Next Article in Journal
Optimization of Oil Well Production Prediction Model Based on Inter-Attention and BiLSTM
Next Article in Special Issue
Fixed Wireless Access in Flexible Environment: Problem Definition and Feasibility Check
Previous Article in Journal
Two-Tower Structure Recommendation Method Fusing Multi-Source Data
Previous Article in Special Issue
A Novel Approach for the Enhancement of Security through Defining the Spatial Secrecy Outage Probability in the Industrial Internet of Things
 
 
Font Type:
Arial Georgia Verdana
Font Size:
Aa Aa Aa
Line Spacing:
Column Width:
Background:
Article

Time Division Multiple Access–Non-Orthogonal Multiple Access-Assisted Heterogeneous Semantic and Bit Communications

The Institute of Cyberspace Security, Zhejiang University of Technology, Hangzhou 310023, China
*
Author to whom correspondence should be addressed.
Electronics 2025, 14(5), 1005; https://doi.org/10.3390/electronics14051005
Submission received: 30 January 2025 / Revised: 24 February 2025 / Accepted: 28 February 2025 / Published: 2 March 2025
(This article belongs to the Special Issue Mobile Networking: Latest Advances and Prospects)

Abstract

Considering the coexistence of semantic and bit transmissions in future networks, transmission policy design is crucial for heterogeneous semantic and bit communications to improve transmission efficiency. In this paper, we investigate downlink semantic and bit data transmissions from the access point (AP) to several semantic users and a bit user, and we propose a TDMA–NOMA-based transmission scheme to efficiently utilize wireless communication resources. The transmission time and power resource allocation problem is formulated with the aim of maximizing the throughput of the bit user while guaranteeing the semantic demands of the semantic users are met. Due to the time-varying channel conditions and mixed continuous–discrete variables, we propose a parameterized deep Q network (P-DQN)-based algorithm to solve the problem, where an actor network is employed to output continuous parameters, and a deep Q network is used to find the optimal discrete actions. the simulation results show that the proposed P-DQN-based algorithm converges faster than other learning methods. The simulations also demonstrate that the proposed TDMA–NOMA-based transmission scheme can improve the average bit throughput by up to 20% while meeting the semantic demands compared to other multiple access schemes.

1. Introduction

As traditional communication has almost reached the Shannon limit [1], researchers have been devoted to seeking a breakthrough in emerging semantic communications in future networks [2,3,4,5]. Compared to traditional bit-stream communication, semantic communication can extract and transmit the semantics contained in data, which can greatly improve resource utilization [6]. Some efforts have been devoted to developing semantic information theory. The authors of [7] proposed a model–theoretical framework for measuring the semantic information in the sending end and transmission part. The researchers in [8,9,10] have measured semantic information based on synonymous mapping, such as semantic entropy, semantic rate distortion function, and semantic capacity, which have expanded the limitations of information theory and offer a theoretical foundation for the design and development of semantic communication systems.
In semantic communications, source coding and channel coding are exploited to compress the data and reduce the consumption of communication resources. With the assistance of deep learning (DL) [11] and artificial intelligence (AI) [12], source coding and channel coding in semantic communications can be closely integrated. For example, different from the traditional source coding methods (e.g., Huffman code [13]) and channel coding methods (e.g., low-density parity check code [14] and polar code [15]), Joint Source-Channel Coding (JSCC) [16] utilizes an automatic end-to-end encoder model to encode sources and signals jointly by learning the meaning and importance of the input information, thus significantly reducing redundant data transmission.
Although semantic transmission saves bandwidth resources, its semantic similarity varies with channel conditions and does not achieve full recovery. Hence, bit communication remains crucial in many situations, such as for the measurement of data transmission. In future networks, it is possible that both semantic and bit transmissions will be supported simultaneously for different purposes, especially in smart factories [17], the Internet of Things (IoT) [18], and the Internet of Vehicles (IoV) [19]. For example, users who are extremely sensitive to content integrity, such as black boxes, may require full bit streams, while intelligent robots in smart factories may focus more on the simple actions from semantic information. For heterogeneous networks with both bit and semantic users, it is a huge task to design an appropriate transmission policy to maximize resource utilization while guaranteeing basic communication requirements.
To overcome this challenge, many multiple access schemes have been considered for heterogeneous semantic and bit communication. For example, orthogonal multiple access (OMA), such as time division multiple access (TDMA) [20] and frequency division multiple access (FDMA) [21,22], which has the advantage of enabling interference-free transmission of semantic and bit information, can be straightforwardly implemented in practical scenarios. However, as the number of users grows exponentially, OMA cannot meet the communication requirements of semantic and bit users given the constraints on wireless resources. Some researchers resort to non-orthogonal multiple access (NOMA) [23] for heterogeneous semantic and bit communication, which can achieve high spectral efficiency by sharing frequency bands among users. Although interference between users may cause decoding challenges, this could be partially overcome using semantic transmission due to its robustness at low signal-to-noise ratios (SNRs) [24]. However, a significant challenge for NOMA is achieving the average semantic rate requirements and maintaining bit throughput simultaneously under asymmetric channel conditions between the base station and various devices. Therefore, hybrid OMA–NOMA-based data transmission, which combines the advantages of OMA and NOMA, can be used to maximize resource utilization, and guarantees the transmission requirements of users for heterogeneous bit and semantic communication. In future scenarios where a hybrid transmission mechanism is implemented, such as in low-power, solar-powered wireless sensor networks [25], critical data extraction can reduce energy consumption while ensuring integrity through bit-level data, providing an efficient solution for bridge health monitoring.
In this paper, we investigate a hybrid OMA–NOMA transmission policy for a downlink semantic and bit heterogeneous communication system, where the access point (AP) transmits semantic and bit streams to multiple semantic users and a bit user. To improve resource utilization, we employ the TDMA–NOMA transmission method for heterogeneous semantic and bit communications. Specifically, in each time slot, the AP chooses a group of semantic users based on the channel conditions with the bit user to form a NOMA transmission group, and determines the allocated transmission power for each user with the objective of maximizing the bit throughput while satisfying the average semantic similarity and rate requirements of semantic users. In particular, the main contributions of this paper can be summarized as follows:
  • We propose a TDMA–NOMA transmission policy for a downlink heterogeneous semantic and bit communication system to improve resource utilization. We formulate the transmission resource allocation problem with the aim of maximizing the bit throughput of the bit user while guaranteeing the semantic demands of the semantic users by jointly optimizing the selection of the NOMA transmission group and the transmission power allocation in each time slot.
  • The formulated problem is hard to solve due to the time-varying channel condition and mixed continuous–discrete variables. Thus, we propose a parameterized deep Q network (P-DQN)-based algorithm to find the optimal solution dynamically, where an actor network is employed to output continuous parameters, and a deep Q network is used to output the optimal discrete actions.
  • Simulations verify the effectiveness of the proposed algorithm. The simulation results also show that the proposed TDMA–NOMA-based transmission scheme can greatly improve the bit throughput while guaranteeing the semantic demands compared to the TDMA, FDMA, and NOMA transmission schemes. Specifically, the improvement is up to 20% compared to the NOMA-based transmission scheme.
The organization of this paper is as follows: In Section 2, we review the related work on multiple access scheme design for heterogeneous semantic and bit communications. In Section 3, we introduce the system model and problem formulation. In Section 4, the P-DQN-based resource allocation algorithm is proposed for heterogeneous semantic and bit communications. In Section 5, the simulation results and analysis are presented. In Section 6, we offer a conclusive summary of this work.

