Abstract
Scoliosis, which is defined as a 3-dimensional spine deformity, may be caused by new-onset degenerative changes that occur well after skeletal maturity and exhibit an asymmetrical postural balance pattern more common to adult deformity than adolescent scoliosis. The aim of this study was to verify whether an exercise program using a personalized exercise rehabilitation device can influence the dynamic postural balance of scoliotic patients. The personalized exercise rehabilitation device was designed to increase the efficacy of 3D postural correction for different curve patterns. 20 subjects were instructed to perform the personalized exercise program that consists of axial elongation, derotation, deflexion, facilitation and stabilization. The results of this study showed that the differences in clinical variables associated with imbalanced posture between the convex and concave side decreased after performing the personalized exercise. Consequentially, a well-designed and manufactured exercise rehabilitation device could be helpful for improving postural balance. Furthermore, the paper suggests that specific exercises using a personalized exercise rehabilitation device can provide the most appropriate exercise therapy and positively correct the asymmetrical postural balance patterns for scoliotic patients.
1. Introduction
The spine plays an important role in supporting the body weight, maintaining postural balance and stability, and protecting the spinal cord under both static and dynamic conditions. Irregular mechanical loading distributions acting on the spine can induce abnormal biomechanical alterations []. This spinal deformity can cause improper alignment of the cervical, thoracic and lumbar spine. In this type of deformity, the spine deviates or rotates asymmetrically to the right or left sides.
Idiopathic scoliosis, the cause of which is not known, is the most common type and it develops during adolescence. Generally, adolescent idiopathic scoliosis (AIS) has been correlated with the progression of spinal curvature. Curve progression in AIS patients can be related to social and health problems, including low self-esteem, limited physical activity, reduced quality of life, pain, impaired postural balance and functional muscle imbalance []. Adult scoliosis is defined as a spinal curvature that is greater than 10 degrees that first develops in a person 18 years of age or older. It may be caused by the collapse of the facet joints and intervertebral discs, phenomena that are associated with uncured idiopathic scoliosis in adolescents []. In other words, early detection and proper treatment is very important for preventing further progression of this functional balance disorder.
To date, various conservative treatment methods, including observation, bracing and physiotherapeutic scoliosis-specific exercises, have been proposed for scoliosis patients []. Typically, observation and physiotherapeutic scoliosis-specific exercise therapy without bracing is recommended when curves less than 25 degrees. Observation measures the curve on a regular schedule and bases treatment decisions on the rate of curvature progression [,]. If the spine curvature is greater than 25 degrees, it should be treated with bracing in addition to these exercises. The goal of bracing is to halt the development of spinal deformity []. However, this method can result in limitations in physical activities, skin problems, reduced lung capacity and can negatively affect self-esteem []. Because of these limitations, exercise techniques for scoliosis may be more acceptable to the patients. There are many different physiotherapy techniques such as Schroth, Dobosiewich and side shift methods [,]. In particular, the Schroth method is the most widely used 3-dimensional exercise therapy, which was developed by Katharina Schroth in Germany. This is a scoliosis-specific exercise program that aims to correct posture, relieve pain, prevent respiratory dysfunction and improve body appearance [,,]. In the Schroth method, the trunk is divided into the shoulder girdle, rib cage and pelvic girdle block, located against one another. In general, scoliosis patient shows displaced blocks laterally with torsion. Based on a 3-dimensional approach, the Schroth classification is composed of four curve patterns: 3c (major thoracic curve with a balanced pelvis), 3cp (thoracic curve with an unbalanced pelvis), 4c (thoracic and lumbar curve with a balanced pelvis) and 4cp (major thoracolumbar or lumbar curve with an unbalanced pelvis) patterns [].
The effects of an exercise program using the Schroth method for scoliosis patients have been documented in previous researches. The Cobb and asymmetrical trunk rotation angle in patients with scoliosis who performed continuous exercise with the Schroth method was decreased []. In addition, specific exercise programs using the Schroth method were effective to improve postural balance and trunk stability by enhancing muscle contractions as well as neuromuscular control function [,,]. Despite this, the exercise is only efficient for halting or reducing curve progression; to keep improving their posture, patients should be accompanied by experts who can advise on training programs during exercise to maintain the correct posture. Additionally, it can also cause some problems related to time, place and cost.
To clarify this problem, various assistive devices, including the Active Therapeutic Movement Version 2 (AMT 2) device (BackProject Co., Sunnyvale, CA, USA), the MedX Rotary Torso Machine (MedX, Ocala, FL, USA) and the LTX 3000 Lumbar Rehabilitation System (Spinal Designs International, Minneapolis, MN, USA), all of which can improve postural balance by activating and stretching core stabilization muscles of the spine, are being developed [,,]. However, previously, there was no available exercise rehabilitation device that was manufactured based on 3-dimensional exercise therapy for scoliosis patients. In scoliosis treatment, active extension and derotation have been emphasized for curve correction and realignment of the trunk segments, which is related to the progression of the curvature and a more asymmetrical posture in patients []. Therefore, the objective of this study was to develop a new personalized exercise rehabilitation device that can provide active elongation, derotation, and deflexion based on the Schroth method and to evaluate the influence of the designed device on dynamic postural balance in scoliotic patients.
