Next Article in Journal
Redefining 6G Network Slicing: AI-Driven Solutions for Future Use Cases
Next Article in Special Issue
A Study on Performance Improvement of Maritime Wireless Communication Using Dynamic Power Control with Tethered Balloons
Previous Article in Journal
Federated Learning for Extreme Label Noise: Enhanced Knowledge Distillation and Particle Swarm Optimization
Previous Article in Special Issue
Multi-Agent Reinforcement Learning for Efficient Resource Allocation in Internet of Vehicles
 
 
Font Type:
Arial Georgia Verdana
Font Size:
Aa Aa Aa
Line Spacing:
Column Width:
Background:
Article

Machine Learning-Driven Approaches for Advanced Microwave Filter Design

by
Sara Javadi
1,*,
Behrooz Rezaee
1,
Sayyid Shahab Nabavi
2,3,
Michael Ernst Gadringer
1 and
Wolfgang Bösch
1
1
Institute of Microwave and Photonic Engineering, Graz University of Technology, 8010 Graz, Austria
2
Institute of Electronic Engineering, FH JOANNEUM, 8020 Graz, Austria
3
Institute of Technical Informatics, Graz University of Technology, 8010 Graz, Austria
*
Author to whom correspondence should be addressed.
Electronics 2025, 14(2), 367; https://doi.org/10.3390/electronics14020367
Submission received: 6 December 2024 / Revised: 10 January 2025 / Accepted: 15 January 2025 / Published: 17 January 2025

Abstract

This study introduces a machine learning (ML)-driven approach to next-generation microwave filter design that enhances both accuracy and efficiency via repeated refinement. The approach includes generating a coupling matrix from filter specifications, followed by predicting physical parameters such as iris widths and resonator lengths using ML models, especially with the XGBoost algorithm. These predictions are validated and tuned via simulations and iterative adjustments to ensure meeting the performance criteria, such as center frequency, bandwidth, and return loss. For tuning, in this work, we used Simulated Annealing to extract a coupling matrix to reduce errors and hence allow accurate further optimization. The predicted values before optimization are more than 90 percent accurate compared to the optimized values, significantly reducing the optimization time and the number of iterations required. To demonstrate the procedure’s validity, third-, fourth-, and fifth-order filters are implemented, which shows significant improvements in design efficiency and accuracy.

1. Introduction

Filters allow selective signal passage within specific frequency ranges while attenuating unwanted frequencies to reduce interference, preserve signal integrity, and optimize system performance in complex environments [1,2,3]. In filter design, accurately determining key parameters such as iris width and resonator length is crucial for achieving optimal performance. Even minor variations in these dimensions can significantly affect the filter’s efficiency and effectiveness, requiring considerable time to optimize and refine for the desired results [4].
Recently, machine learning (ML) has been used in many areas of microwave engineering, such as imaging and design optimization, to enhance efficiency and effectiveness. In various microwave component optimizations, ML automates the adjustment of design parameters, improving the performance and efficiency of devices [5,6,7,8].
In filter design, ML techniques, including artificial neural networks (ANNs) and Generative Adversarial Networks (GANs), have been applied for inverse design, optimizing filter dimensions and S-parameters, which enhances speed and computational efficiency [9]. Other deep learning approaches like artificial neural networks and deep reinforcement learning (DRL) have been applied to filter dimension prediction, optimizing S-parameters (SA: Scattering Parameters) for filter performance and designing waveguide and CSRR filters [10,11,12]. In addition, the regularized deep belief network (DBN) and the deep neural network (DNN) with smooth ReLU (Rectified Linear Unit) activation function have significantly increased reliability and precision in microwave modeling and the inverse design problem of coupling matrix extraction as compared to previous techniques [13,14]. The recently published systematic review of applications of ANN models in engineering for electromagnetic design tasks and optimization tasks confirms a further trend of improvement in the design of microwave circuits [15]. Other advanced methods, such as the neuro-coupling matrix technique, are also being explored to enhance further the design and optimization of microwave filters [16].
In this paper, we propose a novel machine learning-based approach for predicting resonator dimensions in air-filled waveguides. Figure 1a illustrates the step-by-step workflow of the proposed methodology. The approach begins with generating the coupling matrix based on established equations from the literature and filter specifications. Simulation data are then generated to determine the filter’s coupling characteristics and establish a relationship between the coupling matrix and the simulation results, as explained in subsequent sections. Unlike previous works, our approach uses a smaller dataset, requiring fewer data and less computational time. This efficiency is achieved by combining machine learning alongside key theoretical aspects of filter design. As depicted in Figure 1b, we employ two separate machine learning models to address the two types of coupling encountered during filter design. In determining resonator lengths, we utilize interpolation techniques, and for the optimization phase, we integrate theoretical aspects with the Simulated Annealing (SA) method. After obtaining the values to refine the results, the coupling matrix is extracted from the scattering parameters and compared with the initially generated matrix. Any deviations are identified and addressed through a few iterative adjustments, significantly enhancing both the accuracy and efficiency of the filter design process. This combination enables simpler machine learning models while improving accuracy and accelerating the filter design process. Ultimately, our approach reduces the need for large datasets and complex models, enhancing both the speed and precision of filter design.
We chose XGBoost for its excellent compatibility with structured and numerical data, such as S-parameters and geometric features, which are central to our problem. Unlike neural networks, XGBoost achieves high accuracy with smaller datasets and prevents overfitting through built-in regularization. Its iterative boosting mechanism enhances accuracy and ensures computational efficiency, making it the optimal choice for this study.

