Next Article in Journal
Efficient Optimization Method of the Meshed Return Plane Through Fusion of Convolutional Neural Network and Improved Particle Swarm Optimization
Previous Article in Journal
A Deep-Reinforcement-Learning-Based Multi-Source Information Fusion Portfolio Management Approach via Sector Rotation
 
 
Font Type:
Arial Georgia Verdana
Font Size:
Aa Aa Aa
Line Spacing:
Column Width:
Background:
Article

An Online Equivalent Series Resistance Estimation Method for Output Capacitor of Buck Converter Based on Inductor Current Ripple Fitting

School of Electrical and Automation, Nantong University, Nantong 226019, China
*
Author to whom correspondence should be addressed.
Electronics 2025, 14(5), 1037; https://doi.org/10.3390/electronics14051037
Submission received: 3 February 2025 / Revised: 3 March 2025 / Accepted: 4 March 2025 / Published: 5 March 2025

Abstract

A Buck converter in the DC microgrid is often used to transform high DC voltage to meet the requirements of low voltage loads, where electrolytic capacitors are commonly regarded as the most vulnerable components. A lot of studies have shown that equivalent series resistance (ESR) is the best health indicator for electrolytic capacitors, which means that it is significant to monitor the variation in ESR values for health evaluation. This paper presents a non-intrusive online ESR estimation method of the output capacitor for a Buck converter based on inductor current ripple fitting. In this method, only output voltage is sampled and inductor/capacitor current ripple is fitted by use of the characteristics of output voltage ripple. ESR calculation is implemented based on the orthogonality of the voltage ripple and the fitted current ripple, which has high-precision and anti-noise characteristics. Compared to existing methods, the proposed scheme does not require additional current sensors or high-precision trigger sampling devices, making it a cost-effective solution. Based on the proposed scheme, accurate ESR estimation is achieved for both continuous conduction mode (CCM) and discontinuous conduction mode (DCM). An experimental ESR monitoring system platform is built and experimental estimation results are provided to verify the effectiveness and the precision.

1. Introduction

With the expansion of the new global energy industry, a series of distributed renewable energy generation systems, including wind power generation and photovoltaic power generation, are thriving [1,2,3]. In DC microgrids, the reliability of power electronic converters has gradually become a research hotspot [4]. As shown in Figure 1, a Buck converter is mainly responsible for converting a high-voltage DC busbar into a low-voltage DC busbar to satisfy the demand of low-voltage loads [5,6]. Therefore, the reliability of the Buck converter is crucial to a DC microgrid system.
In a power system, electrolytic capacitors are often used for harmonic filtering, power decoupling and power smoothing. Although supercapacitors and lithium-ion batteries are used to replace electrolytic capacitors in some cases [7], electrolytic capacitors are still the most used capacitors in power electronic converters due to their small volume and low cost. Relevant research points out that the electrolytic capacitor is the weakest point of the reliability in power electronic converters [8,9]. With the evaporation of electrolytes, ESR will increase and the capacitance (C) will decrease gradually. These parametric degradations will cause an increase in current and voltage ripples in a power electronic system, resulting in more power loss, higher stress, and even a collapse of the entire system. Moreover, an energy supply system is usually located outdoors, and the harsh environment makes the electrolytic capacitor more prone to failure. These factors seriously limit the promotion and application of electrolytic capacitors in harsh environments. Therefore, real-time health monitoring of electrolytic capacitors in power electronic converters is necessary and has become an urgent problem to be solved.
C and ESR values have been generally acknowledged as two of the best health indicator parameters for electrolytic capacitors. In recent years, researchers have performed a lot of studies on the online extraction methods of ESR and C in power electronic converters [10,11,12,13]. According to the acquisition method of the used model, these methods can be classified into two categories: mechanism-model-based methods (MMMs) and data-driven-model-based methods (DDMMs). In MMMs, C or ESR values can be directly calculated by an explicit parameter calculation model, which is simple and easy to implement. In DDMMs, the model should be trained and tested by advanced intelligence techniques such as artificial intelligence (AI) and machine learning (ML), which require a lot of data and need a high computing power [14]. For these reasons, MMM is adopted in this paper. From the type of signal collected, MMMs can be further divided into two categories: (1) current-voltage-characteristic-based methods (CVCMs); (2) voltage-characteristic-based methods (VCMs).
In CVCMs, inductor/capacitor current and output voltage are detected simultaneously [15]. In order to measure capacitor current, additional current sensors such as the Rogowski coil are often introduced [16]. Since the parameters of capacitors are affected by frequency, a bandpass filter is usually required to obtain the voltage and current at a specific frequency. In ref. [17], a second-order generalized integrator (equivalent to a bandpass filter) is used to obtain the capacitor voltage and current components at the second harmonic frequency, and the corresponding impedance value is calculated to evaluate the health of the capacitor. In ref. [18,19], bandpass filters are used to calculate C and ESR values directly at switching frequency and second harmonic frequency, respectively. The disadvantages of these methods are that when the parameters at different frequencies need to be obtained, multiple bandpass filters need to be designed, and the non-ideal characteristics of the bandpass filters will lead to calculation errors. To avoid the use of bandpass filters, system efficiency is calculated to evaluate the health of capacitors in [20]. However, the accuracy of the evaluated results is not high due to many factors affecting the efficiency of the system. Since voltage and current sensors are both needed in CVCMs, an extra current sensor is often introduced, which increases the complexity and raise the cost.
In order to avoid the use of extra current sensors, VCMs are proposed. In VCMs, C and ESR values are estimated mainly based on several instantaneous values of output voltage. In ref. [21], C and ESR values are identified by sampling the output voltage value at a specific time for a Buck converter in CCM. Similarly, in ref. [22,23], this current sensor-less method is applied to a flyback converter in DCM and a Boost converter in CCM, respectively. In order to enlarge the application range, parameter calculation models in CCM and DCM are both derived for input capacitors of the DC photovoltaic system in [24], but the system still needs mode recognition and mode switching. In ref. [25], voltage jump is used for ESR calculation for the output capacitor of a Boost converter, but the calculation models in CCM and DCM are difficult to unify, which means that mode recognition is still needed. The disadvantages of these methods are as follows: (1) it is necessary to measure the output voltage values at several specific moments, so a high-precision trigger circuit is required, which also increases the system’s cost and complexity; and (2) the calculation models in CCM and DCM are different and difficult to unify.
To avoid extra current sensors in CVCMs and avoid extra high-precision trigger circuits in VCMs, this paper proposes an inductor current ripple fitting method. This method can obtain the inductor current ripple based on output voltage and inductance values without any extra sensors. With the fitted current ripple, an ESR estimation scheme is proposed based on the orthogonality of the voltage and current ripples, which is anti-noise and applicable to both CCM and DCM. This method has the advantages of both CVCMs and VCMs: ① Low cost, with no need for additional current sensors or high-precision trigger circuits. ② High universality, as the calculation model is suitable for both CCM and DCM. Finally, an experimental ESR monitoring system platform is created and experimental results are presented to validate the feasibility and accuracy of the proposed method.

