Next Article in Journal
A Flexible Multi-Band Antenna with a Spider Web-like Structure for 4G/5G/GPS/WIMAX/WLAN Applications
Next Article in Special Issue
Design of the New Dual-Polarized Broadband Phased Array Feed Antenna for the Sardinia Radio Telescope
Previous Article in Journal
Methods and Approaches for User Engagement and User Experience Analysis Based on Electroencephalography Recordings: A Systematic Review
Previous Article in Special Issue
A Tunable Microstrip-to-Waveguide Transition for Emergency Satellite Communication Systems
 
 
Font Type:
Arial Georgia Verdana
Font Size:
Aa Aa Aa
Line Spacing:
Column Width:
Background:
Article

Variable Bandwidth Double-Coupled Double-Tuned Filter with Capacitive Couplings

Department of Electronics, Electrical Engineering and Microelectronics, Silesian University of Technology, Akademicka 16, 44-100 Gliwice, Poland
*
Author to whom correspondence should be addressed.
Electronics 2025, 14(2), 252; https://doi.org/10.3390/electronics14020252
Submission received: 23 November 2024 / Revised: 29 December 2024 / Accepted: 7 January 2025 / Published: 9 January 2025
(This article belongs to the Special Issue Microwave Devices: Analysis, Design, and Application)

Abstract

In this paper, an adjustable bandwidth high IP3 (third-order intercept point) sub-octave double-coupled double-tuned filter is presented. The proposed filter consists of two capacitively coupled resonators. Its center frequency and bandwidth are tuned by the varactors with two voltages. The filter characteristics are shaped by two transmission zeros located in its lower and upper transition bands. The frequency of the lower transmission zero is tuned simultaneously with the center frequency, and the upper transmission zero frequency is independently controlled. The achieved center frequency tuning range is from 300 MHz to 446 MHz, and the bandwidth swing is from 35 MHz to 75 MHz. In the whole operating band, the IP3 of the filter varies from 22 dBm to 29 dBm, and the insertion loss is from 1.4 dB to 3.3 dB. The filter has been full-wave analyzed and optimized. The electric size of 0.05 × 0.058 λ g 2 makes the proposed filter the smallest among the filters compared. The obtained measurement results are in very good agreement with the simulations.