2. Methodology

As shown in Figure 1, the first step in the methodology of this study is to establish the goals and the problems of synthesis of the filter, verifying the specification sequencing. With a precise center frequency and adequate range to effectively transmit the signal, the return loss must be minimized or eliminated, and the insertion loss must be zero to avoid signal losses. These specifications are necessary because they set the right direction for the design of the elements in order to achieve the desired performance. Establishing the correct physical dimensions of some anisotropic components, such as the widths of the irises and the lengths of the resonators, is one of the hardest tasks in the synthesis of the filter design. Imposing dimensions for various specifications tends to cause inaccurate dimensioning and performance degradation. In addition, commencing optimization with incorrect starting parameters causes the optimization to converge to an incorrect or even nonexistent solution, making the design technique more complex.
The coupling matrix defines filter specifications, indicating the required coupling between resonators and the input, and translates design requirements into physical dimensions. Data on coupling coefficients and resonator lengths are gathered through simulations and theoretical equations, and pre-processing techniques like normalization enhance model performance. The data are processed to establish relationships and link them to the filter specifications via the coupling matrix, which is divided by standard waveguide frequencies for better accuracy.
The XGBoost model [17] is trained in this case to provide a regression to predict the waveguide width for the given frequency, coupling, and external quality factor. Aiming for increased model accuracy, hyperparameters were optimized by means of a RandomizedSearchCV [18]. For instance, the number of estimators, learning rate, maximum tree depth, and subsample ratio were chosen as the more important ones to control model complexity and avoid overfitting. A total of 20 parameter combinations were searched by RandomizedSearchCV, performance being evaluated during its fivefold cross-validation phase based on a negative mean squared error (MSE) performance metric. This guaranteed that the intention of the experimentation in building the model was achieved and in a controlled manner.
The resonator length is determined by interpolating and scaling the width dimension. The model is validated through simulations of scattering parameters to ensure it meets design criteria. The coupling matrix is extracted using Simulated Annealing (SA), and discrepancies are addressed iteratively, optimizing the design to meet performance specifications.

2.1. Coupling Matrix

The coupling matrix is a mathematical representation describing the interaction between the filter’s resonators (or elements). It is widely used for filter synthesis, analysis, and tuning, especially in complex coupled resonator designs. Mij in the matrix represents the coupling strength between resonators i and j. The diagonal elements Mii represent the self-coupling of each resonator, which is related to the resonator’s detuning or its deviation from the center frequency [19].
After defining the filter specifications, the next step is to identify the coupling matrix crucial to filter design. Referring to the equations formulated in the literature, the coupling matrix can be worked out directly from the filter specifications. These equations enable a proper calculation of coupling coefficients and resonator frequencies. This process is, therefore, useful in closing the loop between the theoretical specifications and the practical implementation [19].

2.2. Data Preparation

The database feature in this work is made of three types of data depicted in Figure 2. The first is external coupling (Ws1), which refers to the iris width between the first resonator and the source (or between the last resonator and the output). The second is called inter-resonator coupling (Wij) for the irises between resonators. The third one is the effective lengths of the resonators (LN) obtained from simulations. All iris dimensions were normalized to the standard waveguide width at the frequency of interest to enable better learning and to make sure all parameters have individual weightage in the model. This normalization step was important to ensure that no single factor had an overwhelming influence on the model’s output. Next, the dataset was split into training and testing splits, enabling the model to estimate the dimensions of the resonators along with the coupling coefficients for the new filter specifications. Data on coupling coefficients and resonator lengths were gathered through a combination of simulations and theoretical equations across various frequencies, which helped train the model to predict iris width, ensuring consistency across different frequency ranges and enhancing performance.

2.2.1. External Coupling Analysis

In this dataset, we focus on the quality factor (Qe) and its relation to the iris. To achieve this, we employ the group delay method that simulates the single resonator at some frequencies to find the external quality factor (Qe). The quality factor can be properly determined by the evaluation of the group delay and scattering parameters, which is the tool that enables us to find the correct iris width for the filter input coupling. Equation (1) helps us find Qe from the simulation, where ω 0 is the resonance frequency, and τ is the group delay. Figure 3a depicts the relationship between the quality factor and the input iris width for the various frequencies used in the training of the model [19]:
Q e = τ ω 0 4 .