2. Proposed ESR Estimation Scheme

2.1. Ripple Analysis and ESR Calculation Model

Electrolytic capacitors are often used as output capacitors of direct converters because of their low price and large capacity. In related studies, the electrolytic capacitor is usually equivalent to the equivalent circuit as shown in Figure 2a, where Cak is the ideal capacitance between the anode and cathode, Ls is the equivalent inductance, Rp is the equivalent parallel resistance generated by the loss of the oxide film, and Rs is the equivalent series resistance generated by the liner paper and electrolyte. Since power electronic converters usually work at a middle or at a low frequency (10 kHz–100 kHz), Ls can be ignored because the inductive impedance is very small at these frequencies. Generally, to simplify the research work, this circuit can be approximated to the normalized representation shown in Figure 2b [26], which is a series combination of an ESR which represents all the component losses and a capacitance C.
Replace the output capacitor with the simplified equivalent model, and the main circuit of a Buck converter considering capacitance parasitic parameters can be obtained as shown in Figure 3.
Usually, the input voltage is constant and the output voltage is kept constant through the voltage loop, so the inductor current changes in a linear fashion. In this case, the typical waveforms in CCM and DCM are listed in Figure 4a,b, respectively, where vg(t), iL(t), vESR(t), iC(t), vC(t), and vo(t) are the driving signal, the inductor current, the voltage across ESR, the capacitor current, the voltage across C, and the output voltage, respectively.
Actually, iL(t), vC(t) and vo(t) all contain both DC and AC components, so these signals can be decomposed as
i L ( t ) = I L + i L - ac ( t )
v C ( t ) = V C + v C - ac ( t )
v o ( t ) = V o + v o - ac ( t )
where IL, VC, Vo are the DC components and iL-ac(t), vC-ac(t), vo-ac(t) are the AC components.
As can be seen from Figure 3, the output voltage ripple of the Buck converter can be decomposed into two parts: capacitance voltage and resistance voltage:
v o - ac ( t ) = v ESR ( t ) + v C - ac ( t )
The load does not introduce a new current ripple component to the Buck circuit, so it can be considered that the capacitance current at this time is equal to the inductive ripple current [13,21]. At the same time, according to the voltammetry characteristics of the capacitor, the relationship between the two parts of the ripple is as follows:
C d v C - ac ( t ) d t = v ESR ( t ) ESR = i C ( t ) i L - ac ( t )
where iC(t) is the capacitive current. It can be seen that iL-ac(t) is closer to iC(t) while the load impedance is greater.
Since the signal iL-ac(t) contains only AC components and satisfies the Dirichlet condition, it can be written in the form of a Fourier series as follows:
i L - ac ( t ) = n = 1 ( a n cos ( 2 n π f s t ) + b n sin ( 2 n π f s t ) )
where fs is the frequency of the switch transistor driving signal, an is the coefficient of the cosine of n-fold frequency, and bn is the coefficient of the sine of n-fold frequency.
Substituting Equation (6) into Equation (5) can obtain
v C ac ( t ) = 1 2 n π f s C n = 1 ( a n sin ( 2 n π f s t ) b n cos ( 2 n π f s t ) )
It is easy to find that there is an orthogonal relationship between the AC component of the capacitor voltage and the AC component of the inductor current within a switching cycle; that is, the integral is equal to 0:
0 T i L - ac ( t ) v C - ac ( t ) d t = 1 2 n π f s C n = 1 0 1 f s [ a n 2 b n 2 2 sin ( 4 n π f s t ) a n b n cos ( 4 n π f s t ) ] = 0
Substituting Equation (4) into (8) can obtain
0 T i L - ac ( t ) v o ac ( t ) d t = 0 T i L - ac ( t ) ( v C - ac ( t ) + v ESR ( t ) ) d t = 0 T i L - ac ( t ) ( v C - ac ( t ) + ESR i L - ac ( t ) ) d t = ESR 0 T i L - ac 2 ( t ) d t
According to Equation (9), the calculation model for ESR can be derived as
ESR = 0 T i L - ac ( t ) v o - ac ( t ) d t 0 T i L - ac 2 ( t ) d t
It can be seen that the calculated ESR value is a comprehensive value under all of the switching harmonics. Moreover, it is well-known that any two different frequency signals are orthogonal; that is to say, noise does not affect Equation (10). According to Equation (10), by sampling the output voltage ripple and the inductor current ripple of the Buck converter, the ESR value of the output capacitor can be calculated. However, a high precision current sensor is often needed for iL-ac(t) extraction, which will lead to an increase in the system cost and complexity. In order to overcome these disadvantages, it is necessary to avoid the use of extra current sensors.

