A Hybrid Modified Method of the Sine Cosine Algorithm Using Latin Hypercube Sampling with the Cuckoo Search Algorithm for Optimization Problems
Abstract
1. Introduction
- (1)
- We include the modified LHS (originating from the SCA) operation within the MSCA.
- (2)
- We develop an emerging sine-cosine method based on the hybrid CSA, known as HMSCACSA. This gives the fastest convergence curve, improves the capabilities in a global search domain with sensitive parametric analysis, and minimizes CPU time.
- (3)
2. Related Work
2.1. Original Sine Cosine Algorithm (SCA)
2.2. Original Cuckoo Search Algorithm (CSA)
2.3. Latin Hypercube Sampling (LHS)
3. Proposed Modified Sine Cosine Algorithm (MSCA)
3.1. The Theory of Sine Cosine Algorithm Adjustment
3.2. Iterative Adjustment Using Latin Hypercube Sampling (LHS)
3.3. Adjustment of Sine Cosine Algorithm (SCA) Using Latin Hypercube Sampling (LHS)
| Algorithm 1. Pseudo-code of MSCA Algorithm. |
| 01: Input: The population , the constant magnitude |
| 02: Output: and the updated population |
| 03: Generate a random set of population |
| 04: Evaluate the fitness of each and every population |
| 05: while do |
| 06: Set initial using Equation (2) |
| 07: Update the best solution |
| 08: for (t maximum number of generation) |
| 09: Perform Latin Hypercube Sampling |
| 10: Update and |
| 11: Update the position of the search agents (population) using (1), (2) and (3) |
| 12: Evaluate the fitness of each and every search agent |
| 13: If fitness (current) fitness (previous) then |
| 14: Update the best solution |
| 15: Else if fitness (current) = fitness (previous) and Number of features selected (current) Number of features selected (previous) then |
| 16: Update the best solution and its position, |
| 17: End |
| 18: Replace the least fit search agent with LHS and update the new population |
| 19: End |
| 20: End |
| 21: Return the updated solution, and the best result |
4. Proposed Hybrid Modified Sine Cosine Algorithm Cuckoo Search Algorithm (HMSCACSA)
4.1. Concept of Hybridization
4.2. Iterative Hybridization of the Modified Sine Cosine Algorithm (MSCA) with the Cuckoo Search Algorithm (CSA)
| Algorithm 2. Pseudo-code of the HMSCACSA. |
| 01: Input: The population , the constant magnitude |
| 02: Output: and the updated population |
| 03: Generate a random set of population . |
| 04: Evaluate the fitness of each and every population |
| 05: while do |
| 06: Set initial using Equation (2) |
| 07: Update the best solution |
| 08: for (t maximum number of generation) |
| 09: Perform Latin Hypercube Sampling |
| 10: Update and |
| 11: Update the position of the search agents (population) using (1), (2) and (3) |
| 12: Evaluate the fitness of each and every search agent |
| 13: If fitness (current) fitness (previous) then |
| 14: Update the best solution |
| 15: Else if fitness (current) = fitness (previous) and Number of features selected (current) Number of features selected (previous) then |
| 16: Update the best solution and its position, |
| 17: End |
