Proactive Uplink Interference Mitigation in HetNets Stressed by Uniformly Distributed Wideband Jammers
Abstract
1. Introduction
1.1. Motivation
1.2. Related Work
1.3. Approach and Contributions
- In [14,21,22,23,24,25], different jamming techniques with their detection and mitigation methods are investigated in different networks. However, these studies lack the analysis of both ICI and JI in HetNets along with RFA. Similarly, in [26,27,28], DL coverage analysis was assumed in the respective models. Furthermore, [26,27,28] consider SFR, RFA, ICI, and load balancing in DL HetNets, but lack the analysis of JI in UL HetNets. However, in this paper, we use a unified HetNet model where UL communications are affected by ICI and JI.
- WBJs are assumed to be deployed around the targets to cause severe JI. More specifically, WBJs aim to degrade bottleneck M-EUs’ UL communications, which are prone to intentional and unintentional interferences.
- We analyze UL coverage performance of typical users () (according to the Slivnyak theorem [31], a typical user at origin simplifies and retains the statistical properties of an IHPPP) located in while assuming both ICI and JI.
- Coverage probability expressions are derived for the following network scenarios, given that is located in ; (i) UL coverage probability with WBJs and without RFA employment and (ii) UL coverage probability with WBJs and RFA employment. Here, c and o denote the MBS center and outer region, respectively.
- The results investigate various parameters, such as power transmitted by WBJs, (), SIR threshold, (), jammer density, (), UL transmitted power by , (), and SBS density ().
1.4. Organization of the Paper and Notations
2. System Model
2.1. Network Layout with Assumptions
2.2. WBJs’ Mechanism
2.3. Reverse Frequency Allocation
3. Coverage Probability Analysis
3.1. UL Coverage Probability with WBJs and Without RFA Employment
3.2. UL Coverage Probability with WBJs and RFA Employment
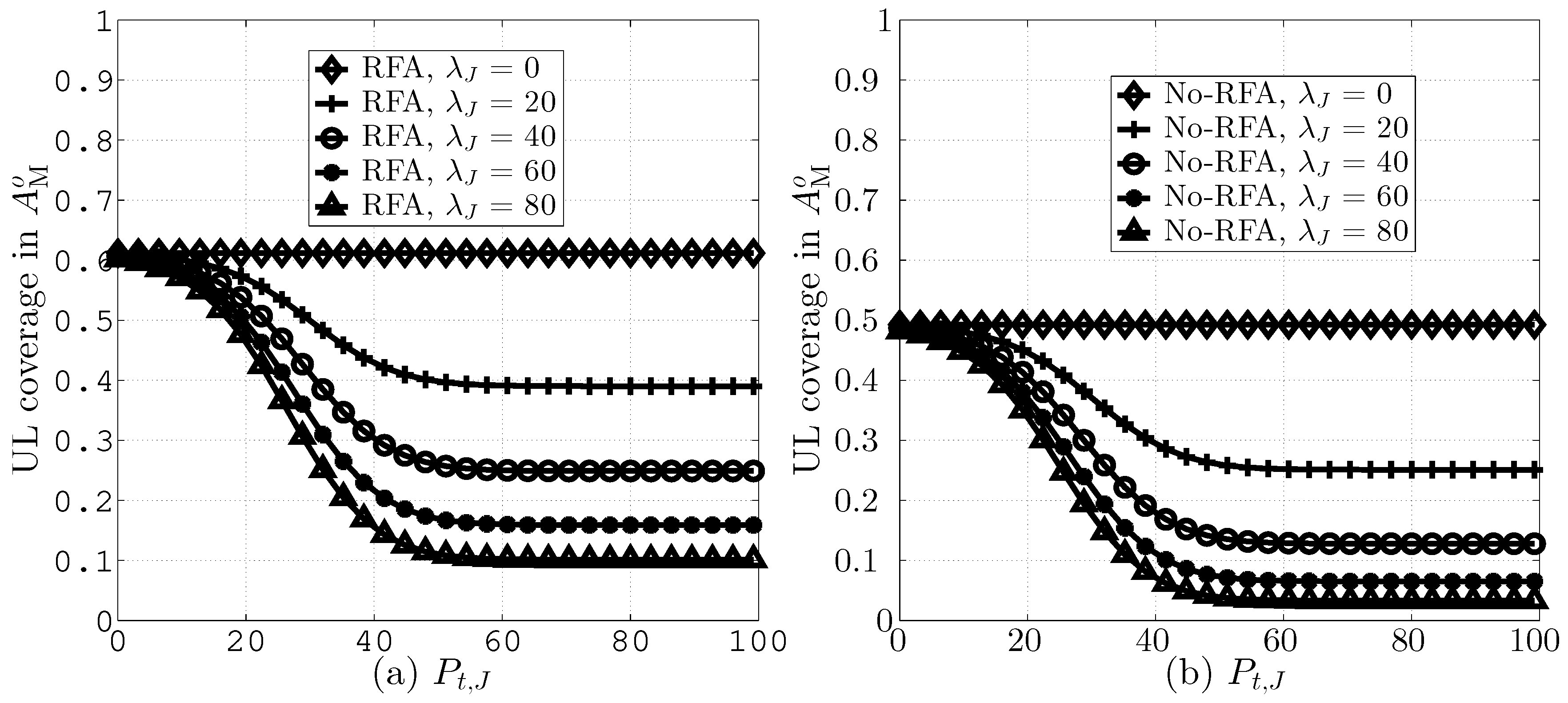
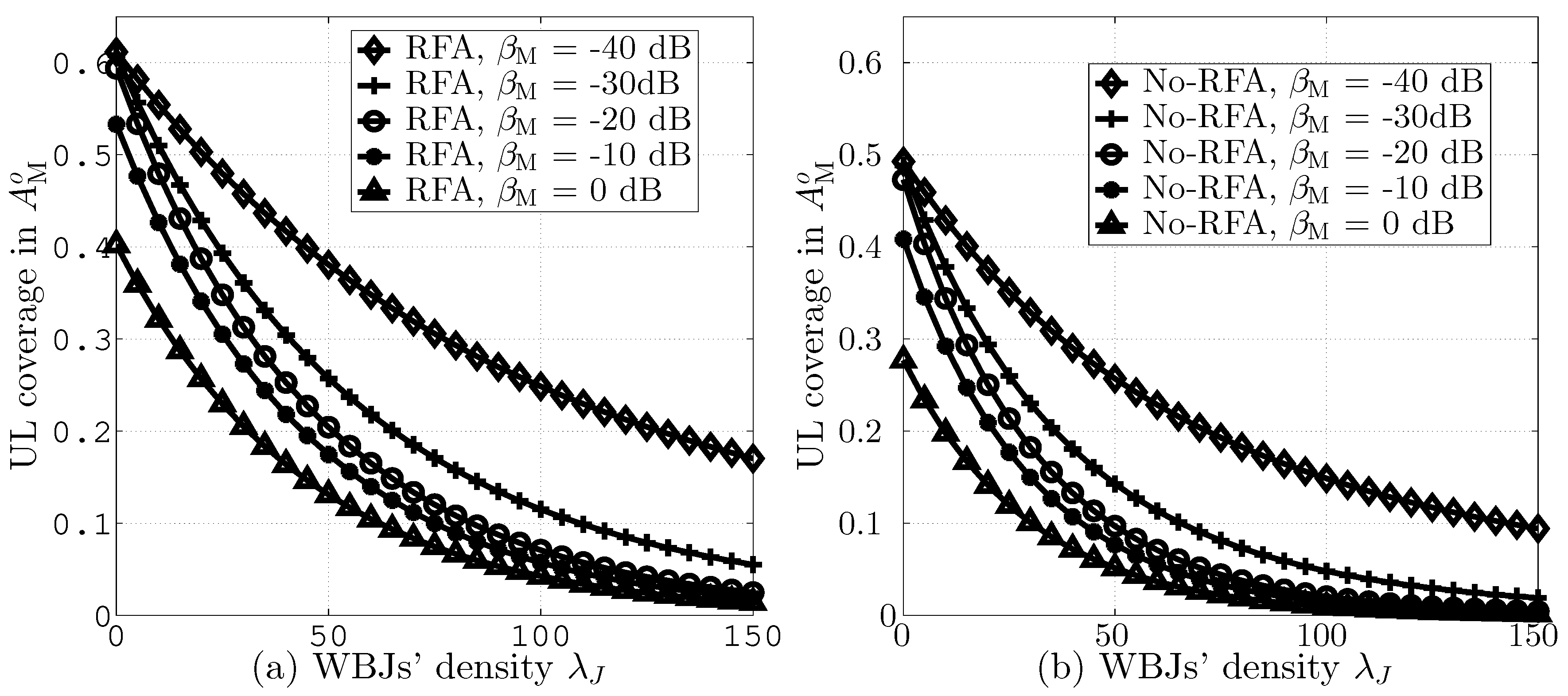
4. Results and Discussion
5. Conclusions
Author Contributions
Funding
Conflicts of Interest
References
- Hassan, N.; Fernando, X. Massive MIMO wireless networks: An overview. Electronics 2017, 6, 63. [Google Scholar] [CrossRef]
- Abbas, Z.H.; Muhammad, F.; Jiao, L. Analysis of load balancing and interference management in heterogeneous cellular networks. IEEE Access 2017, 5, 14690–14705. [Google Scholar] [CrossRef]