1. Introduction

Tunable bandpass filters are most commonly used as input blocks of radio receivers that cover a wide frequency range and are utilized from the HF (high-frequency) band to microwaves [1]. Their role is selective prefiltering signals coming from the receiving antenna that potentially increase the receiver’s immunity to strong out-of-band interferences and suppress possible parasitic channels resulting from frequency conversion [2]. However, in addition to selectivity, the input filter must maintain high linearity [3,4,5,6,7]; otherwise, in the presence of strong signals, it can be a source of interferences appearing in the operating band caused by intermodulation phenomena.
The linearity of continuously tuned filters can be achieved by the electromechanical tuning through the use of variable inductors and/or capacitors and/or distributed resonators [8,9,10]. This can also be obtained at microwave frequencies by the adoption of magnetically tunable YIG (yttrium iron garnet) resonators [11,12]. Such solutions make possible the achievement of a high linearity, which corresponds to a high IP3 value but at the expense of a significant increase in the size and weight of the filter. Another method of tuning involves the application of varactors [4,5,6,13,14,15,16,17,18,19,20,21,22,23,24,25,26,27,28,29,30] or MEMS (micro-electromechanical system) capacitors [3,7,31]. Circuits tuned with MEMS capacitors are characterized by large IP3 values, but they could be applied only for microwave bands due to the small capacitances obtained [3,4]. Varactors, because of the wide range of their initial capacitances, can be used for the continuous tuning of filters in nearly all bands. Varactor-tuned filters offer small size, short tuning time, and low cost [13]. However, their application requires the use of filter structures that not only achieve a desired tuning range but at the same time have high IP3s. Further improvements to varactor-tuned filter designs can bring the incorporation of metamaterials. They can lead to innovative filter designs that achieve high performance in a smaller footprint, enhanced tunability, and improved filters’ overall performance metrics [32,33].
Most varactor-tuned bandpass filters do not have a constant absolute bandwidth (CABW), especially when all varactors are tuned with a single voltage; however, it is possible [25,28,29]. The lack of CABW or bandwidth tuning is a disadvantage if the filters are adopted in devices utilizing frequency conversion, where it is a reason of deterioration of the mirror channel attenuation that occurs within the tuning process due to the fixed distance between the useful and mirror channels. Therefore, a desirable feature of tunable receiver input filters, especially in the case of a wide tuning range, is the ability to adjust the bandwidth. This helps to adopt the bandwidth to the signal receiving condition or to maintain CABW of the filter, which optimizes its impedance matching within the operating band and lets the attenuation of the mirror channel to be kept high. The filter bandwidth adjustment operation is performed by modifying the coupling coefficient that occurs between its resonators [4,5,20,21,25,26,28] and/or adding one or more tuned transmission zeros (TZs) in the transition band(s) [6,14,16,18,19,23,27,34]. As in the case of filter tuning circuits, this can be done electromechanically or electronically [8,9], and the application of varactors influences the linearity of the filter [5,6,28] in a similar way. The simultaneous use of varactors to tune the center frequency of the filter and its bandwidth makes obtaining large IP3 values over a wide tuning range a considerable challenge [5,6,28,35,36,37].
In the design of bandpass microstrip filters, a common approach is to transition from a lumped element prototype to a distributed element network by replacing inductors and capacitors with transmission line segments [21]. This approach enables the construction of new filters by modifying and transforming known lumped structures. The lumped element equivalent circuit models are also adopted in the analysis of complex microwave filters to create their simplified mathematical models [38]. Another approach is the use of the coupling matrix method [5,39], which allows for the direct synthesis of microstrip filters with desired properties that can produce networks previously unknown. In this work, the first approach is adopted, together with initial double-tuned filter transformations, preserving the coupling coefficients between the resonators [35,36,37,40]. This approach also leads to new networks whose parameters are in the bandpass similar to those of the initial filter, but in the transition and stop bands, they can be significantly different.
This paper presents a new double-coupled double-tuned bandpass filter. The filter adopts varactors for center frequency and bandwidth adjustments and has the coupling networks providing transmission zeros in the lower and upper transition bands to shape the response. The upper transmission zero is adjustable, which allows for the control of the bandwidth. The principle of filter operation is explained by means of the circuit model. The results of the parametric analysis showing the impact of individual filter elements on their scattering parameters are presented. An exemplary filter was fabricated using sections of transmission lines and grounded vias that are the inductors’ equivalents. The frequency tuning range of the filter prototype is 300 MHz to 446 MHz. Its electrical size is 0.05 × 0.058 λ g 2 , where λ g is the guided wavelength at the lowest operating frequency. The IP3 obtained is not less than 22 dBm within the whole frequency and bandwidth tuning range. The measurements show that the proposed bandwidth variable filter can operate with a constant absolute bandwidth from 35 MHz to 75 MHz for the whole tuning range. The parameters obtained predestine the filter for application in the input blocks of high interference immunity wideband radio receivers.

