Efficient Iterative Process Based on an Improved Genetic Algorithm for Decoupling Capacitor Placement at Board Level
Abstract
1. Introduction
2. The Iterative Optimization Algorithm
2.1. Review of the Current GA Optimization
2.2. Iterative Approach based on an Improved Genetic Algorithm
3. The PDN and Optimization Results
3.1. The PDN Structure
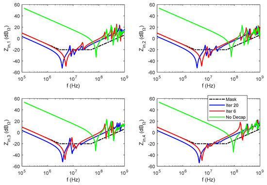
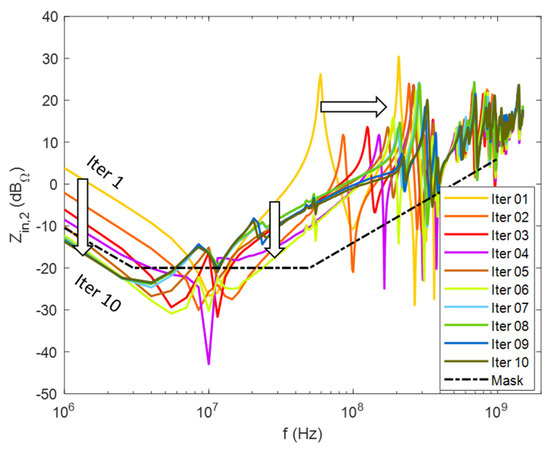
3.2. Optimization Results
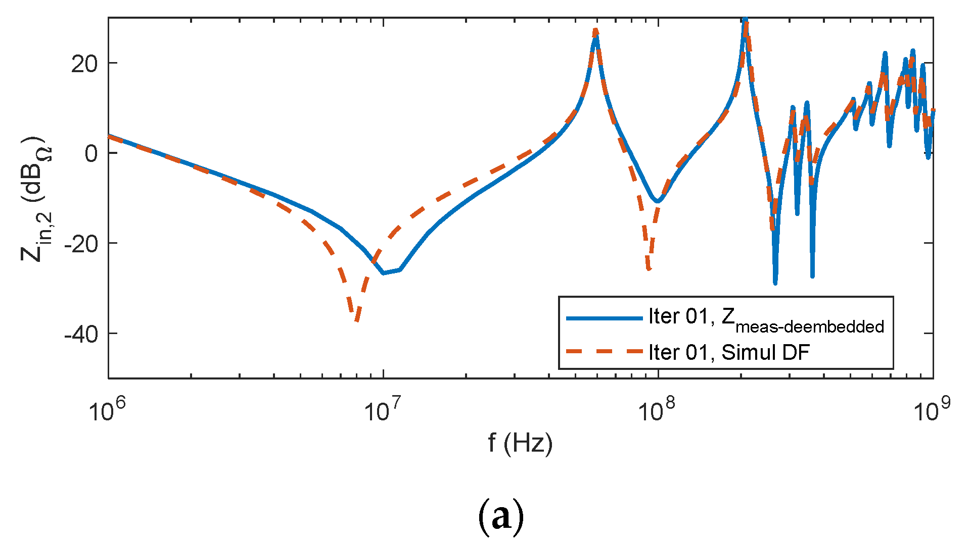
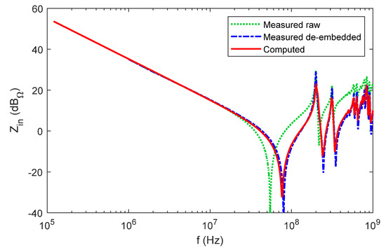
4. Experimental Validation
5. Conclusions
Author Contributions
Funding
Acknowledgments
Conflicts of Interest
References
- Armstrong, C. Debug and analysis considerations for optimizing signal integrity in your internet of things design. In Proceedings of the IEEE International Symposium on Electromagnetic Compatibility & Signal/Power Integrity (EMCSI), Washington, DC, USA, 7–11 August 2017; pp. 20–24. [Google Scholar]
- Nadal, J.; Nour, C.A.; Baghdadi, A. Flexible and efficient hardware platform and architectures for waveform design and proof-of-concept in the context of 5G. AEU Int. J. Electron. Commun. 2018, 97, 85–93. [Google Scholar] [CrossRef]
- Bhoyar, P.; Dhok, S.; Deshmukh, R. Hardware implementation of secure and lightweight Simeck32/64 cipher for IEEE 802.15.4 transceiver. AEU Int. J. Electron. Commun. 2018, 90, 147–154. [Google Scholar] [CrossRef]
- Swaminathan, M.; Han, K.J. Design and Modeling for 3D ICs and Interposers; World Sci.: Singapore, 2014. [Google Scholar]
- Archambeault, B.R. PCB Design for Real-World EMI Control; Springer Science and Business Media LLC: New York, NY, USA, 2002. [Google Scholar]
- Hall, S.H.; Heck, H.L. Advanced Signal Integrity for High-Speed Digital Designs; Wiley: Hoboken, NJ, USA, 2009. [Google Scholar]
- Wiklundh, K.; Stenumgaard, P. EMC challenges for the internet of things. In Proceedings of the International Symposium on Electromagnetic Compatibility EMC EUROPE, Angers, France, 4–7 September 2017; pp. 1–6. [Google Scholar]
- Smith, L.D.; Bogatin, E. Principles of Power Integrity for PDN Design; Prentice-Hall: New York, NY, USA, 2016. [Google Scholar]
- Zamek, I.; Boyle, P.; Li, Z.; Sun, S.; Chen, X.; Chandra, S.; Li, T. Modeling FPGA current waveform and spectrum and PDN noise estimation. In Proceedings of the DesignCon, Santa Clara, CA, USA, 4–7 February 2008. [Google Scholar]
- Orlandi, A.; Archambeault, B.; de Paulis, F.; Connor, S. Electromagnetic Bandgap (EBG) Structures: Common Mode Filters for High Speed Digital Systems; IEEE Press/Wiley: New York, NY, USA, 2017. [Google Scholar]
- Wu, T.; Chuang, H.; Wang, T. Overview of Power Integrity Solutions on Package and PCB: Decoupling and EBG Isolation. IEEE Trans. Electromagn. Compat. 2010, 52, 346–356. [Google Scholar] [CrossRef]