2.2. Proposed ESR Estimation Scheme Based on Current Fitting

To avoid the use of an extra current sensor, the VCMs sample the instantaneous values of the output voltage at specific moments to replace the current parameters. However, additional hardware circuits such as high-precision synchronous trigger sampling devices are needed. This section mainly focuses on iL-ac extraction through output voltage sampling.
In CCM, the inductor current iL(t) is shown in Figure 4a. When Q is turned on, iL(t) increases at a slope of (VinVo)/L. When Q is turned on, iL(t) decreases at a slope of −Vo/L. Therefore, the inductor current within a switching cycle can be expressed as
i L ( t ) = { V in V o L t D T ( V in V o ) 2 L + I o ,                     0 t < D T V o L t + V o L T D T ( V in - V o ) 2 L + I o ,           D T t < T
where Io is the average output current.
In DCM, the inductor current is shown in Figure 4b. In the range of [0, DT], Q is on, D is off, and iL(t) increases at a slope of (VinVo)/L. In the range of [D1T, D2T], Q is turned off, D is turned on, and iL(t) decreases at a slope of −Vo/L. Within the range of [D2T, T], the inductor current is zero. Therefore, the inductor current can be expressed as
i L ( t ) = { V in V o L t ,                 0 t < D 1 T V o L t + V in L D 1 T ,   D 1 T t < D 2 T                   0 ,                               D 2 T t < T
From (11) and (12), it can be found that the rise slope of iL(t) is (VinVo)/L and the fall slope of iL(t) is −Vo/L in both CCM and DCM, which means that the current variation can be calculated by Vin, Vo and L directly. Therefore, iL-ac(t) can be obtained by fitting once the turn-on and turn-off moments are known. Actually, the switching moments can be acquired based on the peak and valley points of vo(t). The proposed ESR estimation scheme is shown in Figure 5 and the representative waveforms in the fitting process of iL-ac(t) are shown in Figure 6.
The current fitting and ESR estimation processes are as follows:
(1)
Separate the DC and AC components of vo(t).
(2)
Extract the switching moments according to the peak and valley points of vo-ac(t) and obtain the logic signal G(t). The maximum point of vo-ac(t) in a duty cycle is extracted as the peak point and the minimum point of vo-ac(t) in a duty cycle is extracted as the valley point. To avoid noise interference and voltage spike caused by stray inductance, de-noising processing is used in experiments. G(t) is 1 when t is in the interval from the valley moment to the peak moment and G(t) is 0 when t is in the interval from the peak moment to the valley moment.
(3)
Obtain i′L(t) by the linear interpolation method based on the acquired moments. Set the initial current value to be zero and obtain the fitted current with the rise slope of (VinVo)/L and the fall slope of −Vo/L, which can be expressed as
  i L ( t ) = { V in V o L t G ( t ) = 1 I max V o L t G ( t ) = 0
where Imax is the maximum current when G(t) = 1.
(4)
Set the negative points in i′L(t) to be zero and obtain i″L(t), which can be expressed as
  i L ( t ) = { i L ( t ) i L ( t ) 0 0 i L ( t ) < 0
(5)
Obtain the AC component i′L-ac(t) through a high-pass filter.
(6)
Use i′L-ac(t) to replace iL-ac(t) in (10) and calculate the ESR value (i′L-ac(t) is the fitted iL-ac(t) through vo-ac(t)).
Only based on the output voltage, the proposed scheme can achieve online ESR calculation and has a unified calculation model for CCM and DCM. From the derivational process, it can be found that the proposed method is applicable to those converters in which almost all the inductive current AC components flow through the capacitor. Therefore, the proposed method is suitable for the output capacitor of Buck-derived converters such as a forward converter and the input capacitor of a Boost converter.