| 18: Get a cuckoo (4) by the minimum value of sampling LHS (5) position and fitness destination. |
| 19: Keep the best solution (or nests with quality solutions), rank the solutions and find the current best |
| 20: Replace the least fit search agents and update the new population |
| 21: End |
| 22: End |
| 23: Return the updated solution, . and the best result () |
5. Development of the Execution of the Proposed Algorithm
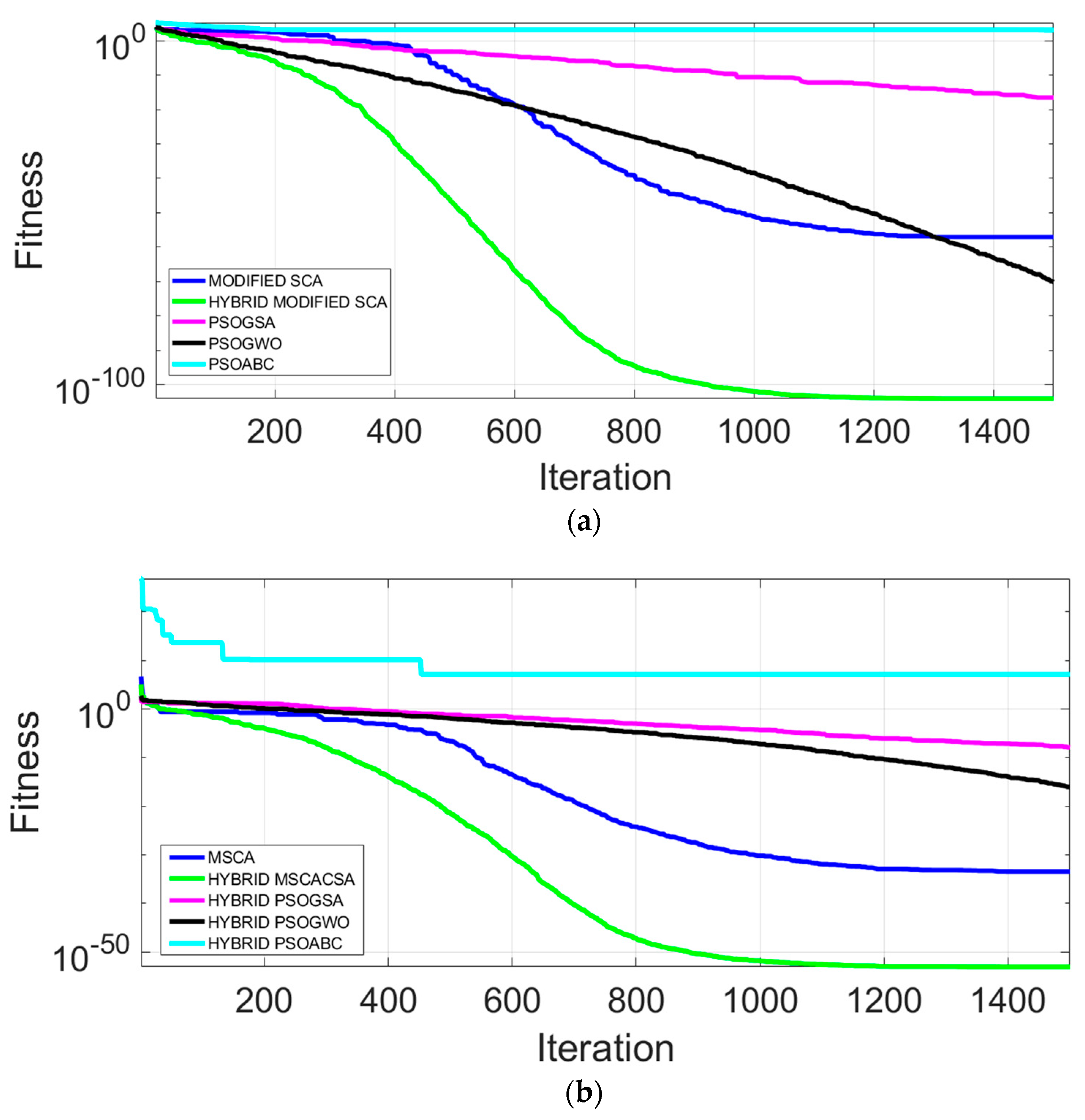
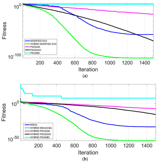
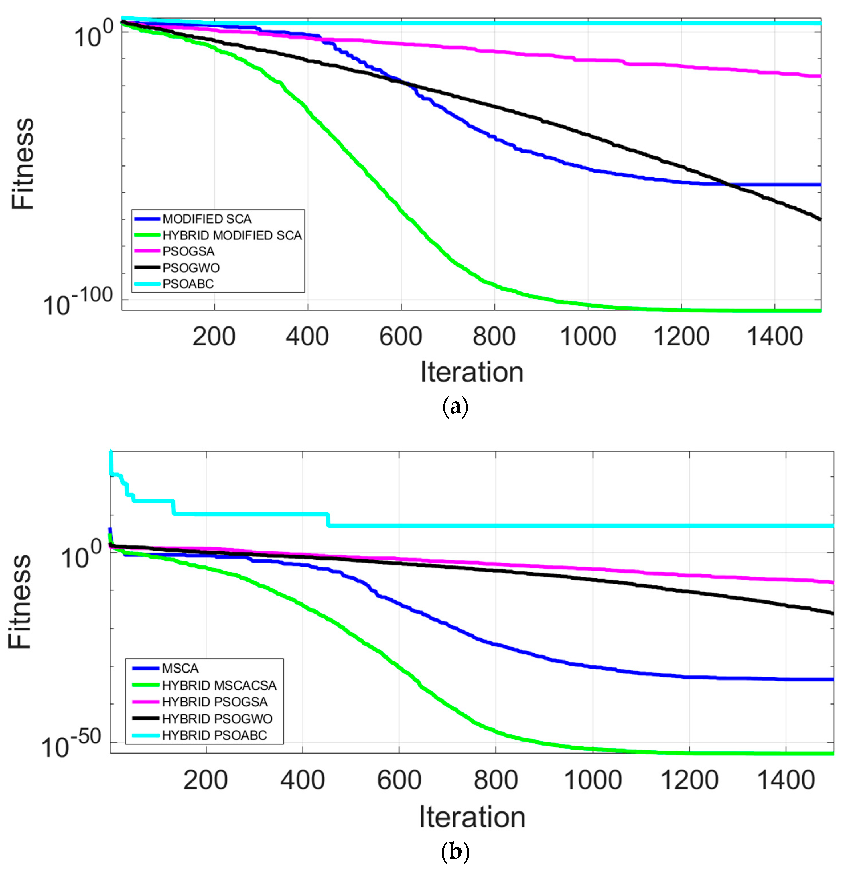
5.1. Simulation Findings
5.2. Analysis of the Hybrid Modified Sine Cosine Algorithm Cuckoo Search Algorithm (HMSCACSA) Results
6. Conclusions
Author Contributions
Funding
Conflicts of Interest
Abbreviations
| ABC | Artificial Bee Colony |
| ACO | Ant Colony Optimization |
| ALO | Ant Lion Optimizer |
| ASMO | Ageist Spider Monkey Optimization |
| BER | Bit Error Rate |
| CEC | Congress on Evolutionary Computation |
| CPU | Central Processing Unit |
| CSA | Cuckoo Search Algorithm |
| DE | Differential Evolution |
| DESCA | Differential Evolution Sine Cosine Algorithm |
| E | Energy Level |
| EA | Evolutionary Algorithms |
| EBS | Enhanced Brain Storm |
| EBSSCA | Enhanced Brain Storm–Sine Cosine Algorithm |
| GA | Genetic Algorithm |
| GSA | Gravitational Search Algorithm |
| GWO | Grey Wolf Optimizer |
| HAGWO | Hybrid Approach Grey Wolf Optimizer |
| HMSCACSA | Hybrid Modified Sine Cosine Algorithm Cuckoo Search Algorithm |
| ISCA | Improved Sine Cosine Algorithm |
| LABS | Lows Autocorrelation Binary Sequence |
| LHS | Latin Hypercube Sampling |
| MF | Merit Factor |
| MGWO | Mean Grey Wolf Optimizer |
| MIMO | Massive Multi-Input Multi-Output |
| MOSCA | Multi-Orthogonal Sine Cosine Algorithm |
| MSCA | Modified Sine Cosine Algorithm |
| OBL | Opposition Based Learning |
| PBO | Polar Bear Optimization |
| PC | Personal Computer |
| PSO | Particle Swarm Optimization |
| PSOSCALF | Hybrid Particle Swarm Optimization–Sine Cosine Algorithm and Levy flight |
| RADAR | Radio Detection and Ranging |
| SCA | Sine Cosine Algorithm |
| SI | Swarm Intelligence |
| SL | Sidelobe Levels |
| SS | Squirrel Search |
| TLBO | Teaching–Learning-Based Optimization |
| WOA | Whale Optimization Algorithm |
References
- Yang, X.-S. Metaheuristic optimization: Algorithm analysis and open. In Experimental Algorithms. SEA 2011. Lecture Notes in Computer Science; Springer: Berlin/Heidelberg, Germany, 2011; Volume 6630, pp. 21–32. [Google Scholar]
- Yang, X.-S. Engineering Optimization: An Introduction with Metaheuristic Applications, 1st ed.; Wiley A John Wiley & Sons, Inc.: Hoboken, NJ, USA, 2010. [Google Scholar]
- Coello, C.A.C.; Lamont, G.B.; Van Veldhuizen, D.A. Evolutionary Algorithms for Solving Multi-Objective Problems, 2nd ed.; Springer: New York, NY, USA, 2007. [Google Scholar]
- Sivanandam, S.N.; Deepa, S.N. Genetic algorithm optimization problems. In Introduction to Genetic Algorithms; Springer: Berlin/Heidelberg, Germany, 2008; pp. 165–209. [Google Scholar]