- Yang, S.; Cao, Y.S.; Ma, H.; Cho, J.; Ruehli, A.E.; Drewniak, J.L.; Li, E. PCB PDN Prelayout Library for Top-Layer Inductance and the Equivalent Model for Decoupling Capacitors. IEEE Trans. Electromagn. Compat. 2018, 60, 1898–1906. [Google Scholar] [CrossRef]
- Zhang, L.; Zhang, Z.; Huang, C.; Deng, H.; Lin, H.; Tseng, B.-C.; Drewniak, J.; Hwang, C. Decoupling Capacitor Selection Algorithm for PDN Based on Deep Reinforcement Learning. In Proceedings of the IEEE International Symposium on Electromagnetic Compatibility, Signal & Power Integrity (EMC+SIPI), New Orleans, LA, USA, 22–26 July 2019; Institute of Electrical and Electronics Engineers (IEEE): Piscataway, NJ, USA, 2019; pp. 616–620. [Google Scholar]
- Piersanti, S.; Cecchetti, R.; Olivieri, C.; De Paulis, F.; Orlandi, A.; Buecker, M. Decoupling Capacitors Placement at Board Level Adopting a Nature-Inspired Algorithm. Electronics 2019, 8, 737. [Google Scholar] [CrossRef]
- Barnes, H.; Sandler, S. Decoupling Capacitor Optimization for Flat Z PCB Power Distribution Networks. In Proceedings of the IEEE Symposium on Electromagnetic Compatibility, Signal Integrity and Power Integrity (EMC, SI & PI), Long Beach, CA, USA, 30 July–3 August 2018; p. 1. [Google Scholar]
- Shringarpure, K.; Zhao, B.; Wei, L.; Archambeault, B.; Ruehli, A.; Cracraft, M.; Cocchini, M.; Wheeler, E.; Fan, J.; Drewniak, J. On finding the optimal number of decoupling capacitors by minimizing the equivalent inductance of the PCB PDN. In Proceedings of the IEEE International Symposium on Electromagnetic Compatibility (EMC), Raleigh, NC, USA, 4–8 August 2014; pp. 218–223. [Google Scholar]
- Erdin, I.; Achar, R. Multipin Optimization Method for Placement of Decoupling Capacitors Using a Genetic Algorithm. IEEE Trans. Electromagn. Compat. 2018, 60, 1662–1669. [Google Scholar] [CrossRef]
- Kadlec, P.; Marek, M.; Štumpf, M.; Šeděnka, V. PCB Decoupling Optimization with Variable Number of Capacitors. IEEE Trans. Electromagn. Compat. 2018, 1–8. [Google Scholar] [CrossRef]
- Su, H.; Sapatnekar, S.S.; Nassif, S.R. Optimal decoupling capacitor sizing and placement for standard-cell layout designs. IEEE Trans. Comput. Aided Des. Integr. Circuits Syst. 2003, 22, 428–436. [Google Scholar] [CrossRef]
- Wang, X.; Cai, Y.; Zhou, Q.; Tan, S.X.D.; Eguia, T. Decoupling capacitance efficient placement for reducing transient power supply noise. In Proceedings of the IEEE/ACM International Conference on Computer—Aided Design—Digest of Technical Papers, San Jose, CA, USA, 2–5 November 2009; pp. 745–751. [Google Scholar]
- Han, G. Simple and fast method of on-board decoupling capacitor selection and placement. In Proceedings of the IEEE Electrical Design of Advanced Packaging and Systems Symposium (EDAPS), Haining, China, 14–16 December 2017; Institute of Electrical and Electronics Engineers (IEEE): Piscataway, NJ, USA, 2017; pp. 1–3. [Google Scholar]