2. Theory

The filter described in this article is a modification of the double-coupled double-tuned filter with inductive coupling, shown in Figure 1, described in the earlier work of the authors [35]. The input and output resonators are colored green and red, respectively. L A 0 series inductors were added to the network to increase its out-of-band attenuation, as described in [36,37]. The capacitively coupled filter shown in Figure 2 is obtained by a transformation that involves replacement of the inductors within the network of Figure 1 with the capacitors and simultaneously the capacitors with the inductors in such a way that their reactance modules have the same values for the center frequency f 0
2 π f 0 L A = 1 2 π f 0 C B and 1 2 π f 0 C A = 2 π f 0 L B
The result filter shown in Figure 3 has in the coupling branches of the resonators two additional included inductors L C 3 in series with capacitors C C 3 , which were included to modify the character of the coupling networks in the higher frequency range.
The scattering parameters versus the frequency of the discussed filters are compared in Figure 4, for element values: L A 0 = 66.85 nH, L A 1 = 6.68 nH, L A 2 = 49 nH, L A 3 = 4.46 nH, C A 1 = 3.59 pF, C B 0 = C C 0 = 2.2 pF, C B 1 = C C 1 = 22 pF, C B 2 = C C 2 = 3 pF, C B 3 = C C 3 = 33 pF, L B 1 = L C 1 = 41 nH, and L C 3 = 0.8 nH. All the filters have center frequencies f 0 = 415 MHz. It can be seen that the center frequencies of the A, B, and C filters are close, respectively, to f 0 A , f 0 B , and f 0 C :
f 0 A = L A 0 + L A 2 + L A 3 2 π C A 1 ( L A 2 ( L A 0 + L A 3 ) + L A 1 ( L A 0 + L A 2 + L A 3 ) + L 3 A ( 2 L A 0 + L A 3 ) )
f 0 B = C B 3 ( C B 0 C B 3 + C B 2 ( C B 0 + C B 3 ) + C B 1 ( C B 3 ( C B 0 + C B 3 ) + C B 2 ( C B 0 + 2 C B 3 ) ) ) 2 π L B 1 ( C B 1 C B 3 ( C B 0 C B 3 + C B 2 ( C B 0 + C B 3 ) ) )
f 0 C f 0 B
which are the resonant frequencies of the unloaded resonators used. Filters A and B have mirrored frequency characteristics with respect to the frequency f 0 that are the result of the applied transformation (1). In particular, both filters have a single transmission zero in their s 21 characteristics. For filter A, it is located in the upper transition band and for filter B in the lower. The s 21 characteristic of filter C has two transmission zeros. The first TZ is placed as in filter B, and its frequency is given by the approximate formula (with L C 3 omitted).
f 1 1 2 π 2 C C 1 + C C 2 + 2 C C 3 L C 1 C C 1 ( C C 2 + 2 C C 3 )
The second TZ is located in the upper transition band that occurs at the frequency
f 2 = 1 2 π L C 3 C C 3
of the series resonance of coupling networks built of C C 3 and L C 3 . It can be seen that the addition of the second transmission zero in the upper transition band narrows the filter bandpass. The lower transition band remains virtually unchanged.
The capacitors C C 0 and C C 2 are elements of impedance transformation networks and are responsible for the source and load matching to the resonators. The influence of the C C 0 capacitor on the filter scattering parameters is depicted in Figure 5, and the influence of the C C 2 capacitor is depicted in Figure 6. Decreasing the capacitance of C C 0 or increasing C C 2 causes a weaker loading of both resonators within the filter, resulting in ripples in the operating band. Increasing the capacitance of C C 0 or C C 2 slightly decreases the operating frequency of the filter. The frequency of the upper transmission zero is independent of C C 0 and C C 2 variantions. The frequency of the lower transmission zero is independent of C C 0 but weakly depends on C C 2 variations. Increasing C C 0 or decreasing C C 2 results in deterioration of out-of-band attenuation.
The capacitor C C 1 and the inductor L C 1 are the main elements of both resonators, which have a decisive influence on the filter operating frequency. As can be seen in Figure 7 and Figure 8, increasing the capacitance C C 1 or inductance L C 1 decreases the filter center frequency, together with the frequency of the lower transmission zero. An increase in capacitance C C 1 or a decrease in inductance L C 1 widens the filter bandwidth. Variations in the values of the components C C 1 and L C 1 do not affect the upper transmission zero frequency. Tuning the filter center frequency by C C 1 or L C 1 has a significant effect on the matching of its ports within the operating band. Port matching becomes worse as the maximum or minimum operating frequencies of the filter are approached.
The capacitors C C 3 connected in series with the inductors L C 3 constitute the coupling networks between the filter resonators. The variation in the impedance of the coupling networks influences the operating bandwidth, as shown in Figure 9 and Figure 10. Within the bandpass, the reactance of the coupling networks is capacitive; thus, increasing their reactance widens the bandwidth. For a particular value of coupling elements L C 3 and C C 3 , increasing the center frequency narrows the operating bandwidth. At series resonant frequency, the coupling networks reach a minimum impedance, which results in the appearance of an upper transmission zero in s 21 of the filter. Tuning the upper transmission zero affects the upper transition band and the operating bandwidth of the filter. Changing the coupling coefficient affects the filter ports matching within its bandwidth. Table 1 summarizes the impact of variations in filter element values on the center frequency, the bandwidth, the insertion loss, the frequencies of lower and upper TZs, and the out-of-band attenuation.

