. Topological structure of the community network.
Electronics 09 00706 g001
Figure 2. The error trajectory of each node.
Figure 2. The error trajectory of each node.
Electronics 09 00706 g002
Figure 3. The behavior of state error E i j ( t ) , ( i = 1 , 2 , j = 1 , 2 , 3 ) .
Figure 3. The behavior of state error E i j ( t ) , ( i = 1 , 2 , j = 1 , 2 , 3 ) .
Electronics 09 00706 g003
Figure 4. The state errors between the nodes in the two clusters.
Figure 4. The state errors between the nodes in the two clusters.
Electronics 09 00706 g004
Figure 5. Adaptive update effects of two feedback control strengths.
Figure 5. Adaptive update effects of two feedback control strengths.
Electronics 09 00706 g005

Share and Cite

MDPI and ACS Style

Gao, Y.; Ding, D.; Tang, Z. Adaptive Cluster Synchronization of Complex Networks with Identical and Nonidentical Lur’e Systems. Electronics 2020, 9, 706. https://doi.org/10.3390/electronics9050706

AMA Style

Gao Y, Ding D, Tang Z. Adaptive Cluster Synchronization of Complex Networks with Identical and Nonidentical Lur’e Systems. Electronics. 2020; 9(5):706. https://doi.org/10.3390/electronics9050706

Chicago/Turabian Style

Gao, Yue, Dong Ding, and Ze Tang. 2020. "Adaptive Cluster Synchronization of Complex Networks with Identical and Nonidentical Lur’e Systems" Electronics 9, no. 5: 706. https://doi.org/10.3390/electronics9050706

APA Style

Gao, Y., Ding, D., & Tang, Z. (2020). Adaptive Cluster Synchronization of Complex Networks with Identical and Nonidentical Lur’e Systems. Electronics, 9(5), 706. https://doi.org/10.3390/electronics9050706

Note that from the first issue of 2016, this journal uses article numbers instead of page numbers. See further details here.

Article Metrics

Back to TopTop