Novel Tight Jensen’s Inequality-Based Performance Analysis of RIS-Aided Ambient Backscatter Communication Systems
Abstract
1. Introduction
- (1)
- A closed-form expression for the upper bound on the ergodic capacity of RIS-assisted AmBC systems is derived.
- (2)
- A novel tight Jensen’s inequality is proposed for a tighter upper bound on the ergodic capacity.
- (3)
- The advantages of utilizing RIS and the impact of BD or RIS placement on the ergodic capacity are presented.
- (4)
- We demonstrate that including BS, the capacity curve is more flexible and the system can be more freely designed.
2. System Model
3. Performance Analysis
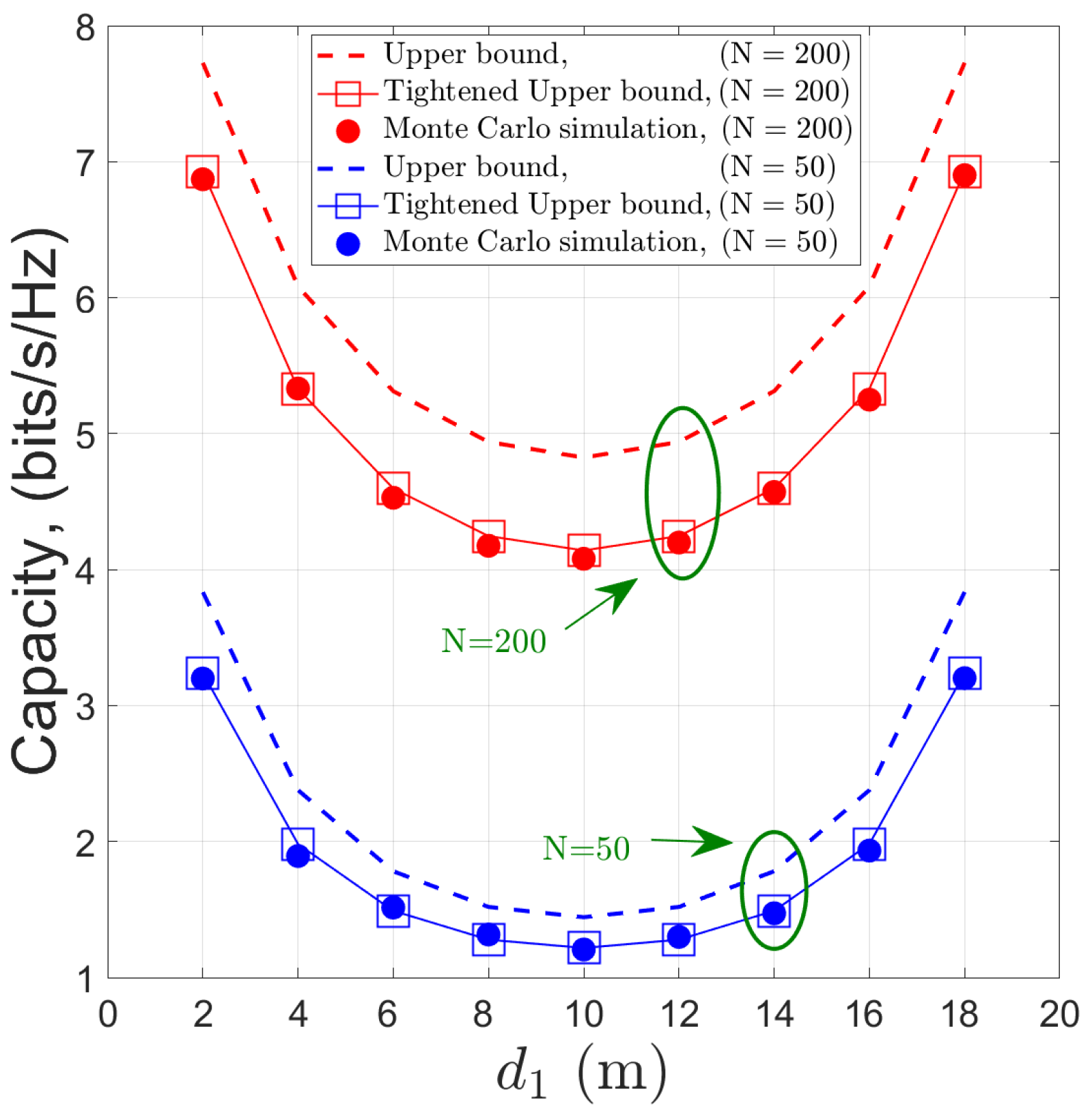
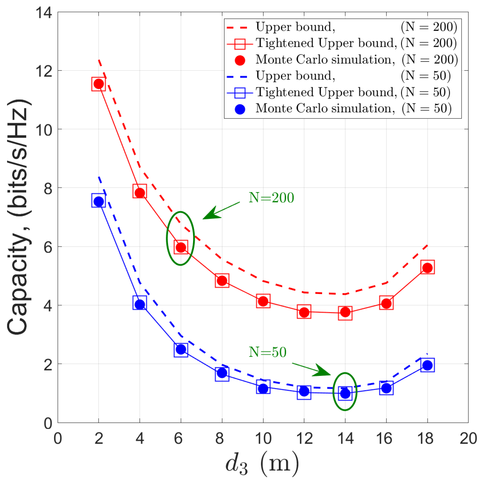
4. Numerical Results and Discussions
5. Conclusions
Funding
Data Availability Statement
Conflicts of Interest
Abbreviations
| AmBC | Ambient backscatter communication |
| ASER | Average symbol error rate |
| BS | Base station |
| BD | Backscatter devices |
| CLT | Central limit theorem |
| CRNs | Cognitive radio networks |
| D | Destination |
| IoTs | Internet of Things |
| MIMO | Multiple-input multiple-output |
| MISO | Multiple-input single-output |
| NOMA | Non-orthogonal multiple access |
| OP | Outage probability |
| RF | Radio frequency |
| RFID | Radio frequency identification |
| RIS | Reconfigurable intelligent surfaces |
| RV | Random variable |
| SREs | Smart radio environments |
| SNR | Signal-to-noise ratio |
| SAGIN | Space–air–ground–integrated networks |
| TV | Television |
| WTC | Wiretap channel |
References
- Parks, A.; Liu, A.; Gollakota, S. Turbocharging ambient backscatter communication. In Proceedings of the 2014 ACM Conference on SIGCOMM, Chicago, IL, USA, 17–22 August 2014; pp. 619–630. [Google Scholar]
- Liu, V.; Parks, A.; Gollakota, S.; Smith, J. Wi-Fi backscatter: Internet connectivity for RF-powered devices. In Proceedings of the 2014 ACM Conference on SIGCOMM, Chicago, IL, USA, 17–22 August 2014; pp. 607–618. [Google Scholar]
- Liu, V.; Parks, A.; Talla, V.; Gollakota, S.; Wetherall, D.; Smith, J.R. Ambient backscatter: Wireless communication out of thin air. In Proceedings of the 2013 ACM Conference on SIGCOMM, Hong Kong, China, 12–16 August 2013; pp. 39–50. [Google Scholar]
- Hoang, D.T.; Niyato, D.; Wang, P.; Kim, D.I.; Han, Z. Ambient backscatter: A new approach to improve network performance for RFpowered cognitive radio networks. IEEE Trans. Commun. 2017, 65, 3659–3674. [Google Scholar] [CrossRef]
