Directional Characteristics of Wireless Power Transfer via Coupled Magnetic Resonance
Abstract
1. Introduction
2. Analysis of Angular Deviation of WPT System
2.1. Description on CMR-WPT System
2.2. Influences of Angular Deviation
3. Simulation Analysis
3.1. Establishement of Simulation Model
3.2. Simulation of Symmetrical System
3.3. Simulation of Asymmetrical System
3.3.1. Asymmetric Systems with Different Radius Ratios
3.3.2. Asymmetric System with Different Coil Types
4. Experimental Verification and Analysis
4.1. Experimental System
4.2. Analysis of Symmetrical System
4.3. Analysis of Asymmetrical System
5. Conclusions
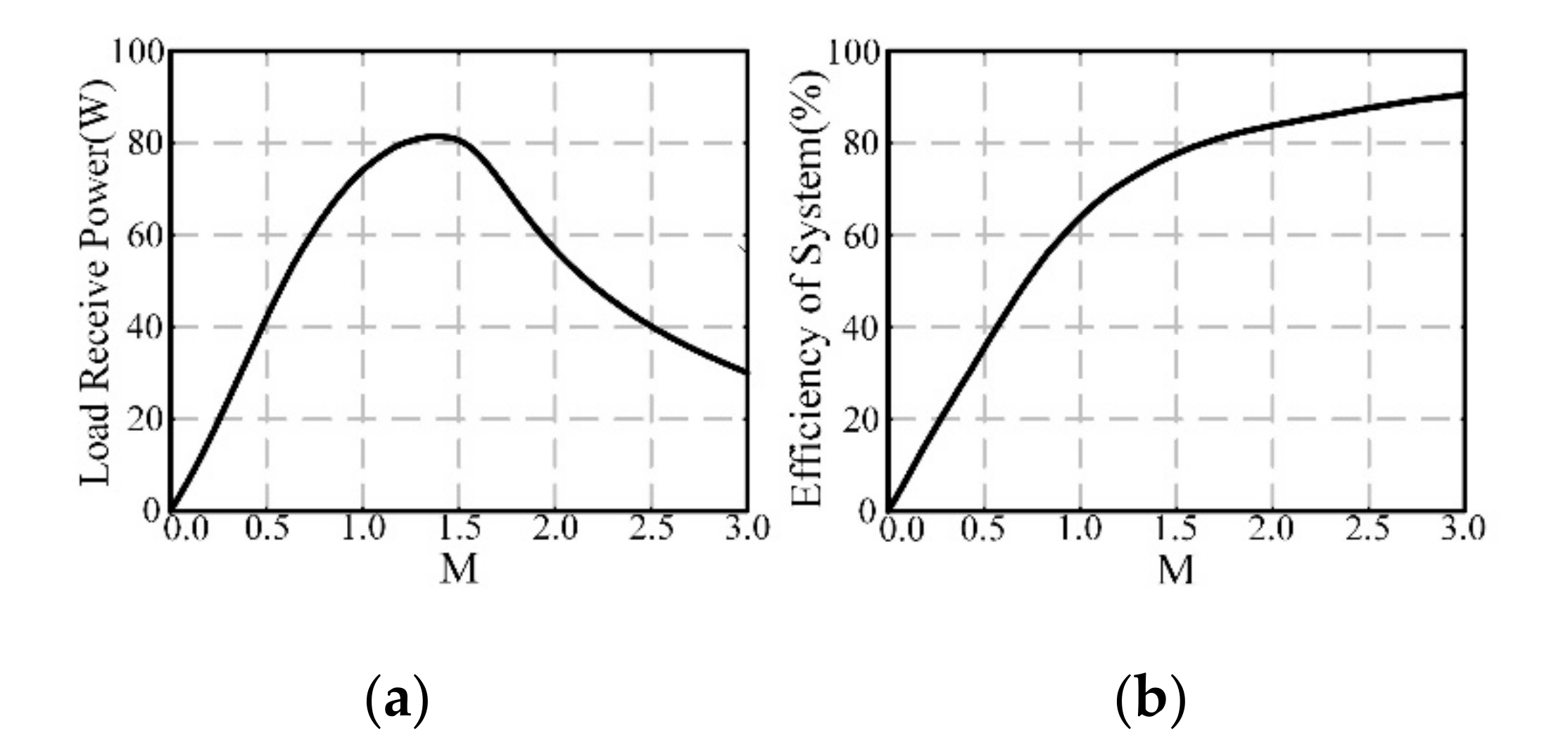
- In a symmetrical WPT system via CMR, the load receive power increases first and then decreases with the growing deviation angle when the receiving coil is within the over-coupling distance from the transmitting coil. This shows that the angular offset can compensate to a certain extent for the power loss caused by the frequency splitting phenomenon. The system efficiency can remain non-directional within a certain range of deviation angle. The tolerance of the maximum deviation angle is about 70°. The closer the distance between coupling coils, the longer the range of non-directionality.