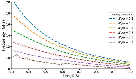
2.2.2. Inter-Resonator Coupling Computation

For the second dataset, we should look for the width of the irises between the two resonators to obtain the required coupling that is specified by the coupling matrix. Kij is the coupling between resonator i and resonator j, which is affected by the width of the iris.
We compute Kij from the iris’s width using Equation (2), where fhigh is the higher resonance frequency, and flow is the lower resonance frequency of the two identical resonators [19].
Figure 3b shows the relation of the inter-resonator coupling and iris width with model training frequencies. All the lines in the figure are linked to a frequency, and the model can be trained and will calculate the width for any frequency.
K i j = f h i g h 2 f l o w 2 f h i g h 2 + f l o w 2

2.2.3. Resonator Length Determination

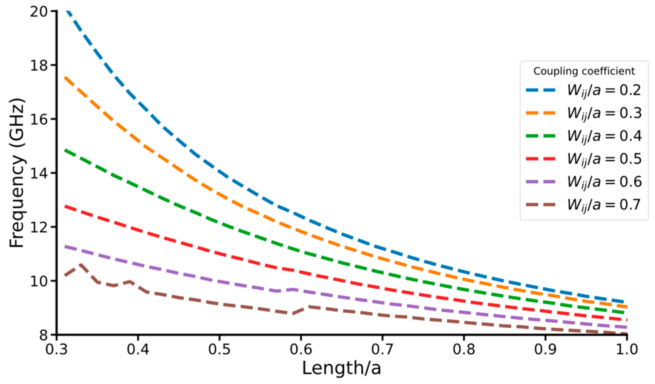
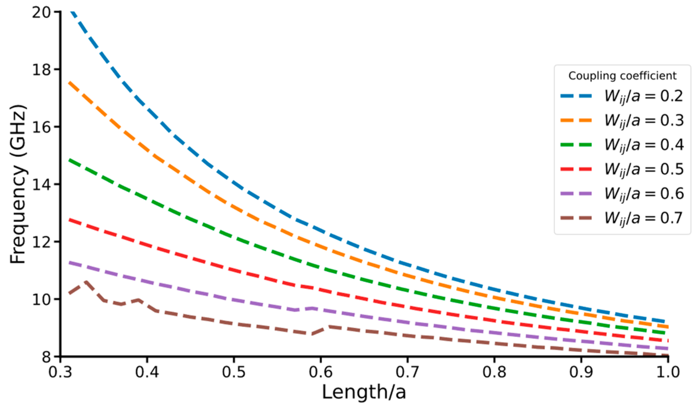
As previously discussed in the literature [19], we can find the length of the cavity based on the working frequency, while the height and width of the waveguide are determined by the working frequencies of standard waveguides. Figure 4 shows that we can interpolate the plot based on the iris width, and using the center frequency, we determine the cavity length.

2.3. Data Processing

After collecting the data, it is essential to process them and derive equations that establish relationships between the variables, linking the data to the filter specifications via the coupling matrix. The data are divided by standard waveguide operating frequencies and incorporated into the model training to enhance accuracy. Once the coupling matrix is obtained, several equations can be employed to derive the physical characteristics of the filter. To do this, we first need to transform the coupling from the baseband to the passband, which includes the center frequency and the bandwidth, together known as the fractional bandwidth (FBW). Equation (3) illustrates how to calculate the quality factor from M s 1 [19], which can then assist in determining the input iris width using the data in Figure 3a:
Q e = 1 F B W · M s 1 2 .
In the second step, we need to find the width of the irises between the resonators to achieve the desired coupling based on the coupling matrix. Mij, as mentioned before, is the baseband representation of the coupling between resonator i and resonator j, while Kij is the passband coupling, which is affected by the width of the iris.
Equation (4) shows the relation between the baseband and passband expression of the coupling coefficient, which is related to FBW [19]:
K i j = F B W · M i j .
Equation (4) shows how we can find Kij based on the width of the iris. Based on Figure 3b and the specifications, we have a certain coupling coefficient that the model is trained to use in order to find the proper iris width.
Following data processing, the XGBoost and random forest regression algorithms are trained, using 80% of the dataset for training and 20% for testing. The model estimates iris width based on coupling coefficients and external quality factors derived from the coupling matrix. Between models we trained for this purpose, XGBoost could handle complex data relationships efficiently. Its reliability was assessed using metrics like mean absolute error (MAE) and R-squared. Resonator lengths are determined by scaling and interpolating the predicted widths to ensure accurate frequency transitions.
After determining the dimensions, simulations are conducted as a validation step. Figure 2 illustrates the Nth-order filter structure, showing labeled parameters L1, L2…, LN and W12, W23…, WNL generated by the machine learning model to meet specified performance criteria. The parameter represents the standard waveguide width at the given frequency.

