Efficient Optimization Method of the Meshed Return Plane Through Fusion of Convolutional Neural Network and Improved Particle Swarm Optimization
Abstract
1. Introduction
2. S-Parameters Modeling Approach for the Rigid-Flex PCB Applications
2.1. Application and Influence of Rigid-Flex PCBs in Infrared Detection System
2.2. Establishment of S-Parameters Prediction Model for the Rigid-Flex PCB
2.2.1. Data Acquisition
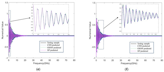
2.2.2. CNN Model
3. Collaborative Modeling and Optimization of CNN and IPSO Methods for the Meshed Return Plane
3.1. Construction of a Fitness Function Based on the PDA Worst-Case Eye Diagram
3.1.1. The Method for the PDA Worst-Case Eye Diagram with Crosstalk Effect
3.1.2. Fitness Calculation
3.2. Application for IPSO Algorithm
4. Experimental Results and Discussion
4.1. Iterative Curve of Fitness
4.2. Worst-Case Eye Diagram Comparison Experiment
4.3. Transient Time-Domain Simulation Experiment in ADS
5. Conclusions
Author Contributions
Funding
Data Availability Statement
Acknowledgments
Conflicts of Interest
Abbreviations
| 2D | Two-dimensional |
| 3D | Three-dimensional |
| Adam | Adaptive moment estimation |
| AM | Amplitude modulation |
| ANN | Artificial neural network |
| ADS | Advanced design system |
| BP | Backpropagation |
| CNN | Convolutional neural network |
| DER | Double-edge responses |
| DN | Digital number |
| EMI | Electromagnetic interference |
| FBFET | Feedback field-effect transistor |
| GRNN | General regression neural network |
| IPSO | Improved particle swarm optimization |
| ISI | Inter-symbol interference |
| MAE | Mean absolute error |
| PCB | Printed circuit board |
| PDA | Peak distortion analysis |
| PM | Phase modulation |
| PRBS | Pseudo-random binary sequence |
| PSO | Particle swarm optimization |
| PUL | Per-unit-length |
| ReLU | Rectified linear unit |
| RF | Radio frequency |
| RLGC | Resistance, inductance, conductance, and capacitance |
| RMSE | Root mean squared error |
| SI | Swarm intelligence |
| S-parameters | Scattering parameters |
References
- Ciais, P.; Dolman, A.J.; Bombelli, A.; Duren, R.; Peregon, A.; Rayner, P.J.; Miller, C.; Gobron, N.; Kinderman, G.; Marland, G.; et al. Current Systematic Carbon-Cycle Observations and the Need for Implementing a Policy-Relevant Carbon Observing System. Biogeosciences 2014, 11, 3547–3602. [Google Scholar] [CrossRef]
- Zhang, X.; Meng, X.; Zhou, M.; Bai, W.; Zhou, L.; Hu, Y.; Yu, X. Review of the validation of atmospheric CO2 from satellite hyper spectral remote sensing. Adv. Clim. Chang. Res. 2018, 14, 602. [Google Scholar] [CrossRef]
- Hungershoefer, K.; Breon, F.-M.; Peylin, P.; Chevallier, F.; Rayner, P.; Klonecki, A.; Houweling, S.; Marshall, J. Evaluation of Various Observing Systems for the Global Monitoring of CO2 Surface Fluxes. Atmos. Chem. Phys. 2010, 10, 10503–10520. [Google Scholar] [CrossRef]
- Huang, F.; Shen, X.; Liu, J.; Li, G.; Ying, J. Research on Radiometric Calibration for Super Wide-Angle Staring Infrared Imaging System. Infrared Phys. Technol. 2013, 61, 9–13. [Google Scholar] [CrossRef]
- Cao, F.; Liu, L.; Li, L. Short-Wave Infrared Photodetector. Mater. Today 2023, 62, 327–349. [Google Scholar] [CrossRef]
- Ma, X.; Li, Y.; Huang, R.; Ye, H.; Hou, Z.; Shi, H. Development and application of short wavelength infrared detectors (Invited). Hongwai Yu Jiguang Gongcheng/Infrared Laser Eng. 2022, 51, 20210897. [Google Scholar] [CrossRef]