2. Related Work

Related research on multiple access scheme design for semantic/bit communications has been conducted in recent years, which can be roughly categorized as OMA-, NOMA-, and hybrid OMA–NOMA-assisted semantic/bit communication. For OMA-assisted semantic/bit communication, J. Chen et al. [26] investigated TDMA-assisted semantic communication to enhance the freshness of the information. In [27], L. Yan et al. studied FDMA-assisted semantic communication and proposed a channel assignment scheme to improve spectral efficiency. In [28], H. Hu et al. focused on FDMA-assisted semantic communication and proposed a resource allocation scheme based on deep reinforcement learning to minimize the consumption of communication resources.
However, these OMA-assisted data transmission methods often perform poorly when there are a large number of users or terrible transmission conditions.
To improve the performance of semantic/bit communication with a large number of users, researchers have resorted to NOMA-assisted semantic/bit communication. Z. Meng et al. [24] designed a digital semantic constellation policy for traditionalNOMA-assisted semantic systems to ensure no interference between semantic and bit information during transmission. In [29], W. Tang et al. proposed a mode-switching and power adaptation method for NOMA-assisted heterogeneous semantic and bit communication, which dynamically transmits bit and semantic information for a far user and a near user, to meet instantaneous bit rate and ergodic semantic rate requirements.
There are few related works on hybrid OMA–NOMA-assisted semantic/bit communication. In [30], to satisfy both semantic and bit users, M. Zhang et al. proposed a flexible communication mode selection scheme for heterogeneous semantic and bit communication to maximize long-term semantic throughput, where the data transmission models (i.e., OMA and NOMA) can be selected dynamically according to user demand and channel conditions. L. Lin et al. [31] addressed the power allocation issue in multi-user OFDM–NOMA systems tailored for semantic transmission, aiming to enable seamless transitions from AWGN to fading channels. X. Mu et al. [32] proposed a semi-NOMA multiple access scheme for heterogeneous semantic and bit communication, which intelligently distributes semantic and bit resources by combining FDMA and NOMA for information grouping and stacking, thus simplifying resource allocation and boosting efficiency. However, these studies often neglected the impact of time-varying channel conditions on the design of multiple access schemes for heterogeneous bit and semantic communication systems. In fact, we can choose the time slot to transmit semantic information according to the channel conditions of the semantic users, thereby reducing energy consumption and signal interference. Hence, in this paper, we take the time-varying channel condition into account and investigate TDMA–NOMA-assisted heterogeneous semantic and bit communication to maximize bit throughput while meeting the semantic demands.

3. System Model and Problem Formulation

In this section, we first introduce the network model, the heterogeneous semantic and bit communication model, and the data transmission model. Subsequently, we formulate an optimization problem that aims to maximize the throughput of the bit user (B user) while satisfying the semantic similarity and rate requirements of the semantic users (S users) within limited power and time resources.

3.1. Network Model

We consider a network model with an AP and several users, as shown in Figure 1, where the AP transmits bit and semantic streams to multiple S users and a B user. The set of users is defined as U = { 0 , 1 , 2 , , N } . We refer to the set of users that support receiving semantic streams as U S = { i | 1 i N } , where N is the total number of semantic users, and the user who supports receiving bit streams is U B = { 0 } . We employ the TDMA–NOMA technique for the downlink transmission. Specifically, the limited time is slotted, and, in each time slot, a number of S users and the B user form a NOMA group for data transmission to improve resource utilization.

3.2. Heterogeneous Bit and Semantic Communication Model

In a hybrid semantic and bit communication system, the AP transmits not only traditional bit data but also semantic information, thus simultaneously satisfying the requirements of diverse device types. As JSCC has been widely employed in semantic transmission and shows advantages in different types of communication contents (e.g., text [16], image [33,34,35,36], audio, and video [37,38]), this paper primarily relies on the JSCC framework and mainly focuses on the text in the communication model.
The heterogeneous semantic and bit communication model is shown in Figure 2. At the transmitter, the AP utilizes a semantic extraction module to obtain semantic features from raw information, which are then compressed and encoded to reduce transmission source cost. The encoded semantic features are subsequently transmitted alongside the bit data through a physical channel to the receiving devices.
At the receiver, different types of devices adopt different decoding strategies. Semantic users, equipped with the capability to process semantic information, perform channel decoding followed by semantic decoding, enabling them to recover the original semantic information. Conversely, for the bit user, lacking the computational power and prior knowledge required to process semantic information, it is difficult to extract semantic information from the received signals. In this context, bit information is transmitted directly through physical channels, and the semantic and bit users receive the corresponding information. Consequently, during the decoding process, semantic users can leverage Successive Interference Cancellation (SIC) [39] to eliminate the interference from bit information, while the bit user treats the semantic information as interference. Furthermore, to ensure system stability and efficiency, semantic users determine their decoding order based on channel conditions. This ensures that even under poor channel conditions, semantic users can still successfully decode the received information with high probability.
For heterogeneous semantic and bit communication in text, the bit error rate (BER) may not adequately reflect overall performance, as it fails to capture the semantic nuances and contextual accuracy of the transmitted text. Therefore, in this paper, the performance of semantic communication is measured using the semantic rate and semantic similarity rather than the BER. According to the DeepSC framework [40], let m and m ˙ denote the raw sentence sent at the transmitter and the sentence recovered from the receiver, respectively. Then, the semantic similarity can be given as
ζ ( m , m ˙ ) = E ( m ) E ( m ˙ ) T E ( m ) E ( m ˙ ) ,
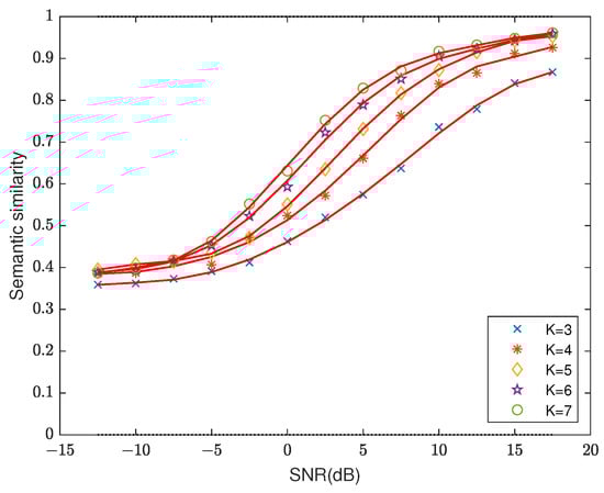
where E ( · ) represents the bidirectional encoder representations from transformers (BERT) [41], which is a vast pretrained model encompassing billions of parameters, specifically designed for extracting semantic information with exceptional precision. Furthermore, the range of similarity extends from 0 to 1, with a higher value indicating a greater degree of similarity and the recovered information being closer to the raw signal. According to [40], the similarity ζ of each device depends on both the average number of semantic symbols required for each word, which is denoted as K, and the SNR, which is denoted as γ . Then, we can represent semantic similarity ζ as a function ϵ related to K and γ as ζ = ϵ ( K , γ ) .
In the paper, we consider utilizing the DeepSC tool [40] for semantic communication in text. After testing the semantic similarity with varying SNRs under different numbers of K, we obtain the plots of the relationship between semantic similarity and the SNR for different numbers of K, which are shown in Figure 3. According to [32], we can approximate the semantic similarity under different SNRs for a given K through regression methods, which can be expressed as
ζ = ϵ ( K , γ ) ϵ l o w + ϵ h i g h ϵ l o w 1 + e ( g + d ) ,
where ϵ l o w denotes the lower bound of similarity, ϵ h i g h denotes the higher bound, g represents the logistic growth rate, and d represents the logistic mid-point. As can be seen in Figure 3, the semantic similarity generally increases with the improvement in the SNR, but the increase is not significant at relatively low and high SNRs, while the semantic similarity increases rapidly when the SNR is within [−2.5, 10] dB.
Another performance metric for semantic communication is the semantic rate, which is employed to describe the rate of semantic transmission [42]. Let L denote the average number of words per sentence and the quantity I denote the mean number of semantic units encompassed within each sentence. Then, the average semantic information encoded by each individual semantic symbol can be represented as I K L . The semantic rate can be expressed as
R s = B I ζ K L .
where B is the transmission bandwidth. It is noteworthy that the performance of semantic transmission depends on both its similarity and rate. When the bandwidth allocated for the semantic stream is adequately vast, even if the achieved semantic rate is great, the semantic similarity may still be low. Consequently, considering the semantic rate alone is inadequate for ensuring the satisfactory performance of semantic transmission. Therefore, it is necessary to take into account the semantic similarity and semantic rate simultaneously.
For bit communication, the transmission of information is not affected by modulators and filters under ideal conditions, which means that the minimum transmission bandwidth is numerically equal to the symbol rate. According to Shannon theory, the bit rate R b is the product of the symbol rate R B and the average information content per symbol b, which can be expressed as R b = R B · b . In binary communication, b = 1 .