2.4. Validation

After obtaining the values from the model, we simulate them in CST Studio 2024, electromagnetic (EM) simulation software, to visualize the model’s performance by plotting the scattering parameters. These plots allow us to evaluate the filter specifications and verify whether the desired performance criteria are met. To clarify the process, we present an example to illustrate the steps involved.
Demonstrating the approach’s effectivity, a third-order filter at 3 GHz with a bandwidth of 200 MHz and band return loss of 20 dB is shown. Based on the filter specifications, the code generated the ideal coupling matrix, denoted as MI, shown below:
M I = 0 1.082 0 0 0 1.082 0 1.030 0 0 0 1.030 0 1.030 0 0 0 1.030 0 1.082 0 0 0 1.082 0
Using the predefined Equations (3) and (4) and training data, the model calculated the physical dimensions. Some frequency scaling adjustments were also applied to adapt these values to the 3 GHz target frequency. Figure 5 shows the scattering parameters based on the values obtained from the model, which are called the predicted values, and the scattering parameters synthesized from the ideal coupling matrix [19].
As shown in Figure 5, the model still exhibits some discrepancies compared to the desired specifications, indicating the need for further optimization, which will be discussed in the next section.

2.5. Coupling Matrix Extraction

After validating the structure, we extracted the coupling matrix from the simulated scattering parameters using the Simulated Annealing (SA) technique. By applying this technique, the code compared the synthesized S-parameters of the ideal coupling matrix with those obtained from the simulation. By minimizing the error function during the fitting process, the code extracted the coupling matrix from the model’s simulated S-parameters [20]:
C 1 = 1 n i = 1 n ( S 11 ( f i ) S 11 , s ( f i ) ) 2
C 2 = 1 n i = 1 n S 21 f i S 21 , s f i 2
C = C 1 + C 2 .
S 11   and S 21 are the scattering parameters associated with the ideal coupling matrix, and S 11 , s and S 21 , s refer to the simulated scattering parameters. After extracting the coupling matrix and identifying the discrepancies between the simulated and ideal matrices, by leveraging this information, we can determine the optimal dimensions for the microwave filter after a few iterations. Figure 6 illustrates the optimization process.
The extracted coupling matrix, denoted as MI, is shown below:
M E = 0 1.052 0 0 0 1.052 1.114 1.030 0 0 0 1.030 0.605 1.030 0 0 0 1.030 1.114 1.052 0 0 0 1.052 0 .
Based on the extracted matrix, the coupling coefficients M i j are determined accurately, as the off-diagonal elements of the matrix are precise. However, the resonator lengths are not accurate enough, as the diagonal elements of the matrix deviate significantly from zero. Therefore, an iterative adjustment of the resonator lengths is necessary while keeping the widths of the irises determined by M i j unchanged:
λ = f 0 B W ( f f 0 f 0 f ) .
In the iterative process,   λ represents the diagonal element of the coupling matrix, f 0 is the center frequency, BW is the bandwidth, and f is the resonance frequency within the desired frequency band. To achieve accurate resonator lengths, the matrix components are denormalized using Equation (6), where λ is calculated by finding the deviation of f from f 0 , dividing it by f 0 , and applying a scaling factor. This process is repeated iteratively until   λ approaches zero, ensuring the design meets the specified filter requirements [19].
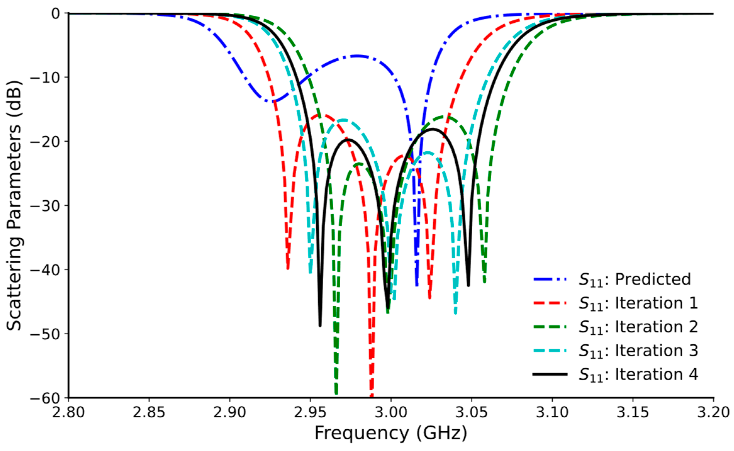
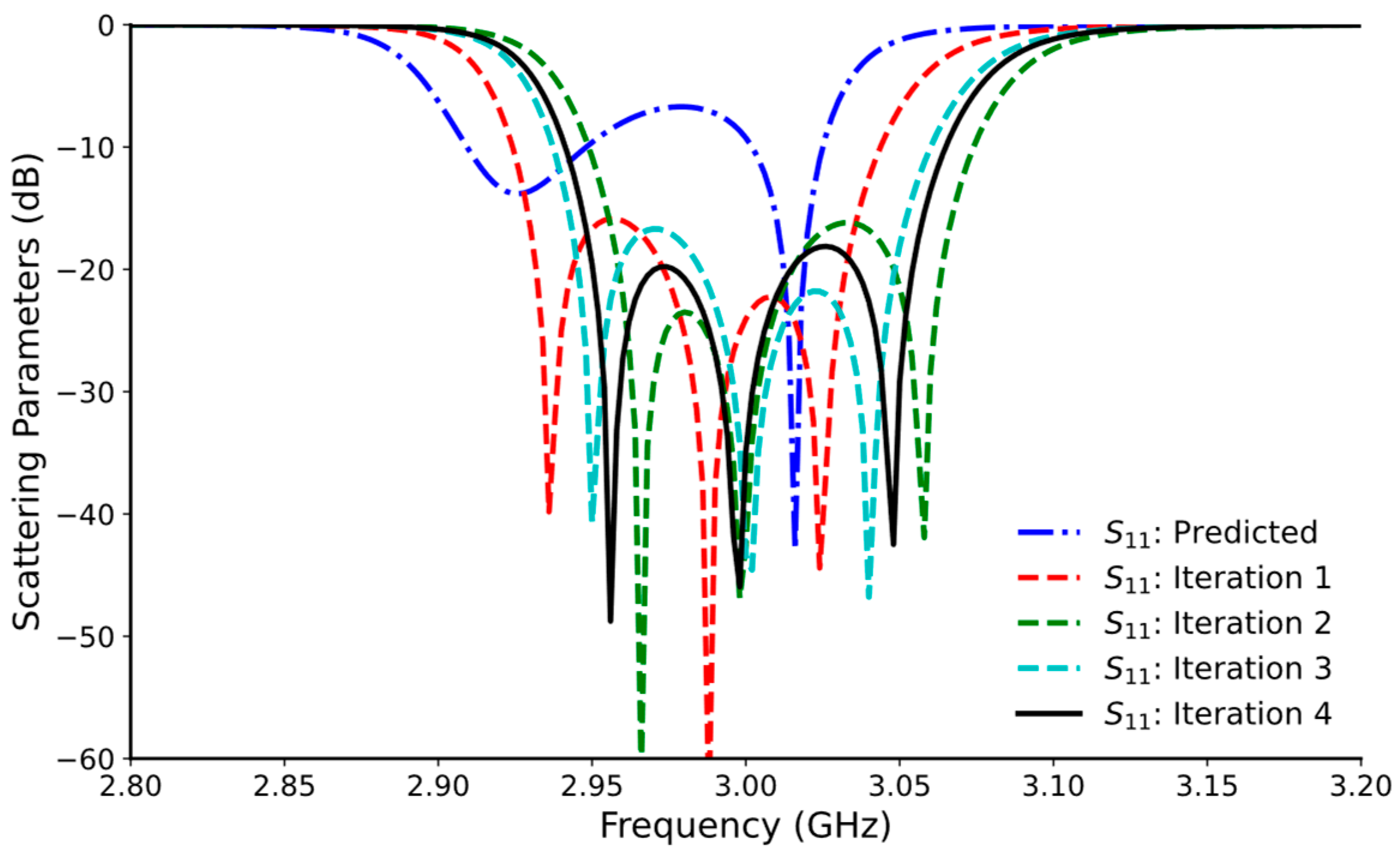
Figure 7 illustrates the S-parameters corresponding to each iteration. After the fourth iteration, the filter meets the specified requirements. Table 1 presents both the predicted value and the iteration values. The dimensions of the standard waveguide in this range frequency is 72.136 × 34.036 mm. Table 2 summarizes the root mean square error (RMSE) values for S11 and S21 across each iteration, demonstrating the progressive improvement in accuracy as the iterations proceed.