- Dossi, M.; Forte, E.; Pipan, M. Quantitative Analysis of GPR Signals: Transmitted Wavelet, Amplitude Decay, and Sampling-Related Amplitude Distortions. Pure Appl. Geophys. 2018, 175, 1103–1122. [Google Scholar] [CrossRef]
- Li, S.; Cheng, L.; Yang, H.; Wang, Z.; Ding, L. Assessment of the Influence of Instrument Parameters on the Detection Accuracy of Greenhouse-Gases Absorption Spectrometer-2 (GAS-2). Atmosphere 2023, 14, 1418. [Google Scholar] [CrossRef]
- Coombs, J.C.F. Printed Circuits Handbook, 6th ed.; McGraw-Hill: Columbus, OH, USA, 2007. [Google Scholar]
- Hanumanth Rao, C.; Singh, A.P.; Varaprasad, B.K.S.V.L.; Selvi, R.; Venkata Govinda Rao, D.; Goel, S. Materials and Manufacturing Technology for High Reliability Rigid-Flex Multilayer PCB for Space 3D-Electronics Packaging. Eng. Res. Express 2024, 6, 025336. [Google Scholar] [CrossRef]
- Wu, T.; Wu, F.; Qiu, C.; Redoute, J.-M.; Yuce, M.R. A Rigid-Flex Wearable Health Monitoring Sensor Patch for IoT-Connected Healthcare Applications. IEEE Internet Things J. 2020, 7, 6932–6945. [Google Scholar] [CrossRef]
- Yung, K.C.; Liem, H.M.; Choy, H.S.; Zheng, H.F.; Feng, T.; Yue, T.M. The Effect of Plasma Etching Process on Rigid Flex Substrate for Electronic Packaging Application. In Proceedings of the 2009 International Conference on Electronic Packaging Technology & High Density Packaging, Beijing, China, 10–13 August 2009; pp. 937–940. [Google Scholar] [CrossRef]
- Bowerman, W.; Carver, J.; Kucera, A. A High Reliability, Stress-Free Copper Deposit for FPC, Polyimide and Rigid-Flex. In Proceedings of the 2013 8th International Microsystems, Packaging, Assembly and Circuits Technology Conference (IMPACT), Taipei, Taiwan, 22–25 October 2013; pp. 116–119. [Google Scholar] [CrossRef]
- Das, R.N.; Egitto, F.D.; Wilson, B.; Poliks, M.D.; Markovich, V.R. Development of Rigid-Flex and Multilayer Flex for Electronic Packaging. In Proceedings of the 2010 Proceedings 60th Electronic Components and Technology Conference (ECTC), Las Vegas, NV, USA, 1–4 June 2010; pp. 568–574. [Google Scholar] [CrossRef]
- Xiao, F.; Murano, K.; Kami, Y. Modeling of Differential Line Referenced to a Meshed Ground Plane. In Proceedings of the 2014 International Symposium on Electromagnetic Compatibility, Gothenburg, Sweden, 1–4 September 2014; pp. 735–740. [Google Scholar] [CrossRef]
- Lin, Y.; Wu, T. Investigation of Signal Quality and Radiated Emission of Microstrip Line on Imperfect Ground Plane: FDTD Analysis and Measurement. In Proceedings of the 2001 IEEE EMC International Symposium. Symposium Record. International Symposium on Electromagnetic Compatibility (Cat. No.01CH37161), Montreal, QC, Canada, 13–17 August 2001; pp. 319–324. [Google Scholar] [CrossRef]
- Cicchetti, R.; Faraone, A. A Full-Wave Radiation Model for a Class of Gridded Ground Interconnecting Structures. IEEE Trans. Antennas Propag. 1999, 47, 212–213. [Google Scholar] [CrossRef]
- Bernardi, P.; Cicchetti, R.; Faraone, A. A Full-Wave Characterization of an Interconnecting Line Printed on a Dielectric Slab Backed by a Gridded Ground Plane. IEEE Trans. Electromagn. Compat. 1996, 38, 237–243. [Google Scholar] [CrossRef]
