Abstract
Power system state estimation is a critical task for ensuring stable grid operation and serves as the foundation of grid control and analysis. Conventional approaches largely involve field measurements, network topology, and manual anomaly detection, which present significant limitations, particularly while dealing with dynamic and complex power systems. In recent years, deep learning techniques have been progressively applied in this field to overcome the shortcomings of conventional approaches, which are based on mathematical models and static analysis. However, existing deep learning techniques primarily focus on power system security analysis and computational resource management. In spite of the powerful capabilities in supervised learning tasks, the lack of interpretability still makes deep learning models less convincing, and thus might hinder their practical applications. In response to this issue, we apply a computational model for power system state estimation based on the Kolmogorov–Arnold network (KAN) model with learnable activation functions, visualization capabilities, and pruning features. From the perspective of feature interpretability, we find the influence of bus features on the model output, such as bus voltage magnitude. Moreover, through analysis of the internal structure of the model, we uncover a possibility of potential mechanisms of power system state estimation. Experimental results show that our study not only enhances the interpretability of power system state estimation but also effectively ensures grid security and stability through state estimation.
1. Introduction
Due to the ever-increasing size and complexity of power systems, the demand for ensuring stability and security keeps growing as a critical challenge. To ensure the safety and stability of power systems, accurately estimating key state variables and potential anomalous events becomes essential, which makes state estimation involving effectively analyzing and processing large volumes of operational data imperative, so as to ensure the stable operation of power grids.
In response, Fred C. Schweppe initially introduced mathematical models and static analysis in power system state estimation, employing weighted least squares for state estimation [1,2,3]. As related technologies develop, more advancing tools such as phasor measurement units (PMUs) have been incorporated to improve estimation accuracy. However, these methods primarily rely on linearization techniques, which struggle in dealing with the nonlinear, time-variant, and uncertain characteristics of power systems, especially when handling complex dynamic processes and variable operating conditions. Furthermore, the expanding scale of power systems has increased computational complexity, posing great challenges to real-time performance and accuracy.
To overcome these limitations, deep learning has been considered as a helpful aid to be integrated into power system state estimation. With their robust learning capabilities on massive dataset, deep learning models are more adaptive to the growing scale and complexity of power systems. Applications of deep learning include computational scheduling, state estimation, and security monitoring in order to improve computational efficiency, estimation accuracy, and anomaly detection performance. However, existing deep learning models often work as “black boxes”, which fail to interpret how the input features contribute to the output results and obscure the internal decision-making processes. Such lack of interpretability makes the credibility of deep learning models questionable and thus limits their practical applications due to potential risks.
To address this issue, we focus on the interpretability of state estimation models in power systems. By employing the Kolmogorov–Arnold network (KAN) model [4], we aim at enhancing internal model interpretability with feature importance analysis. The KAN model utilizes learnable activation functions, pruning, and visualization techniques to effectively reduce overfitting risks and improve the explainability of feature contributions. Compared to conventional neural networks, KAN models are capable of effectively learning the input-to-output mapping functions with visualizable feature impacts [5], excelling in handling stable state data and offering a more transparent and interpretable solution for complex data scenarios, thereby making the internal mechanism of models more understandable.
With help of the KAN models for power system state estimation, the complex multi-dimensional input can be decomposed into multiple one-dimensional features and each is fed to a univariant function. Therefore, how the model works internally for state estimation can be transparentized, and more insights on important factors relevant to the power system states can be gained. Moreover, the KAN model enables computational visualization, thereby facilitating interpretability elaboration for illustrative purposes. KAN replaces traditional matrix operations with learnable activation functions, which improves model transparency. This allows research to visualize the impact of different features on the output. The transparent structure of KAN enables us to more easily observe which input features significantly impact the nodes in the subsequent layers and ultimately the model’s output. This visualization capability allows us to gain insights into the importance of different features in a way that MLP cannot, as the matrix is difficult to explain.
Notably, due to the necessity of maintaining stable grid operations, data samples for unstable events are relatively rare to collect, which leads to inherent data imbalance between stable and unstable samples. We tackle such datasets with skewed distribution by modifying the model loss (such as shrinkage loss [6]).
The experimental results show that the KAN network can successfully visualize the network structure, clearly presenting the influence between different nodes, and effectively estimate the contribution of different features to the output through the pruning function. The KAN model not only intuitively reveals the interpretability of the model, but also extends this interpretability to the entire model, which is difficult to traditional networks.
In this paper, our contribution is proposing an approach to power system state estimation using the Kolmogorov–Arnold network model, with a primary focus on improving interpretability, which is a key challenge in deep learning applications. The analytical approach includes analyzing feature importance, addressing the issues of data imbalance and model overfitting. Additionally, we highlight the practical implications of the proposed method for power system, emphasizing its scalability and adaptability for future research.
2. Related Works
For power system state estimation, many studies have explored neural network-based approaches, such as reinforcement learning techniques in optimizing systems by Stefan et al. [7], and random forest classification by Cheng et al. [8]. However, these studies have primarily focused on computational scheduling, fault classification, and security analysis, but relatively lack research on interpretability.
In terms of interpretability, researchers have proposed various methods from different perspectives: Tree regularization [9] enhances model interpretability by embedding a tree structure and has been applied in power system transient stability assessment. However, it primarily focuses on internal model interpretation, making it difficult to directly assess the impact of input features on state estimation. Optimization-based machine learning [10] extracts physically interpretable rules, but in complex and dynamic power systems these rules often lack generalizability and real-time applicability. Interpretable neighborhood deep models [11] improve prediction accuracy and interpretability in total transfer capability (TTC) assessments by partitioning the state space. However, the division of complex state spaces may increase model complexity, negatively impacting the efficiency of practical applications.