3. Results

In this section, we demonstrate the model’s capability to determine the dimensions for various filter orders with different specifications.
  • Fourth-order filter
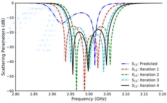
The filter is working on the center frequency of 28 GHz with a bandwidth of 1 GHz and an in-band return loss of −15 dB. The predicted values and after doing a few iterations to optimize, as shown in Table 3, the dimensions of the standard waveguide in this range frequency are 7.112 × 3.556 mm. Figure 8 illustrates the scattering parameters of the predicted and the optimized values.
2.
Fifth-order filter
This filter is designed to operate at 11 GHz with a bandwidth of 500 MHz and with an in-band return loss of 20 dB. The dimensions of the standard waveguide in this range frequency is 22.86 × 10.16 mm. Table 4 shows the dimensions of the predicted and the final value after a few iterations, and the scattering parameters are illustrated in Figure 9. Table 5 presents the RMSE of the scattering parameters compared to the ideal values before and after optimization, demonstrating the efficiency of the proposed optimization method.

4. Conclusions

In this study, the machine learning techniques and SA algorithm are effectively employed to predict the initial values and tune the filter dimensions. As the first step, the theta set of the filter parameters, such as coupling coefficient and external quality factor, are prepared using the filter sensitize and full-wave simulations. In the next step, these data are used to train the XGBoost algorithm to predict the initial values of the iris width and dimension of the cavity resonators of the filter.
After determining all necessary parameters and simulation, the coupling matrix is extracted from the SA method. Then, discrepancies between the extracted and ideal coupling matrices are identified and solved through iterations, thus achieving the optimized values. It not only simplifies the filter design process but also allows machine learning techniques to apply extra steps to tune the filter dimensions for accuracy and efficiency.
The advantages of this work include the separation of the optimization process from the machine learning model, allowing it to be applied across various technologies and topologies by simply updating the dataset. Additionally, the method’s ability to run on standard computers is a significant benefit, as the two machines handle different types of coupling independently, thereby reducing complexity and enhancing accuracy.
In higher-order filters with complex structures, due to the loading effects and increasing the number of parameters, the accuracy and optimization time can be a challenge not only for this work but also for all optimization methods.
For future work, the approach can be extended to different topologies and technology and also for integrated filtering antennae (filtennae).

Author Contributions

Conceptualization, S.J. and B.R.; Methodology, S.J. and B.R.; Software, S.J. and S.S.N.; Validation, B.R. and S.J.; Formal analysis, S.J. and B.R.; Investigation, S.J.; Resources, W.B.; Data curation, S.J.; Writing—original draft, S.J. and B.R.; Writing—review & editing, S.J., B.R., M.E.G. and S.S.N.; Visualization, S.J.; Supervision, M.E.G. and W.B.; Funding acquisition, W.B. All authors have read and agreed to the published version of the manuscript.

Funding

The financial support by the Austrian Federal Ministry for Digital and Economic Affairs, the National Foundation for Research, Technology, and Development, the Christian Doppler Research Association [CD—Labor Bösch—TONI], and the Austrian Science Fund (FWF) [10.55776/DFH5] within the DENISE project is gratefully acknowledged. This research was funded in part by the Austrian Science Fund (FWF) [10.55776/DFH5]. For the purpose of open access, the author has applied a CC BY public copyright license to any Author Accepted Manuscript version arising from this submission.

Data Availability Statement

The datasets presented in this article are not readily available due to industrial confidentiality. Requests to access the datasets should be directed to the corresponding author.

Acknowledgments

The financial support by the Austrian Federal Ministry for Digital and Economic Affairs, the National Foundation for Research, Technology, and Development, the Christian Doppler Research Association [CD—Labor Bösch—TONI], and the Austrian Science Fund (FWF) [10.55776/DFH5] within the DENISE project is gratefully acknowledged. This research was funded in part by the Austrian Science Fund (FWF) [10.55776/DFH5]. For the purpose of open access, the author has applied a CC BY public copyright license to any Author Accepted Manuscript version arising from this submission.

Conflicts of Interest

The authors declare no conflict of interest.