- Wu, S.; Shi, H.; Herndon, M.; Cornelius, B.; Halligan, M.; Fan, J. Modeling and Analysis of a Trace Referenced to a Meshed Ground Plane. In Proceedings of the 2011 IEEE International Symposium on Electromagnetic Compatibility, Long Beach, CA, USA, 14–19 August 2011; pp. 137–141. [Google Scholar] [CrossRef]
- He, J.; Hwang, C.; Pan, J.; Cho, G.-Y.; Bae, B.; Park, H.-B.; Fan, J. Extracting Characteristic Impedance of a Transmission Line Referenced to a Meshed Ground Plane. In Proceedings of the 2016 IEEE International Symposium on Electromagnetic Compatibility (EMC), Ottawa, ON, Canada, 25–29 July 2016; pp. 651–656. [Google Scholar] [CrossRef]
- Lee, H.; Kim, J. Electrical Characteristics of Single and Coupled Stripline on Meshed Ground Plane in High-Speed Package. In Proceedings of the Advances in Electronic Materials and Packaging 2001 (Cat. No.01EX506), Jeju, Republic of Korea, 19–22 November 2001; pp. 261–267. [Google Scholar] [CrossRef]
- Sun, Z.; Liu, J.; Xiong, X.; Kim, D.; Beetner, D.; Khilkevich, V. Characterization of a Microstrip Line Referenced to a Meshed Return Plane Using 2-D Analysis. IEEE Trans. Signal Power Integr. 2024, 3, 13–20. [Google Scholar] [CrossRef]
- Shang, Y.; Yu, H.; Fei, W. Design and Analysis of CMOS-Based Terahertz Integrated Circuits by Causal Fractional-Order RLGC Transmission Line Model. IEEE J. Emerg. Sel. Top. Circuits Syst. 2013, 3, 355–366. [Google Scholar] [CrossRef]
- Qi, P.; Xia, H.; Cai, X.; Yu, M.; Jiang, N.; Dai, Y. Novel Global MPPT Technique Based on Hybrid Cuckoo Search and Artificial Bee Colony under Partial-Shading Conditions. Electronics 2024, 13, 1337. [Google Scholar] [CrossRef]
- Erdin, I.; Achar, R. Multipin Optimization Method for Placement of Decoupling Capacitors Using a Genetic Algorithm. IEEE Trans. Electromagn. Compat. 2018, 60, 1662–1669. [Google Scholar] [CrossRef]
- Wan, Y.; Mao, M.; Zhou, L.; Zhang, Q.; Xi, X.; Zheng, C. A Novel Nature-Inspired Maximum Power Point Tracking (MPPT) Controller Based on SSA-GWO Algorithm for Partially Shaded Photovoltaic Systems. Electronics 2019, 8, 680. [Google Scholar] [CrossRef]
- Li, T.-S.; Hsu, C.-M. Parameter Optimization of Sub-35nm Contact-Hole Fabrication Using Particle Swarm Optimization Approach. Expert Syst. Appl. 2010, 37, 878–885. [Google Scholar] [CrossRef]
- Cho, C.; Kim, K.; Lee, M.; Shin, J.; Yoon, S.; Lee, Y.; Song, C.; Choi, W.; Kwak, M.; Choi, Y.; et al. Novel Optimization Methodology of Design Parameters in High-Speed Differential Via for PCIe Gen5 Channels Based on Particle Swarm Optimization Algorithm. IEEE Trans. Compon. Packag. Manuf. Technol. 2023, 13, 1545–1552. [Google Scholar] [CrossRef]
- Zhao, B.; Wang, G. PSO-Algorithm-Based Optimal Design of LCLC Resonant Converters for Space Travelling-Wave Tube Amplifiers Applications. Energies 2019, 12, 2444. [Google Scholar] [CrossRef]
- Wang, J.; Sun, Y. Load Frequency Active Disturbance Rejection Control Based on Improved Particle Swarm Optimization. Electronics 2024, 13, 1268. [Google Scholar] [CrossRef]
- Sibalija, T.V. Particle Swarm Optimisation in Designing Parameters of Manufacturing Processes: A Review (2008–2018). Appl. Soft Comput. 2019, 84, 105743. [Google Scholar] [CrossRef]
- Swaminathan, M.; Torun, H.M.; Yu, H.; Hejase, J.A.; Becker, W.D. Demystifying Machine Learning for Signal and Power Integrity Problems in Packaging. IEEE Trans. Compon. Packag. Manufact. Technol. 2020, 10, 1276–1295. [Google Scholar] [CrossRef]