3. Tunable Microstrip Filter

The implementation of lumped filter from Figure 3 as a microstrip network with voltage-tunable center frequency and bandwidth is depicted in Figure 11. Tuning of the filter requires replacing the selected capacitors with the varactors. Implementation in microstrip technology demands replacing inductors with the transmission line segments and grounded vias. The center frequency of the filter is tuned by the voltage V1 by means of two push-pull connected groups of diodes D 1 , replacing the capacitors C C 1 . The capacitors C C 3 responsible for the bandwidth tuning are replaced by two groups of diodes D 3 , which are connected in parallel and tuned by the voltage V2. The capacitors C C 0 and C C 2 are replaced by the capacitors C 0 and C 2 , respectively. The C 4 capacitors are the DC blocking capacitors that allow the correct biasing of diodes D 3 .
Each L C 1 inductor is replaced with four transmission line sections: two TL1a and two TL1b. The TL1a and TL1b interconnections are grounded by polarizing resistors R 3 . Between the TL1b sections are included varactor diode groups D 1 . The relation between the lengths l 1 A and l 1 B of the transmission line sections TL1a and TL1b and L C 1 inductances is given by the following equation
π f L C 1 = Z 0 tan 2 π ( l 1 A + l 1 B ) λ for f max , l 1 A + l 1 B λ 1
describing the input reactance of the shorted transmission line, where Z 0 is the characteristic impedance, and λ is the wavelength. The L C 3 inductors are replaced by parallel groups of grounded vias connected in series with D 3 diodes leads. The resistors R 1 and R 2 are used to polarize the diode groups.
It was assumed that the designed filter should be characterized by a high IP3 value and less than 12 V tuning voltages swing. For this purpose, to obtain the octave frequency coverage with the adoption of the couple of filters, a filter center frequency relative tuning range of about 1.4 was assumed, and BBY66-02V varactors were chosen. According to the datasheet, their capacitance swing is from 12 pF to 68 pF for polarization voltage change from 1 V to 4.5 V, their series resistance is 0.25 Ω, and their lead inductance is 0.6 nH. Due to the application of lumped capacitors, the filter operating band was chosen to be in the lower UHF (ultra high frequency) from 300 MHz to 420 MHz and the bandwidth adjustment from 35 MHz to 75 MHz. The layout of the exemplary filter is shown in Figure 12. The filter was manufactured on an RO4003C substrate with a thickness of 0.8 mm, a relative dielectric constant ε r = 3.38, and a loss tangent equal to 0.0021. In order to reduce the size, the microstrip meander lines were applied. The total length of the individual sections of TL1a and TL1b is 19 mm, and their width is 0.25 mm, which gives the characteristic impedance of 123 Ω.
Before prototyping, the filter layout was full-wave analyzed utilizing Simulia CST Studio Suite 2024 software. To set the assumed tuning range and operating bandwidth, the dimensions of the meander lines and the number and diameter of the vias were adjusted. The necessity of verifying and correcting the length and shape of meander lines is due to the fact that their electrical properties depend on their layout proportion. The application of a meander line introduces parasitic capacitances. Improper proportions of the meander line elements can lead to couplings between their sections, significantly modifying the line impedance and phase properties, which can make it difficult to replace the inductors. For a maximum capacitance of D 1 varactors of 80 pF and a minimum bandwidth of 35 MHz, the length of the meander lines was selected to achieve a minimum operating frequency of 300 MHz. The number and diameter of the vias were determined to achieve a filter bandwidth swing from 35 MHz to 75 MHz over the entire assumed filter tuning range. The results of parametric study of filter scattering parameters showing their dependence on grounded vias configuration in L C 3 inductors are depicted in Figure 13 and Figure 14. The figures present analysis of single and two vias variants of L C 3 in terms of their diameter. Adopting the study, it was decided to apply two vias with diameters of 0.15 mm each that are equivalent of 1.1 nH. The final dimensions of the layout elements are shown in Figure 12. The values of the lumped elements applied are C 0 = 4.7 pF, C 2 = 6.6 pF, C 4 = 100 pF, and R 1 = R 2 = R 3 = 10 kΩ.
To better illustrate the filter principles, the results of the full-wave simulation of the current density are shown in Figure 15, Figure 16 and Figure 17 for the center frequency 415 MHz and the lower and upper transmission zero frequencies 324 MHz and 816 MHz, respectively. For the center frequency, both resonators were equally excited, and the signal propagated from the input to the output with minimal attenuation. For lower and upper transmission zero, the resonators were excited unevenly. For the frequency of the upper TZ, the signal at the input and output was shorted to ground by two groups of series resonant circuits consisting of D 3 varactors and inductances of vias L C 3 . Due to this, the signal did not emerge from the input to the output of the filter, despite the feeble excitation of current in the input resonator. For the frequency of the lower TZ, the input resonator was more excited than the output one, and signal compensation occurred in the output port, resulting in high filter attenuation.