- Ping, G.; Chunbo, X.; Yi, C.; Jing, L. Adaptive ant colony optimization algorithm. In Proceedings of the 2014 International Conference on Mechatronics and Control (ICMC), Jinzhou, China, 3–5 July 2014; pp. 95–98. [Google Scholar]
- Das, S.; Mullick, S.S.; Suganthan, P.N. Recent advances in differential evolution-an updated survey. Swarm Evol. Comput. 2016, 27, 1–30. [Google Scholar] [CrossRef]
- Gao, W.; Liu, S. Improved artificial bee colony algorithm for global optimization. Inf. Process. Lett. 2011, 111, 871–882. [Google Scholar] [CrossRef]
- Basu, B.; Mahanti, G.K. A comparative study of modified particle swarm optimization, differential evolution and artificial bees colony optimization in synthesis of circular array. In Proceedings of the 2010 International Conference on Power, Control and Embedded Systems, Allahabad, India, 29 November–1 December 2010. [Google Scholar]
- Sharma, A.; Sharma, A.; Panigrahi, B.K.; Kiran, D.; Kumar, R. Ageist spider monkey optimization algorithm. Swarm Evol. Comput. 2016, 28, 58–77. [Google Scholar] [CrossRef]
- Mirjalili, S.; Mirjalili, S.M.; Lewis, A. Grey wolf optimizer. Adv. Eng. Softw. 2014, 69, 46–61. [Google Scholar] [CrossRef]
- Jain, M.; Singh, V.; Rani, A. A novel nature-inspired algorithm for optimization: Squirrel search algorithm. Swarm Evol. Comput. 2019, 44, 148–175. [Google Scholar] [CrossRef]
- Połap, D.; Woźniak, M. Polar bear optimization algorithm: Meta-heuristic with fast population movement and dynamic birth and death mechanism. Symmetry 2017, 9, 203. [Google Scholar] [CrossRef]
- Mirjalili, S. SCA: A sine cosine algorithm for solving optimization problems. Knowl. Based Syst. 2016, 96, 120–133. [Google Scholar] [CrossRef]
- Majeed, M.A.M.; Rao, P.S. Optimization of CMOS analog circuits using sine cosine algorithm. In Proceedings of the 8th International Conference on Computing, Communications and Networking Technologies (ICCCNT), Delhi, India, 3–5 July 2017. [Google Scholar]
- Li, C. An enhanced brain storm sine cosine algorithm for global optimization problems. IEEE Access 2019, 7, 28211–28229. [Google Scholar] [CrossRef]
- Belazzoug, M.; Touahria, M.; Nouioua, F.; Brahimi, M. An improved sine cosine algorithm to select features for text categorization. J. King Saud Univ. Comput. Inf. Sci. 2019, 32, 454–464. [Google Scholar] [CrossRef]
- Zamli, K.Z.; Din, F.; Ahmed, B.S.; Bures, M. A hybrid Q-learning sine-cosine-based strategy for addressing the combinatorial test suite minimization problem. PLoS ONE 2018, 13, 1–29. [Google Scholar] [CrossRef]
- Rizk-Allah, R.M. Hybridizing sine cosine algorithm with multi-orthogonal search strategy for engineering design problems. J. Comput. Des. Eng. 2018, 5, 249–273. [Google Scholar] [CrossRef]
- Suid, M.Z.T.; Ahmad, M.H.; Ismail, M.R.T.R.; Ghazali, M.R.; Irawan, A. An improved sine cosine algorithm for solving optimization problems. In Proceedings of the 2018 IEEE Conference on Systems, Process and Control (ICSPC), Melaka, Malaysia, 14–15 December 2018. [Google Scholar]
- Elaziz, M.A.; Oliva, D.; Xiong, S. An improved opposition-based sine cosine algorithm for global optimization. Expert Syst. Appl. 2017, 90, 484–500. [Google Scholar] [CrossRef]