- Isaksson, M.; Wisell, D.; Ronnow, D. Wide-Band Dynamic Modeling of Power Amplifiers Using Radial-Basis Function Neural Networks. IEEE Trans. Microw. Theory Techn. 2005, 53, 3422–3428. [Google Scholar] [CrossRef]
- Oh, M.-H.; Kwon, M.-W.; Park, K.; Park, B.-G. Sensitivity Analysis Based on Neural Network for Optimizing Device Characteristics. IEEE Electron Device Lett. 2020, 41, 1548–1551. [Google Scholar] [CrossRef]
- Jin, J.; Zhang, C.; Feng, F.; Na, W.; Ma, J.; Zhang, Q.-J. Deep Neural Network Technique for High-Dimensional Microwave Modeling and Applications to Parameter Extraction of Microwave Filters. IEEE Trans. Microw. Theory Technol. 2019, 67, 4140–4155. [Google Scholar] [CrossRef]
- Shreeharsha, K.G.; Siddharth, R.K.; Charudatta, G.K.; Vasantha, M.H.; Nithin Kumar, Y.B. An Exponential Variation Based PSO for Analog Circuit Sizing in Constrained Environment. AEU-Int. J. Electron. Commun. 2024, 187, 155531. [Google Scholar] [CrossRef]
- Zhang, Y.; Qi, G.; Rong, Z. Satellite Infrared Remote Sensor Radiometric Calibration Model and Method; China Science Publishing & Media: Beijing, China, 2015. [Google Scholar]
- Pan, G.; Zhu, X.; Gilbert, B.K. Analysis of Transmission Lines of Finite Thickness above a Periodically Perforated Ground Plane at Oblique Orientations. IEEE Trans. Microw. Theory Technol. 1995, 43, 383–393. [Google Scholar] [CrossRef]
- Chien, C.; Burnett, A.F.; Cech, J.M.; Tanielian, M.H. The Signal Transmission Characteristics of Embedded Microstrip Transmission Lines over a Meshed Ground Plane in Copper/Polyimide Multichip Module. IEEE Trans. Compon. Packag. Manuf. Technol. B 1994, 17, 578–583. [Google Scholar] [CrossRef]
- Yu, S.; Kam, D.-G. Improving Signal Integrity by Reducing Mode Conversion in Differential Pairs on a Meshed Ground in Flexible Printed Circuit Boards. J. Electromagn. Eng. Sci. 2022, 22, 229–235. [Google Scholar] [CrossRef]
- Bogatin, E. Signal and Power Integrity—Simplified; Prentice Hall International: Upper Saddle River, NJ, USA, 2009. [Google Scholar]
- Cho, K.; Kim, Y.; Lee, D.; Song, J.; Park, J.; Lee, S.; Kim, S.; Park, G.; Son, K.; Kim, J. Signal Integrity Design and Analysis of Differential High-Speed Serial Links in Silicon Interposer with Through-Silicon Via. IEEE Trans. Compon. Packag. Manuf. Technol. 2019, 9, 107–121. [Google Scholar] [CrossRef]
- Mei, J.; Yuan, H.; Guo, X.; Chu, X.; Ding, L. Fast Prediction Method for Scattering Parameters of Rigid-Flex PCBs Based on ANN. Sensors 2024, 24, 2221. [Google Scholar] [CrossRef]
- Hosseinpour-Zarnaq, M.; Omid, M.; Sarmadian, F.; Ghasemi-Mobtaker, H. A CNN Model for Predicting Soil Properties Using VIS–NIR Spectral Data. Environ. Earth Sci. 2023, 82, 382. [Google Scholar] [CrossRef]
- Shi, J.; Wang, C.; Xi, X.; Yang, X.; Wang, J.; Ding, X. Retrieving fPAR of maize canopy using artificial neural networks with airborne LiDAR and hyperspectral data. Remote Sens. Lett. 2020, 11, 1002–1011. [Google Scholar] [CrossRef]
- Wang, C.; Iokibe, K.; Toyota, Y. Mitigating Differential Skew by Rotating Meshed Ground for High-Density Layout in Flexible Printed Circuits. IEICE Electron. Express 2020, 17, 20200101. [Google Scholar] [CrossRef]
- Abdelatty, M.Y.; Umar, A.; Obeidat, A.S.; Enakerakpo, E.; Alhendi, M.; Poliks, M.D. Modeling the Effect of Hatched Grounds on the Radio-Frequency Performance of Microstrip Lines on Flexible Substrate. In Proceedings of the 55th International Symposium on Microelectronics, Boston, MA, USA, 3–6 October 2022; pp. 507–512. [Google Scholar] [CrossRef]