3.3. Data Transmission Model

In the TDMA–NOMA-assisted heterogeneous bit and semantic communication system, the transmission time is divided into multiple time slots, and the set of time slots is denoted as T = { 1 , 2 , , t , , T } , where T represents the total number of time slots. Let α i t denote the transmission decision for semantic user i at time slot t, where α i t = 1 represents that the AP chooses to transmit semantic streams to user i at time slot t, and α i t = 0 otherwise. The maximum transmission power of the AP is defined as p m a x . In time slot t, the signal transmitted from the AP can be expressed as x t = i = 1 N α i t · x i t · p i t + x 0 t · p 0 t , where x i t and x 0 t represent the semantic symbols transmitted to the S users and the bit information for the B user, respectively, and p i t denotes the transmission power allocated to S-user i at time slot t, while p 0 t denotes the transmission power allocated to the B user.
We define h i t as the channel gain between the AP and S-user i at time slot t and h 0 t as the channel gain between the AP and the B user. Since we consider a time-varying channel condition, h i t and h 0 t dynamically change over time. For the TDMA–NOMA system, in each time slot, different user signals are superimposed and transmitted with the same time-frequency resources, which can improve spectral efficiency. However, due to the non-orthogonality of the signals, the receiving end needs to use more complex signal processing techniques to distinguish and recover the information of each user [43]. In heterogeneous semantic and bit communication systems, because of the limited computational resources and prior knowledge, it is impossible to restore semantic information for the bit user [44]. Therefore, the B user treats the received superimposed signal as interference and decodes the bit signal directly. The bit rate R 0 t in time slot t can be calculated as
R 0 t = B l o g 2 ( 1 + p 0 t | h 0 t | 2 j = 1 N p j t | h 0 t | 2 + N 0 B ) ,
where N 0 represents the additive white Gaussian noise power. For S-user i, its decoding order is determined based on the channel conditions in each time slot with the SIC, and the semantic similarity of each time slot can be expressed as
ζ i t = ϵ i t ( K , p i t | h i t | 2 j = i + 1 N p j t | h i t | 2 + N 0 B ) .
According to Equation (3), we can obtain the semantic rate as
R i t = B I K L ϵ i t ( K , p i t | h i t | 2 j = i + 1 N p j t | h i t | 2 + N 0 B ) .

3.4. Problem Formulation

We formulate the transmission resource allocation problem for TDMA–NOMA-assisted heterogeneous semantic and bit communication as an optimization problem, and the objective is to maximize the average throughput of bit transmission with constraints on the maximum power as well as the requirements for average semantic similarity and semantic rate. The problem can be formulated as follows:
max α i t , p i t 1 T t = 1 T R 0 t , C 1 : 1 T t = 1 T α i t R i t S n e e d , i U S , C 2 : 1 T t = 1 T α i t ζ i t ζ n e e d , i U S , C 3 : i = 0 N p i t p m a x , t T , C 4 : α i t { 0 , 1 } , t T , i U S .
C 1 indicates that the average semantic rate over T time slots needs to satisfy the semantic demand, while C 2 indicates the requirement for the average semantic similarity. C 3 represents the power constraint. C 4 represents the transmission decision for the S users in each time slot.
By taking the partial derivative of R 0 t with p 0 t , we can find that the throughput of the bit user exhibits an increasing relationship with the allocated power. Therefore, constraint C 3 can be reformulated as
C 3 : i = 0 N p i t = p m a x , t T .
This indicates that the AP strives to maintain full power transmission under conditions of massive numbers of users to ensure the maximum throughput of the bit user.
The optimization problem we proposed is a non-convex problem with integer and continues variables. The method involves decomposing it into several convex sub-problems that can be solved by using convex optimization methods. However, this approach may result in a loss of accuracy. Furthermore, since the channel condition is time-varying, convex optimization methods are inappropriate for tackling this problem in dynamic environments. Therefore, we resort to learning-based approaches to solve the problem dynamically.