References

  1. Lee, J.; Sarabandi, K. A Synthesis Method for Dual-Passband Microwave Filters. IEEE Trans. Microw. Theory Tech. 2007, 55, 1163–1170. [Google Scholar] [CrossRef]
  2. Cao, G.; Hu, Y.; Gao, L.; Tan, Z.; Yuan, H.; Zeng, Y.; Zhu, S.; Li, B. A Design Method for Highly Selective Dual-Band Filters Based on Frequency-Variant Triplets. IEEE Microw. Wirel. Technol. Lett. 2024, 34, 175–178. [Google Scholar] [CrossRef]
  3. Boe, P.; Miek, D.; Kamrath, F.; Höft, M. Dual-Band Filter Composed of Dielectric and Waveguide Resonators with In-Band Transmission Zeros. In Proceedings of the 2021 IEEE MTT-S International Microwave Filter Workshop (IMFW), Perugia, Italy, 17–19 November 2021; pp. 73–75. [Google Scholar]
  4. Pepe, G.; Gortz, F.-J.; Chaloupka, H. Computer-aided tuning and diagnosis of microwave filters using sequential parameter extraction. IEEE MTT-S Int. Microw. Symp. Dig. 2004, 3, 1373–1376. [Google Scholar]
  5. Lucas, A.; Iliadis, M.; Molina, R.; Katsaggelos, A.K. Using deep neural networks for inverse problems in imaging: Beyond analytical methods. IEEE Signal Process. Mag. 2018, 35, 20–36. [Google Scholar] [CrossRef]
  6. Sedaghat, M.; Trinchero, R.; Firouzeh, Z.H.; Canavero, F.G. Compressed Machine Learning-Based Inverse Model for Design Optimization of Microwave Components. IEEE Trans. Microw. Theory Tech. 2022, 70, 3415–3427. [Google Scholar] [CrossRef]
  7. Angiulli, G.; Casciola, M.; Versaci, M. Microwave devices and antennas modelling by support vector regression machines. IEEE Trans. Magn. 2007, 43, 1589–1592. [Google Scholar] [CrossRef]
  8. Chen, P.; Merrick, B.M.; Brazil, T.J. Support vector regression for harmonic optimization in continuous class-F power amplifier design. In Proceedings of the Integrated Nonlinear Microwave and Millimetre-Wave Circuits Workshop (INMMiC), Taormina, Italy, 1–2 October 2015; pp. 1–3. [Google Scholar]
  9. Nie, C.C.; Chen, Q.; Ren, Z.F.; Wang, H.P.; Li, Y.B. Using Generative Adversarial Networks for Design of Passive Microstrip Filters. In Proceedings of the 2024 International Conference on Microwave and Millimeter Wave Technology (ICMMT), Bejing, China, 16–19 May 2024; pp. 1–3. [Google Scholar] [CrossRef]
  10. Karabaghli, M.B.; Frigui, K.; Moctar, M.; Bila, S.; Baillargeat, D. RF filter design using Deep Learning and Artificial Intelligence. In Proceedings of the 2022 IEEE MTT-S International Conference on Numerical Electromagnetic and Multiphysics Modeling and Optimization (NEMO), Limoges, France, 6–8 July 2022; pp. 1–3. [Google Scholar] [CrossRef]
  11. Senasli, N.E.H.S.; Chetioui, M.; Bouras, B.; Damou, M.; Boudkhil, A.; Bouasria, F. Design and Development of a Waveguide Filter Using Artificial Neural Network Based ReLU function. In Proceedings of the 2024 2nd International Conference on Electrical Engineering and Automatic Control (ICEEAC), Setif, Algeria, 12–14 May 2024; pp. 1–6. [Google Scholar] [CrossRef]
  12. Chen, J.; Liu, J.; Wu, Y.; Su, G.; Wang, J. Deep Reinforcement Learning for Efficient Design and Optimization of Complementary Split Ring Resonator Filters. In Proceedings of the 2024 IEEE MTT-S International Wireless Symposium (IWS), Beijing, China, 16–19 May 2024; pp. 1–3. [Google Scholar] [CrossRef]
  13. Pan, G.; Wu, Y.; Yu, M.; Fu, L.; Li, H. Inverse Modeling for Filters Using a Regularized Deep Neural Network Approach. IEEE Microw. Wirel. Compon. Lett. 2020, 30, 457–460. [Google Scholar] [CrossRef]
  14. Jin, J.; Zhang, C.; Feng, F.; Na, W.; Ma, J.; Zhang, Q.-J. Deep Neural Network Technique for High-Dimensional Microwave Modeling and Applications to Parameter Extraction of Microwave Filters. IEEE Trans. Microw. Theory Tech. 2019, 67, 4140–4155. [Google Scholar] [CrossRef]
  15. Rayas-Sanchez, J.E. EM-based optimization of microwave circuits using artificial neural networks: The state-of-the-art. IEEE Trans. Microw. Theory Tech. 2004, 52, 420–435. [Google Scholar] [CrossRef]
  16. Liu, S.; Feng, F.; Huang, X.; Li, M.; Li, X.; Liu, J.; Liu, W.; Zhang, Q.-J. Novel Neuro-Coupling Matrix Technique for Parametric Modeling of Microwave Filters. IEEE Microw. Wirel. Technol. Lett. 2024, 34, 871–874. [Google Scholar] [CrossRef]
  17. Chen, T.; Guestrin, C. XGBoost: A Scalable Tree Boosting System. In Proceedings of the 22nd ACM SIGKDD International Conference on Knowledge Discovery and Data Mining, San Francisco, CA, USA, 13–17 August 2016; ACM: New York, NY, USA, 2016; pp. 785–794. [Google Scholar]
  18. Pedregosa, F.; Varoquaux, G.; Gramfort, A.; Michel, V.; Thirion, B.; Grisel, O.; Duchesnay, É. Scikit-learn: Machine Learning in Python. J. Mach. Learn. Res. 2011, 12, 2825–2830. [Google Scholar]
  19. Cameron, R.J. Advanced coupling matrix synthesis techniques for microwave filters. IEEE Trans. Microw. Theory Tech. 2003, 51, 1–10. [Google Scholar] [CrossRef]