- In an asymmetrical WPT system via CMR, the system efficiency can remain non-directional within a range of deviation angle. The larger the radius of the receiving coil, the larger the range of non-directionality, and at the same time, the transmission efficiency of the system is reduced. When the shape of the transmitting coil is flat spiral and that of the receiving coil is solenoid, the non-directional range of the system is larger than other combinations. The tolerance of the maximum deviation angle is about 70°.
Author Contributions
Funding
Conflicts of Interest
References
- Hui, S.Y.R.; Zhong, W.; Lee, C.K. A Critical Review of Recent Progress in Mid-Range Wireless Power Transfer. IEEE Trans. Power Electron. 2013, 29, 4500–4511. [Google Scholar] [CrossRef]
- Bi, Z.; Kan, T.; Mi, C.C.; Zhang, Y.; Zhao, Z.; Keoleian, G.A. A review of wireless power transfer for electric vehicles: Prospects to enhance sustainable mobility. Appl. Energy 2016, 179, 413–425. [Google Scholar] [CrossRef]
- Jiang, H.; Zhang, J.; Lan, D.; Chao, K.K.; Liou, S.; Shahnasser, H.; Fechter, R.; Hirose, S.; Harrison, M.; Roy, S. A Low-Frequency Versatile Wireless Power Transfer Technology for Biomedical Implants. IEEE Trans. Biomed. Circuits Syst. 2012, 7, 526–535. [Google Scholar] [CrossRef] [PubMed]
- Kim, H.-J.; Hirayama, H.; Kim, S.; Han, K.J.; Zhang, R.; Choi, J.-W. Review of Near-Field Wireless Power and Communication for Biomedical Applications. IEEE Access 2017, 5, 21264–21285. [Google Scholar] [CrossRef]
- Wang, C.-S.; Stielau, O.; Covic, G. Design Considerations for a Contactless Electric Vehicle Battery Charger. IEEE Trans. Ind. Electron. 2005, 52, 1308–1314. [Google Scholar] [CrossRef]
- Keeling, N.A.; Covic, G.A.; Boys, J.T. A Unity-Power-Factor IPT Pickup for High-Power Applications. IEEE Trans. Ind. Electron. 2009, 57, 744–751. [Google Scholar] [CrossRef]
- Kurs, A.; Karalis, A.; Moffatt, R.; Joannopoulos, J.D.; Fisher, P.; Soljačic, M. Wireless Power Transfer via Strongly Coupled Magnetic Resonances. Science 2007, 317, 83–86. [Google Scholar] [CrossRef] [PubMed]
- Karalis, A.; Joannopoulos, J.D.; Soljacicb, M. Efficient wireless non-radiative mid-range energy transfer. Ann. Phys. 2008, 323, 34–48. [Google Scholar] [CrossRef]
- Mohamed, A.A.S.; Marim, A.A.; Mohammed, O.A. Magnetic design considerations of bidirectional inductive wireless power transfer system for EV applications. IEEE Trans. Magn. 2017, 53, 1–5. [Google Scholar] [CrossRef]
- Suh, Y.-H.; Chang, K. A high-efficiency dual-frequency rectenna for 2.45- and 5.8-GHz wireless power transmission. IEEE Trans. Microw. Theory Tech. 2002, 50, 1784–1789. [Google Scholar] [CrossRef]
- Casanova, J.J.; Low, Z.N.; Lin, J.; Tseng, R. Transmitting coil achieving uniform magnetic field distribution for planar wireless power transfer system. In Proceedings of the 2009 IEEE Radio and Wireless Symposium, San Diego, CA, USA, 18–22 January 2009; pp. 530–533. [Google Scholar]
- Lee, E.S.; Choi, B.G.; Choi, J.S.; Nguyen, D.T.; Rim, C.T. Wide-Range Adaptive IPT Using Dipole Coils With a Reflector by Variable Switched Capacitance. IEEE Trans. Power Electron. 2016, 32, 8054–8070. [Google Scholar] [CrossRef]