- Casper, B.K.; Haycock, M.; Mooney, R. An Accurate and Efficient Analysis Method for Multi-Gb/s Chip-to-Chip Signaling Schemes. In Proceedings of the 2002 Symposium on VLSI Circuits. Digest of Technical Papers (Cat. No.02CH37302), Honolulu, HI, USA, 13–15 June 2002; pp. 54–57. [Google Scholar] [CrossRef]
- Chen, Z.; Katopis, G. Searching for the Worst-Case Eye Diagram of a Signal Channel in Electronic Packaging System Including the Effects of the Nonlinear I/O Devices and the Crosstalk from Adjacent Channels. In Proceedings of the 2009 59th Electronic Components and Technology Conference, San Diego, CA, USA, 26–29 May 2009; pp. 1106–1113. [Google Scholar] [CrossRef]
- Cristofoli, A.; Palestri, P.; Dalt, N.D.; Selmi, L. Efficient Statistical Simulation of Intersymbol Interference and Jitter in High-Speed Serial Interfaces. IEEE Trans. Compon. Packag. Manuf. Technol. 2014, 4, 480–489. [Google Scholar] [CrossRef]
- Chu, X.; Luo, Y.; Wang, J.; Guo, W.; Wu, F.; Wang, W.; Li, W. Fast Multiple Edge Response Method Based on the Design of Experiment and Machine Learning. IEEE Microw. Wirel. Compon. Lett. 2021, 31, 521–524. [Google Scholar] [CrossRef]
- Chu, X.; Wang, W.; Wang, J.; Dai, X.; Fan, J.; Li, Y. Statistical Eye Diagram Analysis Based on Double-Edge Responses for Coding Buses. IEEE Trans. Electromagn. Compat. 2020, 62, 902–913. [Google Scholar] [CrossRef]
- Cai, H.; Zhou, R.; Huang, P.; Jing, Y.; Liu, G. SLDPSO-TA: Track Assignment Algorithm Based on Social Learning Discrete Particle Swarm Optimization. Electronics 2024, 13, 4571. [Google Scholar] [CrossRef]
- Huang, L.; Zhang, Y.; Su, Y.; Bae, Y. Multi-Objective Reliable Optimization Dispatch of High-Proportion Power System Based on Improved Particle Swarm Algorithm. J. Phys. Conf. Ser. 2024, 2890, 012028. [Google Scholar] [CrossRef]
- Liu, H.; Zhang, X.-W.; Tu, L.-P. A Modified Particle Swarm Optimization Using Adaptive Strategy. Expert Syst. Appl. 2020, 152, 113353. [Google Scholar] [CrossRef]
- Wang, Y.; Jiao, R.; Wei, T.; Guo, Z.; Ben, Y. A Method for Predicting Inertial Navigation System Positioning Errors Using a Back Propagation Neural Network Based on a Particle Swarm Optimization Algorithm. Sensors 2024, 24, 3722. [Google Scholar] [CrossRef] [PubMed]
- Li, E.; Gao, Z. Particle Swarm Optimization Algorithm with Improved Particle Velocity and Position Update Formula. J. Nanjing Univ. Nat. Sci. 2022, 45, 118–126. [Google Scholar] [CrossRef]


















| Structure Parameters | Min | Max | Step |
|---|---|---|---|
| w1 (mil) | 6 | 15 | 1 |
| w2 (mil) | 6 | 15 | 1 |
| S1 (mil) | 6 | 15 | 1 |
| S2 (mil) | 6 | 15 | 1 |
| BP | GRNN | CNN | |
|---|---|---|---|
| Real parts of S11 | 0.0011 | 0.0120 | 0.0012 |
| Imaginary parts of S11 | 0.0014 | 0.0122 | 0.0012 |
| Real parts of S12 | 0.0006 | 0.0085 | 0.0007 |
| Imaginary parts of S12 | 0.0008 | 0.0082 | 0.0007 |
| Real parts of S31 | 0.0065 | 0.0561 | 0.0061 |
| Imaginary parts of S31 | 0.0061 | 0.0554 | 0.0059 |
| BP | GRNN | CNN | |
|---|---|---|---|
| Real parts of S11 | 0.0035 | 0.0155 | 0.0036 |
| Imaginary parts of S11 | 0.0040 | 0.0124 | 0.0037 |
| Real parts of S12 | 0.0019 | 0.0098 | 0.0019 |