4. Problem Solution

In this section, a deep reinforcement learning (DRL) algorithm is introduced to tackle the proposed problem. To address the challenge of handling hybrid discrete–continuous action space, some researchers efforts have either discretized the continuous actions for approximation purposes or relaxed the discrete actions into a continuous set. Then, the problem can be solved by using a deep Q network (DQN) [45] or Deep Deterministic Policy Gradient (DDPG) [46]. However, these approaches alter the original structure of the action space, resulting in losses of generality and accuracy. There are also some methods that adopt discrete approaches for discrete actions and continuous approaches for continuous actions, calculate gradients independently for each type of action, and update them alternately to identify the optimal discrete and continuous actions. However, these approaches overlook the inherent relationship between discrete and continuous action parameters, potentially limiting the overall optimization process. Therefore, in this paper, an efficient learning algorithm, i.e., the parameterized-DQN (P-DQN)-based algorithm, is proposed for addressing the proposed problem with hybrid discrete–continuous action spaces.
The structure of the P-DQN-based algorithm is shown in Figure 4. The proposed P-DQN-based algorithm employs a continuous-action deterministic policy actor network and a discrete-action Q network for finding the optimal discrete actions while avoiding exhaustive searches for continuous parameters. The Q network is a deep neural network (DNN) with multiple fully connected layers. The input layer receives the state space (e.g., channel state information, user requirements), and the output layer provides Q values for each possible discrete action. The loss function minimizes the Bellman error. The actor network is also a DNN, but it outputs the continuous parameters associated with each discrete action. Due to the exponential size of the action space P , we use a hierarchical output structure: the network first generates a coarse representation of the high-dimensional action, which is then refined through additional layers. It first finds the optimal continuous parameters corresponding to all discrete actions using the actor network and then splices the continuous parameters with the states and inputs them into the Q network to obtain the optimal discrete actions. After selecting the optimal discrete actions, the corresponding optimal continuous actions can be determined. The problem-solving process using the P-DQN based algorithm is detailed in what follows.
First, we transform the problem into a Markov decision process (MDP) with a parameterized action space. This MDP can be represented as ( S , A , r , F , γ ) , where S represents the state space, A denotes the parameterized action space, r is the immediate reward function, and F ( s | s , a ) represents the Markov state transition probability function, which are detailed as follows:
  • State: s t = [ h i t , h 0 t , R i ¯ t 1 , ζ i ¯ t 1 ] i U S S , where R i ¯ t 1 = 1 t 1 k = 1 t 1 α i k R i k and ζ i ¯ t 1 = 1 t 1 k = 1 t 1 α i k ζ i k are the average semantic rate and similarity over t 1 time slots, respectively.
  • Action: a t = [ ( α t , P t ) ] A , where a t includes the discrete action vector α t = [ α 1 t , α 2 t , , α N t ] and the continuous parameter vector P t = [ P 1 t , P 2 t , , P 2 N t ] , which contains the continuous parameters for all 2 N possible discrete-action values, i.e., P α t = [ p 1 , α t , p 2 , α t , , p N , α t ] is the corresponding continuous action for possible discrete action α .
  • Reward:
    r t = R 0 ¯ t R 0 ¯ t 1 + ν i = 1 N ( ζ i ¯ t ζ n e e d ) + υ i = 1 N ( R i ¯ t S n e e d ) , if   t < T , R 0 ¯ T , if   t = T , R i ¯ T S n e e d   and   ζ i ¯ T ζ n e e d , i U S , ρ , if   t = T , R i ¯ T < S n e e d   or   ζ i ¯ T < ζ n e e d , i U S ,
    where ν and υ are balance coefficients, R 0 ¯ t denotes the average bit rate over t time slots and can be expressed as R 0 ¯ t = 1 t k = 1 t R 0 k , and ρ is the penalty factor.
In each step t, the AP first obtains the global state information s t from the transmission environment, which includes the channel conditions, the average semantic similarity, and the semantic rate of each semantic user. Then, the state information is input into the actor network (continuous-action network) to obtain the continuous parameters for all possible discrete actions P t ( s t ; θ ) , where θ is the weight vector of the actor network. These continuous parameters P t ( s t ; θ ) , along with the state s t , are then fed into the Q network (discrete-action network) for outputting the Q values Q ( s t , P t ( s t ; θ ) , α ; ω ) for all discrete actions α , where ω is the weight vector of the Q network. Then, the discrete action α t is selected by using a μ -greedy policy, i.e., the discrete action with the highest Q value is chosen with probability μ and randomly chosen with probability 1 μ . After the transmission decision vector α t is determined, the corresponding transmission power allocation vector can be obtained as [ p 1 t , p 2 t , , p N t ] = P α t t .
With the obtained transmission decision vector and transmission power allocation vector, the AP interacts with the environment and observes the next state information s t + 1 . Then, it stores experience tuples ( s t , a t , r t , s t + 1 ) into experience replay memory D. A number of M mini-batches [ M ] t of experience tuples are sampled from experience replay memory D for training the actor and Q networks. Similar to the DQN algorithm, the weight parameter ω of the Q network can be updated through minimizing the loss function with the gradient descent method. The loss function of the Q network can be expressed as
l t Q ( ω ) = 1 2 [ Q ( s k , P k , α k ; ω ) y k ] 2 ,
where y k is the target Q value, which is calculated as
y k = r T , if   k = T , r k + ξ max α Q ( s k + 1 , P k + 1 , α ; ω ) , otherwise ,
where ξ is the discount factor. Then, the weight parameter ω of the Q network can be updated with a step size of ϕ t , which is expressed as
ω t + 1 ω t ϕ t ω l t Q ( ω ) .
Similarly, the loss function of the actor network can be expressed as
l t Θ ( θ ) = k [ M ] t Q ( s k , P k ( θ ) , α k ; ω k ) .
By employing the gradient descent method, the weight parameter of the actor network can be updated with a step size of ψ t , which is expressed as
θ t + 1 θ t ψ t θ l t Θ ( θ ) .
The step size ϕ for updating ω is asymptotically negligible compared to the step size ψ for updating θ . Additionally, the pair { ϕ , ψ } needs to satisfy the Robbins–Monro condition [47] to ensure the validity of the stochastic approximation. The details of the P-DQN-based algorithm for solving the problem is outlined in Algorithm 1.
Algorithm 1 P-DQN-based algorithm for solving the transmission resource allocation problem.
Input:  p m a x , S n e e d , ζ n e e d , T
Output:  α , p
  • Initialize the weight vectors ω and θ for the Q network and the actor network, respectively. Set the maximum number of iterations λ and the action exploration parameter μ . Establish an experience replay memory D. Determine the update step sizes ϕ and ψ for the Q network and actor network, respectively.
1:
for episode = 1 to λ do
2:
  The AP acquires the initial state information of the environment;
3:
  for t = 1 , 2 , 3 , , T do
4:
    Obtain state information s t ;
5:
    Compute the continuous parameters for all possible discrete actions P t ( s t ; θ ) ;
6:
    Calculate the Q values Q ( s t , P t ( s t ; θ ) , α ; ω ) for all discrete actions α ;
7:
    Select discrete action α according to the μ -greedy policy;
8:
     α t = Random Sample , if rnd < μ , a r g m a x α Q ( s t , P t , α ; ω t ) , if rnd μ .
9:
    Obtain transmission power allocation vector [ p 1 t , p 2 t , , p N t ] = P α t t ;
10:
    Engage in interactions with the environment and obtain ( s t + 1 , r t ) ;
11:
    Store ( s t , a t , r t , s t + 1 ) in D;
12:
    Sample M transitions ( s k , a k , r k , s k + 1 ) k [ M ] t randomly;
13:
    Compute the gradient of ω l t Q ( ω ) and θ l t Θ ( θ ) according to (9) and (12);
14:
    Update ω t and θ t according to (11) and (13).
15:
  end for
16:
end for