- Lu, X.; Niyato, D.; Jiang, H.; Kim, D.I.; Xiao, Y.; Han, Z. Ambient backscatter assisted wireless powered communications. IEEE Wirel. Commun. 2018, 55, 170–177. [Google Scholar] [CrossRef]
- You, L.; Xiong, J.; Ng, D.W.K.; Yuen, C.; Wang, W.; Gao, X. Energy efficiency and spectral efficiency tradeoff in RIS-aided multiuser MIMO uplink transmission. IEEE Trans. Signal Process. 2021, 69, 1407–1421. [Google Scholar] [CrossRef]
- Zhao, M.M.; Wu, Q.; Zhao, M.J.; Zhang, R. Exploiting amplitude control in intelligent reflecting surface aided wireless communication with imperfect CSI. IEEE Trans. Commun. 2021, 69, 4216–4231. [Google Scholar] [CrossRef]
- Huang, C.; Zappone, A.; Alexandropoulos, G.C.; Debbah, M.; Yuen, C. Reconfigurable intelligent surfaces for energy efficiency in wireless communication. IEEE Trans. Wirel. Commun. 2019, 18, 4157–4170. [Google Scholar] [CrossRef]
- Di Renzo, M.; Zappone, A.; Debbah, M.; Alouini, M.S.; Yuen, C.; De Rosny, J.; Tretyakov, S. Smart radio environments empowered by reconfigurable intelligent surfaces: How it works, state of research, and the road ahead. IEEE J. Sel. Areas Commun. 2020, 38, 2450–2525. [Google Scholar] [CrossRef]
- Najafi, M.; Jamali, V.; Schober, R.; Poor, H.V. Physics-based modeling and scalable optimization of large intelligent reflecting surfaces. IEEE Trans. 2021, 69, 2673–2691. [Google Scholar] [CrossRef]
- Dong, L.; Wang, H. Enhancing secure MIMO transmission via intelligent reflecting surface. IEEE Trans. Wirel. Commun. 2020, 19, 7543–7556. [Google Scholar] [CrossRef]
- Feng, K.; Wang, Q.; Li, X.; Wen, C.K. Deep reinforcement learning based intelligent reflecting surface optimization for MISO communication systems. IEEE Wirel. Commun. Lett. 2020, 9, 745–749. [Google Scholar] [CrossRef]
- Liu, Q.; Fu, M.; Li, W.; Xie, J.; Kadoch, M. RIS-Assisted Ambient Backscatter Communication for SAGIN IoT. IEEE Internet Things J. 2023, 10, 9375–9384. [Google Scholar] [CrossRef]
- Galappaththige, D.L.; Rezaei, F.; Tellambura, C.; Herath, S. RIS empowered ambient backscatter communication systems. IEEE Wirel. Commun. Lett. 2023, 12, 173–177. [Google Scholar] [CrossRef]
- Khan, Y.; Afzal, A.; Dubey, A. Capacity analysis of RIS-aided backscatter communication systems. In Proceedings of the 2023 IEEE 97th Vehicular Technology Conference (VTC2023-Spring), Florence, Italy, 20–23 June 2023; pp. 1–5. [Google Scholar]
- Le, A.T.; Nguyen, T.N.; Tu, L.T.; Tran, T.P.; Duy, T.T.; Voznak, M.; Ding, Z. Performance Analysis of RIS-Assisted Ambient Backscatter Communication Systems. IEEE Wirel. Commun. Lett. 2024, 13, 791–795. [Google Scholar] [CrossRef]