While the aforementioned studies offer various methods to achieve interpretability, aiding in understanding the decision logic and feature influence in power systems from different perspectives, they still exhibit certain limitations. For instance, the tree regularization method, while beneficial for internal model interpretability, has limitations in feature interpretability. Optimization-based machine learning can struggle with rule generation in complex scenarios, and interpretable neighborhood deep models face difficulties in managing large-scale complex environments due to the need for multiple neighborhood partitions. Therefore, a more generalizable method is required—one that can handle complex scenarios without significantly increasing training costs while efficiently realizing both model and feature interpretability.
In this paper, we introduce the KAN model to achieve interpretability. Compared to the interpretability methods discussed above, KAN exhibits significant advantages in its architecture for interpretability. KAN leverages its learnable activation functions and visualization features to achieve a tighter integration of model interpretability and feature interpretability. Additionally, KAN has a certain level of generality, making it well suited for complex scenarios. Section 3.1 provides a detailed discussion of the advantages of KAN compared to traditional multi-layer perceptrons (MLPs).
3. Preliminaries
In this section, we introduce the necessary preliminary knowledge to facilitate the understanding of the following technical parts. In Section 3.1, the computational model of KAN is explained in detail and its advantages over traditional multi-layer perceptrons (MLPs) are discussed. In Section 3.2, methodologies with shrinkage loss as part of the model training objective for handling imbalanced samples are introduced. In Section 3.3, we elaborate on how the experiments in this paper were conducted, including data processing, model training, and interpretability analysis.
3.1. Kolmogorov–Arnold Networks (KANs)
The Kolmogorov–Arnold network was proposed as a novel neural-network-like computational model, which is inspired by the Kolmogorov–Arnold theorem [12,13]. The Kolmogorov–Arnold theorem states that any continuous n-dimensional function can be expressed as a finite sum and composite of one-dimensional continuous functions. This provides the theoretical foundation for KANs, allowing them to approximate a complex high-dimensional function with a combination of multiple one-dimensional ones, thereby reducing the model complexity and transparentizing the importance of each dimension to the function output.
The decomposition of a multi-dimensional function as described by the Kolmogorov–Arnold theorem is as follows:
where f is a continuous n-dimensional function, and and are continuous one-dimensional functions.
In KAN models, the combination of L layers is expressed as follows:
where are learnable (parameterized) activation functions. In contrast, the affine transformation structure of a MLP is expressed as follows:
where is a fixed activation function, and W are trainable weights. Comparison between KANs and MLPs reveals notable structural differences. In MLPs, linear and nonlinear transformations are handled separately, where the former is represented by weight matrices W while the latter is implemented through nonlinear activation functions . In contrast, the KAN model integrates both linear and nonlinear transformations within , allowing for a more compact combination in the processing stages. Such computational structure enables the KAN models to facilitate more convenient layer-by-layer stacking, thereby providing greater flexibility in organizing and adjusting the neural network structures.
Compared to traditional MLPs, KAN exhibits significant advantages in its architecture. First, regarding activation function configuration, traditional MLPs typically incorporate non-adjustable activation functions at each node, which limits the model’s flexibility for better training performance. Consequently, while MLPs perform well across various tasks, the fixed nature of these activation functions limits the model’s flexibility and adaptability in different scenarios. In contrast, KAN is equipped with learnable activation functions at its edges, which can be dynamically adjusted during model training to better meet the specific needs of tasks. Additionally, only simple operations like addition and subtraction are performed at each node in KANs, which reduces computational complexity and makes the computation process more streamlined. Importantly, each activation function in KAN is by default represented by B-spline functions, which not only provide numerical flexibility but also offer intuitional and visualizable results. With such visualization capability, deeper insights into the internal mechanisms of the model can be readily gained, thereby demonstrating high interpretability along with superior accuracy compared to traditional MLPs. The KANs show significant structural advantages over MLPs in terms of both internal model interpretability and feature-level interpretability. Such flexibility and adaptability make KANs a competent computational structure for interpretable and trustful state estimation in power systems.
In contrast to traditional MLPs, which lack transparency due to the difficulty of intuitively interpreting the weight matrix, the KAN offers a distinct advantage. KAN replaces the matrix-based weight operations with changeable activation functions, allowing nodes to retain only simple additive and subtractive operations. This characteristic enhances the model’s interpretability.
It is noteworthy to mention that, in the subsequent experiments, we will adjust the hyperparameters of the KAN model. In the paper on KANs, the authors improved the loss function by introducing an regularization term and made the following two modifications: First, yjr calculation of the weight matrix in MLPs was replaced by the average magnitude of each activation function in KANs, which helps favor sparsity. Second, due to the fact that regularization alone was insufficient to achieve adequate sparsity in KANs, an additional entropy regularization term was introduced. , as overall penalty strength, is designed to effectively control the sparsity, and many redundant functions that we do not want might arise without the entropy regularization term. The total model loss is formulated as follows:
where and are relative scaling factors, typically set as , and controls the overall level of regularization, typically set as . When trying to adjust regularization, is recommended to be set between 0 and 1, usually as , and if is set too large, the model will be overly sparse while the activation functions will be compressed severely. As for the regularization term, the first part represents the average magnitude of all activation functions, while the second part represents the entropy of . The second part of the regularization term is defined as
3.2. Handling Class Imbalance
As for power system state estimation with data-driven approaches, class imbalance is a prominent issue. Specifically, stable state samples usually dominate the dataset while unstable state samples are relatively rare, which is unsurprising since normal operation of power systems must be ensured with top priority. Such class imbalance inevitably compromises the model’s training performance in supervised learning tasks. To address this issue, a variety of solutions have been proposed with specialized loss functions [14,15,16,17], such as the focal loss proposed for logistic regression [18]. In this paper, we introduce shrinkage loss [6] in the loss function, which compensates for samples with the rare class (i.e., the unstable state in this paper) so as to improve the model’s performance on datasets with imbalanced classes.