- Piersanti, S.; de Paulis, F.; Olivieri, C.; Orlandi, A. Decoupling Capacitors Placement for a Multichip PDN by a Nature-Inspired Algorithm. IEEE Trans. Electromagn. Compat. 2018, 60, 1678–1685. [Google Scholar] [CrossRef]
- Kim, J.; Wu, S.; Wang, H.; Takita, Y.; Takeuchi, H.; Araki, K.; Feng, G.; Fan, J. Improved target impedance and IC transient current measurement for power distribution network design. In Proceedings of the IEEE International Symposium on Electromagnetic Compatibility, Fort Lauderdale, FL, USA, 25–30 July 2010; pp. 445–450. [Google Scholar]
- Sun, Y.; Kim, J.; Hwang, C. Jitter-Aware Target Impedance. In Proceedings of the IEEE International Symposium on Electromagnetic Compatibility, Signal & Power Integrity (EMC+SIPI), New Orleans, LA, USA, 22–26 July 2019; pp. 217–222. [Google Scholar]
- Xu, J.; Bai, S.; Nalla, K.; Sapozhnikov, M.; Drewniak, J.L.; Hwang, C.; Fan, J. Power Delivery Network Optimization Approach using an Innovative Hybrid Target Impedance. In Proceedings of the IEEE International Symposium on Electromagnetic Compatibility, Signal & Power Integrity (EMC+SIPI), New Orleans, LA, USA, 22–26 July 2019; Institute of Electrical and Electronics Engineers (IEEE): Piscataway, NJ, USA, 2019; pp. 211–216. [Google Scholar]
- Patnaik, S.; Yang, X.; Nakamatsu, K. Nature-Inspired Computing and Optimization; Springer: Zurich, Switzerland, 2016. [Google Scholar]
- Koziel, S.; Leifsson, L.; Yang, X. Simulation-Driven Modeling and Optimization; Springer: Zurich, Switzerland, 2016. [Google Scholar]
- Günel, T.; Aydemir, M.E. Application of Continuous Parameter Genetic Algorithm to the Problem of Synthesizing Bandpass Distributed Amplifiers. AEU Int. J. Electron. Commun. 2002, 56, 351–354. [Google Scholar] [CrossRef]
- Haupt, R.L.; Werner, D.H. Genetic Algorithms in Electromagnetics; Wiley: Hoboken, NJ, USA, 2007. [Google Scholar]
- Mostafa, S.S.; Horta, N.; Ravelo-García, A.G.; Morgado-Dias, F. Analog active filter design using a multi objective genetic algorithm. AEU Int. J. Electron. Commun. 2018, 93, 83–94. [Google Scholar] [CrossRef]
- Kaya, T.; Guler, H. A hybrid genetic algorithm for analog active filter component selection. AEU Int. J. Electron. Commun. 2018, 86, 1–7. [Google Scholar] [CrossRef]
- Imani, M.; Pakizeh, E.; Saraee, M. Improving Genetic Algorithm with the Help of Novel Twin Removal Method. In Proceedings of the Tenth IASTED International Conference on Artificial Intelligence and Applications, Innsbruck, Austria, 15–17 February 2010; pp. 16–21. [Google Scholar]
- Hoque, M.T.; Chetty, M.; Dooley, L.S. Generalized Schemata Theorem Incorporating Twin Removal for Protein Structure Prediction. In Computer Vision–ECCV 2012; Springer Science and Business Media LLC: New York, NY, USA, 2007; pp. 84–97. [Google Scholar]
- Zuken, Design Force User Manual. Available online: https://www.zuken.com/it/products/pcb-design/cr-8000/products/design-force 69 (accessed on 2 September 2019).