2. Exercise Rehabilitation Device
2.1. System Configuration
As shown in Figure 1, the exercise rehabilitation device was designed using CATIA V5 R18 (Dassault Systems, Vélizy-Villacoublay, France). This device was manufactured by utilizing steel sheets and aluminum materials for rigidity. In addition, wheels for easy movement were attached to the bottom of the device. To provide the rotation, tilting, and movement of the upper and lower part of the trunk, six electric actuators were installed. A motor drive-type linear actuator, with a maximum load of 2000 N and speed of 90 mm/s, was used to generate linear motion while providing active movement of the upper and lower trunk during exercise. A motor drive module and control panel was developed to control the actuator installed in each joint of the device. A multi-contact type relay was used to activate each motor with a normal and reverse rotation function. This exercise rehabilitation device can be operated by pressing the button in the control panel to input the exercise method for correction of the spine, as shown in Figure 2.

Figure 1.
The structure of the exercise rehabilitation device.

Figure 2.
Overview of the exercise rehabilitation device.
The exercise rehabilitation device was manufactured to provide customized exercise to strengthen a relatively weak side by considering five principles for correction: axial elongation (vertical spine stretches), derotation (axial rotation of the spine), deflexion (displacement of the hump to the opposite side), facilitation (correction for the proper effect of exercise on the weak side), and stabilization (maintenance of correct posture). To facilitate the active movement of the trunk segments, it consists of six major components: upper main lift control (up/down) part, lower main shift control (anterior/posterior/left/right) part, upper body height control (up/down) part, upper body twisting control (left/right) part, upper extremities height control (up/down) part and foot support height control (up/down) part, as shown in Figure 3.

Figure 3.
Exercise rehabilitation device.
Basically, the upper main lift control part plays a role in supporting the frame of this device. Axial elongation is accomplished by conscious self-lengthening. The elongation is connected to active curve correction and realignment of the trunk segments that have deviated laterally. Using this device, stronger stimulation to the spinal curvature formed asymmetrically than the previous self-elongation can be applied continuously to the patients by elevating the upper main lift control part, with a maximum height of 300 mm. The upper extremities height control part enables the deflexion of the spine by applying a different height of the upper extremity between the left and right side, with a minimum of 200 mm. The lower main shift control part can shift a deviated trunk balance to the opposite direction in the anterior/posterior and left/right side, with a maximum of 200 mm and 400 mm, respectively. Abnormal curvature of the thoracic and lumbar spine could be corrected by utilizing the upper extremities height control part and the lower main shift control part. Active derotation of three trunk segments can be achieved by appropriate rotation of the trunk to the left or right side using the upper body twisting control part, with a maximum of 100 degrees. Unilateral exercises for strengthening the weak side caused by abnormal lateral curvature of the convex side can be performed effectively using the upper body height control part in the upper/lower and left/right side, with a maximum of 120 mm and 150 mm, respectively. A foot support control part was used to prevent the influence of leg movements during exercise.
2.2. Personalized Exercise Program
Table 1 presents a personalized exercise method. The static stretching exercise (chest and back stretching) is performed during the warm-up and cool-down periods. Patients were instructed to elongate the trunk as much as possible by elevating gradually the upper limb lift control part, and then maintain the maximum elongation for 10 s. To provide a specific exercise method for correcting asymmetrical postural balance caused by scoliosis when performing pelvic tilt exercise, a sitting posture monitoring device was utilized. This device, which was designed as a hemisphere to perform personalized exercise program based on the inclination angle, has a soft curve shape to accommodate the hip area and seat surface was covered with soft material to provide comfort during sitting []. It was linked to a training program which was developed using LabVIEW software (National Instruments Co., Austin, TX, USA). This program displays the horizontal movement of the inclination angle, target circle and goal circle.

Table 1.
Protocols for personalized exercise method.
Figure 4 presents the exercise protocol leading to unilateral movement of the trunk when performing lateral pelvic tilt and lateral and anterior pelvic tilt exercise. Input and output data from this program were transferred using a Bluetooth connection for providing user-friendliness when performing exercises. Patients were motivated to exercise by following the target circle, which moves slowly until reaching the goal circle that is adjusted based on the averaged inclination angle. To improve muscle strength and flexibility of the spine, patients were instructed to maintain maximum pelvic tilt posture for 10 s when reaching the goal circle. Then, patients moved back slowly to the start point by following the target circle. The trunk was rotated to the opposite side of the convex side when performing lateral, anterior and posterior pelvic tilt exercises with trunk elongation. The patients were asked to perform rotational angular breathing with trunk derotation which directing inspired air into the concave side of the ribs and thorax while keeping the corrected posture [,].

Figure 4.
Lateral pelvic tilt and lateral and anterior pelvic tilt exercise.
3. Research Methodology
3.1. Subjects
In this study, 20 subjects (male: 11; female: 9) who were diagnosed with idiopathic scoliosis with a lumbar or thoracolumbar curve were recruited. The inclusion criteria were standing X-ray evidence of scoliosis and no previous conservative treatment. The exclusion criteria for the scoliosis group were gait abnormalities, foot problems (pes planus or pes cavus), back pain, spinal disorder or other physical disability. All subjects gave written informed consent with respect to the experimental protocol which was approved by the Institutional Review Board of Jeonbuk National University. Anthropometric data of all subjects are shown in Table 2.

