Geometrical-Based Modeling for Aerial Intelligent Reflecting Surface-Based MIMO Channels
Abstract
1. Introduction
- A novel geometric narrowband MIMO channel model is proposed for AIRS-assisted communication. This model is uniquely capable of rigorously characterizing diverse and dynamic channel conditions, being configurable through parameters encompassing AIRS height, AIRS velocity, and the Rx scattering environment. This directly addresses the deficiency of existing models in handling co-mobility and dynamic environments.
- To maximize the achievable rate, a joint optimization problem is formulated, involving the optimization of the transmitted signal’s covariance matrix and the IRS phase shifts. An iterative projected gradient method (PGM) is proposed to tackle this challenging non-convex problem. This algorithm is distinguished by its meticulously derived exact closed-form expressions for the gradient and projection, and notably, it guarantees provable convergence to a critical point of the considered problem, thereby overcoming the limitations of slow convergence in dynamic scenarios.
- Key channel statistical properties, including the space–time correlation function and Doppler power spectrum, are derived and extensively investigated to characterize channel behavior. This analysis specifically addresses the impact of parameters such as Rician factor, carrier frequency, and Rx velocity, providing a deeper understanding of the complex channel dynamics under AIRS assistance. Furthermore, the achievable rate of the entire link is evaluated.
2. Three-Dimensional Simulation Model
2.1. One-Cylinder Scattering Model
2.2. Derivation of the Channel Model
3. Phase Shifts Optimization
3.1. Problem Formulation
3.2. Algorithm Design
3.2.1. PGM Framework
3.2.2. Gradient Computation and Projection Operations
3.2.3. Convergence Acceleration via Data Scaling
3.2.4. Computational Complexity Analysis
- Effective Channel Matrix Computation: The formation of the effective channel matrix is dominated by the matrix multiplication . This step requires approximately operations. The computation of the auxiliary matrix involves forming and a subsequent matrix inversion. This has a complexity of for the multiplications and for the inversion of the matrix.
- Gradient Calculation: The gradient with respect to , , requires matrix multiplications of the order ; The gradient with respect to , , involves a chain of matrix multiplications with a dominant complexity of approximately .
- Projection Operations: The projection of the phase-shift vector onto the unit-modulus set is an element-wise operation, requiring only operations, which is computationally inexpensive. The projection of the covariance matrix onto the positive semi-definite cone with a power constraint is equivalent to a water-filling procedure. This is dominated by the eigenvalue decomposition of the matrix, which has a complexity of .