- Mai, R.; Chen, Y.; Zhang, Y.; Yang, N.; Cao, G.; He, Z. Optimization of the Passive Components for an S-LCC Topology-Based WPT System for Charging Massive Electric Bicycles. IEEE Trans. Power Electron 2017, 65, 5497–5508. [Google Scholar] [CrossRef]
- Wang, W.; Huang, X.; Pan, S.; Guo, J. Moving impedance matching analysis for three-coil wireless power transfer system in mid-range. In Proceedings of the 2016 IEEE 5th Asia-Pacific Conference on Antennas and Propagation (APCAP), Kaohsiung, Taiwan, 26–29 July 2016; pp. 429–430. [Google Scholar]
- Lee, G.; Waters, B.H.; Shin, Y.G.; Smith, J.R.; Park, W.S. A Reconfigurable Resonant Coil for Range Adaptation Wireless Power Transfer. IEEE Trans. Microw. Theory Tech. 2016, 64, 1–9. [Google Scholar] [CrossRef]
- Nguyen, V.T.; Kang, S.H.; Choi, J.H.; Jung, C.W. Magnetic resonance wireless power transfer using three-coil system with single planar receiver for laptop applications. IEEE Trans. Consum. Electron. 2015, 61, 160–166. [Google Scholar] [CrossRef]
- Zhang, X.; Gao, L.; Wang, C.; Wang, Z.; Fan, X. Design and Simulation Analysis on the Transmitter/Receiver of MCR-WPT. In Proceedings of the 2018 11th International Symposium on Computational Intelligence and Design (ISCID), Hangzhou, China, 8–9 December 2018; pp. 157–160. [Google Scholar] [CrossRef]
- Kim, H.; Hwang, K.; Park, J.; Kim, N.; Ahn, S. Design of single-sided AC magnetic field generating coil for wireless power transfer. In Proceedings of the 2017 IEEE Wireless Power Transfer Conference (WPTC), Taipei, Taiwan, 10–12 May 2017; pp. 1–3. [Google Scholar]
- Tran, D.H.; Vu, V.-B.; Pham, V.-L. Design of a High-Efficiency Wireless Power Transfer System with Intermediate Coils for the On-Board Chargers of Electric Vehicles. IEEE Trans. Power Electron. 2017, 33, 175–187. [Google Scholar] [CrossRef]
- Abdolali, A.; Jafari, A.M. Flexible Control of Magnetic Fields by Shaped-Optimized Three-Dimensional Coil Arrays. IEEE Magn. Lett. 2019, 10, 1–5. [Google Scholar] [CrossRef]
- Feng, J.; Li, Q.; Lee, F.C. Omnidirecitional wireless power transfer for portable devices. In Proceedings of the 2017 IEEE Applied Power Electronics Conference and Exposition (APEC), Tampa, FL, USA, 26–30 March 2017; pp. 1675–1681. [Google Scholar]
- Houran, M.A.; Yang, X.; Chen, W. Free Angular-Positioning Wireless Power Transfer Using a Spherical Joint. Energies 2018, 11, 3488. [Google Scholar] [CrossRef]
- Agbinya, J.I.; Mohamed, N.F.A. Design and study of multi-dimensional wireless power transfer transmission systems and architectures. Int. J. Electr. Power Energy Syst. 2014, 63, 1047–1056. [Google Scholar] [CrossRef]
- Lee, G.; Waters, B.H.; Shi, C.; Park, W.S.; Smith, J.R. Design considerations for asymmetric magnetically coupled resonators used in wireless power transfer transfer applications. In Proceedings of the 2013 IEEE Radio and Wireless Symposium, Austin, TX, USA, 20–23 January 2013; pp. 328–330. [Google Scholar]
- Babic, S.; Akyel, C. Calculating Mutual Inductance Between Circular Coils With Inclined Axes in Air. IEEE Trans. Magn. 2008, 44, 1743–1750. [Google Scholar] [CrossRef]