Table 2.
Anthropometric data of the subjects (M ± SD).
3.2. Experimental Procedure
To investigate the biomechanical characteristics of subjects, the postural balance in the dynamic condition was analyzed by measuring the inclination angle and muscle activity. All subjects were asked to perform lateral (left and right), lateral and anterior, and lateral and posterior pelvic tilt maximally using a sitting posture monitoring device. Surface electromyographic (sEMG) activity of trunk muscles was also recorded using Noraxson Desktop DTS System (Noraxson Inc., Scottsdale, AZ, USA). This system consists of wireless EMG sensors, EMG sensor leads, probes, desktop DTS receiver, A to mini-B cable. The sensor size was 3.4 cm × 2.4 cm × 1.4 cm with a sampling rate of 1500 Hz. Surface electrodes were attached to the three bilateral trunk muscles, including thoracic erector spinae (5 cm lateral to the T9 spinous process, TES), lumbar erector spinae (3 cm lateral to the L4 spinous process, LES), and lumbar multifidus (L5 level, parallel to a line connecting the posterior superior iliac spine and L1-L2 interspinous space, LM) muscle, which are associated with balance and mobility [,]. Before placing electrodes in the corresponding area, the skin was shaved and cleaned with alcohol to remove skin resistance.
The personalized exercise plans for the individuals were suggested according to the curve types and directions in the presence of a doctor. It was focused on the convex side towards that opposite and against the muscle contraction on the concave side that was presented differently in compliance with the location and direction of the major curve for individuals. For example, the personalized exercise protocol for subjects with lumbar scoliosis consists of a static stretching exercise, axial elongation, derotation and deflexion toward the concave side of the curve, rotational breathing exercise which directing inspired air into the concave side of the ribs and thorax, facilitation, and stabilization [,,]. Subjects were given enough time to understand their exercise sequence, intensity, and time before starting an exercise program. Then, they performed the personalized exercise program for 1 h a day (three days per week) and it lasted for four weeks.
3.3. Data Analysis
In this study, comparative analysis of the inclination angle and muscle activity across the initial, middle (after 2 weeks), and final (after 4 weeks) periods were conducted to evaluate the efficacy of the manufactured personalized exercise rehabilitation device for improving postural balance in patients with scoliosis.
The inclination angles were analyzed at 100 Hz sampling rate by using a program written in LabVIEW (National Instruments Co., Austin, TX, USA). The MyoResearch3 (MR3) 3.6 (Noraxson Inc., Scottsdale, AZ, USA) was utilized to analyze trunk muscle contraction between the convex and concave sides. EMG data were rectified and smoothened, bandpass filtered (passband 20–450 Hz). The magnitude of muscle activations was normalized using the maximum voluntary contraction method. The peak EMG value of trunk muscles was obtained during flexion and extension of the upper trunk for five seconds. All data were analyzed by the convex side (CVS) and concave side (CCS) under three conditions: lateral pelvic tilt (LPT), lateral and anterior pelvic tilt (LAPT), and lateral and posterior pelvic tilt (LPPT).
SPSS software (IBM Corporation, Armonk, NY, USA) was used to conduct the statistical analysis. The normality of all variables was assessed using the Shapiro–Wilk test. After meeting the assumptions of normal distribution, an independent samples t-test was used to examine the differences in the inclination angle between the convex and concave sides. Repeated measure ANOVA with post-hoc analysis using LSD (least significant difference) test was used to define differences in experimental results between periods. If the assumption of sphericity was violated, a Huynh–Feldt adjustment was applied for correction. Statistical significance was set p < 0.05 and p < 0.01.
4. Results
4.1. Inclination Angle
Differences in the inclination angles between the CVS and CCS are shown in Table 3.

Table 3.
Differences in the inclination angle between the convex side (CVS) and concave side (CCS) among the initial, middle and final test.
In LPT, LAPT, and LPPT, all inclination angles among the initial, middle and final test were increased both for the CVS and CCS. In LPT, on the CVS, the inclination angle in the middle (14.45%) and final (23.34%) test was increased significantly compared to the initial test (p < 0.01). The inclination angle in the final (7.77%) test also increased significantly compared to the middles test (p < 0.01). When comparing the initial test, the inclination angles on the CCS more increased significantly in the middle (36.31%) and final (50.84%) test than the CVS (p < 0.01). In addition, the inclination angle in the final (10.65%) test increased significantly compared to the middle test (p < 0.01). However, a significant difference in the inclination angle between the CVS and CCS was only found in the initial test (p < 0.01). In LAPT, the inclination angles on the CVS increased significantly in the middle (19.37%) and final (30.72%) test compared to the initial test (p < 0.01). The inclination angle in the final (9.51%) test also increased significantly compared to the middle test (p < 0.01). Additionally, the inclination angle on the CCS increased significantly in the middle (27.51%) and final (37.91%) test compared to the initial test (p < 0.01). When comparing the middle test, the inclination angle in the final (8.16%) test also increased significantly (p < 0.01). In contrast, significant differences in the inclination angles were not found between the CVS and CCS. In LPPT, the inclination angles on the CVS increased significantly in the middle (16.51%) and final (21.29%) test compared to the initial test (p < 0.01). The inclination angle in the final (4.10%) test also increased significantly compared to the middle test (p < 0.01). There was a significant increase in the inclination angle on the CCS in the middle (31.06%) and final (38.72%) test compared to the initial test (p < 0.01). Besides, the inclination angle in the final (5.85%) test increased significantly compared to the middle test (p < 0.01). There was only a significant difference in the inclination angle between the CVS and CCS in the initial test (p < 0.01). Furthermore, differences in the inclination angle between the CVS and CCS decreased gradually after performing the personalized exercise.