  20. Javadi, S.; Rezaee, B.; Stadler, M.; Leitner, M.; Gadringer, M.E.; Bösch, W. Coupling Matrix Extraction from Lossy Filter Measurements. In Proceedings of the 2023 Asia-Pacific Microwave Conference (APMC), Taiwan, China, 5–8 December 2023; ACM: New York, NY, USA; IEEE: Piscataway, NJ, USA, 2023; pp. 832–835. [Google Scholar]
Figure 1. Detailed overview of machine learning: (a) workflow of the proposed methodology, from problem definition to structure tuning; and (b) block diagram illustrating filter design using machine learning and validation.
Figure 1. Detailed overview of machine learning: (a) workflow of the proposed methodology, from problem definition to structure tuning; and (b) block diagram illustrating filter design using machine learning and validation.
Electronics 14 00367 g001aElectronics 14 00367 g001b
Figure 2. Structural configurations and key parameters for various filter orders.
Figure 2. Structural configurations and key parameters for various filter orders.
Electronics 14 00367 g002
Figure 3. Relationship between (a) external quality factor and (b) inter-resonator coupling and width of the iris.
Figure 3. Relationship between (a) external quality factor and (b) inter-resonator coupling and width of the iris.
Electronics 14 00367 g003
Figure 4. Relationship between length of the resonator and width of the iris on WR-90 waveguide.
Figure 4. Relationship between length of the resonator and width of the iris on WR-90 waveguide.
Electronics 14 00367 g004
Figure 5. The synthesized and simulated scattering parameters of the third-order filter with initial predicted value dimensions.
Figure 5. The synthesized and simulated scattering parameters of the third-order filter with initial predicted value dimensions.
Electronics 14 00367 g005
Figure 6. Fellow chart of optimization process using SA.
Figure 6. Fellow chart of optimization process using SA.
Electronics 14 00367 g006
Figure 7. The simulated return loss (S11) of the third-order filter with predicted and iteration values from the SA method.
Figure 7. The simulated return loss (S11) of the third-order filter with predicted and iteration values from the SA method.
Electronics 14 00367 g007
Figure 8. The scattering parameter of the fourth-order filter with predicted and optimized values in four iterations.
Figure 8. The scattering parameter of the fourth-order filter with predicted and optimized values in four iterations.
Electronics 14 00367 g008
Figure 9. The scattering parameter of the fifth-order filter with predicted and optimized values.
Figure 9. The scattering parameter of the fifth-order filter with predicted and optimized values.
Electronics 14 00367 g009
Table 1. Predicted and optimized dimensions for the third-order filter design.
Table 1. Predicted and optimized dimensions for the third-order filter design.
ParametersIterations
PredictedFirstSecondThirdFourth
Ws134.4034.4034.4034.4034.40
L161.0959.2558.2458.5958.51
W1222.1522.1522.1522.1522.15
L264.9964.5463.2163.8463.60
W2322.1522.1522.1522.1528.06
L361.0959.2558.2458.5958.51
W3L34.4034.4034.4034.4034.40
Table 2. Root mean square error (RMSE) across iterations.
Table 2. Root mean square error (RMSE) across iterations.
Iteration
PredictedFirstSecondThirdFourth
S110.22790.10650.08520.01990.0297
S210.18720.06970.08130.02810.0424
Table 3. First step and optimized dimensions for the fourth-order filter design.
Table 3. First step and optimized dimensions for the fourth-order filter design.
ParametersPredicted
Value (mm)
Optimized
Value (mm)
Error (mm)
Ws13.974.140.16
L16.876.460.41
W123.0630.06
L27.277.190.08
W232.822.820
L37.277.190.08
W343.06230.06
L46.876.460.41
W4L3.974.140.16
Table 4. Predicted and optimized dimensions for the fifth-order filter design.
Table 4. Predicted and optimized dimensions for the fifth-order filter design.
ParametersPredicted
Value (mm)
Optimized
Value (mm)
Error (mm)
Ws111.4311.620.19
L113.4513.10.35
W1288.050.05
L214.9514.950
W237.547.40.14
L315.1215.150.03
W347.547.40.14
L414.9514.950
W4588.050.05
L513.4513.10.35
W5L11.4311.620.19
Table 5. Root mean square error (RMSE) before and after optimization for third-, fourth-, and fifth-order filters.
Table 5. Root mean square error (RMSE) before and after optimization for third-, fourth-, and fifth-order filters.
S-ParamThird OrderFourth OrderFifth Order
Before
optimization
S110.22790.43120.1376
S210.18720.29780.0692
After
optimization
S110.02970.05600.0293
S210.04240.02660.0398
Disclaimer/Publisher’s Note: The statements, opinions and data contained in all publications are solely those of the individual author(s) and contributor(s) and not of MDPI and/or the editor(s). MDPI and/or the editor(s) disclaim responsibility for any injury to people or property resulting from any ideas, methods, instructions or products referred to in the content.