The rationale of the shrinkage loss is to assign higher weight to samples with less chance of happening, thereby making the model focus more on those samples that are more challenging to accurately classify. This approach alleviates the class imbalance issue and encourages the model to learn more from a minority of samples.
The shrinkage loss is formulated as follows:
where N is the total number of samples, is the true label of the i-th sample, is the predicted value for the i-th sample, is the standard loss function (such as cross-entropy loss), and is the weight for the i-th sample, adjusted according to the rareness of the sample. Specifically, the weight is calculated as follows:
where is a hyperparameter used to control the magnitude of the weight adjustment. It is obvious to find that if becomes larger, the curve of function (7) becomes steeper. It helps to add penalties to simple samples and decrease loss of simple samples without affecting hard samples. Hyperparameter is recommended to be set as 10 in [6], as it can accelerate convergence efficiently in this situation. Evidently, the introduction of shrinkage loss can significantly enhance the model’s ability to estimate minority class samples while mitigating the negative impact of class imbalance during the training process.
3.3. State Estimation Pipeline
In this subsection, we introduce the pipeline of power system state estimation, a three-step procedure that includes sample processing, KAN model training, and interpretability analysis, as illustrated in Figure 1. Each step is detailed as follows:
Figure 1.
This figure illustrates the overall procedure of power system state estimation, including sample processing, KAN model training, and interpretation analysis of power system state estimation. The figure details the flow of each step.
- Sample processing: As previously discussed, class imbalance between stable and unstable samples is a significant issue in power system state estimation. Our dataset consists of 19,000 samples generated from the power system, each of which contains 24 features. These features are sequentially divided into six groups, with each group representing an individual bus: Bus C, Bus A, Bus 1, Bus 3, Bus B, and Bus 2. The four features of each group correspond to bus voltage magnitude, bus voltage phase angle, bus reactive power, and bus active power of the respective bus pairs.The output label is defined as the maximum relative power angle, with 180 as the threshold, i.e., values less than 180 indicate stability; otherwise, they signify instability. The total 19,000 samples comprise 2,658 unstable samples and 16,342 stable ones, resulting in a highly imbalanced ratio of approximately 6.14:1. (In our design, the state estimation is based on the classification of alert and secure states, which are determined specifically by three-phase short-circuit faults.)Additionally, we would like to clarify that the threshold of 180 in our study is not intended to represent the steady-state stability, but rather the transient stability. For transient stability, when a system loses stability, the relative power angle typically continues to increase beyond 90 degrees, and 180 degrees is often used as a practical criterion to indicate the loss of transient stability.To address the class imbalance issue, we employed the shrinkage loss function (as discussed in Section 3.2) to attach greater importance to samples with unstable labels in order to mitigate the impact caused by class imbalance. (It is still noteworthy that there have been other technical approaches to dealing with imperfect training data, such as robust regression, semi-supervised learning, and progressive training. For example, robust regression techniques are often used to handle noisy labels or outliers in data, and semi-supervised learning can take advantage of both labeled and unlabeled data to improve model performance when labels are scarce or noisy. Also, progressive training allows the model to start with simpler, less noisy data before gradually incorporating more complex, potentially noisy data, enabling it to better handle imperfections in real-world datasets.In this paper, in order to achieve interpretability, we introduced focal loss to deal with samples.) The distribution of samples is illustrated in Figure 2, where the histogram displays the occurrence frequency of the output values, with the upper half showing stable samples and the lower half showing unstable ones. This histogram provides an intuitive understanding of the data distribution through statistics, serving as a basis for the subsequent processing.
Figure 2. Distribution of 19,000 samples generated by the power system. Outputs with values less than 180 represent stable samples, and those with values greater than 180 represent unstable samples. Almost all the labels fall into one of two ranges: either [80, 150] or [12,000, 30,000]. As shown above, a huge gap lies between the two portions. - KAN Model training: The processed samples are then fed to the training algorithm. Unlike traditional neural networks, KAN retains learnable activation functions on its edges while performing only addition and subtraction operations at the nodes. Such a computational process simplifies the model structure, avoiding the complex weight and bias parameter settings in training traditional neural networks, thereby enhancing the model’s fitting performance and predictive accuracy. The training process involves tuning hyperparameters (e.g., learning rate) to optimize the loss function.
- Interpretation analysis: After training the KAN model as a regression task, we proceed to the interpretation step. The model’s interpretability is analyzed from both the structural and feature-wise perspectives. Using the generated network structure, we visualize the well-trained mode to understand how different features influence the output, i.e., the maximum relative power angle. Furthermore, pruning within KAN helps simplify the network structure by removing nodes and connections that contribute less to the final prediction. This not only enhances the model’s interpretability but also provides insights into the critical factors that lead to power system stability/instability.
According to the sample distribution shown in Figure 2, there exists a noticeable gap between stable and unstable samples, particularly in the range from 180 to 12,000. This gap may negatively impact the model’s regression performance in this interval. Additionally, the size of stable samples is approximately six times that of unstable samples, highlighting a significant class imbalance issue. Consequently, the experiments are conducted through two main steps: first, training the model on the entire dataset, and second, training the model on the two subsets of the data separately.