4.2. Muscle Activity
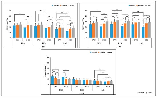
Differences in the muscle activities between the CVS and CCS are presented in Figure 5. In LPT, all activities of TES, LES, and LM muscle among the initial, middle and final test were increased both for the CVS and CCS. On the CVS, there were no significant differences in the activity of TES and LES muscle among the initial, middle and final test. In contrast, on the CCS, when comparing to the initial test, a significant increase in the activity of TES muscle was found in the middle (21.56%) and final (24.37%) test (p < 0.01). The activity of LES muscle increased significantly in the middle (10.54%) and final (32.25%) test (p < 0.05 and p < 0.01, respectively). The activity of LES muscle in the final (19.64%) test also increased significantly compared to the middle test (p < 0.01). The activity of LM muscle on the CVS increased significantly in the middle (16.76%) and final (16.80%) test compared to the initial test (p < 0.05 and p < 0.01, respectively). When comparing the initial test, on the CCS, the activity of LM muscle more increased significantly in the middle (30.62%) and final (46.89%) test than the CVS (p < 0.01). The activity of LM muscle in the final (12.46%) test increased significantly compared to the middle test (p < 0.01). In addition, in the initial test, the significant differences in the muscle activity between the CVS and CCS were shown in all muscles (p < 0.01). On the contrary, in the middle test, there were significant differences in the activity of LES and LM muscle between the CVS and CCS (p < 0.05). On the other hand, in the final test, there were no significant differences in the activity of all muscles between the CVS and CCS. In LAPT, all activities of TES, LES, and LM muscle among the initial, middle and final test were increased both for the CVS and CCS. On the CVS, the activity of TES muscle increased in the middle (7.15%) and final (17.87%) test compared to the initial test. However, a significant increase in muscle activity was only shown in the final test (p < 0.01). The activity of TES muscle also increased significantly in the final test (10.00%) compared to the middle test (p < 0.01). On the CCS, a significant increase in the activity of LES muscle was found in the middle (23.26%) and final (42.28%) test compared to the initial test (p < 0.01). The activity of LES muscle in the final (15.44%) test also increased significantly compared to the middle test (p < 0.01). Unlike the results in the TES and LES muscle, a significant increase in the activities of LM muscle was shown in all periods both for the CVS and CCS. On the CVS, the activity of LM muscle increased significantly in the middle (15.38%) and final (3.27%) test compared to the middle test (p < 0.01). On the CCS, the activity of LM muscle increased significantly in the middle (32.31%) and final (43.98%) test compared to the initial test (p < 0.01). The activity of LM muscle also increased significantly in the final (8.81%) test compared to the middle test (p < 0.01). The significant differences in the activity of all muscles between the CVS and CCS were only shown in the initial test (p < 0.01). In LPPT, the overall tendency in the activity of all muscles was decreased gradually after performing the personalized exercise. On the CVS, a significant decrease in the activity of TES muscle was found in the middle (22.46%) and final (34.36%) test compared to the initial test (p < 0.01). When comparing the middle test, the activity of TES muscle also decreased significantly in the final (15.34%) test (p < 0.01). On the CCS, the activity of TES muscle increased significantly in the middle (22.99%) and final (28.89%) test compared to the initial test (p < 0.01). However, there was no significant decrease in the activity of TES muscle between the middle and final test. On the other hand, the activity of LES muscle among the initial, middle and final test decreased both for the CVS and CCS, while there were no significant differences in the muscle activity between periods. The activity of LM muscle among the initial, middle and final test decreased on the CVS while it increased on the CCS. A significant increase in the activity of LM muscle was shown in the final (21.08%) test compared to the initial test (p < 0.01). Additionally, when comparing the middle test, the activity of LM muscle also increased significantly in the final (11.67%) test (p < 0.05).

Figure 5.
Differences in the muscle activities between the convex side (CVS) and concave side (CCS) among the initial, middle and final test.
5. Discussion
This study presents the changes in dynamic postural balance pattern after performing the exercise program using a personalized exercise rehabilitation device which consists of six major components to provide for axial elongation, derotation, deflexion, facilitation, and stabilization based on the Schroth method.
Scoliosis curves can be described as a C-shaped curve (single curve) or S-shaped curve (double curve) that involves the thoracic and lumbar spine []. Abnormal spinal curvatures have been associated with the asymmetrical movement of the pelvis related to the pelvic rotation, elevation and tilting. In particular, the C-shaped curve tends to have more severe spinal imbalances than the S-shaped curve. Furthermore, it was reported that idiopathic scoliosis with a progressive curve would change good posture and balance patterns negatively in dynamic conditions [].