3. Simulation Study

To verify the proposed ESR estimation scheme for a Buck converter, this section conducts simulation research based on MATLAB and Simulink (R2016b). The specific parameters are listed in Table 1.
The ESR value is set based on the datasheet of CapXon 100 μF/100 V and the different values are used to study the effect of ESR changes. The input voltage, filter inductance, output capacitor values and switching frequency are designed to meet the voltage ripple requirements of 3% in all cases for a 24 V to 12 V supply. Further, 0.5 is the rated value of the duty cycle and 10 MHz is the maximum value of the sampling frequency. To verify the applicability of the proposed calculation model, the load resistance is set to 10 Ω and 100 Ω for CCM and DCM, respectively. For each measurement, ten switching cycles of data are sampled. Figure 7 shows the sampled output voltage AC component vo-ac, the sampled inductor current AC component iL-ac, and the fitted inductor current AC component i′L-ac.
As for the reason why the obtained output voltage is smaller than the actual value (filtering results in a little voltage loss), the calculated rising slope is a little larger and the calculated falling slope is a little smaller. Therefore, it can be seen from Figure 7 that the fitted i′L-ac has a larger rising slope and a smaller falling slope, which results in a sudden change in i′L-ac at the end of the cycle in CCM and a longer time to reach the third stage in DCM. The ESR calculation results in CCM and DCM are given in Table 2 and Table 3, respectively.
From Table 2 and Table 3, it can be seen that the ESR calculation error (e) based on iL-ac increases as ESR increases, which is caused by the ripple current of the load branch. Actually, the ripple current of the load branch increases with the increasing ESR, which will lead to greater error. However, the fitted current i′L-ac is closer to the capacitor current due to the smaller obtained output voltage. Therefore, the ESR calculation error based on i′L-ac decreases as ESR increases and a higher accuracy can be obtained in CCM. In general, a capacitor is regarded as having failed only when the ESR increases to 2 times the initial value [19] and from this point the calculation error of the proposed scheme is acceptable in all these cases.
In order to study the effect of sampling frequency on the calculation results, different sampling frequencies are adopted and the simulation results are listed in Table 4. It can be seen that the calculation accuracy increases as the sampling frequency increases. However, the increase in the sampling frequency will increase the hardware cost and increase the computation. Therefore, the sampling frequency should be reduced as much as possible under the premise of ensuring accuracy. For compromise, the sampling frequency can be designed at 10–50 times the switching frequency.