| Imaginary parts of S12 | 0.0022 | 0.0087 | 0.0020 |
| Real parts of S31 | 0.0168 | 0.0706 | 0.0160 |
| Imaginary parts of S31 | 0.0163 | 0.0716 | 0.0162 |
| BP | GRNN | CNN | |
|---|---|---|---|
| Real parts of S11 | 0.9999 | 0.9999 | 0.9999 |
| Imaginary parts of S11 | 0.9999 | 0.9998 | 0.9999 |
| Real parts of S12 | 0.9998 | 0.9995 | 0.9998 |
| Imaginary parts of S12 | 0.9998 | 0.9996 | 0.9998 |
| Real parts of S31 | 0.9857 | 0.9763 | 0.9868 |
| Imaginary parts of S31 | 0.9854 | 0.9752 | 0.9861 |
| Transmission Rate | Design Parameter | Fitness Value | Eye Height (V) | Eye Width (ps) |
|---|---|---|---|---|
| 1 Gbps | A1Gbps | 0.2120 | 0.4148 | 950 |
| B2.5Gbps | 0.2238 | 0.4137 | 925 | |
| C5Gbps | 0.2538 | 0.4071 | 900 | |
| DExperience | 0.2332 | 0.4103 | 925 | |
| 2.5 Gbps | A1Gbps | 0.5249 | 0.3378 | 330 |
| B2.5Gbps | 0.4826 | 0.3488 | 330 | |
| C5Gbps | 0.5801 | 0.3282 | 320 | |
| DExperience | 0.6574 | 0.3145 | 310 | |
| 5 Gbps | A1Gbps | 4.8519 | 0.0912 | 70 |
| B2.5Gbps | 4.2257 | 0.1010 | 80 | |
| C5Gbps | 2.8833 | 0.1365 | 95 | |
| DExperience | 5.8573 | 0.0772 | 65 |
| The High Amplitude (V) | Design Parameters | Eye Height (V) | Eye Width (ps) | Percent Improvements | ||
|---|---|---|---|---|---|---|
| 5 Gbps | 0.5 | C5Gbps | 0.227 | 104 | Eye Height: | 32% |
| DExperience | 0.172 | 82 | Eye Width: | 26.8% | ||
| 1 | C5Gbps | 0.453 | 105 | Eye Height: | 32.1% | |
| DExperience | 0.343 | 83 | Eye Width: | 26.5% | ||
| 1.5 | C5Gbps | 0.679 | 104 | Eye Height: | 32.1% | |
| DExperience | 0.514 | 82 | Eye Width: | 26.8% | ||
| 2 | C5Gbps | 0.904 | 104 | Eye Height: | 31.8% | |
| DExperience | 0.686 | 82 | Eye Width: | 26.8% | ||
Disclaimer/Publisher’s Note: The statements, opinions and data contained in all publications are solely those of the individual author(s) and contributor(s) and not of MDPI and/or the editor(s). MDPI and/or the editor(s) disclaim responsibility for any injury to people or property resulting from any ideas, methods, instructions or products referred to in the content. |
© 2025 by the authors. Licensee MDPI, Basel, Switzerland. This article is an open access article distributed under the terms and conditions of the Creative Commons Attribution (CC BY) license (https://creativecommons.org/licenses/by/4.0/).
Share and Cite
Mei, J.; Yuan, H.; Chu, X.; Ding, L. Efficient Optimization Method of the Meshed Return Plane Through Fusion of Convolutional Neural Network and Improved Particle Swarm Optimization. Electronics 2025, 14, 1035. https://doi.org/10.3390/electronics14051035
Mei J, Yuan H, Chu X, Ding L. Efficient Optimization Method of the Meshed Return Plane Through Fusion of Convolutional Neural Network and Improved Particle Swarm Optimization. Electronics. 2025; 14(5):1035. https://doi.org/10.3390/electronics14051035
Chicago/Turabian StyleMei, Jingling, Haiyue Yuan, Xiuqin Chu, and Lei Ding. 2025. "Efficient Optimization Method of the Meshed Return Plane Through Fusion of Convolutional Neural Network and Improved Particle Swarm Optimization" Electronics 14, no. 5: 1035. https://doi.org/10.3390/electronics14051035
APA StyleMei, J., Yuan, H., Chu, X., & Ding, L. (2025). Efficient Optimization Method of the Meshed Return Plane Through Fusion of Convolutional Neural Network and Improved Particle Swarm Optimization. Electronics, 14(5), 1035. https://doi.org/10.3390/electronics14051035