It is very important to understand the changes in balance characteristic of scoliotic patients for the prevention and treatment of scoliosis []. Our results showed that the significant difference in the inclination angle between the convex and concave sides can be associated with an asymmetrical postural balance pattern. The inclination angle on the concave side increased less than the convex side in LPT, LAPT and LPPT. It could be related that the abnormal weight transfer pattern to the concave side during lateral pelvic tilt might be affected by the structural deformity []. These results were also similar to other research that reported scoliosis can induce limited mobility of the spinal curvature and trunk flexibility []. In particular, since the spine plays a critical role in providing biomechanical functions to maintain correct posture and stable balance for the body, a deformity of the spine can negatively influence the body alignment and postural balance of scoliotic patients []. In other words, scoliotic curvature of the lumbar regions can also affect the thoracic region of the spine. Previous studies have reported that the Schroth method based on a comprehensive and systematic approach for scoliotic patients was effective in preventing the progression of deformity as well as improving postural instability and muscle imbalance caused by structural and functional problems related to scoliosis [,,]. However, it is difficult to maintain correct posture when performing exercise due to asymmetrical postural alignment and unbalanced muscle activity with a predominance on one side of the spinal curvature []. In particular, there are some limitations regarding the time, space, and cost of exercising with experts every time. Thus, in this study, the exercise rehabilitation device was designed to provide the axial elongation, rotation, and lateral flexion of the trunk simultaneously during exercise by utilizing six major components. The personalized exercise program was also focused on deflexion of the main curve in the thoracolumbar or lumbar region as well as elongation and rotation in the thoracic region, as mentioned in the current study. We hypothesized that the postural imbalance of scoliotic patients would be improved by personalized exercise rehabilitation device and it may have an influence on the inclination angles. From the results of this study, we confirmed that the differences in the inclination angles between the convex and concave sides were mostly reduced in all three conditions. Besides, the inclination angles were more increased than before both for the convex and concave side after performing the personalized exercise using the developed device. Increased inclination angle on the concave side and reduced asymmetrical differences on both sides indicate that specific exercise using a developed device that provides active elongation, derotation, and deflexion could help to enhance body balance and postural control ability of patients with scoliosis in dynamic conditions [].
The erector spine and lumbar multifidus muscle, which is involved in flexion, extension, and rotation of the upper body, plays a fundamental role in keeping the stability of the spine []. Abnormal lateral curvature of the spine has affected muscle imbalance and asymmetrical loads in the back extensor muscles. Previous researches revealed a significant association between scoliosis and side-to-side asymmetries in the erector spine and lumbar multifidus muscle activity [,,]. With respect to the activities of TES, LES, and LM muscle, the results show that there are significant differences in the muscle activity between the convex and concave sides during lateral, lateral and anterior and lateral and posterior pelvic tilting. Similar to the present study, the asymmetrical muscle activity patterns in scoliosis were also displayed during the lateral bending motions []. Particularly, in this study, higher activities of all muscles were found on the convex side. This finding is consistent with other studies that reported the excessive EMG activity on the convex side of patients with scoliosis may be associated with muscle imbalance and postural instability [,,]. There is a greater proportion of type I (slow-twitch) muscle fibers on the convex side than on the concave side at the apex of the scoliotic curve. This abnormal proportion of slow-twitch fibers is associated with a lengthened muscle on the convex side and a shortened muscle on the concave side []. The phenomenon of exaggerated muscle activity on the convex side could interpret as a compensation mechanism and weakness of the muscles on the convex side [,]. Thus, it is so crucial to strengthen the weakened muscle on the convex side and stretch the tight muscle on the concave side for correcting trunk stability and improving muscle imbalance when considering a personalized approach to the exercise for scoliotic patients []. In the present study, active elongation, derotation, and deflexion of the spine were performed by the exercise rehabilitation device which was designed to facilitate active movements. This personalized exercise was focused on slowly stretching the concave side and strengthening the convex side for providing the eccentric contraction of the shortened muscles and concentric contraction of the elongated muscles during exercise []. After performing the exercise, the activities of TES, LES, and LM muscle on both sides increased in LPT and LAPT. In particular, a significant increase in the activity of all muscles on both sides was observed in LAPT. Because increased flexibility and muscle strength are important to provide stability to the spine of scoliotic patients, these results of muscle activity could be positively associated with the increased inclination angles [].
Until now, the increase in muscle activity on the concave side was still a controversial issue in the exercise treatment for scoliosis. Previous studies suggested that strengthening the concave side muscles could influence the curve of the spinal curvature negatively []. On the other hand, some authors emphasized the importance of strengthening the atrophied muscles to maintain the correct alignment of the spine []. In this study, after performing exercise, the activities of all muscles on the concave side were increased significantly. Interestingly, the differences in the inclination angles between the convex and concave side were decreased significantly. This suggests that personalized eccentric muscle contraction, which is the active stretching of the shortened muscle on the concave side, with consistent axial elongation using a developed device may be more effective in improving postural balance than previous exercise methods performed for a long time [].