4. Experimental Results

In order to validate the feasibility and accuracy of the proposed method, an experimental platform of monitoring the output capacitor ESR for a Buck converter was developed in the laboratory, which is shown in Figure 8. The output voltage was collected by an oscilloscope and sent to a computer for processing. The algorithm was implemented on MATLAB.
The specific parameters of the built Buck converter are listed as follows: the input voltage is 30 V; the switching frequency is 30 kHz; the sampling frequency is 750 kHz; the switch tube model is IRFP4110 (Infineon, bought from Nanjing, China); the freewheeling diode model is C3D10060A (Cree, bought from Nanjing, China); the oscilloscope is InfiniiVision DSOX3024T (InfiniiVision, bought from Nanjing, China); the load resistances are 20 Ω, 200 Ω and 500 Ω, respectively; the inductance is 263 µH; the capacitor is 100 μF/400 V; and the initial ESR value (i.e., ESR1) measured by LCR bridge UC2858A (Ucetech, bought from Changzhou, China) at 30 kHz is 0.5228 Ω. Then, 0.1 Ω and 0.2 Ω patch resistors are connected in series with the capacitor to form ESR2 and ESR3; namely, ESR2 is 0.6228 Ω and ESR3 is 0.7228 Ω.
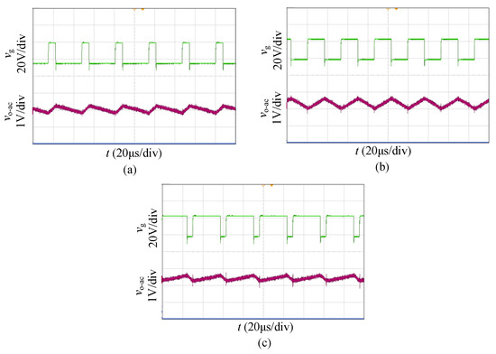
Figure 9 and Figure 10 show the experimental waveforms of driving signal vg and sampled output voltage AC component vo-ac in CCM and DCM, respectively. Based on the proposed method, the inductor current AC component is fitted and ESR is calculated. Take the calculated average of several cycles as the final calculation result. For a Buck converter, the output voltage is equal to DVin, which means it has different values with different duty cycles. To study the effect of output voltage on the calculation accuracy, the calculation results under different duty cycles in CCM while Vin = 30 V and Ro = 20 Ω are collected and shown in Table 5. In DCM, the input voltage and the load resistance are both adjusted, and the calculation results are shown in Table 6.
From Table 5, it can be seen that both the duty cycle and the ESR value have little impact on the accuracy in CCM, and the average calculation error is 1.042%, with a maximum error of 2.659%. From Table 6, it can be seen that the input voltage and the output load also have little impact on the accuracy in DCM, and the average calculation error is 0.867%, with a maximum error of 1.975%. Compared to the simulation results, it can be seen that the experimental error is still greater though the output resistance is greater. In ideal conditions (other influencing factors, such as noise and temperature, are ignored), while the output resistance is greater, iL-ac is closer to iC and the calculation is more accurate. However, in the experimental results, sampling noise results in sampling error, leading to greater error. Nevertheless, the error is within acceptable limits.
To verify the influence of temperature on calculation accuracy, a temperature control plate is used to adjust the capacitor temperature to 30 °C, 40 °C, and 50 °C, respectively. The ESR values under different temperatures measured by the LCR bridge are 0.4847 Ω, 0.4402 Ω, and 0.3113 Ω. The experimental calculation results at different temperatures are shown in Table 7. It can be seen that the ESR values decrease with the increase in the temperature and increase with the increase in the load. The average calculation errors are 1.362% at 30 °C, 1.265% at 40 °C, and 1.202% at 50 °C, respectively, which are in an acceptable range.
It is important to note that the proposed method must be carried out without actuator or sensor faults. Once voltage sensor or actuator failures happen, the calculation results will be invalid. Overall, the proposed ESR estimation scheme has a high calculation accuracy under different conditions and the estimation error analysis is as follows:
(1)
The effect of input voltage and duty cycle is small and uncertain, which means that the proposed method is not affected by the input voltage and cycle.
(2)
The error increases as the load impedance decreases, which means that it is necessary to correct the results in suitable conditions.
(3)
Because the actual ESR value decreases as the temperature increases, the error is also influenced by temperature, but the relationship is uncertain.
According to the above results and analysis, there are some points that require attention when using this method in practice:
(1)
Because the ESR values decrease with the increase in temperature, it is necessary to correct the estimation results by detecting the capacitor temperature. That is to say, the measurement of capacitor temperature should be added for long-term stability and degradation monitoring.
(2)
The actual estimation result is the parallel resistance of Ro and ESR, so the estimation error is influenced by the load impedance. Though the load impedance is much greater than ESR, it is still necessary to correct the results if the load impedance is known.
(3)
Although the calculation model has high anti-noise ability, denoising means can be used to improve the accuracy, especially when the signal to noise ratio is very low.

5. Conclusions

This article proposes an ESR estimation scheme based on inductor current fitting for the output capacitor of a Buck converter. An online ESR calculation model for Buck converters has been established. The calculation model has good noise resistance and does not require additional denoising processing. A comprehensive comparison of the proposed scheme with existing methods is presented in Table 8.
The main advantages of the proposed method are as follows:
(1)
Compared to CVCMs, the proposed scheme needs no extra current sensor, which is more simple and results in a lower cost.
(2)
Compared to VCMs, the proposed scheme does not require additional trigger sampling devices and can be applicable to both CCM and DCM, which can achieve a lower cost and higher versatility.
The main disadvantages of the proposed method are as follows:
(1)
The sampling frequency is relatively high and therefore there is a requirement for hardware.
(2)
The inductor current ripple is fitted based on the input voltage and the filter inductance, which means that it is not suitable for those occasions where the input voltage or the inductance cannot be detected.
The experimental monitoring system platform has been established and verified, and the monitoring results have high computational accuracy.

Author Contributions

Writing—original draft preparation, L.R.; data collection and analysis, J.L.; writing—review and editing, M.J. funding acquisition, L.R. and M.J. All authors have read and agreed to the published version of the manuscript.

Funding

This research was supported in part by the Natural Science Foundation of Jiangsu Province under grant number BK20230616 and in part by the Start Fund of Talent Introduction under grant number 135435612074.

Data Availability Statement

Data are contained within the article.

Conflicts of Interest

The authors declare no conflicts of interest.