- Sindhu, R.; Ngadiran, R.; Yacob, Y.M.; Zahri, N.A.H.; Hariharan, M. Sine–cosine algorithm for feature selection with elitism strategy and new updating mechanism. Neural Comput. Appl. 2017, 28, 2947–2958. [Google Scholar] [CrossRef]
- Long, W.; Wu, T.; Liang, X.; Xu, S. Solving high-dimensional global optimization problems using an improved sine cosine algorithm. Expert Syst. Appl. 2019, 123, 108–126. [Google Scholar] [CrossRef]
- Issa, M. ASCA-PSO: Adaptive sine cosine optimization algorithm integrated with particle swarm for pairwise local sequence alignment. Expert Syst. Appl. 2018, 99, 56–70. [Google Scholar] [CrossRef]
- Qu, C.; Zeng, Z.; Dai, J.; Yi, Z.; He, W. A modified sine-cosine algorithm based on neighborhood search and greedy levy mutation. Comput. Intell. Neurosci. 2018, 2018, 1–19. [Google Scholar] [CrossRef] [PubMed]
- Chegini, S.N.; Bagheri, A.; Najafi, F. PSOSCALF: A new hybrid PSO based on sine cosine algorithm and levy flight for solving optimization problems. Appl. Soft Comput. 2018, 73, 697–726. [Google Scholar] [CrossRef]
- Nenavath, H.; Jatoth, D.R.K.; Das, D.S. A synergy of the sine-cosine algorithm and particle swarm optimizer for improved global optimization and object tracking. Swarm Evol. Comput. 2018, 43, 1–30. [Google Scholar] [CrossRef]
- Wu, G.; Mallipeddi, R.; Suganthan, P.N. Problem Definitions and Evaluation Criteria for the CEC 2017 Competition and Special Session on Constrained Single Objective Real-Parameter Optimization; Technical Report; Nanyang Technological University: Singapore, 2017. [Google Scholar]
- Liang, J.J.; Qu, B.Y.; Suganthan, P.N. Problem Definitions and Evaluation Criteria for the CEC 2014 Special Session and Competition on Single Objective Real-Parameter Numerical Optimization; Technical Report; Nanyang Technological University: Singapore, 2013. [Google Scholar]
- Singh, N.; Singh, S.B. A novel hybrid GWO-SCA approach for optimization problems. Eng. Sci. Technol. Int. J. 2017, 20, 1586–1601. [Google Scholar] [CrossRef]
- Nenavath, H.; Jatoth, R.K. Hybridizing sine cosine algorithm with differential evolution for global optimization and object tracking. Appl. Soft Comput. 2018, 62, 1019–1043. [Google Scholar] [CrossRef]
- Chi, R.; Su, Y.X.; Zhang, D.H.; Chi, X.X. Adaptive cuckoo search algorithm for continuous function optimization problems. In Proceedings of the World Congress on Intelligent Control and Automation (WCICA), Guilin, China, 12–15 June 2016. [Google Scholar]
- Fister, I.; Yang, X.S.; Fister, D.; Fister, I. Cuckoo search: A brief literature review. In Cuckoo Search and Firefly Algorithm; Yang, X.-S., Ed.; Springer: Cham, Switzerland, 2014; Volume 516, pp. 49–62. [Google Scholar]
- Yang, X.; Deb, S. Engineering optimisation by cuckoo search. Int. J. Math. Model. Numer. Optim. 2010, 1, 330–343. [Google Scholar] [CrossRef]
- Umenai, Y. A modified cuckoo search algorithm for dynamic optimization problems. In Proceedings of the IEEE Congress on Evolutionary Computation (CEC 2016), Vancouver, BC, Canada, 24–29 July 2016. [Google Scholar]