Contrary to the results in LPT and LAPT, the activities of TES, LES, and LM muscle were reduced in LPPT, after performing exercise. Improper muscle activation of the extensor muscles of the thoracic and lumbar spine during pelvic posterior tilting may be associated with sagittal misalignment. This sagittal imbalance resulting from spinal asymmetry can lead to increased muscle activity in the erector spine and lumbar multifidus muscle []. Accordingly, the decrease in activities of all muscles could be considered as a positive impact of the personalized exercise approach on postural balance. Further, in LPPT, the activity of LM muscle increased on the convex side while that decreased on the concave side. This finding suggests that the lumbar multifidus muscles may be activated relatively to stabilize the spine by using dynamic postural adjustment strategies []. In particular, the results of this study, in which the differences in bilateral muscle imbalance were reduced, may be meaningful in preventing abnormal biomechanical alterations because the excessive activity of the erector spine muscle could be caused as a compensation for the incorrect activity of multifidus muscle.
This study has several limitations. First, although the dynamic postural balance of patients with scoliosis was improved after performing personalized exercise with the developed device, the sample size was relatively small. Secondly, a comparative analysis to determine the exercise efficiency between other exercise methods was not conducted.
6. Conclusions
This study shows that postural asymmetry and muscular imbalance which can be caused by scoliosis was enhanced by increasing flexibility of the spine and strengthening the erector spine and lumbar multifidus muscle. In addition, we confirmed that the exercise approach to scoliosis is effective for improving mobility and balance when performing strengthening the muscles on the concave side, which is applied unilaterally, with consistent axial elongation. Consequently, we concluded that an exercise program using a personalized exercise rehabilitation device could help to prevent curve progression as well as improve postural balance, trunk stability, and functional movements of patients with scoliosis.
Author Contributions
Conceptualization, J.-Y.J.; funding acquisition, J.-J.K.; methodology, M.H.; project administration, J.-J.K.; writing—original draft preparation, J.-Y.J.; writing—review and editing, J.-Y.J. and J.-J.K. All authors have read and agreed to the published version of the manuscript.
Funding
This work was supported by the National Research Foundation of Korea (NRF) grant funded by the Korea government (MSIT) [No. NRF-2019R1A2C1008454].
Conflicts of Interest
The authors declare no conflict of interest.
References
- Gür, G.; Ayhan, C.; Yakut, Y. The effectiveness of core stabilization exercise in adolescent idiopathic scoliosis: A randomized controlled trial. Prosthet. Orthot. Int. 2016, 41, 303–310. [Google Scholar] [CrossRef] [PubMed]
- Kakar, R.S.; Simpson, K.J.; Das, B.M.; Brown, C.N. Review of physical activity benefits and potential considerations for individuals with surgical fusion of spine for scoliosis. Int. J. Exerc. Sci. 2017, 10, 166–177. [Google Scholar] [PubMed]
- Schwab, F.J.; Smith, V.A.; Biserni, M.; Gamez, L.; Farcy, J.-P.C.; Pagala, M. Adult scoliosis. Spine 2002, 27, 387–392. [Google Scholar] [CrossRef] [PubMed]
- Negrini, S.; Donzilli, S.; Aulisa, A.G.; Czaprowski, D.; Schreiber, S.; de Mauroy, J.C.; Diers, H.; Grivas, T.B.; Knott, P.; Kotwicki, T.; et al. 2016 SOSORT guidelines: Orthopaedic and rehabilitation treatment of idiopathic scoliosis during growth. Scoliosis Spinal Disord. 2018, 13, 3. [Google Scholar] [CrossRef]
- Choudhry, M.N.; Ahmad, Z.; Verma, R. Adolescent idiopathic scoliosis. Open Orthop. J. 2016, 10, 143–154. [Google Scholar] [CrossRef]
- EI Fegoun, A.B.; Schwab, F.; Gamez, L.; Champain, N.; Skalli, W.; Farcy, J.P. Center of gravity and radiographic posture analysis: A preliminary review of adult volunteers and adult patients affected by scoliosis. Spine 2005, 30, 1535–1540. [Google Scholar] [CrossRef]
- Aulisa, A.G.; Guzzanti, V.; Perisano, C.; Marzetti, E.; Specchia, A.; Galli, M.; Giordane, M.; Aulisa, L. Determination of quality of life in adolescents with idiopathic scoliosis subjected to conservative treatment. Scoliosis Spinal Disord. 2010, 5, 21. [Google Scholar] [CrossRef]
- Kalichman, L.; Kendelker, L.; Bezalel, T. Bracing and exercise-based treatment for idiopathic scoliosis. J. Bodyw. Mov. Ther. 2016, 20, 56–64. [Google Scholar] [CrossRef]