4. Prototype

The designed filter was fabricated using standard two-layer printed circuit board technology. A photo of the prototype with the SMA connectors installed is shown in Figure 18. Filter scattering parameters were measured with the Agilent N5230A vector network analyzer for selected tuning voltages. Figure 19 shows the comparison of the results of full-wave simulations and measurements of the scattering parameters. As can be seen, the tolerance of the manufacturing process did not cause any visible deterioration of the filter characteristics. Good agreement was obtained in attenuation within the bandwidth and in the positions of the transmission zeros. The differences that can be observed are the attenuation values obtained for the TZs, and the s 11 values obtained in the bandwidth for which the measurements gave slightly worse results than those predicted in the simulations. The noticeable differences occurring out of band of the filter stem from imperfect models of the lumped elements applied in simulations, mainly from underestimating the equivalent resistances of the varactors and capacitors.
Figure 20 shows the s 21 characteristics of the filter up to 1.5 GHz obtained from measurements and full-wave simulations. As can be seen, the out-of-band attenuation of the filter was better than 30 dB for the second and third harmonics of the input signals. Above 1.4 GHz, there was a fixed spurious passband attenuated at 12 dB. The differences between measurements and simulations above 900 MHz came from the inaccuracy of the diode and capacitor models applied in simulations.
Figure 21 shows the operating frequency tuning characteristics as a function of the voltage V1 and bandwidth characteristics as a function of voltage V2. These characteristics confirm that the filter can be used both as a variable or constant absolute bandwidth filter. The frequency tuning characteristic correspond to the capacitance–voltage characteristic of the applied BBY66-02V varicaps. An increase in voltage V2 shifted the operating frequency up. The slope of the bandwidth tuning characteristic increased with a decrease in voltage V1.
Figure 22 shows the frequency response of the scattering parameters of the tuned bandwidth filter. During the measurements, the voltage V2 was changed from 0.45 V to 1.87 V, while the V1 voltage was selected from the range of 2.06 V to 0.42 V, respectively, to maintain a constant center frequency of 315 MHz. The bandwidth widens as the capacitance of the D 3 varactor groups decreases. The achieved bandwidth swing was from 35 MHz to 75 MHz. The observed attenuation variation connected with tuning of the bandwidth was from 3.3 dB to 1.4 dB. The characteristics for the center frequencies of 375 MHz and 420 MHz are shown in Figure 23 and Figure 24, respectively. For the 375 MHz, the V2 voltage was changed from 1.08 V to 2.07 V and the V1 from 4.43 V to 3.48 V, and for the 420 MHz, the V2 was changed from 0.26 V to 2.27 V and the V1 from 6.97 V to 5.52 V. It can be seen from the characteristics that the bandwidth are related with the position of the upper transmission zero. During bandwidth tuning, the position of the lower transmission zero remained almost the same, but tuning affected the impedance matching of the ports. When the filter bandwidth was increased, an improvement in port matching was observed as a result of changing the coupling coefficient, together with the frequency of the upper transmission zero. Improvement in the port matching was observed up to the bandwidth of about 60 MHz. For wider bandwidths, two minima of the s 11 parameter in the bandpass, separated by a local maximum occurring near the center frequency, started to appear, which increased s 11 to about −10 dB for the highest operating frequency.