| Algorithm 1 Proposed PGM with data scaling |
| Input: , , , , , , , , . |
Output: , .
|
4. Statistical Characteristics of the AIRS-Assisted MIMO Channel
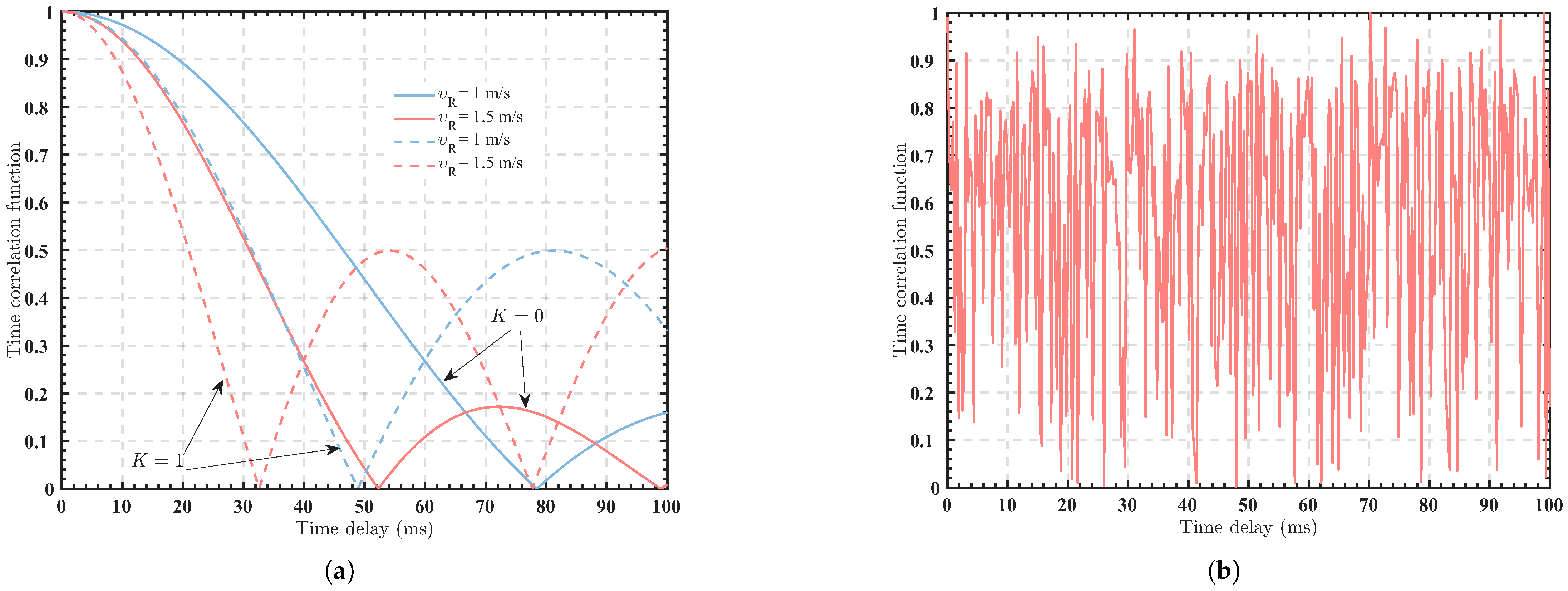
4.1. Space–Time Correlation Function
4.2. Doppler Power Spectrum
5. Numerical Results
6. Conclusions
Author Contributions
Funding
Data Availability Statement
Conflicts of Interest
References
- Saleh, S.; Zheng, P.; Liu, X.; Chen, H.; Keskin, M.F.; Priyanto, B.; Beale, M.; Ettefagh, Y.; Seco-Granados, G.; Al-Naffouri, T.Y.; et al. Integrated 6G TN and NTN localization: Challenges, opportunities, and advancements. IEEE Commun. Stand. Mag. 2025, 9, 63–71. [Google Scholar] [CrossRef]
- Liu, Z.; Zhang, J.; Liu, Z.; Du, H.; Wang, Z.; Niyato, D.; Guizani, M.; Ai, B. Cell-free XL-MIMO meets multi-agent reinforcement learning: Architectures, challenges, and future Directions. IEEE Wirel. Commun. 2024, 31, 155–162. [Google Scholar] [CrossRef]
- Giambene, G.; Addo, E.O.; Chen, Q.; Kota, S. Design and analysis of low-power IoT in remote areas with NTN opportunistic connectivity. IEEE Trans. Aerosp. Electron. Syst. 2025, 61, 2309–2328. [Google Scholar] [CrossRef]
- Zheng, J.; Zhang, J.; Cheng, J.; Leung, V.C.; Ng, D.W.K.; Ai, B. Asynchronous cell-free massive MIMO with rate-splitting. IEEE J. Sel. Areas Commun. 2023, 41, 1366–1382. [Google Scholar] [CrossRef]
- Wang, H.; Zhang, J.; Hu, Z.; Zhang, Z.; Tian, L.; Niu, K.; Wang, F.; Zhang, X. Achieving wireless cable testing for MIMO devices with a novel condition number reduction method. IEEE Trans. Antennas Propag. 2025, 73, 10613–10623. [Google Scholar] [CrossRef]
- Wang, H.; Zhang, J.; Hu, Z.; Zhang, Z.; Niu, K.; Zhang, X.; Wang, F.; Fan, W. A novel wireless cable method for high-order MIMO device testing based on maximum RSRP measurement. IEEE Trans. Antennas Propag. 2025, 73, 10650–10664. [Google Scholar] [CrossRef]
- Shi, E.; Zhang, J.; An, J.; Zhang, G.; Liu, Z.; Yuen, C.; Ai, B. Joint AP-UE association and precoding for SIM-aided cell-free massive MIMO systems. IEEE Trans. Wirel. Commun. 2025, 24, 5352–5367. [Google Scholar] [CrossRef]
- Xu, Y.; Wang, S. Efficient federated learning algorithm design for distributed channel estimation in cell-free massive MIMO systems. IEEE Trans. Commun. 2025, 73, 7899–7913. [Google Scholar] [CrossRef]
- Pei, J.; Dai, M.; Al-Dulaimi, A.; Al-Rubaye, S.; Mumtaz, S. Task-oriented communication and optimization framework for 6G non-terrestrial networks: Challenges and solutions. IEEE Commun. Mag. 2025, 63, 138–144. [Google Scholar] [CrossRef]
- Chen, W.; Wen, C.K.; Li, X.; Jin, S. Channel customization for joint Tx-RISs-Rx design in hybrid mmWave systems. IEEE Trans. Wirel. Commun. 2023, 22, 8304–8319. [Google Scholar] [CrossRef]
- Chen, W.; Wen, C.K.; Tang, W.; Li, X.; Jin, S. Joint spatial division and multiplexing with customized orthogonal group channels in multi-RIS-assisted systems. IEEE Trans. Wirel. Commun. 2025, 24, 10675–10690. [Google Scholar] [CrossRef]