- Berdishevsky, H.; Lebel, V.A.; Bettany-Saltikov, J.; Rigo, M.; Lebel, A.; Hennes, A.; Romano, M.; Białek, M.; M’hango, A.; Betts, T.; et al. Physiotherapy scoliosis-specific exercises–a comprehensive review of seven major schools. Scoliosis Spinal Disord. 2016, 11, 20. [Google Scholar] [CrossRef]
- Schreiber, S.; Parent, E.C.; Hedden, D.M.; Moreau, M.; Hill, D.; Lou, E. Effects of Schroth exercises on curve characteristics and clinical outcomes in adolescent idiopathic scoliosis: Protocol for a multicenter randomized controlled trial. J. Physiother. 2014, 60, 234. [Google Scholar] [CrossRef]
- Kim, K.D.; Hwangbo, P.N. Effects of the Schroth exercise on the Cobb’s angle and vital capacity of patients with idiopathic scoliosis that is an operative indication. J. Phys. Ther. Sci. 2016, 28, 923–926. [Google Scholar] [CrossRef] [PubMed]
- Lebel, A.; Lebel, V.A. Severe progressive scoliosis in an adult female possibly secondary thoracic surgery in childhood treated with scoliosis specific Schroth physiotherapy: Case presentation. Scoliosis Spinal Disord. 2016, 11, 41. [Google Scholar] [CrossRef] [PubMed]
- Weiss, H.R. The method of Katharina Schroth–history, principles and current development. Scoliosis 2011, 6, 1–22. [Google Scholar] [CrossRef] [PubMed]
- Otman, S.; Kose, N.; Yakut, Y. The efficacy of Schroth 3-dimensional exercise therapy in the treatment of adolescent idiopathic scoliosis in Trukey. Saudi Med. J. 2005, 26, 1429–1435. [Google Scholar] [PubMed]
- Ko, K.J.; Kang, S.J. Effects of 12-week core stabilization exercise on the Cobb angle and lumbar muscle strength of adolescents with idiopathic scoliosis. J. Exerc. Rehabil. 2017, 13, 244–249. [Google Scholar] [CrossRef] [PubMed]
- Weiss, H.R.; Weiss, G.; Petermann, F. Incidence of curvature progression in idiopathic scoliosis patients treated with scoliosis in-patient rehabilitation (SIR): And age- and sex-matched controlled study. Pediatr. Rehabil. 2003, 6, 23–30. [Google Scholar] [CrossRef]
- Kuru, T.; Yeldan, I.; Dereli, E.E.; Özdinçler, A.R.; Dikici, F.; Çolak, Ì. The efficacy of three-dimensional Schroth exercises in adolescent idiopathic scoliosis: A randomized controlled clinical trial. Clin. Rehabil. 2016, 30, 181–190. [Google Scholar] [CrossRef]
- Lewis, C.; Diaz, R.; Lopez, G.; Marki, N.; Olivio, B. A preliminary study to evaluate postural improvement in subjects with scoliosis: Active therapeutic movement version 2 device and home exercises using the Mulligan’s mobilization-with-movement concept. J. Manip. Physiol. Ther. 2014, 37, 502–509. [Google Scholar] [CrossRef]
- Mclntire, K.L.; Asher, M.A.; Burton, D.C.; Liu, W. Treatment of adolescent idiopathic scoliosis with quantified trunk rotational strength training: A pilot study. J. Spinal Disord. Tech. 2008, 21, 349–358. [Google Scholar] [CrossRef]
- Chromy, C.A.; Carey, M.T.; Balgaard, K.G.; Iaizzo, P.A. The potential use of axial spinal unloading in the treatment of adolescent idiopathic scoliosis: A case series. Arch. Phys. Med. Rehabil. 2006, 87, 1447–1453. [Google Scholar] [CrossRef]
- Jung, J.Y.; Yoo, C.I.; Kim, K.A.; Bok, S.K.; Kim, B.O.; Won, Y.; Kim, J.J. Evaluation of sitting balance in adolescent idiopathic scoliosis patients with pelvic rotation using balance board system with accelerometer. In Proceeding of the 2014 International Conference on IT Convergence and Security, Beijing, China, 28–30 October 2014; pp. 133–136. [Google Scholar] [CrossRef]
- Reeves, N.P.; Everding, V.Q.; Cholewicki, J.; Morrisette, D.C. The effects of trunk stiffness on postural control during unstable seated balance. Exp. Brain Res. 2006, 174, 694–700. [Google Scholar] [CrossRef]
- O’Sullivan, K.; McCarthy, R.; White, A.; O’Sullivan, L.; Dankaerts, W. Lumbar posture and trunk muscle activation during a typing task when sitting on a novel dynamic ergonomic chare. Ergonomics 2012, 55, 1586–1595. [Google Scholar] [CrossRef]
- Kim, G.; Hwangbo, P.N. Effects of Schroth and Pilates exercise on the Cobb angle and weight distribution of patients with scoliosis. J. Phys. Ther. Sci. 2016, 28, 1012–1015. [Google Scholar] [CrossRef]
- Kusuma, G.A.; Nugrosh, H.A.; Wibirama, S. Spinal curvature determination from scoliosis X-Ray image using sum of squared difference template matching. In Proceeding of the 2016 2nd International Conference on Science and Technology-Computer (ICST), Yogyakarta, Indonesia, 27–28 October 2016; pp. 29–34. [Google Scholar] [CrossRef]
- Zhang, R.F.; Liu, K.; Wang, X.; Liu, Q.; He, J.W.; Wang, W.Y.; Yan, Z.H. Reliability of a new method for measuring coronal trunk imbalance, the axis-line-angle technique. Spine 2015, 15, 2459–2465. [Google Scholar] [CrossRef]