In training, the model’s performance on the full dataset will help us understand the relationships between different distributions and assess the impact of incorporating shrinkage loss to address class imbalance issues. For the localized training, samples with output labels less than 180 will be used to train the model. By employing the KAN network structure, we aim to capture the influence of each feature on the prediction results more accurately. Furthermore, unstable samples with output labels greater than 180 will be trained independently and compared to the results from stable samples, which helps determine whether the model’s interpretability can be generalized from stable to unstable states and to the whole system. Finally, a comprehensive analysis of feature interpretability and model interpretability will be conducted based on the results of all experiments.
4. Experiment
In this section, we provide a detailed description of the experimental design and result analysis based on the procedures outlined in Section 3.3. In Section 4.1, the generation of our dataset along with its specification is given. In Section 4.2, we describe experiment and attempt to improve the results through shrinkage loss. In Section 4.3, we explore feature interpretability by leveraging the pruning of the KAN model. In Section 4.4, we further analyze the interpretability of the KAN model trained with the entire dataset.
Throughout the experiment, we employed the KAN for training for two main reasons. Initially, KAN can be viewed as a specialized form of MLP, where MLP requires both linear and nonlinear adjustments in each layer, as KAN requires only a single processing step. By using KAN in the experiment, we can avoid errors due to structural differences between KAN and MLP, and highlight the interpretability advantages of KAN. Secondly, the focus of this experiment is on exploring KAN’s performance in interpretability. Thus, the comparison with MLP’s performance is beyond the scope of this study.
4.1. Dataset
The dataset came from a power system simulation platform. The simulation platform used was a laptop equipped with an Intel(R) Core(TM) i7-11800H 2.30 GHz CPU and 32 GB of memory (The manufacturer is Lenovo, and the equipment was sourced from Beijing, China). Data simulation was conducted in the dynamic simulation program (DSP) using the international IEEE-9 standard test case [19]. The simulation parameters were set as follows: six scenarios for generator output ranging from 0% to 100% in 20% increments, and five scenarios for bus load ranging from 80% to 120% in 20% increments, with random load disturbances applied. All faults were three-phase short-circuit faults, with a duration of 0.1 s and fault locations set at 10%, 30%, 50%, 70%, and 90% of the transmission line. The simulation lasted for 30 s, generating 19,000 simulation samples after data cleaning. The output data included bus voltage magnitude, bus voltage phase angle, bus active power, and bus reactive power.
Sample generation and simulation calculation were based on the simulation platform, and the workflow is as follows. Firstly, the simulation platform is configured, and the number of threads and related files is calculated (power flow data, stable data, fault sets, sample signature files, etc.). Then, the fault type is selected, the load level and sample number are set, and stable data files are generated based on the fault set. Then, the load level list is traversed, the corresponding power flow data file is generated, and the convergence of power flow calculation is verified. If the power flow calculation converges, the transient stability calculation is carried out, the simulation results are analyzed, and information such as voltage and frequency is extracted to generate sample labels. Finally, the power flow result data are written to the sample file according to the partition, checking whether the number of samples reaches the set value, and finally the sample generation and fault statistics are completed.
4.2. Results with Entire Samples
We conducted the experiment on the whole dataset (including both stable and unstable samples) using the pipeline described in Section 3.3, and 15,000 and 4000 samples were shuffled out as the training set and testing set, respectively. Four structures were taken into account for KAN model design: [24, 1], [24, 12, 1], [24, 12, 6, 1], and [24, 12, 6, 2, 1], where the numbers in each layer’s structure are the number of neurons. In this expression, the number represents neurons in different layers, with the comma separating consecutive layers. For example, [24, 12, 1] indicates that there are 24 neurons in the input layer, i.e., 24 dimensions for the input features. The hidden layer has 12 neurons and the output layer has 1 neuron.
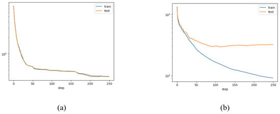
Taking the 4-layer model [24, 12, 6, 2, 1] as an example, the model structure and the loss function value as training proceeds for 1000 iterations are shown in Figure 3. From Figure 3, it can be observed that due to significant class imbalance in the samples (i.e., the lack of samples with labels between 180 and 12,000 means that this portion of output values can barely be attained) and outputs for unstable samples being excessively large, KAN model training exhibits severe overfitting in Figure 3b, i.e., the loss function continuously decreases for the training set as training proceeds while the case is totally different for the testing set.
Figure 3.
(a) The figure represents the fitting of all samples after 1000 iterations in the 4-layer model [24, 12, 6, 2, 1]. Here, the line break means activation function (to avoid shelter, we set pictures of activation function small), and the convergence nodes of lines mean a neuron. The lowest nodes mean the input layer, while the highest nodes mean the output layer. For edges between two nodes, as the edge is more obvious, the output of the lower node has a greater impact on the next node through this edge. It can be viewed by edge transparency that the inputs of the right half make less contributions, as does the sixth node in the first hidden layer. (b) This figure represents the change in the loss function in model training. The blue curve represents the change in the loss function in the training set and the yellow curve represents the change in the loss function in the test set.