- Dang, Z.; Abu Qahouq, J.A. Modeling and investigation of magnetic resonance coupled wireless power transfer system with lateral misalignment. In Proceedings of the 2014 IEEE Applied Power Electronics Conference and Exposition—APEC 2014, Fort Worth, TX, USA, 16–20 March 2014; pp. 1317–1322. [Google Scholar]
- Wang, J.; Li, J.; Ho, S.L.; Fu, W.; Li, Y.; Yu, H.; Sun, M. Lateral and Angular Misalignments Analysis of a New PCB Circular Spiral Resonant Wireless Charger. IEEE Trans. Magn. 2012, 48, 4522–4525. [Google Scholar] [CrossRef]
- Kim, S.-M.; Cho, I.-K.; Moon, J.-I.; Yoon, J.-H.; Byun, W.-J.; Choi, J.-I. 1.9MHz wireless power transmission system using coupled magnetic resonance. In Proceedings of the 2012 19th International Conference on Microwaves, Radar & Wireless Communications, Warsaw, Poland, 21–23 May 2012; Volume 2, pp. 519–522. [Google Scholar]















| Parameter | Symbol | Value |
|---|---|---|
| Number of turns of coupling coil | N | 5 |
| Principal radius of coupling coil | r1 | 147.5 mm |
| Wire diameter of coupling coil | r2 | 1.06 mm |
| Winding space of coupling coil | a | 10.5 mm |
| Frequency | f | 6.78 MHz |
| Load resistance | R | 50 Ω |
| Power supply voltage | V0 | 100 V |
| Radius of air domain | A | 800 mm |
| Ratio of transmitting coil radius to receiving coil radius b | 1:0.2 | 1:0.4 | 1:0.6 | 1:0.8 | 1:1 | 1:1.2 | 1:1.4 | 1:1.6 | 1:1.8 | 1:2 |
| Tuning capacitance of receiving coils (pF) | 172.03 | 90.62 | 57.54 | 39.8 | 28.65 | 21.24 | 15.22 | 9.95 | 6.97 | 3.82 |
| Combination | Tuning Capacitance | Critical Coupling Distance |
|---|---|---|
| Flat spiral vs. square | 22.3 pF | 337 mm |
| Solenoid vs. flat spiral | 28.9 pF | 322 mm |
| Square vs. solenoid | 21.7 pF | 364 mm |
Publisher’s Note: MDPI stays neutral with regard to jurisdictional claims in published maps and institutional affiliations. |
© 2020 by the authors. Licensee MDPI, Basel, Switzerland. This article is an open access article distributed under the terms and conditions of the Creative Commons Attribution (CC BY) license (http://creativecommons.org/licenses/by/4.0/).
Share and Cite
Li, Y.; Liu, J.; Yang, Q.; Ni, X.; Zhai, Y.; Lou, Z. Directional Characteristics of Wireless Power Transfer via Coupled Magnetic Resonance. Electronics 2020, 9, 1910. https://doi.org/10.3390/electronics9111910
Li Y, Liu J, Yang Q, Ni X, Zhai Y, Lou Z. Directional Characteristics of Wireless Power Transfer via Coupled Magnetic Resonance. Electronics. 2020; 9(11):1910. https://doi.org/10.3390/electronics9111910
Chicago/Turabian StyleLi, Yang, Jiaming Liu, Qingxin Yang, Xin Ni, Yujie Zhai, and Zhigang Lou. 2020. "Directional Characteristics of Wireless Power Transfer via Coupled Magnetic Resonance" Electronics 9, no. 11: 1910. https://doi.org/10.3390/electronics9111910
APA StyleLi, Y., Liu, J., Yang, Q., Ni, X., Zhai, Y., & Lou, Z. (2020). Directional Characteristics of Wireless Power Transfer via Coupled Magnetic Resonance. Electronics, 9(11), 1910. https://doi.org/10.3390/electronics9111910