- Chen, Y. Performance of ambient backscatter systems using reconfigurable intelligent surface. IEEE Commun. Lett. 2020, 25, 2536–2539. [Google Scholar] [CrossRef]
- Tao, Q.; Wang, J.; Zhong, C. Performance Analysis of Intelligent Reflecting Surface Aided Communication Systems. IEEE Commun. Lett. 2020, 24, 2464–2468. [Google Scholar] [CrossRef]
- Dong, L. How Many Reflecting Elements Are Needed for Energy- and Spectral-Efficient Intelligent Reflecting Surface-Assisted Communication. IEEE Trans. Commun. 2022, 70, 1320–1331. [Google Scholar]
- Dong, L. Ergodic Capacity of Intelligent Reflecting Surface-Assisted Communication Systems With Phase Errors. IEEE Commun. Lett. 2020, 24, 1646–1650. [Google Scholar] [CrossRef]
- Chen, W.; Wen, C.K.; Li, X.; Jin, S. Channel Customization for Joint Tx-RISs-Rx Design in Hybrid mmWave Systems. IEEE Trans. Wirel. Commun. 2023, 22, 8304–8319. [Google Scholar] [CrossRef]
- Chung, K. Enlarged achievable rate region of NOMA by CSC Without SIC. Electronics 2025, 24, 2710. [Google Scholar] [CrossRef]




Disclaimer/Publisher’s Note: The statements, opinions and data contained in all publications are solely those of the individual author(s) and contributor(s) and not of MDPI and/or the editor(s). MDPI and/or the editor(s) disclaim responsibility for any injury to people or property resulting from any ideas, methods, instructions or products referred to in the content. |
© 2025 by the author. Licensee MDPI, Basel, Switzerland. This article is an open access article distributed under the terms and conditions of the Creative Commons Attribution (CC BY) license (https://creativecommons.org/licenses/by/4.0/).
Share and Cite
Chung, K. Novel Tight Jensen’s Inequality-Based Performance Analysis of RIS-Aided Ambient Backscatter Communication Systems. Electronics 2025, 14, 4099. https://doi.org/10.3390/electronics14204099
Chung K. Novel Tight Jensen’s Inequality-Based Performance Analysis of RIS-Aided Ambient Backscatter Communication Systems. Electronics. 2025; 14(20):4099. https://doi.org/10.3390/electronics14204099
Chicago/Turabian StyleChung, Kyuhyuk. 2025. "Novel Tight Jensen’s Inequality-Based Performance Analysis of RIS-Aided Ambient Backscatter Communication Systems" Electronics 14, no. 20: 4099. https://doi.org/10.3390/electronics14204099
APA StyleChung, K. (2025). Novel Tight Jensen’s Inequality-Based Performance Analysis of RIS-Aided Ambient Backscatter Communication Systems. Electronics, 14(20), 4099. https://doi.org/10.3390/electronics14204099