5. Simulation Results

In this study, a series of simulations were conducted to evaluate the effectiveness of our proposed scheme. In the simulations, we considered a heterogeneous semantic and bit communication system with a bit user and four semantic users randomly distributed within a distance of 50 m from the AP. We set the semantic similarity requirement to 0.7 , the semantic rate requirement to 0.2 I L , and the average number of semantic symbols contained in each word K to 4. It should be noted that the term I L is a constant dependent on the specific type of source, which does not affect resource optimization [27]. The default maximum transmission power of the AP was 1 w. The bandwidth and noise power were set to 2 MHz and 140 dBm/Hz, respectively. Meanwhile, the total number of time slots was set as 100. We set the reward factors ν as 10 4 , υ as 3 × 10 4 , and ρ as 10 6 . The number of mini-batches sampled in each step was 128. In order to encourage exploration, the probability of the initial μ for the μ -greedy policy was set as 0.255 and decreased to a fixed value of 0.1 over time. The step sizes ϕ and ψ were 0.001 and 0.1 , respectively [47]. The implementation was based on Python, using PyTorch frameworks. Training was performed on a GPU-accelerated server using NVIDIA CUDA libraries. And, the default parameter settings are given in Table 1.
We first compared our proposed P-DQN-based algorithm with the DQN-based [45] and DDPG-based [46] algorithms to evaluate the effectiveness of P-DQN. The convergence properties of the P-DQN-, DDPG-, and DQN-based algorithms are shown in Figure 5. From Figure 5, we can see that our proposed P-DQN-based algorithm converges faster than the other two algorithms, as the P-DQN-based algorithm learns both discrete and continuous actions, while DQN and DDPG only learn continuous or discrete actions. Additionally, it is shown that the convergence reward of P-DQN is higher than that of the other two algorithms. This is because the DQN- and DDPG-based algorithms alter the original structure of the action space, resulting in a loss of accuracy.
Next, we compare our proposed P-DQN-based algorithm with DDPG and DQN when the required semantic rate varied from 0.12 I L to 0.24 I L in Figure 6. As can be seen in Figure 6, when the average semantic rate requirement increases, the average bit rates of all the algorithms decrease. It also shows that the proposed P-DQN-based algorithm can obtain a higher average bit rate than DDPG and DQN. Compared to DDPG and DQN, P-DQN improves the average bit rate by 17.62 % and 24.59 % , respectively.
Then, we compare our proposed P-DQN-based algorithm with DDPG and DQN when the required average semantic similarity varies from 0.6 to 0.9 in Figure 7. As can be seen in Figure 7, all three algorithms are able to achieve a high average bit rate when the average semantic similarity constraint is loose, and, as the average semantic similarity requirement increases, the average bit rates of all algorithms decrease. It also shows that the P-DQN-based algorithm always outperforms DDPG and DQN, and the improvement in the average bit rate is up to 16.88 % and 30.06 % , respectively, compared to DDPG and DQN.
In the following, we evaluate the performance of our proposed TDMA–NOMA-assisted transmission scheme compared with other transmission schemes, i.e., TDMA-, FDMA-, and NOMA-assisted transmission schemes. In the OMA transmission schemes (FDMA and TDMA), the AP first allocates a certain amount of transmission resources to the S users, and then the remaining transmission resources are allocated for the bit user. In the NOMA transmission scheme, the AP transmits to all the semantic users and bit user at the same time. Figure 8 shows the impact of the maximum transmission power on the average bit rate of different transmission schemes. As can be seen in Figure 8, when the maximum transmission power is too low, all transmission schemes fail to meet the semantic requirements. When the maximum transmission power is about 0.5 W, only the proposed TDMA–NOMA-assisted transmission scheme can meet the average semantic requirements. And, as the maximum transmission power increases, the average bit rates of all schemes increase. It shows that TDMA–NOMA always achieves the highest average bit rate, as it can adapt asymmetric time-varying conditions to effectively make a transmission decision. The improvement achieved by TDMA–NOMA in the average bit rate is up to 20.74 % and 59.05 % , respectively, compared to NOMA and TDMA.
In Figure 9, we compare the average bit rate over T time slots for the TDMA–NOMA-, NOMA-, and FDMA-assisted transmission schemes with different average numbers of semantic symbols contained in each word K. In Figure 9, we can observe that the average bit rates of NOMA and TDMA–NOMA increase with the increase in K. The reasons are as follows: In NOMA and TDMA–NOMA, the semantic similarity requirement is strict, while the semantic rate requirement is loose. Since the semantic similarity increases with increasing K, when K increases, the AP can allocate less power to semantic users to meet their semantic similarity requirement, and thus the bit user can obtain larger transmission power, resulting in an increased average bit rate. It is also shown that when K increases, the average bit rate of FDMA increases first and then decreases. This is because, in FDMA, as K increases, the semantic similarity constraint gradually loosens, but the semantic rate constraint gradually becomes strict. Since the semantic rate decreases with increasing K, more communication resources have to be allocated to semantic users to meet their semantic rate requirement, resulting in a decreasing average bit rate. Furthermore, it can be seen that our proposed TDMA–NOMA-assisted transmission scheme outperforms the other two schemes under different K values as, in TDMA–NOMA, the AP can allocate the time and power resources dynamically based on channel conditions. The improvement provided by TDMA–NOMA in the average bit rate is 25.78 % and 35.14 % , respectively, compared to NOMA and FDMA when K ranges from four to six.
Figure 10 shows the average bit rates of the TDMA–NOMA-, NOMA-, and TDMA-assisted transmission schemes under different average semantic similarity requirements when the average semantic rate requirement is fixed to 0.3 I L Msuts/s. In Figure 10, we observe that as the required semantic similarity increases, the average amount of information received by bit users exhibits a decreasing trend for TDMA–NOMA and NOMA, since the increase in required semantic similarity leads to an increased amount of resources allocated to semantic users. However, TDMA cannot even satisfy the average semantic rate constraint. TDMA–NOMA was shown to outperform NOMA. The primary reason is that a higher semantic similarity requirement necessitates higher transmission power allocated to semantic users to meet the demand for a higher signal-to-noise ratio. However, the instability and potential deterioration of channel conditions undoubtedly have a significant impact on the overall system. Therefore, the importance of reasonable user grouping in each time slot becomes evident in heterogeneous transmission environments.
Finally, we display the impact of the average semantic rate requirement on the average bit rate for the TDMA–NOMA-, NOMA-, and TDMA-assisted transmission schemes in Figure 11. As shown in Figure 11, the average bit rate decreases as the required average semantic rate increases. It shows that the average bit rate of TDMA decreases faster than that of NOMA and TDMA–NOMA, as the semantic rate constraint is more strict in TDMA. The TDMA–NOMA-assisted transmission scheme outperforms the other two schemes as it efficiently determines the NOMA transmission group in each time slot and allocates the appropriate power resource to each user in the group, thus maximizing the average bit rate.