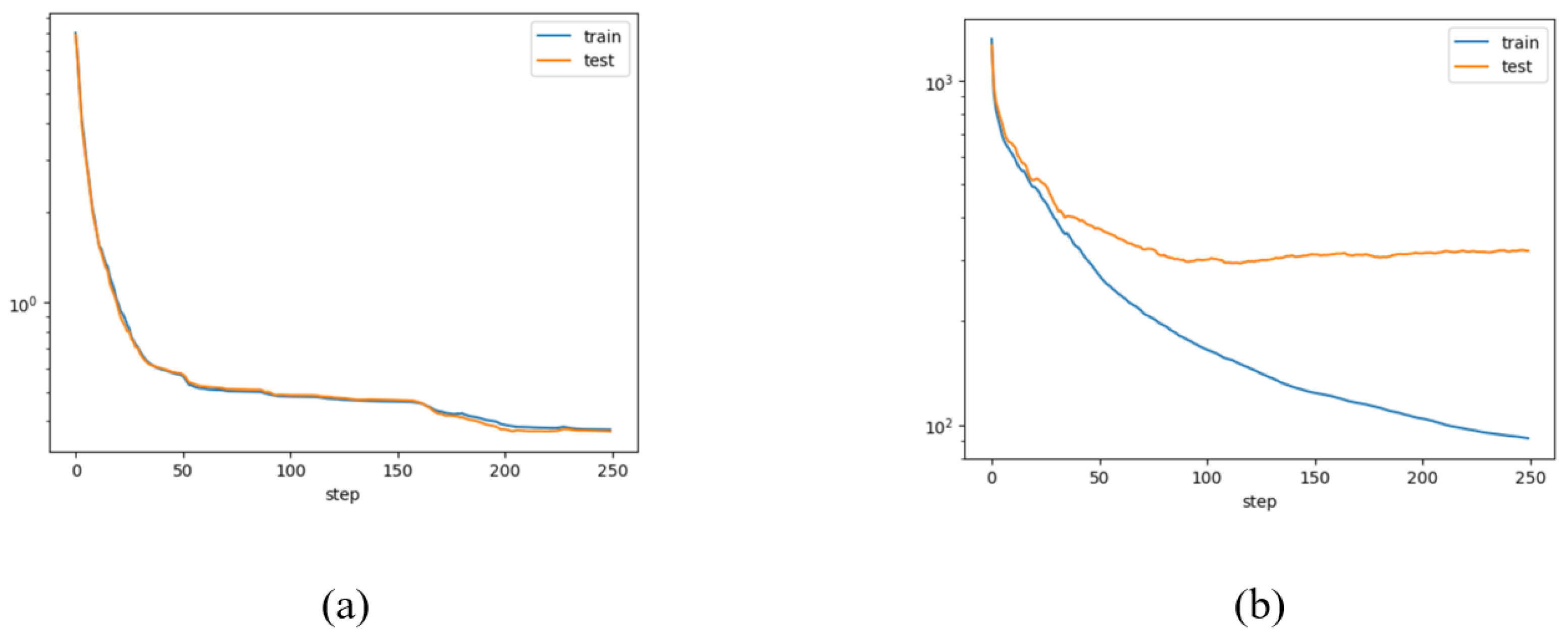
In order to alleviate overfitting, we introduced shrinkage loss to replace the original root mean squared error (RMSE) in the loss function. The results with shrinkage loss are presented in Figure 4. However, Figure 4 indicates that introducing shrinkage loss did not effectively solve the overfitting issue.
Figure 4.
The loss function of model training after introducing shrinkage loss. Compared with (b) in Figure 3, the curve for the test loss still stays at a high level, which means severe overfitting issues that have not been solved.
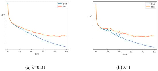
Additionally, we explore adjustments to hyperparameters in (4). The default regularization parameter was set as = 0, and the results with different settings of are shown in Figure 5. The experiment reveals that neither the introduction of shrinkage loss nor tuning the regularization parameter is able to effectively solve the overfitting issue. In particular, Figure 3 suggests that the influence of nodes on the model is different, which guides us to simplify the KAN structure for further experiments.
Figure 5.
(a) Loss function with = 0.01. (b) Loss function with = 1. Tuning hyperparameters improves performance while the gain is still limited.
Taking the 3-layer model [24, 12, 6, 1] as an example, the model structure after 1000 iterations, the results from using the RMSE loss function and shrinkage loss function, and the impact of adjusting are depicted in Figure 6. Although simplifying the structure alleviates overfitting to some extent, such improvement might be gained at the cost of information loss due to the structural simplification, which may not lead to effective performance enhancement. This observation suggests that simply modifying the loss function may have limited effectiveness when the distribution imbalance is as severe as it is in our dataset. The imbalance between the stable and unstable samples profoundly impacts the training of the model. The experiments in Section 4.3 will investigate this issue further.
Figure 6.
(a) This figure shows the fitting of samples in the 3-layer model. Compared with the 4-layer model in (a) of Figure 3, the inputs of right half part still make less contributions. Simplifying the model shows little benefit. (b) This figure represents the loss curve with the RMSE loss function. Default is set to 0. (c) The loss function of model training after introducing the shrinkage loss function instead of the RMSE loss function. Default is set to 0. Results might be better than (b), but still have obvious limits. (d) Loss function of = 0.01 with RMSE loss function. (e) Loss function of = 1 with RMSE loss function.
From the global perspective, the imbalanced distribution of the dataset has led to poor fitting performance and significant overfitting. This provides the need for in-class analysis, suggesting that handling the data separately for stable and unstable samples may help achieve favorable performance on the dataset with stable labels.
4.3. Results with In-Class Samples and Interpretability of Features
In the KAN, unlike the global explanations based on the experiment in Section 4.2, in-class explanations focus on handling stable samples within samples and training the model accordingly. Local analysis aims to dive into the model’s performance on the dataset with stable labels, qualitatively assessing the correlation between feature inputs and output predictions to evaluate impact from features. We prepare the experiment following the pipeline.
In terms of sample processing, for samples with the same distribution, we divide the dataset into two subsets: stable samples and unstable samples. The stable samples are named as dataset A in our experiment, including 16,342 samples with output labels lower than 180, while the unstable samples are named as dataset B, including 2658 samples with output labels greater than 180. We reallocated the training and testing sets for datasets A and B. For dataset A, the training set for the new model was set to 13,000 samples, and the testing set included 3342 samples. For dataset B, the training set was set to 2100 samples, with 558 samples for the test set. The experiment maintains a ratio of approximately 3.8:1, including both dataset A and dataset B.