- Haupt, R.L.; Haupt, S.E. Practical Genetic Algorithms, 2nd ed.; Wiley: New York, NY, USA, 2004. [Google Scholar]
- TDK. Available online: https://product.tdk.com/en/search/capacitor/ceramic/mlcc/characteristic/ (accessed on 4 February 2019).
- Advanced Design System (ADS). Available online: www.keysight.com/en/pc-1297113/advanced-design-system-ads (accessed on 2 November 2018).
- IEEE Standard P1597. Standard for Validation of Computational Electromagnetics Computer Modeling and Simulation—Part 1; IEEE: Piscataway, NY, USA, February 2008. [Google Scholar]
- Duffy, A.; Martin, A.; Orlandi, A.; Antonini, G.; Benson, T.; Woolfson, M. Feature Selective Validation (FSV) for Validation of Computational Electromagnetics (CEM). Part I—The FSV Method. IEEE Trans. Electromagn. Compat. 2006, 48, 449–459. [Google Scholar] [CrossRef]
- Orlandi, A.; Duffy, A.; Archambeault, B.; Antonini, G.; Coleby, D.; Connor, S.; Duffy, A. Feature Selective Validation (FSV) for Validation of Computational Electromagnetics (CEM). Part II—Assessment of FSV Performance. IEEE Trans. Electromagn. Compat. 2006, 48, 460–467. [Google Scholar] [CrossRef]















| Parameter | Product Number | C (nF) | ESL (pH) | ESR (m) |
|---|---|---|---|---|
| C1 | C0510X5R1C104M030AC | 100 | 222 | 8.9 |
| C2 | C0816X5R1C473M050AC | 47 | 154 | 21.4 |
| C3 | C0816X5R1C223M050AC | 22 | 142 | 25.2 |
© 2019 by the authors. Licensee MDPI, Basel, Switzerland. This article is an open access article distributed under the terms and conditions of the Creative Commons Attribution (CC BY) license (http://creativecommons.org/licenses/by/4.0/).
Share and Cite
de Paulis, F.; Cecchetti, R.; Olivieri, C.; Piersanti, S.; Orlandi, A.; Buecker, M. Efficient Iterative Process Based on an Improved Genetic Algorithm for Decoupling Capacitor Placement at Board Level. Electronics 2019, 8, 1219. https://doi.org/10.3390/electronics8111219
de Paulis F, Cecchetti R, Olivieri C, Piersanti S, Orlandi A, Buecker M. Efficient Iterative Process Based on an Improved Genetic Algorithm for Decoupling Capacitor Placement at Board Level. Electronics. 2019; 8(11):1219. https://doi.org/10.3390/electronics8111219
Chicago/Turabian Stylede Paulis, Francesco, Riccardo Cecchetti, Carlo Olivieri, Stefano Piersanti, Antonio Orlandi, and Markus Buecker. 2019. "Efficient Iterative Process Based on an Improved Genetic Algorithm for Decoupling Capacitor Placement at Board Level" Electronics 8, no. 11: 1219. https://doi.org/10.3390/electronics8111219
APA Stylede Paulis, F., Cecchetti, R., Olivieri, C., Piersanti, S., Orlandi, A., & Buecker, M. (2019). Efficient Iterative Process Based on an Improved Genetic Algorithm for Decoupling Capacitor Placement at Board Level. Electronics, 8(11), 1219. https://doi.org/10.3390/electronics8111219