6. Conclusions

In this paper, we investigated the communication resource allocation problem under time-varying physical channel conditions for a TDMA–NOMA-assisted heterogeneous semantic and bit communication system. We formulated the optimization problem with the aim of maximizing the average bit rate of the bit user while satisfying the semantic requirements of semantic users by jointly optimizing the transmission time slot and power resource allocation. Due to the mixed continuous–discrete variables, a parameterized deep Q network (P-DQN)-based algorithm was proposed to find the optimal decision. The simulation results verified the effectiveness of the proposed P-DQN-based algorithm. The results also demonstrated that our proposed TDMA–NOMA-assisted transmission scheme can achieve better performance in bit throughput compared to other schemes under semantic and resource constraints. In the future, we will extend our study to a scenario with large numbers of semantic users and bit users using clustering.

Author Contributions

Conceptualization, W.J.; Methodology, W.J.; Software, Z.T.; Validation, Z.T.; Investigation, Z.T.; Writing—original draft, Z.T.; Writing—review and editing, W.J.; Supervision, Q.W. and L.Q.; Funding acquisition, W.J., Q.W. and L.Q. All authors have read and agreed to the published version of the manuscript.

Funding

This research was funded by the National Natural Science Foundation of China (Grant Number: 62302450, 62122069 and 62071431) and Zhejiang Provincial Natural Science Foundation (Grant Number: LQ24F020037).

Data Availability Statement

Data is contained within the article.

Conflicts of Interest

The authors declare no conflicts of interest.