- Chen, W.; Han, Y.; Wen, C.K.; Li, X.; Jin, S. Channel customization for low-complexity CSI acquisition in multi-RIS-assisted MIMO systems. IEEE J. Sel. Areas Commun. 2025, 43, 851–866. [Google Scholar] [CrossRef]
- Ma, Z.; Liang, Y.; Zhu, Q.; Zheng, J.; Lian, Z.; Zeng, L.; Fu, C.; Peng, Y.; Ai, B. Hybrid-RIS-assisted cellular ISAC networks for UAV-enabled low-altitude economy via deep reinforcement learning with mixture-of-experts. IEEE Trans. Cognit. Commun. Netw. 2026, 12, 3875–3888. [Google Scholar] [CrossRef]
- Peng, Y.; Song, X.; Shen, R.; Song, T.; Gui, Z.; Yang, Y. SAAC: Soft-attention-actor-critic framework for deployment and beamforming of aerial intelligent reflecting surfaces. IEEE Trans. Mob. Comput. 2025. [Google Scholar] [CrossRef]
- Lyu, Y.; Yuan, Z.; Zhang, P.; Huang, Z.; Kyösti, P.; Fan, W. Large virtual antenna array-based empirical channel characterization for sub-THz indoor hall scenarios. IEEE Trans. Antennas Propag. 2025, 73, 2000–2011. [Google Scholar] [CrossRef]
- Jing, G.; Hong, J.; Yin, X.; José, R.-P.; Tong, Y.; Yu, Y.; Yu, Z. Measurement-based channel modeling for spatial non-stationarity with multipath components. IEEE Trans. Wirel. Commun. 2026, 25, 4530–4546. [Google Scholar] [CrossRef]
- Jing, G.; Hong, J.; Yin, X.; Rodríguez-Piñeiro, J.; Yu, Z. Measurement-based 3-d channel modeling with cluster-of-scatterers estimated under spherical-wave assumption. IEEE Trans. Wirel. Commun. 2023, 22, 5828–5843. [Google Scholar] [CrossRef]
- Lyu, Y.; Huang, Z.; Schwarz, S.; Han, C. Hybrid channel modeling and environment reconstruction for terahertz monostatic sensing. IEEE Trans. Wirel. Commun. 2025, 24, 8492–8504. [Google Scholar] [CrossRef]
- Lian, Z.; Zhang, W.; Wang, Y.; Su, Y.; Zhang, B.; Jin, B.; Wang, B. Physics-based channel modeling for IRS-assisted mmWave communication systems. IEEE Trans. Commun. 2024, 72, 2687–2700. [Google Scholar] [CrossRef]
- Huang, C.; Lian, Z.; Zhang, B.; Wang, Y.; Wang, B. A General Physics-Based IRS Auxiliary Channel Model for Wireless Communications. IEEE Wirel. Commun. Lett. 2024, 13, 796–800. [Google Scholar] [CrossRef]
- Sun, G.; He, R.; Song, Y.; Ai, B.; Cui, S.; Niu, Y.; Zhang, H.; Ma, Z.; Yuen, C. Analysis and comparison of narrowband channels with different phase shifts in RIS-aided communication systems. IEEE Antennas Wirel. Propag. Lett. 2023, 22, 2497–2501. [Google Scholar] [CrossRef]
- Sun, G.; He, R.; Ai, B.; Ma, Z.; Li, P.; Niu, Y.; Ding, J.; Fei, D.; Zhong, Z. A 3d wideband channel model for RIS-assisted MIMO communications. IEEE Trans. Veh. Technol. 2022, 71, 8016–8029. [Google Scholar] [CrossRef]
- Ma, Z.; Ai, B.; He, R.; Mi, H.; Yang, M.; Wang, N.; Zhong, Z.; Fan, W. Modeling and analysis of MIMO multipath channels with aerial intelligent reflecting surface. IEEE J. Sel. Areas Commun. 2022, 40, 3027–3040. [Google Scholar] [CrossRef]