- Song, G.B.; Kim, J.J.; Park, E.C. The effect of Swiss ball exercise and resistance exercise on balancing ability of scoliosis patients. J. Phys. Ther. Sci. 2015, 12, 3879–3882. [Google Scholar] [CrossRef] [PubMed][Green Version]
- Shirado, O.; Ito, T.; Kaneda, K.; Strax, T.E. Kinesiologic analysis of dynamic side-shift in patients with idiopathic scoliosis. Arch. Phys. Med. Rehabil. 1995, 76, 621–626. [Google Scholar] [CrossRef]
- Yagci, G.; Ayhan, C.; Yaku, Y. Effectiveness of basic body awareness therapy in adolescents with idiopathic scoliosis: A randomized controlled study. J. Back Musculoskelet. Rehabil. 2018, 31, 693–701. [Google Scholar] [CrossRef] [PubMed]
- Godzik, J.; Frames, C.W.; Hussain, V.S.; Olson, M.C. Postural stability and dynamic balance in adult spinal deformity: Prospective pilot study. World Neurosurg. 2020, 141, e783–e791. [Google Scholar] [CrossRef] [PubMed]
- Chwała, W.; Koziana, A.; Kasperczyk, T.; Walaszek, R.; Płaszewski, M. Electromyographic assessment of functional symmetry of paraspinal muscles during static exercises in adolescents with idiopathic scoliosis. BioMed Res. Int. 2014, 2014, 573276. [Google Scholar] [CrossRef] [PubMed]
- Wilczyński, J.; Karaoak, P.; Janecka, S.; Kabala, M.; Habik-Tatarowska, N. The relationship between the angle of curvature of the spine and SEMG amplitude of the erector spinae in young school-children. Appl. Sci. 2019, 9, 3115. [Google Scholar] [CrossRef]
- MacDonald, D.A.; Moseley, G.L.; Hodges, P.W. The lumbar multifidus: Does the evidence support clinical beliefs? Man. Ther. 2006, 11, 254–263. [Google Scholar] [CrossRef] [PubMed]
- Zapata, K.A.; Wang-Price, S.S.; Sucate, D.J.; Dempsey-Robertson, M. Ultrasonographic measurements of paraspinal muscle thickness in adolescent idiopathic scoliosis: A comparison and reliability study. Pediart. Phys. Ther. 2015, 27, 119–125. [Google Scholar] [CrossRef]
- Zoabli, G.; Mathieu, P.A.; Aubin, C.E. Back muscle biometry in adolescent idiopathic scoliosis. Spine J. 2007, 7, 338–344. [Google Scholar] [CrossRef]
- Schmid, S.; Burkhart, K.A.; Allaire, B.T.; Grindle, D.; Bassani, T.; Galbusera, F.; Anderson, D.E. Spinal compressive forces in adolescent idiopathic scoliosis with and without carrying loads: A musculoskeletal modeling study. Front. Bioeng. Biotechnol. 2020, 8, 159. [Google Scholar] [CrossRef] [PubMed]
- Farahpour, N.; Younesian, H.; Bahrpeyma, F. Electromyographic activity of erector spinae and external oblique muscles during trunk lateral bending and axial rotation in patients with adolescent idiopathic scoliosis and healthy subjects. Clin. Biomech. 2015, 30, 411–417. [Google Scholar] [CrossRef]
- Weiss, H.R. Imbalance of electromyographic activity and physical rehabilitation of patients with idiopathic scoliosis. Eur. Spine J. 1993, 1, 240–243. [Google Scholar] [CrossRef] [PubMed]
- Ko, J.Y.; Suh, J.H.; Kim, H.; Ryu, J.S. Proposal of a new exercise protocol for idiopathic scoliosis: A preliminary study. Medicine 2018, 97, e13336. [Google Scholar] [CrossRef]
- Żuk, T. Etiology and pathogenesis of idiopathic scoliosis from the viewpoint of electromygraphic studies. Beitr. Orthop. Traumatol. 1965, 12, 138–141. [Google Scholar]
- Farahpour, N.; Ghasemi, S.; Allard, P.; Saba, M.S. Electromyographic responses of erector spinae and lower limb’s muscles to dynamic postural perturbations in patients with adolescents idiopathic scoliosis. Electromyogr. Kinesiol. 2014, 24, 645–651. [Google Scholar] [CrossRef]
- Lenssinck, M.L.; Frijlink, A.C.; Berger, M.Y.; Bierman-Zeinstra, S.M.; Verkerk, K.; Verhagen, A.P. Effect of bracing and other conservative interventions in the treatment of idiopathic scoliosis in adolescents: A systematic review of clinical trials. Phys. Ther. 2005, 85, 1329–1339. [Google Scholar] [CrossRef] [PubMed]
- Yang, J.M.; Lee, J.H.; Lee, D.H. Effects of consecutive application of stretching, Schroth, and strengthening exercises on Cobb’s angle and the rib hump in an adult with idiopathic scoliosis. J. Phys. Ther. Sci. 2015, 27, 2667–2669. [Google Scholar] [CrossRef] [PubMed][Green Version]
- Xu, X.M.; Wang, F.; Zhou, X.Y.; Liu, Z.X.; Wei, X.Z.; Bai, Y.S.; Li, M. Sagittal balance in adolescent idiopathic scoliosis. Medicine 2015, 45, e1995. [Google Scholar] [CrossRef] [PubMed]
Publisher’s Note: MDPI stays neutral with regard to jurisdictional claims in published maps and institutional affiliations. |
© 2020 by the authors. Licensee MDPI, Basel, Switzerland. This article is an open access article distributed under the terms and conditions of the Creative Commons Attribution (CC BY) license (http://creativecommons.org/licenses/by/4.0/).