- Walton, S.; Hassan, O.; Morgan, K.; Brown, M.R. Modified cuckoo search: A new gradient free optimisation algorithm. Chaos Solitons Fractals 2011, 44, 710–718. [Google Scholar] [CrossRef]
- Jiang, Y.; Liu, X.; Yan, G.; Xiao, J. Modified binary cuckoo search for feature selection: A hybrid filter-wrapper approach. In Proceedings of the 2017 13th International Conference on Computational Intelligence and Security (CIS), Hong Kong, China, 15–18 December 2017. [Google Scholar]
- Abdul Rani, K.N.; Ali, A. Modified cuckoo search algorithm in weighted sum optimization for linear antenna array synthesis. In Proceedings of the IEEE Symposium on Wireless Technology and Applications (ISWTA), Bandung, Indonesia, 23–26 September 2012. [Google Scholar]
- Wu, Q.; Zhang, C.; Zhang, M.; Yang, F.; Gao, L. A modified comprehensive learning particle swarm optimizer and its application in cylindricity error evaluation problem. Math. Biosci. Eng. 2019, 16, 1190–1209. [Google Scholar] [CrossRef]
- Senel, F.A.; Gokce, F.; Yuksel, A.S.; Yigit, T. A novel hybrid PSO–GWO algorithm for optimization problems. Eng. Comput. 2019, 35, 1359–1373. [Google Scholar] [CrossRef]
- Chun-Feng, W.; Kui, L.; Pei-Ping, S. Hybrid artificial bee colony algorithm and particle swarm search for global optimization. Math. Probl. Eng. 2014, 2014. [Google Scholar] [CrossRef]
- Mirjalili, S.; Hashim, S.Z.M. A new hybrid PSOGSA Algorithm for function optimization. In Proceedings of the 2010 International Conference on Computer and Information Application, Tianjin, China, 3–5 December 2010. [Google Scholar]
- Shehab, M.; Khader, A.T.; Al-Betar, M.A. A survey on applications and variants of the cuckoo search algorithm. Appl. Soft Comput. 2017, 61, 1041–1059. [Google Scholar] [CrossRef]
- Duan, Y. A hybrid optimization algorithm based on bat and cuckoo search. Adv. Mater. Res. Vols. 2014, 930, 2889–2892. [Google Scholar] [CrossRef]
- Stein, M. Large sample properties of simulations using latin hypercube sampling. Technometrics 1987, 29, 143–151. [Google Scholar] [CrossRef]
- Li, W.; Lu, L.; Xie, X.; Yang, M. A novel extension algorithm for optimized latin hypercube sampling. J. Stat. Comput. 2017, 87, 2549–2559. [Google Scholar] [CrossRef]
- Rajabi, M.M.; Ataie-Ashtiani, B.; Janssen, H. Efficiency enhancement of optimized latin hypercube sampling strategies: Application to Monte Carlo uncertainty analysis and meta-modeling. Adv. Water Resour. 2015, 76, 127–139. [Google Scholar] [CrossRef]
- Liu, Z.; Li, W.; Yang, M. Two general extension algorithms of latin hypercube sampling. Math. Probl. Eng. 2015. [Google Scholar] [CrossRef]
- Shields, M.D.; Zhang, J. The generalization of latin hypercube sampling. Reliab. Eng. Syst. Saf. 2016, 148, 96–108. [Google Scholar] [CrossRef]
- Laskar, N.M.; Guha, K.; Chatterjee, I.; Chanda, S.; Baishnab, K.L.; Paul, P.K. HWPSO: A new hybrid whale-particle swarm optimization algorithm and its application in electronic design optimization problems. Appl Intell. 2019, 49, 265–291. [Google Scholar] [CrossRef]