- Le, C.B.; Do, D.T.; Voznak, M. Wireless-powered cooperative MIMO NOMA networks: Design and performance improvement for cell-edge users. Electronics 2019, 8, 328. [Google Scholar] [CrossRef]
- Xu, W.; Zhang, H. Uplink interference mitigation for heterogeneous networks with user-specific resource allocation and power control. EURASIP J. Wirel. Commun. Netw. 2014, 2014, 55. [Google Scholar] [CrossRef]
- Hefnawi, M. Hybrid Beamforming for Millimeter-Wave Heterogeneous Networks. Electronics 2019, 8, 133. [Google Scholar] [CrossRef]
- Mirkovic, J.; Reiher, P. A taxonomy of DDoS attack and DDoS defense mechanisms. ACM SIGCOMM Comput. Commun. Rev. 2004, 34, 39–53. [Google Scholar] [CrossRef]
- Jover, R.P. Security attacks against the availability of LTE mobility networks: Overview and research directions. In Proceedings of the IEEE 16th International Symposium on Wireless Personal Multimedia Communications (WPMC), Atlantic, NJ, USA, 24–27 June 2013; pp. 1–9. [Google Scholar]
- Huo, Y.; Fan, X.; Ma, L.; Cheng, X.; Tian, Z.; Chen, D. Secure communications in tiered 5G wireless networks with cooperative jamming. IEEE Trans. Wirel. Commun. 2019. [Google Scholar] [CrossRef]
- Jundong, W. Complex environment noise barrage jamming effects on airborne warning radar. Am. J. Remote Sens. 2018, 6, 59–63. [Google Scholar]
- Ham, C.V.; Scoughton, T.E. Radio Frequency Jammer. U.S. Patent 7,318,368, 15 January 2008. [Google Scholar]
- Viterbi, A. A robust ratio-threshold technique to mitigate tone and partial band jamming in coded MFSK systems. In Proceedings of the IEEE MILCOM 1982-IEEE Military Communications Conference-Progress in Spread Spectrum Communications, Boston, MA, USA, 17–20 October 1982; Volume 1, pp. 22–24. [Google Scholar]
- Grover, K.; Lim, A.; Yang, Q. Jamming and anti-jamming techniques in wireless networks: A survey. Int. J. Ad Hoc Ubiquitous Comput. 2014, 17, 197–215. [Google Scholar] [CrossRef]
- Wang, S.; Gao, Y.; Sha, N.; Zhang, G.; Zang, G. Physical layer security in K-tier heterogeneous cellular networks over Nakagami-m channel during uplink and downlink phases. IEEE Access 2019, 7, 14581–14592. [Google Scholar] [CrossRef]
- Lichtman, M.; Poston, J.D.; Amuru, S.; Shahriar, C.; Clancy, T.C.; Buehrer, R.M.; Reed, J.H. A communications jamming taxonomy. IEEE Secur. Privacy 2016, 14, 47–54. [Google Scholar] [CrossRef]
- Naganuma, N.; Nakazawa, S.; Suyama, S.; Okumura, Y.; Otsuka, H. Performance evaluation of adaptive control CRE in HetNet with eICIC scheme. IEICE Commun. Express 2017, 6, 166–171. [Google Scholar] [CrossRef]