References

  1. Shi, T.; Zhou, H.; Shi, T.; Zhang, M. Research on energy management in hydrogen–electric coupled microgrids based on deep reinforcement learning. Electronics 2024, 13, 3389. [Google Scholar] [CrossRef]
  2. Liu, Z.; Xu, Y.; Zhang, C.; Elahi, H.; Zhou, X. A blockchain-based trustworthy collaborative power trading scheme for 5G-enabled social internet of vehicles. Digit. Commun. Netw. 2022, 8, 976–983. [Google Scholar] [CrossRef]
  3. Huang, Y.; Sun, Q.; Chen, Z.; Gao, D.W.; Pedersen, T.B.; Larsen, K.G.; Li, Y. Dynamic modeling and analysis for electricity-gas systems with electric-driven compressors. IEEE Trans. Smart Grid 2025. [Google Scholar] [CrossRef]
  4. Xu, M.; Shi, Y.; Xing, J.; Wang, J.; Liu, Z. Reliability calculation method of microgrid based on multi typical scene sampling. J. Electr. Power Sci. Technol. 2022, 37, 41–49. [Google Scholar]
  5. Albakri, M.; Darwish, A.; Twigg, P. A comprehensive review of dc/ac single-phase differential-mode inverters for low-power applications. Electronics 2024, 13, 2474. [Google Scholar] [CrossRef]
  6. Korompili, A.; Ekin, O.; Stevic, M.; Hagenmeyer, V.; Monti, A. Linear active disturbance rejection control-based voltage controller for buck and boost DC/DC converters in DC distribution grids. IEEE Access 2025, 13, 19085–19109. [Google Scholar] [CrossRef]
  7. Benavides, D.; Arévalo, P.; Tostado-Véliz, M.; Vera, D.; Escamez, A.; Aguado, J.A.; Jurado, F. An experimental study of power smoothing methods to reduce renewable sources fluctuations using supercapacitors and lithium-ion batteries. Batteries 2022, 8, 228. [Google Scholar] [CrossRef]
  8. Wu, Y.; Wang, Y.; Jiang, Y.; Lin, H. Fault prediction of DC/DC converter based on degradation of characteristic parameters. Chin. J. Entific Instrum. 2013, 34, 1380–1387. [Google Scholar]
  9. Yang, S.; Xiang, D.; Bryant, A.; Mawby, P.; Ran, L.; Tavner, P. Condition Monitoring for Device Reliability in Power Electronic Converters: A Review. IEEE Trans. Power Electron. 2010, 25, 2734–2752. [Google Scholar] [CrossRef]
  10. Wang, H.; Blaabjerg, F. Reliability of capacitors for dc-link applications in power electronic converters-an overview. IEEE Trans. Ind. Appl. 2014, 50, 3569–3578. [Google Scholar] [CrossRef]
  11. Agarwal, N.; Ahmad, M.W.; Anand, S. Quasi-online technique for health monitoring of capacitor in single-phase solar inverter. IEEE Trans. Power Electron. 2017, 33, 5283–5291. [Google Scholar] [CrossRef]
  12. Zhu, X.; Zhang, D.; Gao, W. Online Noninvasive Technique for Condition Monitoring of Capacitor in linear power supplies. IEEE Trans. Power Electron. 2021, 36, 8761–8773. [Google Scholar] [CrossRef]
  13. Ren, L.; Zhang, L.; Gong, C. ESR estimation schemes of output capacitor for buck converter from capacitor perspective. Electronics 2020, 9, 1596. [Google Scholar] [CrossRef]
  14. Zhao, S.; Blaabjerg, F.; Wang, H. An overview of artificial intelligence applications for power electronics. IEEE Trans. Power Electron. 2021, 36, 4633–4658. [Google Scholar] [CrossRef]
  15. Laadjal, K.; Bento, F.; Cardoso, A.J.M. On-line diagnostics of electrolytic capacitors in fault-tolerant LED lighting systems. Electronics 2022, 11, 1444. [Google Scholar] [CrossRef]
  16. Zhao, J.; Lei, W.; Wang, M.; Hu, L.; Yin, Y. An online monitoring method for DC busbar electrolytic capacitor bank based on optimized Rogowski coil current sampling. IEEE J. Emerg. Sel. Top. Power Electron. 2024, 12, 5579–5590. [Google Scholar] [CrossRef]
  17. Arya, A.; Ahmad, M.W.; Agarwal, N.; Anand, S. Capacitor impedance estimation utilizing dc-link voltage oscillations in single phase inverter. IET Power Electron. 2017, 10, 1046–1053. [Google Scholar] [CrossRef]
  18. Laadjal, K.; Sahraoui, M.; Cardoso, A.J.M.; Amaral, A.M.R. Online estimation of aluminum electrolytic-capacitors parameters using a modified Prony’s method. IEEE Trans. Ind. Appl. 2018, 54, 4764–4774. [Google Scholar] [CrossRef]
  19. Ghadrdan, M.; Peyghami, S.; Mokhtari, H.; Blaabjerg, F. Condition monitoring of DC-link electrolytic capacitor in back-to-back converters based on dissipation factor. IEEE Trans. Power Electron. 2022, 37, 9733–9744. [Google Scholar] [CrossRef]
  20. Agarwal, N.; Arya, A.; Ahmad, M.W.; Anand, S. Lifetime monitoring of electrolytic capacitor to maximize earnings from grid-feeding PV system. IEEE Trans. Ind. Electron. 2016, 63, 7049–7058. [Google Scholar] [CrossRef]
  21. Yao, K.; Tang, W.; Hu, W.; Lyu, J. A current-sensorless online ESR and C identification method for output capacitor of buck converter. IEEE Trans. Power Electron. 2015, 30, 6993–7005. [Google Scholar] [CrossRef]
  22. Yao, K.; Li, H.; Li, L.; Guan, C.; Li, L.; Zhang, Z.; Chen, J. A noninvasive online monitoring method of output capacitor’s C and ESR for DCM flyback converter. IEEE Trans. Power Electron. 2019, 34, 5748–5763. [Google Scholar] [CrossRef]
  23. Tang, S.; Dong, S.; Liu, Y.; Zhang, Q. Current-sensorless online ESR monitoring of capacitors in boost converter. J. Eng. 2019, 16, 2569–2754. [Google Scholar] [CrossRef]
  24. Ahmad, M.W.; Agarwal, N.; Anand, S. Online monitoring technique for aluminum electrolytic capacitor in solar PV-based DC system. IEEE Trans. Ind. Electron. 2016, 63, 7059–7066. [Google Scholar] [CrossRef]
  25. Leong, C.; Wong, C.; Lam, C. An online ESR estimation method for output capacitor of DC–DC Boost converter without current sensor. IEEE Trans. Power Electron. 2025, 40, 2196–2209. [Google Scholar] [CrossRef]