- Kanagaraj, G.; Ponnambalam, S.G.; Jawahar, N. A hybrid cuckoo search and genetic algorithm for reliability—Redundancy allocation problems. Comput. Ind. Eng. 2013, 66, 1115–1124. [Google Scholar] [CrossRef]
- Ekiz, S.; Erdoğmus, P.; Özgür, B. Solving constrained optimization problems with sine-cosine algorithm. Period. Eng. Nat. Sci. 2017, 5, 378–386. [Google Scholar] [CrossRef]
- Brest, J.; Boskovic, B. A heuristic algorithm for a low autocorrelation binary sequence problem with odd length and high merit factor. IEEE Access 2018, 6, 4127–4134. [Google Scholar] [CrossRef]
- Rosli, S.J.; Rahim, H.A.; Abdul Rani, K.N. Design of amplitude and phase modulated pulse trains with good auttocorrelation properties for radar communications. Indones. J. Electr. Eng. Comput. Sci. 2019, 13, 990–998. [Google Scholar] [CrossRef]
- Rosli, S.J. Design of binary coded pulse trains with good autocorrelation properties for radar communications. MATEC Web Conf. 2018, 150. [Google Scholar] [CrossRef][Green Version]
- Li, L.; Meng, W.; Ju, S. A novel artificial bee colony detection algorithm for massive mimo system. Wirel. Commun. Mob. Comput. 2016, 16, 3139–3152. [Google Scholar] [CrossRef]
- Abdul Rani, K.N.; Abdulmalek, M.; Rahim, H.A.; Chin, N.S.; Abd Wahab, A. Hybridization of strength pareto multiobjective optimization with modified cuckoo search algorithm for rectangular array. Sci. Rep. 2017, 7, 1–19. [Google Scholar] [CrossRef]












| Ref | Proposed Method | Enhancement | Limitation |
|---|---|---|---|
| [20] | Modified SCA | (a) improved version of SCA with consideration of OBL. (b) increased accuracy of the optimal solution and ability to explore the search space in optimization process. | (a) unable to solve the dimension problem. |
| [21] | ISCA by modified position-updating equation | (a) modified the position updating weight to balance the exploration and exploitation of SCA. (b) modified the conversion parameter for decreasing the non-linear strategy based on Gaussian function. | (a) means of CPU times of ISCA were small values. |
| [29] | Hybrid GWO-SCA | (a) improved by using position update equations of SCA. (b) highest capability to avoid the local optima and considerably superior to other metaheuristics. | (a) the high number of dimensions is worse than in the WOA and TLBO algorithm. |
| [18] | Hybrid SCA—Multi-Orthogonal Search Strategy | (a) enhanced exploration capability. (b) boosts exploitation tendencies. (c) robust, statistically sound and quick convergence. | (a) immature convergence inaccuracy phase for some benchmark functions. |
| [19] | ISCA with new updating mechanism | (a) improved exploration and exploitation based on nonlinear strategy to find the algorithm strength. (b) proposed algorithm able to get away from local optima stagnation problem. | (a) not all selected functions are minimized, and ISCA shows instability in percentage performance compared to other optimization methods. |