- Fereydooni, M.; Sabaei, M.; Dehghan, M.; Eslamlou, G.B.; Rupp, M. Analytical evaluation of heterogeneous cellular networks under flexible user association and frequency reuse. Comput. Commun. 2018, 116, 147–158. [Google Scholar] [CrossRef]
- Akhtar, M.S.; Abbas, Z.H.; Muhammad, F.; Abbas, G. Analysis of decoupled association in HetNets using soft frequency reuse scheme. AEU Int. J. Electron. Commun. 2019, 152961. [Google Scholar] [CrossRef]
- Guo, L.; Cong, S.; Sun, Z. Multichannel analysis of soft frequency reuse and user association in two-tier heterogeneous cellular networks. EURASIP J. Wirel. Commun. Netw. 2017, 2017, 168. [Google Scholar] [CrossRef]
- Muhammad, F.; Abbas, Z.H.; Abbas, G.; Jiao, L. Decoupled downlink-uplink coverage analysis with interference management for enriched heterogeneous cellular networks. IEEE Access 2016, 4, 6250–6260. [Google Scholar] [CrossRef]
- Sial, M.N.; Ahmed, J. A realistic uplink–downlink coupled and decoupled user association technique for K-tier 5G HetNets. Arabian J. Sci. Eng. 2019, 44, 2185–2204. [Google Scholar] [CrossRef]
- Gecgel, S.; Goztepe, C.; Kurt, G.K. Jammer detection based on artificial neural networks: A measurement study. In Proceedings of the ACM Workshop on Wireless Security and Machine Learning, Miami, FL, USA, 15–17 May 2019; pp. 43–48. [Google Scholar]
- Zhang, L.; Restuccia, F.; Melodia, T.; Pudleswki, S.M. Jam sessions: Analysis and experimental evaluation of advanced jamming attacks in MIMO networks. arXiv 2019, arXiv:1904.07613. [Google Scholar]
- Do, T.T.; Björnson, E.; Larsson, E.G.; Razavizadeh, S.M. Jamming-resistant receivers for the massive MIMO uplink. IEEE Trans. Inf. Forensics Secur. 2017, 13, 210–223. [Google Scholar] [CrossRef]
- Tseng, S.M.; Chen, Y.F.; Chiu, P.H.; Chi, H.C. Jamming resilient cross-layer resource allocation in uplink HARQ-based SIMO OFDMA video transmission systems. IEEE Access 2017, 5, 24908–24919. [Google Scholar] [CrossRef]
- Girke, F.; Kurtz, F.; Dorsch, N.; Wietfeld, C. Towards resilient 5G: Lessons learned from experimental evaluations of LTE uplink jamming. arXiv 2019, arXiv:1903.10947. [Google Scholar]
- Haroon, M.S.; Abbas, Z.H.; Abbas, G.; Muhammad, F. Analysis of interference mitigation in heterogeneous cellular networks using soft frequency reuse and load balancing. In Proceedings of the IEEE 28th International Telecommunication Networks and Applications Conference (ITNAC), Sydney, Australia, 21–23 November 2018; pp. 1–6. [Google Scholar]