  26. Abdennadher, K.; Venet, P.; Rojat, G.; Rétif, J.-M.; Rosset, C. A real-time predictive-maintenance system of aluminum electrolytic capacitors used in uninterrupted power supplies. IEEE Trans. Ind. Appl. 2010, 46, 1644–1652. [Google Scholar] [CrossRef]
Figure 1. A typical DC microgrid system architecture.
Figure 1. A typical DC microgrid system architecture.
Electronics 14 01037 g001
Figure 2. Equivalent circuit model of output capacitor: (a) electrical equivalent circuit model; (b) normalized equivalent circuit model.
Figure 2. Equivalent circuit model of output capacitor: (a) electrical equivalent circuit model; (b) normalized equivalent circuit model.
Electronics 14 01037 g002
Figure 3. Buck converter main circuit considering capacitance parasitic parameters.
Figure 3. Buck converter main circuit considering capacitance parasitic parameters.
Electronics 14 01037 g003
Figure 4. Typical waveforms of Buck converter: (a) CCM; (b) DCM.
Figure 4. Typical waveforms of Buck converter: (a) CCM; (b) DCM.
Electronics 14 01037 g004
Figure 5. Proposed ESR estimation scheme.
Figure 5. Proposed ESR estimation scheme.
Electronics 14 01037 g005
Figure 6. Representative waveforms in iL-ac fitting process: (a) CCM; (b) DCM.
Figure 6. Representative waveforms in iL-ac fitting process: (a) CCM; (b) DCM.
Electronics 14 01037 g006
Figure 7. Simulation waveforms (ESR = 0.1 Ω). (a) CCM; (b) DCM.
Figure 7. Simulation waveforms (ESR = 0.1 Ω). (a) CCM; (b) DCM.
Electronics 14 01037 g007
Figure 8. Experimental ESR monitoring system platform.
Figure 8. Experimental ESR monitoring system platform.
Electronics 14 01037 g008
Figure 9. Experimental waveform in CCM (fs = 30 kHz): (a) D = 0.2, Ro = 20 Ω; (b) D = 0.5, Ro = 20 Ω; (c) D = 0.8, Ro = 20 Ω.
Figure 9. Experimental waveform in CCM (fs = 30 kHz): (a) D = 0.2, Ro = 20 Ω; (b) D = 0.5, Ro = 20 Ω; (c) D = 0.8, Ro = 20 Ω.
Electronics 14 01037 g009
Figure 10. Experimental waveform in DCM (fs = 30 kHz): (a) D = 0.2, Ro = 200 Ω; (b) D = 0.5, Ro = 500 Ω.
Figure 10. Experimental waveform in DCM (fs = 30 kHz): (a) D = 0.2, Ro = 200 Ω; (b) D = 0.5, Ro = 500 Ω.
Electronics 14 01037 g010
Table 1. Simulation parameters of Buck converter.
Table 1. Simulation parameters of Buck converter.
ParametersVariableValue
Input voltageVin/V24
Filter InductanceL/μH220
Output capacitorC/μF100
Equivalent series resistanceESR/Ω0.1–0.5
Duty cycleD0.5
Switching frequencyfs/kHz50
Sampling frequencyfsa/MHz10
Table 2. ESR simulation calculation results of Buck circuit in CCM.
Table 2. ESR simulation calculation results of Buck circuit in CCM.
Actual ValueSimulation Calculation Results
ESR/ΩCalculated by iL-acCalculated by i′L-ac
ESR/Ωe/%ESR/Ωe/%
0.10.09930.700.10474.70
0.20.19641.800.20482.40
0.30.29122.930.30481.60
0.40.38513.720.40411.03
0.50.47664.680.50140.28
Table 3. ESR simulation calculation results of Buck circuit in DCM.
Table 3. ESR simulation calculation results of Buck circuit in DCM.
Actual ValueSimulation Calculation Results
ESR/ΩCalculated by iL-acCalculated by i′L-ac
ESR/Ωe/%ESR/Ωe/%
0.10.09990.100.10181.80
0.20.19960.200.20271.35
0.30.29920.270.30371.23
0.40.39820.450.40501.25
0.50.49750.500.50661.32
Table 4. ESR simulation calculation results under different sampling frequencies.
Table 4. ESR simulation calculation results under different sampling frequencies.
Sampling FrequencySimulation Calculation Results (ESR = 0.3 Ω)
fsa/kHzCCMDCM
ESR/Ωe/%ESR/Ωe/%
2500.32127.070.30802.67
5000.31374.570.30792.63
25000.30662.200.30662.20
50000.30571.900.30391.30
10,0000.30481.600.30371.23
Table 5. Calculation results in CCM.
Table 5. Calculation results in CCM.
DESR1e/%ESR2e/%ESR3e/%
0.20.53672.6590.63311.6540.72170.152
0.30.52660.7270.62830.8830.72310.042
0.40.53462.2570.63231.5250.72300.028
0.50.53321.9890.62710.7540.71920.498
0.60.53412.1610.62710.6900.72400.166
0.70.52430.2870.62190.1450.71570.982
0.80.53482.2950.63391.7820.72430.208
Table 6. Calculation results in DCM.
Table 6. Calculation results in DCM.
Vin/VRoESR1e/%ESR2e/%ESR3e/%
302000.53171.7020.63371.7500.72350.097
305000.53151.6640.63511.9750.72630.484
252000.52640.7460.62390.1770.71550.101
255000.52290.6890.62770.7870.72110.235
Table 7. Calculation results at different temperatures.
Table 7. Calculation results at different temperatures.
Condition30 °C40 °C50 °C
ESR e/%ESR e/%ESR e/%
CCM (D = 0.2)0.48090.7840.44230.4770.31531.285
CCM (D = 0.5)0.49111.3200.44721.5900.30511.992
CCM (D = 0.8)0.48370.2060.44631.3860.31290.514
DCM (Ro = 200 Ω)0.49211.5270.44250.5330.30571.799
DCM (Ro = 500 Ω)0.49912.9710.45052.3400.31260.418
Table 8. Comparison of the proposed scheme with existing MMMs.
Table 8. Comparison of the proposed scheme with existing MMMs.
MethodCVCMs [15,16,17,18,19,20]VCMs [21,22,23,24,25]Proposed Scheme
Complexity of calculation modelSimpleRelatively complicatedSimple
Whether additional circuit is needed YesYesNo
ApplicabilityCCM and DCMCCM or DCMCCM and DCM
Disclaimer/Publisher’s Note: The statements, opinions and data contained in all publications are solely those of the individual author(s) and contributor(s) and not of MDPI and/or the editor(s). MDPI and/or the editor(s) disclaim responsibility for any injury to people or property resulting from any ideas, methods, instructions or products referred to in the content.