| [23] | Hybrid SCA-PSO | (a) good performance in accuracy and computational time. (b) improves the convergence and the tendency. | (a) poor exploitation in finding the longest consecutive substrings. (b) not all the test function provided minimum standard deviation. |
| [24] | Modified SCA—Neighborhood Search and Greedy Levy Mutation | (a) improved SCA through three optimization techniques by decreasing the conversion parameter and inertia weight, using random optimal individuals, and greedy Levy mutation techniques. (b) effectively avoids becoming trapped in a local optimum; has faster convergence; has higher optimization accuracy. Twenty benchmark test functions were applied to verify the performance. | (a) still in infancy stage, and the complexity was greatly increased. |
| [30] | Hybrid SCA-DE | (a) solved the optimization problem and object tracking. | (a) SCA does not lead to optimal solutions to complex problems when used on some benchmark functions. (b) does not compare each of the independent runs (chance of low probability). |
| [26] | Hybrid SCA-PSO | (a) good performance method in exploiting the optimum and has advantages in exploration. | (a) did not guarantee an accurate convergence detection. |
| [25] | Hybrid PSO-SCA and Levy flight | (a) allows the design to be searched further to find optimal solution. | (a) not all stages of the optimization in convergence behavior improve. (b) early convergence and trapped in local minimum. |
| [16] | Improved SCA with elitism strategy and new updating mechanism | (a) to improve SCA accuracy by selecting the best features using the elitism strategy and new solution. | (a) immature convergence curve for minimization fitness features. |
| [22] | Modified SCA | (a) local optima with faster convergence. (b) solving three constrained real engineering design problems. | (a) immature convergence. (b) does not affect the configuration of the original SCA. |
| Function | Dim | Range |
|---|---|---|
| 20 | (–100,100) | |
| 20 | (–10,10) | |
| 20 | (–100,100) | |
| 20 | (–100,100) | |
| 20 | (–30,30) | |
| 20 | (–100,100) |
| Method | Iterations | Minimization Value | % Difference (Iteration) | % Difference (Minimization) |
|---|---|---|---|---|
| HMSCACSA | 282 | 17.22 | - | - |
| MSCA | 720 | 16.58 | 60.83 | 3.829 |
| PSOGSA | 781 | 98.33 | 63.89 | 82.49 |
| PSOABC | 1332 | 945,855.73 | 78.83 | 99.9982 |
| PSOGWO | 1358 | 1,247,463.24 | 79.23 | 99.9986 |
| Function | MSCA | HMSCACSA | PSOABC | PSOGSA | PSOGWO | |||||
|---|---|---|---|---|---|---|---|---|---|---|
| Mean | SD | Mean | SD | Mean | SD | Mean | SD | Mean | SD | |
| F1 | 1.2243 × 103 | 1.8078 × 103 | 162.1748 | 510.20913 | 509.4438 | 3.1509 × 103 | 1.1840 × 103 | 4.1671 × 103 | 3.5320 × 104 | 865.9147 |
| F2 | 1.0471 × 1011 | 4.0395 × 1012 | 3.6905 × 109 | 6.1621 × 1010 | 3.2873 × 1034 | 1.2579 × 1036 | 2.5138 × 1024 | 5.2057 × 1025 | 1.2011 × 1023 | 4.3896 × 1024 |
| F3 | 3.3982 × 103 | 1.6561 × 103 | 666.0412 | 1.4958 × 103 | 2.0912 × 104 | 1.0609 × 104 | 7.5861 × 103 | 4.7666 × 103 | 2.2595 × 103 | 5.8552 × 103 |
| F4 | 18.5994 | 9.6382 | 2.6749 | 6.8591 | 33.9277 | 6.1326 | 74.2110 | 0.7134 | 63.4489 | 7.0077 |