Share and Cite

MDPI and ACS Style

Javadi, S.; Rezaee, B.; Nabavi, S.S.; Gadringer, M.E.; Bösch, W. Machine Learning-Driven Approaches for Advanced Microwave Filter Design. Electronics 2025, 14, 367. https://doi.org/10.3390/electronics14020367

AMA Style

Javadi S, Rezaee B, Nabavi SS, Gadringer ME, Bösch W. Machine Learning-Driven Approaches for Advanced Microwave Filter Design. Electronics. 2025; 14(2):367. https://doi.org/10.3390/electronics14020367

Chicago/Turabian Style

Javadi, Sara, Behrooz Rezaee, Sayyid Shahab Nabavi, Michael Ernst Gadringer, and Wolfgang Bösch. 2025. "Machine Learning-Driven Approaches for Advanced Microwave Filter Design" Electronics 14, no. 2: 367. https://doi.org/10.3390/electronics14020367

APA Style

Javadi, S., Rezaee, B., Nabavi, S. S., Gadringer, M. E., & Bösch, W. (2025). Machine Learning-Driven Approaches for Advanced Microwave Filter Design. Electronics, 14(2), 367. https://doi.org/10.3390/electronics14020367

Note that from the first issue of 2016, this journal uses article numbers instead of page numbers. See further details here.

Article Metrics

Back to TopTop