Initially, we conducted an experiment on the [24, 12, 6, 2, 1] model, training it with 1000 iterations on datasets A and B separately. The loss function results for datasets A and B are shown in Figure 7. The results indicate that, under the same distribution, the KAN model can effectively fit the stable samples but performs poorly on the unstable samples. This might be caused by the situation that stable samples keep outputs lower than 180, which are easy to fit, while there are huge variations in unstable samples, making them hard to fit. The result also highlights the significant impact of the gap (180–12,000) between stable and unstable samples, as the results of the experiment in Section 4.2 cannot fit well. Considering the better fitting performance of dataset A, it was selected as the focus for local analysis.
Figure 7.
(a) Loss function of dataset A. Loss function is set as RMSE. follows default 0. In this figure, we can nearly obtain an overlap between the train loss curve and test loss curve, which means effective fitting. (b) Loss function of dataset B. Loss function is set as RMSE. follows default 0. Compared with (a), the results are similar to the results of the entire dataset in Figure 3. This can indicate that dataset B is also hard to fit.
Figure 8 illustrates the KAN structure for dataset A. Compared to Figure 3, Figure 8 shows that many nodes and activation functions on edges have lower transparency levels, which aids in distinguishing the effects of different features on the output and enhancing feature interpretability. Through KAN’s visualization structure, we can more clearly check features with higher or lower contributions. Additionally, by using KAN’s pruning tool to remove nodes and activation functions below a preset threshold, we can simplify the structure, reduce computational costs by reducing nodes, and highlight features with higher contributions.
Figure 8.
KAN structure of dataset A. Compared with the structure in Figure 3, it has less obvious edges between nodes. This indicates that it reduces a lot computation and focus on less edges. It is easier to view which node can make more contributions to the next node, and which input is more important.
The analysis of the experimental results indicates that feature interpretability for the stable samples is well represented in the 4-layer KAN (see Figure 8). For example, the bus active power and bus reactive power of the third bus pairs (features 17 and 18) have minimal impact on the output phase angle, with low transparency in the next nodes, suggesting these features contribute less to the output. Conversely, the bus voltage magnitude of the first bus pairs and the bus voltage phase angles of the second, fourth, and sixth bus pairs have a significant impact on the output, with higher transparency.
We also attempted to simplify the KAN network’s layers and observed the performance of the simplified model. Figure 9 presents the KAN structures [24, 12, 2, 1] and [24, 12, 1] and their respective loss functions. The simplified model retains good feature interpretability on the stable samples, consistent with the results in Figure 8. This result demonstrates that the simplified KAN model can consistently represent feature interpretability without losing information. Also, this suggests that simplifying the KAN structure helps maintain feature interpretability and extends the application of pruning in structural simplification. In addition, it can indicate that local analysis of stable sample contributions can generalize to the whole dataset, which will be demonstrated below.
Figure 9.
(a) Three-layer KAN structure of dataset A. Experiment sets are as above. (b) Loss function of 3-layer KAN. (c) Two-layer KAN structure of dataset A. (d) Loss function of 2-layer KAN. It can be viewed that simplifying the KAN model does not affect the fitting results, as the test curve shows good results and the nodes of the KAN structure are similar to Figure 8.
Furthermore, we manually modified the KAN structure to improve the fitting of the whole dataset. Local analysis revealed that features with higher contributions in the stable samples could enhance the fitting of the whole dataset. Nodes with lower contributions in the stable samples were removed and used to form a new structure for the whole dataset for training (for results, see Figure 10). The results show that the new structure, after removing these nodes, performed similarly to the model with the original structure, suggesting that these nodes had minimal impact on the output, which can reduce computational costs and emphasize nodes that are more important.
Figure 10.
(a) The structure of the complete dataset on the pruned KAN. We pruned some of the nodes in the hidden layer, which we modified with reference to Figure 8, cutting inputs and outputs. It is found that the complete dataset can also show good results on the KAN network pruned as dataset A, which indicates that the feature interpretation can be generalized from the local scale to the whole. (b) The figure shows changes in the loss function. Compared with Figure 3b, the overfitting has been significantly improved.
Similarly to removing unimportant nodes, we attempted to remove input features with lower contributions to improve the whole dataset’s fitting (see Figure 11). The results demonstrate that, after removing features with lower contributions, the modified KAN model’s performance on the complete dataset improved through the loss curve. This further confirms that feature interpretability from the stable samples can be partially generalized to the whole dataset, as some nodes and inputs are relatively representative, providing valuable insights for further analysis of feature interpretability.
Figure 11.
(a) The structure of the complete dataset on the pruned KAN. We pruned some of the inputs, which we modified with reference to Figure 8. Results show that overfitting has been improved. (b) The figure shows changes in the loss function.
Our experiments in Section 4.3 demonstrate that pruning, whether applied to certain nodes in the layers or input features, significantly outperforms simply introducing shrinkage loss (as shown in Figure 4). While the prediction of entire samples, especially unstable ones, remains challenging, we observe that pruning helps reduce the influence of irrelevant nodes, which improves the model’s ability to predict. Thus, although the KAN does not directly achieve perfect predictions for unstable samples, its pruning provides a valuable tool to improve performance, particularly when compared to MLP.