- Ma, Z.; Ai, B.; He, R.; Yang, L.; Ma, S.; Sun, G.; Mi, H.; Luo, G. Outage analysis of aerial IRS aided MIMO systems under 3d geometrical MIMO channels. In Proceedings of the IEEE 98th Vehicular Technology Conference (VTC2023-Fall), Hong Kong, China, 10–13 October 2023; pp. 1–5. [Google Scholar]
- Lian, Z.; Lin, Z.; Wang, Y.; Su, Y.; Ling, L.; Luo, H. A novel beam channel model for AIRS-assisted mobile-to-mobile communication systems. IEEE IoT J. 2024, 11, 12307–12318. [Google Scholar] [CrossRef]
- Ma, N.; Liu, S.; Chen, J.; Qin, X.; Peng, K.; Zhang, K. A non-stationary channel model for aerial intelligent reflecting surface with 3D continuously arbitrary trajectory. IEEE Trans. Veh. Technol. 2025, 74, 2261–2275. [Google Scholar] [CrossRef]
- Wang, Z.; Bian, J.; Wang, C.-X.; Liu, Y.; Zhu, Q.; Mao, K. A novel aerial reconfigurable intelligent surface-assisted channel model incorporating the environmental effects. IEEE Trans. Veh. Technol. 2025. [Google Scholar] [CrossRef]
- Wang, Z.; Bian, J.; Wang, C.-X.; Liu, Y.; Tian, J. Aerial reconfigurable intelligent surface-assisted channel modeling incorporating the effect of UAV fluctuations. IEEE Commun. Lett. 2024, 28, 1599–1603. [Google Scholar] [CrossRef]
- Le, Y.; Lian, Z.; Wang, Y.; Ling, L.; Zu, C.; Zhang, B.; Hua, X. Performance analysis for extremely large-scale MIMO communication systems. IEEE Commun. Lett. 2026, 30, 917–921. [Google Scholar] [CrossRef]
- Miuccio, L.; Panno, D.; Riolo, S. A flexible encoding/decoding procedure for 6G SCMA wireless networks via adversarial machine learning techniques. IEEE Trans. Veh. Technol. 2023, 72, 1599–1603. [Google Scholar] [CrossRef]
- Zheng, J.; Zhang, J.; Du, H.; Zhang, R.; Niyato, D.; Dobre, O.A.; Ai, B. Rate-splitting for cell-free massive MIMO: Performance analysis and generative AI approach. IEEE Trans. Commun. 2025, 73, 2431–2447. [Google Scholar] [CrossRef]
- Xu, Y.; Ding, Z.; Cai, D.; Wong, V.W. QoS-aware NOMA design for downlink pinching-antenna systems. IEEE Trans. Commun. 2025, 73, 13611–13625. [Google Scholar] [CrossRef]
- Liu, Y.; Du, H.; Niyato, D.; Kang, J.; Xiong, Z.; Mao, S.; Zhang, P.; Shen, X. Cross-modal generative semantic communications for mobile AIGC: Joint semantic encoding and prompt engineering. IEEE Trans. Mob. Comput. 2024, 23, 14871–14888. [Google Scholar] [CrossRef]
- Liu, Y.; Liu, G.; Zhang, R.; Niyato, D.; Xiong, Z.; Kim, D.I.; Huang, K.; Du, H. Hallucination-aware optimization for large language model-empowered communications. IEEE Commun. Mag. 2026. [Google Scholar] [CrossRef]








| Reference | Model Type | Optimization Objective | Optimization Method | Precoding Design |
|---|---|---|---|---|
| [23] | Geometry-Based Stochastic Model | Received Signal | Phase Compensation | × |
| [24] | Geometry-Based Stochastic Model | Received Signal | Phase Compensation | × |
| [25] | Geometry-Based Stochastic Model | Received Signal | Phase Compensation | × |