- Muhammad, F.; Abbas, Z.H.; Li, F.Y. Cell association with load balancing in nonuniform heterogeneous cellular networks: Coverage probability and rate analysis. IEEE Trans. Veh. Technol. 2017, 66, 5241–5255. [Google Scholar] [CrossRef]
- Muhammad, F.; Abbas, Z.H.; Jiao, L. Analysis of interference avoidance with load balancing in heterogeneous cellular networks. In Proceedings of the IEEE 27th Annual International Symposium on Personal, Indoor, and Mobile Radio Communications (PIMRC), Valencia, Spain, 4–8 September 2016; pp. 1–6. [Google Scholar]
- Zou, S.; Liu, N.; Pan, Z.; You, X. Joint power and resource allocation for non-uniform topologies in heterogeneous networks. In Proceedings of the IEEE 83rd Vehicular Technology Conference (VTC Spring), Nanjing, China, 15–18 May 2016; pp. 1–5. [Google Scholar]
- Han, T.; Gong, J.; Liu, X.; Islam, S.R.; Li, Q.; Bai, Z.; Kwak, K.S. On downlink NOMA in heterogeneous networks with non-uniform small cell deployment. IEEE Access 2018, 6, 31099–31109. [Google Scholar] [CrossRef]
- Błaszczyszyn, B.; Haenggi, M.; Keeler, P.; Mukherjee, S. Stochastic Geometry Analysis of Cellular Networks; Cambridge University Press: Cambridge, UK, 2018. [Google Scholar]
- Jiang, X.; Zheng, B.; Zhu, W.P.; Wang, L.; Zou, Y. Large system analysis of heterogeneous cellular networks with interference alignment. IEEE Access 2018, 6, 8148–8160. [Google Scholar] [CrossRef]
- Haider, A.; Hwang, S.H. Maximum transmit power for UE in an LTE small cell uplink. Electronics 2019, 8, 796. [Google Scholar] [CrossRef]
- Haider, A.; Sinha, R.S.; Hwang, S.H. Investigation of open-loop transmit power control parameters for homogeneous and heterogeneous small-cell uplinks. ETRI J. 2018, 40, 51–60. [Google Scholar] [CrossRef]
- Hernandez-Aquino, R.; Zaidi, S.A.R.; McLernon, D.; Ghogho, M. Modelling and performance evaluation of non-uniform two-tier cellular networks through Stienen model. In Proceedings of the IEEE International Conference on Communications (ICC), Kuala Lumpur, Malaysia, 22–27 May 2016; pp. 1–6. [Google Scholar]
- Haenggi, M. Stochastic Geometry for Wireless Networks; Cambridge University Press: Cambridge, UK, 2012. [Google Scholar]
- Haroon, M.S.; Abbas, Z.H.; Muhammad, F.; Abbas, G. Coverage analysis of cell-edge users in heterogeneous wireless networks using Stienen’s model and RFA scheme. Int. J. Commun. Syst. 2019, e4147. [Google Scholar] [CrossRef]