4.4. Interpretability of Model
In the experiment conducted in Section 4.3, we observed that the KAN model not only provides intuitive interpretability through its structure but also effectively extends feature interpretability to the entire model. Although further subdividing the unstable samples, similarly to the partitioning of stable and unstable samples, might reveal more nuanced fitting details, this approach would be considerably labor-intensive. Overall, by leveraging the KAN model’s capability to generalize feature interpretability, we can achieve explanations with a sufficiently representative subset of data and extrapolate these findings to the entire model. This method significantly reduces the need for comprehensive feature analysis, allowing for a more efficient description and understanding of the interpretability of the model.
Additionally, to help readers better understand our experiments, we would like to conclude our experiments as three pipelines: improving overfitting using the full samples in Figure 12, analyzing the stable and unstable samples in Figure 13, and using KAN pruning to mitigate overfitting in Figure 14.
Figure 12.
In Section 4.2, we found severe overfitting with entire samples. To improve fitting, we introduced shrinkage loss, adjusted parameters, and modified model structure by reducing the number of layers. But none of them worked well to improve overfitting.
Figure 13.
We found it useful to divide the entire samples into stable samples and unstable samples, as stable samples can fit well. After reducing the number of layers, the model still fits well.
Figure 14.
Using pruning in KAN can efficiently improve overfitting, including nodes and features. Compared with the results of introducing the loss function and adjusting the parameters, it can be more useful.
5. Discussion
In this study, we explore the use of the KAN model for power system state estimation with imbalanced datasets, with a particular focus on model interpretability. The experimental results demonstrate that the KAN model not only provides an intuitive analysis of in-class feature interpretability but can also be well generalized through its characteristics. Traditional methods for handling imbalanced data, such as oversampling or undersampling, often struggle to maintain data representativeness in high-dimensional feature spaces. In contrast, the KAN model, through its structure and pruning operations, allows for a more effective interpretation of the model’s performance on imbalanced datasets without incurring additional computational cost.
Imbalanced datasets are not uncommon in practical machine learning tasks, particularly in regressions, such as phase angle prediction in power systems. In these cases, the imbalanced data distribution is usually multi-mode, which makes it difficult to fit the data with one single model. A similar example can be found in the distribution of urban populations. Small cities typically have populations in the tens of thousands, while large cities, due to the siphon effect, have populations exceeding millions, with almost no medium-sized cities in between. This distribution pattern resembles the bathtub curve in engineering: a scarcity of data points in the middle and a concentration at both ends, with significant differences in the data space. Traditional regression models are prone to overfitting in denser regions while neglecting the sparse regions in such cases. The KAN model, through feature interpretability analysis, helps estimate these differences, thereby effectively handling regression problems in imbalanced datasets. This finding can have broad applicability to other regression problems involving imbalanced datasets.
While the KAN model shows promise for power system state estimation, it is not without limitations. One key challenge is its scalability when applied to large-scale power systems with millions of nodes. Although the model’s pruning operations help reduce complexity, the inherent structure of the KAN model can still lead to increased computational demands. Furthermore, while the interpretability of the KAN model is a significant strength, the trade-off between model complexity and interpretability should be carefully considered. In real-world applications, where model efficiency is critical, the increased complexity of the KAN model may not always be justified. Future research could explore techniques for simplifying the model’s architecture without compromising its interpretability, such as leveraging hybrid models or incorporating domain-specific knowledge into the network design.
Also, it is effective to conduct experiments on parameter sensitivity, but further sensitivity analysis on hyperparameters, such as pruning thresholds or relative scaling factors, is necessary to better understand the model’s behavior across different configurations. Specially, the method proposed in our paper could potentially be adapted to estimate the states of the converter layer by analyzing key system parameters, or addressing potential nonlinearities and transient behaviors typical in power conversion processes [20]. A more detailed exploration of how these parameters influence the model’s accuracy and interpretability would contribute to the fine-tuning of the approach for practical use cases, especially in the context of highly imbalanced and noisy datasets.
Additionally, we propose several promising research directions. In our experiments, we divided the samples into stable and unstable categories. However, unstable samples may arise from various distinct instability states. If we can estimate a subset of part-unstable samples with a high degree of fit, this would facilitate the estimation of specific instability patterns to help find new ideas in this area. Through feature interpretability analysis, we could further deduce which features are likely contributing to these instability phenomena, providing deeper insights into their underlying causes.
6. Conclusions
In this paper, we introduce a method based on the KAN model to address regression problems in imbalanced datasets, with a focus on model interpretability. The experimental results demonstrate that the KAN model can not only intuitively reveal the interpretability of the model but also extend interpretability to the entire model. This explains that the KAN model exhibits feature interpretability and related model interpretability. By utilizing the pruning and visualization tools of the KAN model, we can effectively estimate and distinguish the contributions of features to the output, thereby tackling the regression challenges posed by imbalanced datasets.
The approach proposed in this paper performs well in phase angle prediction within power systems. Moreover, the KAN model also presents great potential for datasets with imbalanced distribution, such as urban population distribution. By leveraging representative in-class samples, the KAN model reduces the complexity of overall feature analysis, providing a straightforward and effective approach to understanding how the model works. This approach offers an innovative solution to regression tasks within imbalanced datasets.
The results of this study suggest that the integration of the KAN model into power system state estimation holds great promise for enhancing grid security and stability. Future work could explore the application of this method to broader fields and more complex situations, further refining the interpretability of deep learning models.
Author Contributions
Conceptualization, S.Y.; Methodology, S.W.; Software, W.L.; Validation, J.Z., Z.L. and Y.Z.; Funding acquisition, S.L. All authors have read and agreed to the published version of the manuscript.
Funding
This work was financially supported by the Science and Technology Project of China Southern Power Grid (No. GZKJXM20232014).
Data Availability Statement
Data are contained within the article.