The proposed filter allows for simultaneous tuning of the center frequency and bandwidth to achieve a CABW within its tuning range. The scattering parameters versus the frequency characteristics of the CABW filter for 50 MHz bandwidth are shown in Figure 25. During the measurements, the center frequency of the filter was increased by decreasing the capacitance of the D 1 varactors. As shown in Figure 8, decreasing their capacitance simultaneously resulted in narrowing the bandwidth. Therefore, to keep the bandwidth constant, the capacitance of the D 3 varactors was lowered, because decreasing capacitance of D 3 widened the bandwidth, as shown in Figure 10. The tuning range from 300 MHz to 446 MHz was achieved for the D 1 control voltage swing from 0.26 V to 10.1 V. The shape of all characteristics of the presented filter was almost insensitive to the tuning of their center frequency. The s 21 was flat within the bandwidth. The attenuation was about 1.7 dB, and good impedance matching of the filter was observed. For the fixed bandwidth, the center frequency of the filter and the frequencies of the lower and upper transmission zero were tuned concurrently. Together with increasing the center frequency of the filter, the values of s 21 for the frequency of the lower transmission zero increased from −68 dB to −51 dB, whereas for the upper transmission zero, it remained around −50 dB.
The IP3 measurements for the viariable center frequency and bandwidth are shown in Figure 26. The IP3 was measured with two HP 8665B signal generators, a directional combiner, and Agilent MXA N9020A signal analyzer. Measurements were carried out with a two-tone offset of 1 MHz and a signal level of −10 dBm at the combiner output. They were performed for a fixed filter bandwidth of 50 MHz in the frequency range 300 MHz to 446 MHz and for a variable bandwidth for frequencies of 315 MHz, 375 MHz and 420 MHz. It could be observed that IP3 values greater than 22 dBm were achieved throughout the tuning range for any bandwidth.

5. Discussion

Table 2 compares the proposed filter with varactor-tuned CABW microstrip filters [5,6,25,28,29] and with tunable bandwidth microstrip filters [4,15,16,34] described in the literature. It provides data on the tuning range, the relative tuning range ( f max / f min ), the bandwidth (BW), the insertion loss (IL), the number of transmission zeros (NTZ), the number of control voltages (NCV), the electrical size, and the IP3 of the filters.
All filters operated in the UHF band, and their center frequencies were placed in the 0.3–2 GHz range. The relative tuning range of the filters was placed between 1.26 and 2.34. The majority of them are sub-octave filters as the presented filter. The insertion loss for the compared filters depends on the bandwidth and center frequency. The minimum value of the IL obtained among the compared filters was 1.31 dB for the CABW and 1.5 dB for the tunable bandwidth filters. The maximum obtained insertion loss was 4.5 dB for the fixed bandpass filter and 7 dB for the variable bandpass filter. The proposed filter insertion loss was about 1.4 dB for BW = 75 MHz and 3.3 dB for BW = 35 MHz, which was the lowest value among the tunable bandpass filters compared. The compared fixed bandwidth filters were tuned with single or two voltages, but filters having adjustable bandwidth were tuned with two or three voltages. The proposed filter was tuned with two voltages; the first of them mainly regulated BW and the other the center frequency. All filters, except the filter [4], had a characteristic shaped by two TZs placed in the upper and lower transition bands. For compared filters, their area related to the wavelength, calculated for the lowest operating frequency, varied in the range from 0.0027 λ g 2 to 0.13 λ g 2 . The presented filter was the smallest of all compared, and the closest in terms of the area to the proposed one was three times larger. The IP3 measured for the compared filters ranged from 8 dBm to 34.9 dBm, with the largest IP3 variation observed within the operating band of 15.9 dB for the [34] filter. The proposed filter was characterized by a minimum IP3 equal to 22 dBm and an IP3 variation of 7 dB, which gave it the second position.