- Haroon, M.S.; Abbas, Z.H.; Abbas, G.; Muhammad, F. Coverage analysis of ultra-dense heterogeneous cellular networks with interference management. Wirel. Netw. 2019. [Google Scholar] [CrossRef]
- Haroon, M.S.; Abbas, Z.H.; Muhammad, F.; Abbas, G. Analysis of coverage-oriented small base station deployment in heterogeneous cellular networks. Phys. Comm. 2019, 38, 100908. [Google Scholar] [CrossRef]










| Notation | Description | Unit |
|---|---|---|
| , , , | IHPPPs of MBSs, SBSs, users, | |
| and WBJs, respectively | ||
| SIR threshold | dB | |
| Radius of and , respectively | m | |
| , | Density of MBSs and WBJs, | |
| respectively | ||
| SBS density due to RFA | ||
| and no-RFA, respectively | ||
| Path loss exponent, , | ||
| and | ||
| , | Coverage region of MBS and SBS, | |
| respectively, s.t., | ||
| Typical user | ||
| Denotes RFA employment | ||
| Ratio of | ||
| Ratio of | ||
| Ratio of | ||
| Ratio of |
| Parameter | Configuration |
|---|---|
| MBS, SBS, and WBJs distribution | IHPPP |
| Code iterations | 1000 |
| Channel bandwidth | 10 MHz |
| 300 and 500 m, | |
| respectively | |
| 15/ | |
| 3/ | |
| 15/ | |
| , , , | 60 dBm, 40 dBm, 20 dBm, |
| and 20 dBm, respectively | |
| = = | 2 < ≤ 4 |
© 2019 by the authors. Licensee MDPI, Basel, Switzerland. This article is an open access article distributed under the terms and conditions of the Creative Commons Attribution (CC BY) license (http://creativecommons.org/licenses/by/4.0/).
Share and Cite
Abbas, Z.H.; Abbas, G.; Haroon, M.S.; Muhammad, F.; Kim, S. Proactive Uplink Interference Mitigation in HetNets Stressed by Uniformly Distributed Wideband Jammers. Electronics 2019, 8, 1496. https://doi.org/10.3390/electronics8121496
Abbas ZH, Abbas G, Haroon MS, Muhammad F, Kim S. Proactive Uplink Interference Mitigation in HetNets Stressed by Uniformly Distributed Wideband Jammers. Electronics. 2019; 8(12):1496. https://doi.org/10.3390/electronics8121496
Chicago/Turabian StyleAbbas, Ziaul Haq, Ghulam Abbas, Muhammad Sajid Haroon, Fazal Muhammad, and Sunghwan Kim. 2019. "Proactive Uplink Interference Mitigation in HetNets Stressed by Uniformly Distributed Wideband Jammers" Electronics 8, no. 12: 1496. https://doi.org/10.3390/electronics8121496
APA StyleAbbas, Z. H., Abbas, G., Haroon, M. S., Muhammad, F., & Kim, S. (2019). Proactive Uplink Interference Mitigation in HetNets Stressed by Uniformly Distributed Wideband Jammers. Electronics, 8(12), 1496. https://doi.org/10.3390/electronics8121496