Conflicts of Interest
Author Yihua Zhu was employed by the company China Southern Power Grid. The remaining authors declare that the research was conducted in the absence of any commercial or financial relationships that could be construed as a potential conflict of interest.
Abbreviations
The following abbreviations are used in this manuscript:
| KAN | Kolmogorov–Arnold network |
| MLP | Multi-layer perceptron |
References
- Schweppe, F.C.; Wildes, J. Power system static-state estimation, Part I: Exact model. IEEE Trans. Power Appar. Syst. 1970, 1, 120–125. [Google Scholar] [CrossRef]
- Schweppe, F.C.; Rom, D.B. Power system static-state estimation, Part II: Approximate model. IEEE Trans. Power Appar. Syst. 1970, 1, 125–130. [Google Scholar] [CrossRef]
- Schweppe, F.C. Power System Static-State Estimation, Part III: Implementation. IEEE Trans. Power Appar. Syst. 1970, 1, 130–135. [Google Scholar] [CrossRef]
- Liu, Z.; Wang, Y.; Vaidya, S.; Ruehle, F.; Halverson, J.; Soljačić, M.; Hou, T.Y.; Tegmark, M. Kan: Kolmogorov-arnold networks. arXiv 2024, arXiv:2404.19756. [Google Scholar]
- Cheon, M. Demonstrating the efficacy of kolmogorov-arnold networks in vision tasks. arXiv 2024, arXiv:2406.14916. [Google Scholar]
- Lu, X.; Ma, C.; Ni, B.; Yang, X.; Reid, I.; Yang, M.H. Deep regression tracking with shrinkage loss. In Proceedings of the European Conference on Computer Vision (ECCV), Munich, Germany, 8–14 September 2018; pp. 353–369. [Google Scholar]
- Stavrev, S.; Ginchev, D. Reinforcement Learning Techniques in Optimizing Energy Systems. Electronics 2024, 13, 1459. [Google Scholar] [CrossRef]
- Li, C.; Wang, B. A Knowledge Graph Method towards Power System Fault Diagnosis and Classification. Electronics 2023, 12, 4808. [Google Scholar] [CrossRef]
- Ren, C.; Xu, Y.; Zhang, R. An interpretable deep learning method for power system transient stability assessment via tree regularization. IEEE Trans. Power Syst. 2021, 37, 3359–3369. [Google Scholar] [CrossRef]
- Cremer, J.L.; Konstantelos, I.; Strbac, G. From optimization-based machine learning to interpretable security rules for operation. IEEE Trans. Power Syst. 2019, 34, 3826–3836. [Google Scholar] [CrossRef]
- Wang, Z.; Zhou, Y.; Guo, Q.; Sun, H. Interpretable neighborhood deep models for online total transfer capability evaluation of power systems. IEEE Trans. Power Syst. 2021, 37, 260–271. [Google Scholar] [CrossRef]
- Kolmogorov, A.N. On the representation of continuous functions of several variables as superpositions of continuous functions of a smaller number of variables. Dokl. Akad. Nauk. 1956, 108, 953–956. [Google Scholar]
- Braun, J.; Griebel, M. On a constructive proof of Kolmogorov’s superposition theorem. Constr. Approx. 2009, 30, 653–675. [Google Scholar] [CrossRef]
- Cui, Y.; Jia, M.; Lin, T.Y.; Song, Y.; Belongie, S. Class-balanced loss based on effective number of samples. In Proceedings of the IEEE/CVF Conference on Computer Vision and Pattern Recognition, Long Beach, CA, USA, 15–20 June 2019; pp. 9268–9277. [Google Scholar]
- Shwartz-Ziv, R.; Goldblum, M.; Li, Y.; Bruss, C.B.; Wilson, A.G. Simplifying neural network training under class imbalance. Adv. Neural Inf. Process. Syst. 2023, 36, 35218–35245. [Google Scholar]
- Guo, H.; Viktor, H.L. Learning from imbalanced data sets with boosting and data generation: The databoost-im approach. ACM Sigkdd Explor. Newslett. 2004, 6, 30–39. [Google Scholar] [CrossRef]
- Han, H.; Wang, W.Y.; Mao, B.H. Borderline-SMOTE: A new over-sampling method in imbalanced data sets learning. In Proceedings of the International Conference on Intelligent Computing, Tianjin, China, 5–8 August 2005; Springer: Berlin/Heidelberg, Germany, 2005; pp. 878–887. [Google Scholar]
- Lin, T. Focal Loss for Dense Object Detection. arXiv 2017, arXiv:1708.02002. [Google Scholar]
- Anderson, P.M.; Fouad, A.A. Power System Control and Stability, 2nd ed.; IEEE Press: Piscataway, NJ, USA; Wiley-Interscience: Hoboken, NJ, USA, 2003. [Google Scholar]
- Lin, H.; Cai, C.; Chen, J.; Gao, Y.; Vazquez, S.; Li, Y. Modulation and control independent dead-zone compensation for H-bridge converters: A simplified digital logic scheme. IEEE Trans. Ind. Electron. 2024, 71, 15239–15244. [Google Scholar] [CrossRef]
Disclaimer/Publisher’s Note: The statements, opinions and data contained in all publications are solely those of the individual author(s) and contributor(s) and not of MDPI and/or the editor(s). MDPI and/or the editor(s) disclaim responsibility for any injury to people or property resulting from any ideas, methods, instructions or products referred to in the content. |
© 2025 by the authors. Licensee MDPI, Basel, Switzerland. This article is an open access article distributed under the terms and conditions of the Creative Commons Attribution (CC BY) license (https://creativecommons.org/licenses/by/4.0/).