| [26] | Cluster-Based Stochastic Model | Received Signal | Phase Compensation | × |
| [27] | Cluster-Based Stochastic Model | Received Signal | Phase Compensation | × |
| [28] | Cluster-Based Stochastic Model | Received Signal | Phase Compensation | × |
| This Work | Geometry-Based Stochastic Model | Achievable Rate | Convex Optimization | ✓ |
| Symbol | Definition |
|---|---|
| D | The horizontal distance from Tx to Rx. |
| The elevation angle from Tx to Rx. | |
| , , | Height of Tx, Rx, AIRS, respectively. |
| , | The number of antenna elements at Tx/Rx. |
| The radius of the cylinder which around Rx. | |
| The 3D distance from point a to point b. | |
| The elevation angle of AIRS. | |
| , | The distance of two adjacent antenna element at Tx/Rx. |
| The distance of two adjacent antenna element at AIRS. | |
| , | The azimuth angles between the antenna elements at Tx/Rx. |
| , | The elevation angles between the antenna elements at Tx/Rx. |
| , | The velocity of AIRS/Rx. |
| The elevation angle of AIRS moving direction. | |
| , | The azimuth angle of AIRS’s/Rx’s moving direction. |
| , | The AAoD/EAoD of the m-th scatterer. |
| , | The AAoA/EAoA of the m-th scatterer. |
| , | The AAoA/EAoA of the Tx–AIRS path. |
| , | The AAoD and AAoA of the AIRS–Rx path, respectively. |
| The random phase caused by the m-th scatterer. |
Disclaimer/Publisher’s Note: The statements, opinions and data contained in all publications are solely those of the individual author(s) and contributor(s) and not of MDPI and/or the editor(s). MDPI and/or the editor(s) disclaim responsibility for any injury to people or property resulting from any ideas, methods, instructions or products referred to in the content. |
© 2026 by the authors. Licensee MDPI, Basel, Switzerland. This article is an open access article distributed under the terms and conditions of the Creative Commons Attribution (CC BY) license.
Share and Cite
Ma, Z.; Lu, S.; Peng, Y.; Zhou, J.; Xu, J.; Luo, G.; Luo, M. Geometrical-Based Modeling for Aerial Intelligent Reflecting Surface-Based MIMO Channels. Electronics 2026, 15, 875. https://doi.org/10.3390/electronics15040875
Ma Z, Lu S, Peng Y, Zhou J, Xu J, Luo G, Luo M. Geometrical-Based Modeling for Aerial Intelligent Reflecting Surface-Based MIMO Channels. Electronics. 2026; 15(4):875. https://doi.org/10.3390/electronics15040875
Chicago/Turabian StyleMa, Zhangfeng, Shuaiqiang Lu, Yifei Peng, Jianhua Zhou, Jianming Xu, Gaofeng Luo, and Meimei Luo. 2026. "Geometrical-Based Modeling for Aerial Intelligent Reflecting Surface-Based MIMO Channels" Electronics 15, no. 4: 875. https://doi.org/10.3390/electronics15040875
APA StyleMa, Z., Lu, S., Peng, Y., Zhou, J., Xu, J., Luo, G., & Luo, M. (2026). Geometrical-Based Modeling for Aerial Intelligent Reflecting Surface-Based MIMO Channels. Electronics, 15(4), 875. https://doi.org/10.3390/electronics15040875