Share and Cite

MDPI and ACS Style

Ren, L.; Li, J.; Jiang, M. An Online Equivalent Series Resistance Estimation Method for Output Capacitor of Buck Converter Based on Inductor Current Ripple Fitting. Electronics 2025, 14, 1037. https://doi.org/10.3390/electronics14051037

AMA Style

Ren L, Li J, Jiang M. An Online Equivalent Series Resistance Estimation Method for Output Capacitor of Buck Converter Based on Inductor Current Ripple Fitting. Electronics. 2025; 14(5):1037. https://doi.org/10.3390/electronics14051037

Chicago/Turabian Style

Ren, Lei, Jiacheng Li, and Mengyao Jiang. 2025. "An Online Equivalent Series Resistance Estimation Method for Output Capacitor of Buck Converter Based on Inductor Current Ripple Fitting" Electronics 14, no. 5: 1037. https://doi.org/10.3390/electronics14051037

APA Style

Ren, L., Li, J., & Jiang, M. (2025). An Online Equivalent Series Resistance Estimation Method for Output Capacitor of Buck Converter Based on Inductor Current Ripple Fitting. Electronics, 14(5), 1037. https://doi.org/10.3390/electronics14051037

Note that from the first issue of 2016, this journal uses article numbers instead of page numbers. See further details here.

Article Metrics

Back to TopTop