References

  1. Shannon, C.E. A mathematical theory of communication. Bell Syst. Tech. J. 1948, 27, 379–423. [Google Scholar] [CrossRef]
  2. Strinati, E.C.; Barbarossa, S. 6G networks: Beyond Shannon towards semantic and goal-oriented communications. Comput. Netw. 2021, 190, 107930. [Google Scholar] [CrossRef]
  3. Guler, B.; Yener, A.; Swami, A. The Semantic Communication Game. IEEE Trans. Cogn. Commun. Netw. 2018, 4, 787–802. [Google Scholar] [CrossRef]
  4. Shi, G.; Gao, D.; Song, X.; Chai, J.; Yang, M.; Xie, X.; Li, L.; Li, X. A new communication paradigm: From bit accuracy to semantic fidelity. arXiv 2021, arXiv:2101.12649. [Google Scholar] [CrossRef]
  5. Shi, G.; Xiao, Y.; Li, Y.; Xie, X. From Semantic Communication to Semantic-Aware Networking: Model, Architecture, and Open Problems. IEEE Commun. Mag. 2021, 59, 44–50. [Google Scholar] [CrossRef]
  6. Khalfet, N.; Psomas, C.; Krikidis, I. Information-Energy Capacity Region for SWIPT Systems with Semantic Communication. In Proceedings of the GLOBECOM 2023—2023 IEEE Global Communications Conference, Kuala Lumpur, Malaysia, 4–8 December 2023; pp. 1018–1023. [Google Scholar] [CrossRef]
  7. Bao, J.; Basu, P.; Dean, M.; Partridge, C.; Swami, A.; Leland, W.; Hendler, J.A. Towards a theory of semantic communication. In Proceedings of the 2011 IEEE Network Science Workshop, Washington, DC, USA, 22–24 June 2011; pp. 110–117. [Google Scholar] [CrossRef]
  8. Niu, K.; Zhang, P. A Mathematical Theory of Semantic Communication. arXiv 2024, arXiv:2401.13387. [Google Scholar] [CrossRef]
  9. Xin, G.; Fan, P.; Letaief, K.B. Semantic Communication: A Survey of Its Theoretical Development. Entropy 2024, 26, 102. [Google Scholar] [CrossRef]
  10. Qin, Z.; Tao, X.; Lu, J.; Tong, W.; Li, G.Y. Semantic Communications: Principles and Challenges. arXiv 2022, arXiv:2201.01389. [Google Scholar] [CrossRef]
  11. Minaee, S.; Boykov, Y.Y.; Porikli, F.; Plaza, A.J.; Kehtarnavaz, N.; Terzopoulos, D. Image Segmentation Using Deep Learning: A Survey. IEEE Trans. Pattern Anal. Mach. Intell. 2022, 44, 3523–3542. [Google Scholar] [CrossRef]
  12. Shi, F.; Wang, J.; Shi, J.; Wu, Z.; Wang, Q.; Tang, Z.; He, K.; Shi, Y.; Shen, D. Review of Artificial Intelligence Techniques in Imaging Data Acquisition, Segmentation, and Diagnosis for COVID-19. IEEE Rev. Biomed. Eng. 2021, 14, 4–15. [Google Scholar] [CrossRef]
  13. Huffman, D.A. A Method for the Construction of Minimum-Redundancy Codes. Proc. IRE 1952, 40, 1098–1101. [Google Scholar] [CrossRef]
  14. Gallager, R. Low-density parity-check codes. IRE Trans. Inf. Theory 1962, 8, 21–28. [Google Scholar] [CrossRef]
  15. Arikan, E. Channel Polarization: A Method for Constructing Capacity-Achieving Codes for Symmetric Binary-Input Memoryless Channels. IEEE Trans. Inf. Theory 2009, 55, 3051–3073. [Google Scholar] [CrossRef]
  16. Farsad, N.; Rao, M.; Goldsmith, A. Deep Learning for Joint Source-Channel Coding of Text. In Proceedings of the 2018 IEEE International Conference on Acoustics, Speech and Signal Processing (ICASSP), Calgary, AB, Canada, 15–20 April 2018; pp. 2326–2330. [Google Scholar] [CrossRef]
  17. Chen, Z.; Chen, K.-C.; Dong, C.; Nie, Z. 6G Mobile Communications for Multi-Robot Smart Factory. J. ICT Stand. 2021, 9, 371–404. [Google Scholar] [CrossRef]
  18. Nguyen, D.C.; Ding, M.; Pathirana, P.N.; Seneviratne, A.; Li, J.; Niyato, D.; Dobre, O.; Poor, H.V. 6G Internet of Things: A Comprehensive Survey. IEEE Internet Things J. 2022, 9, 359–383. [Google Scholar] [CrossRef]
  19. Li, H.; Ota, K.; Dong, M. Learning IoV in 6G: Intelligent Edge Computing for Internet of Vehicles in 6G Wireless Communications. IEEE Wirel. Commun. 2023, 30, 96–101. [Google Scholar] [CrossRef]
  20. Miri, F.; Javadpour, A.; Ja’fari, F.; Sangaiah, A.K.; Pazzi, R. Improving Resources in Internet of Vehicles Transportation Systems Using Markov Transition and TDMA Protocol. IEEE Trans. Intell. Transp. Syst. 2023, 24, 13050–13067. [Google Scholar] [CrossRef]
  21. Chen, Z.; Zhang, Z.; Xiao, Z.; Yang, Z.; Jin, R. Deep Learning-Based Multi-User Positioning in Wireless FDMA Cellular Networks. IEEE J. Sel. Areas Commun. 2023, 41, 3848–3862. [Google Scholar] [CrossRef]
  22. Sun, J.; Sheng, Z.; Nasir, A.A.; Sun, Y.; Fang, Y. Secrecy Energy Efficiency Maximization for UAV-Enabled FDMA systems. In Proceedings of the 2023 IEEE 24th International Workshop on Signal Processing Advances in Wireless Communications (SPAWC), Shanghai, China, 25–28 September 2023; pp. 556–560. [Google Scholar] [CrossRef]
  23. Chauhan, A.; Ghosh, S.; Jaiswal, A. RIS Partition-Assisted Non-Orthogonal Multiple Access (NOMA) and Quadrature-NOMA with Imperfect SIC. IEEE Trans. Wirel. Commun. 2023, 22, 4371–4386. [Google Scholar] [CrossRef]
  24. Meng, Z.; Huang, L.; Li, Q.; Zhang, W.; Tang, B.; Wang, C.; Ge, X. Multi-User Semantic Communication on Hybrid NOMA. In Proceedings of the 2023 28th Asia Pacific Conference on Communications (APCC), Sydney, Australia, 19–22 November 2023; pp. 136–142. [Google Scholar] [CrossRef]
  25. Bono, F.M.; Polinelli, A.; Radicioni, L.; Benedetti, L.; Castelli-Dezza, F.; Cinquemani, S.; Belloli, M. Wireless Accelerometer Architecture for Bridge SHM: From Sensor Design to System Deployment. Future Internet 2025, 17, 29. [Google Scholar] [CrossRef]
  26. Chen, J.; Yang, S.; Chan, T.-T.; Pan, H. Enhancing Information Freshness via Knowledge Graph-Aided Semantic Communication. In Proceedings of the 2023 IEEE 11th International Conference on Information, Communication and Networks (ICICN), Xi’an, China, 10–13 August 2023; pp. 155–160. [Google Scholar] [CrossRef]
  27. Yan, L.; Qin, Z.; Zhang, R.; Li, Y.; Li, G.Y. Resource Allocation for Text Semantic Communications. IEEE Wirel. Commun. Lett. 2022, 11, 1394–1398. [Google Scholar] [CrossRef]
  28. Hu, H.; Zhu, X.; Zhou, F.; Wu, W.; Hu, R.Q. Semantic-Oriented Resource Allocation for Multi-Modal UAV Semantic Communication Networks. In Proceedings of the GLOBECOM 2023—2023 IEEE Global Communications Conference, Lumpur, Malaysia, 4–8 December 2023; pp. 7213–7218. [Google Scholar] [CrossRef]
  29. Tang, W.; Liu, R.; Li, Q.; Meng, Z.; Pandharipande, A.; Ge, X. Joint Optimization on Mode Switching and Power Adaptation in Semantic-Assisted Hybrid NOMA. IEEE Open J. Commun. Soc. 2024, 5, 4797–4807. [Google Scholar] [CrossRef]
  30. Zhang, M.; Zhong, R.; Mu, X.; Liu, Y. Machine Learning Enabled Heterogeneous Semantic and Bit Communication. IEEE Trans. Wirel. Commun. 2024, 23, 12949–12963. [Google Scholar] [CrossRef]
  31. Lin, L.; Xu, W.; Wang, F.; Zhang, Y.; Zhang, W.; Zhang, P. Channel-Transferable Semantic Communications for Multi-User OFDM-NOMA Systems. IEEE Wirel. Commun. Lett. 2024, 13, 721–725. [Google Scholar] [CrossRef]
  32. Mu, X.; Liu, Y.; Guo, L.; Al-Dhahir, N. Heterogeneous Semantic and Bit Communications: A Semi-NOMA Scheme. IEEE J. Sel. Areas Commun. 2023, 41, 155–169. [Google Scholar] [CrossRef]
  33. Bourtsoulatze, E.; Kurka, D.B.; Gündüz, D. Deep Joint Source-Channel Coding for Wireless Image Transmission. IEEE Trans. Cogn. Commun. Netw. 2019, 5, 567–579. [Google Scholar] [CrossRef]
  34. Kurka, D.B.; Gündüz, D. Bandwidth-Agile Image Transmission with Deep Joint Source-Channel Coding. IEEE Trans. Wirel. Commun. 2021, 20, 8081–8095. [Google Scholar] [CrossRef]
  35. Xu, J.; Ai, B.; Chen, W.; Wang, N.; Rodrigues, M. Deep Joint Source-Channel Coding for Image Transmission with Visual Protection. IEEE Trans. Cogn. Commun. Netw. 2023, 9, 1399–1411. [Google Scholar] [CrossRef]
  36. Huang, D.; Tao, X.; Gao, F.; Lu, J. Deep Learning-Based Image Semantic Coding for Semantic Communications. In Proceedings of the 2021 IEEE Global Communications Conference (GLOBECOM), Madrid, Spain, 7–11 December 2021; pp. 1–6. [Google Scholar] [CrossRef]
  37. Weng, Z.; Qin, Z. Semantic Communication Systems for Speech Transmission. IEEE J. Sel. Areas Commun. 2021, 39, 2434–2444. [Google Scholar] [CrossRef]
  38. Wang, S.; Dai, J.; Liang, Z.; Niu, K.; Si, Z.; Dong, C.; Qin, X.; Zhang, P. Wireless Deep Video Semantic Transmission. IEEE J. Sel. Areas Commun. 2023, 41, 214–229. [Google Scholar] [CrossRef]
  39. Wang, G.; Zhao, Z.; Xu, T. A Joint Interference Cancellation Method For Non-Orthogonal Multiple Access Uplink Signals. In Proceedings of the 2018 14th IEEE International Conference on Signal Processing (ICSP), Beijing, China, 12–16 August 2018; pp. 694–697. [Google Scholar] [CrossRef]
  40. Xie, H.; Qin, Z.; Li, G.Y.; Juang, B.-H. Deep Learning Enabled Semantic Communication Systems. IEEE Trans. Signal Process. 2021, 69, 2663–2675. [Google Scholar] [CrossRef]
  41. Peters, M.E.; Neumann, M.; Iyyer, M.; Gardner, M.; Clark, C.; Lee, K.; Zettlemoyer, L. Deep Contextualized Word Representations. In Proceedings of the 2018 Conference of the North American Chapter of the Association for Computational Linguistics: Human Language Technologies, Volume 1 (Long Papers), New Orleans, LA, USA, 1–6 June 2018; Walker, M., Ji, H., Stent, A., Eds.; Association for Computational Linguistics: Bangkok, Thailand, 2018; pp. 2227–2237. [Google Scholar] [CrossRef]
  42. Xie, H.; Qin, Z.; Tao, X.; Letaief, K.B. Task-Oriented Multi-User Semantic Communications. IEEE J. Sel. Areas Commun. 2022, 40, 2584–2597. [Google Scholar] [CrossRef]
  43. Dai, L.; Wang, B.; Ding, Z.; Wang, Z.; Chen, S.; Hanzo, L. A Survey of Non-Orthogonal Multiple Access for 5G. IEEE Commun. Surv. Tutorials 2018, 20, 2294–2323. [Google Scholar] [CrossRef]
  44. Zhang, Z.; Xiao, Y.; Ma, Z.; Xiao, M.; Ding, Z.; Lei, X.; Karagiannidis, G.K.; Fan, P. 6G Wireless Networks: Vision, Requirements, Architecture, and Key Technologies. IEEE Veh. Technol. Mag. 2019, 14, 28–41. [Google Scholar] [CrossRef]
  45. Mnih, V.; Kavukcuoglu, K.; Silver, D.; Rusu, A.A.; Veness, J.; Bellemare, M.G.; Graves, A.; Riedmiller, M.; Fidjeland, A.K.; Ostrovski, G.; et al. Human-level control through deep reinforcement learning. Nature 2015, 518, 529–533. [Google Scholar] [CrossRef]
  46. Lillicrap, T.P.; Hunt, J.J.; Pritzel, A.; Heess, N.; Erez, T.; Tassa, Y.; Silver, D.; Wierstra, D. Continuous control with deep reinforcement learning. arXiv 2019, arXiv:1509.02971. [Google Scholar] [CrossRef]
  47. Robbins, H.; Monro, S. A Stochastic Approximation Method. Ann. Math. Stat. 1951, 22, 400–407. [Google Scholar] [CrossRef]
Figure 1. Network model.
Figure 1. Network model.
Electronics 14 01005 g001
Figure 2. Heterogeneous semantic and bit communication model.
Figure 2. Heterogeneous semantic and bit communication model.
Electronics 14 01005 g002
Figure 3. Semantic similarity under different SNRs.
Figure 3. Semantic similarity under different SNRs.
Electronics 14 01005 g003
Figure 4. Illustration of the P-DQN structure.
Figure 4. Illustration of the P-DQN structure.
Electronics 14 01005 g004
Figure 5. Illustration of the convergence property of our proposed algorithm.
Figure 5. Illustration of the convergence property of our proposed algorithm.
Electronics 14 01005 g005
Figure 6. Average bit rate for the P-DQN-, DDPG-, and DQN-based algorithms under different semantic rate requirements.
Figure 6. Average bit rate for the P-DQN-, DDPG-, and DQN-based algorithms under different semantic rate requirements.
Electronics 14 01005 g006
Figure 7. Average bit rate for the P-DQN-, DDPG-, and DQN-based algorithms under different semantic similarity requirements.
Figure 7. Average bit rate for the P-DQN-, DDPG-, and DQN-based algorithms under different semantic similarity requirements.
Electronics 14 01005 g007
Figure 8. Average bit rate for the TDMA–NOMA-, NOMA-, and TDMA-assisted transmission schemes under different transmission power conditions.
Figure 8. Average bit rate for the TDMA–NOMA-, NOMA-, and TDMA-assisted transmission schemes under different transmission power conditions.
Electronics 14 01005 g008
Figure 9. Average bit rate for the TDMA–NOMA-, NOMA-, and FDMA-assisted transmission schemes for different numbers of semantic symbols per word.
Figure 9. Average bit rate for the TDMA–NOMA-, NOMA-, and FDMA-assisted transmission schemes for different numbers of semantic symbols per word.
Electronics 14 01005 g009
Figure 10. Average bit rate for the TDMA–NOMA-, NOMA-, and FDMA-assisted transmission schemes under different semantic similarity requirements.
Figure 10. Average bit rate for the TDMA–NOMA-, NOMA-, and FDMA-assisted transmission schemes under different semantic similarity requirements.
Electronics 14 01005 g010
Figure 11. Average bit rate for the TDMA–NOMA-, NOMA-, and FDMA-assisted transmission schemes for different semantic rate requirements.
Figure 11. Average bit rate for the TDMA–NOMA-, NOMA-, and FDMA-assisted transmission schemes for different semantic rate requirements.
Electronics 14 01005 g011
Table 1. Simulation parameters.
Table 1. Simulation parameters.
ParameterValue
Number of semantic users, N4
Semantic rate requirement, S n e e d 0.2 I L Msuts/s
Semantic similarity requirement, ζ n e e d 0.7
Average number of symbols per word, K4 symbols/word
Maximum transmission power, p m a x 1 W
Noise power spectral density, N 0 −140 dBm/Hz
Transmission bandwidth, B2 MHz
Total number of time slots, T100
Reward factors ν , υ , ρ 10 4 , 3 × 10 4 , 10 6
Number of sampled mini-batches, M128
Step sizes ϕ , ψ 0.001 , 0.1
Disclaimer/Publisher’s Note: The statements, opinions and data contained in all publications are solely those of the individual author(s) and contributor(s) and not of MDPI and/or the editor(s). MDPI and/or the editor(s) disclaim responsibility for any injury to people or property resulting from any ideas, methods, instructions or products referred to in the content.