| F5 | 4.8489 × 107 | 7.0512 × 107 | 1.4274 × 107 | 3.7084 × 107 | 2.7276 × 108 | 2.2989 × 109 | 2.7344 × 108 | 1.8786 × 109 | 7.5571 × 108 | 1.5812 × 109 |
| F7 | 4.6469 × 106 | 5.7564 × 106 | 2.2455 × 105 | 1.0826 × 106 | 2.4465 × 107 | 2.2364 × 108 | 4.7658 × 107 | 2.0160 × 108 | 1.2024 × 107 | 6.1536 × 107 |
| Function | PSOABC | PSOGWO | PSOGSA | MSCA | HMSCACSA |
|---|---|---|---|---|---|
| F1 | 0.0001039 | 0.0001096 | 0.0000915 | 0.0000968 | 0.0000700 |
| F2 | 0.0001039 | 0.0001197 | 0.0000993 | 0.0000967 | 0.0000682 |
| F3 | 0.0000939 | 0.0001126 | 0.0000938 | 0.0000904 | 0.0000665 |
| F4 | 0.0000974 | 0.0001140 | 0.0000947 | 0.0000953 | 0.0000672 |
| F5 | 0.0001004 | 0.0001197 | 0.0000922 | 0.0000767 | 0.0000520 |
| Parameter | Value |
|---|---|
| Population | 20, 30, 40, 50, 60 |
| Dimension | 20 |
| Range | 2 |
| Maximum Iterations | 500 |
| Dimension | 20, 30, 40, 50, 60 |
| Population | 60 |
| Range | 2 |
| Maximum Iterations | 500 |
| Range | 1.4, 1.8, 2, 2.2, 2.4 |
| Dimension | 20 |
| Population | 60 |
| Maximum Iterations | 500 |
| Dimension | 20 |
Publisher’s Note: MDPI stays neutral with regard to jurisdictional claims in published maps and institutional affiliations. |
© 2020 by the authors. Licensee MDPI, Basel, Switzerland. This article is an open access article distributed under the terms and conditions of the Creative Commons Attribution (CC BY) license (http://creativecommons.org/licenses/by/4.0/).
Share and Cite
Rosli, S.J.; Rahim, H.A.; Abdul Rani, K.N.; Ngadiran, R.; Ahmad, R.B.; Yahaya, N.Z.; Abdulmalek, M.; Jusoh, M.; Yasin, M.N.M.; Sabapathy, T.; et al. A Hybrid Modified Method of the Sine Cosine Algorithm Using Latin Hypercube Sampling with the Cuckoo Search Algorithm for Optimization Problems. Electronics 2020, 9, 1786. https://doi.org/10.3390/electronics9111786
Rosli SJ, Rahim HA, Abdul Rani KN, Ngadiran R, Ahmad RB, Yahaya NZ, Abdulmalek M, Jusoh M, Yasin MNM, Sabapathy T, et al. A Hybrid Modified Method of the Sine Cosine Algorithm Using Latin Hypercube Sampling with the Cuckoo Search Algorithm for Optimization Problems. Electronics. 2020; 9(11):1786. https://doi.org/10.3390/electronics9111786
Chicago/Turabian StyleRosli, Siti Julia, Hasliza A Rahim, Khairul Najmy Abdul Rani, Ruzelita Ngadiran, R. Badlishah Ahmad, Nor Zakiah Yahaya, Mohamedfareq Abdulmalek, Muzammil Jusoh, Mohd Najib Mohd Yasin, Thennarasan Sabapathy, and et al. 2020. "A Hybrid Modified Method of the Sine Cosine Algorithm Using Latin Hypercube Sampling with the Cuckoo Search Algorithm for Optimization Problems" Electronics 9, no. 11: 1786. https://doi.org/10.3390/electronics9111786
APA StyleRosli, S. J., Rahim, H. A., Abdul Rani, K. N., Ngadiran, R., Ahmad, R. B., Yahaya, N. Z., Abdulmalek, M., Jusoh, M., Yasin, M. N. M., Sabapathy, T., & Andrew, A. M. (2020). A Hybrid Modified Method of the Sine Cosine Algorithm Using Latin Hypercube Sampling with the Cuckoo Search Algorithm for Optimization Problems. Electronics, 9(11), 1786. https://doi.org/10.3390/electronics9111786