Share and Cite

MDPI and ACS Style

Jiang, W.; Teng, Z.; Wang, Q.; Qian, L. Time Division Multiple Access–Non-Orthogonal Multiple Access-Assisted Heterogeneous Semantic and Bit Communications. Electronics 2025, 14, 1005. https://doi.org/10.3390/electronics14051005

AMA Style

Jiang W, Teng Z, Wang Q, Qian L. Time Division Multiple Access–Non-Orthogonal Multiple Access-Assisted Heterogeneous Semantic and Bit Communications. Electronics. 2025; 14(5):1005. https://doi.org/10.3390/electronics14051005

Chicago/Turabian Style

Jiang, Wei, Zenan Teng, Qian Wang, and Liping Qian. 2025. "Time Division Multiple Access–Non-Orthogonal Multiple Access-Assisted Heterogeneous Semantic and Bit Communications" Electronics 14, no. 5: 1005. https://doi.org/10.3390/electronics14051005

APA Style

Jiang, W., Teng, Z., Wang, Q., & Qian, L. (2025). Time Division Multiple Access–Non-Orthogonal Multiple Access-Assisted Heterogeneous Semantic and Bit Communications. Electronics, 14(5), 1005. https://doi.org/10.3390/electronics14051005

Note that from the first issue of 2016, this journal uses article numbers instead of page numbers. See further details here.

Article Metrics

Back to TopTop