6. Conclusions

This paper describes the variable-bandwidth double-tuned microstrip bandpass filter with capacitive coupling between resonators. Due to the structure of the coupling networks, two transmission zeros were achieved in the s 21 filter characteristics. The TZs were located on both sides of the bandpass, which significantly increased the s 21 slopes in the transition bands of the filter. The lower TZ was tuned simultaneously with the operating frequency. The frequency of the upper TZ could be controlled independently, which was used to adjust the filter bandwidth. The example filter was tuned from 300 MHz to 446 MHz. It had a variable bandwidth from 35 MHz to 75 MHz and low in-band insertion loss ranging from 1.4 dB to 3.3 dB. The IP3 obtained was not less than 22 dBm within the whole frequency and bandwidth tuning range. The filter structure has small electrical dimensions of 0.05 × 0.058 λ g 2 and is easy to manufacture. The parameters obtained make the proposed filter useful for applications in the input blocks of high interference immunity wideband UHF receivers. Future works will focus on the implementation of a similar filter for higher frequencies by replacing lumped capacitors with printed ones.

Author Contributions

Conceptualization, D.W., M.S. and M.M.; methodology, D.W. and M.S.; validation, M.S. and M.M.; formal analysis, D.W. and M.M.; investigation, D.W. and M.S.; resources, M.S. and M.M.; data curation, D.W. and M.S.; writing—original draft preparation, D.W., M.S. and M.M.; writing—review and editing, M.S.; visualization, M.S.; supervision, D.W. All authors have read and agreed to the published version of the manuscript.

Funding

The results presented in this contribution are the outcome of the statutory activities of the Department of Electronics, Electrical Engineering, and Microelectronics of the Silesian University of Technology financed by the Polish Ministry of Science and Higher Education.

Data Availability Statement

Data are contained within the article.

Conflicts of Interest

The authors declare no conflicts of interest.

Abbreviations

The following abbreviations are used in this manuscript:
BWBandwidth
CABWConstant absolute bandwidth
HFHigh frequency
ILInsertion loss
IP3Third-order intercept point
MEMSMicro-electromechanical system
NCVNumber of control voltages
RFRadio frequency
TZTransmission zero
NTZNumber of transmission zeros
UHFUltra High Frequency
YIGYttrium iron garnet

References

  1. Islam, H.; Das, S.; Bose, T.; Ali, T. Diode Based Reconfigurable Microwave Filters for Cognitive Radio Applications: A Review. IEEE Access 2020, 8, 185429–185444. [Google Scholar] [CrossRef]
  2. Carr, J.J. Technician’s Radio Receiver Handbook: Wireless and Telecommunication Technology, 1st ed.; Newnes: Oxford, UK, 2001. [Google Scholar]
  3. Lin, T.-W.; Low, K.K.W.; Gaddi, R.; Rebeiz, G.M. High-Linearity 5.3–7.0 GHz 3-Pole Tunable Bandpass Filter Using Commercial RF MEMS Capacitors. In Proceedings of the 48th European Microwave Conference (EuMC), Madrid, Spain, 25–27 September 2018; pp. 555–558. [Google Scholar]
  4. Schuster, C.; Wiens, A.; Schmidt, F.; Nickel, M.; Schüßler, M.; Jakoby, R.; Maune, H. Performance Analysis of Reconfigurable Bandpass Filters With Continuously Tunable Center Frequency and Bandwidth. IEEE Trans. Microw. Theory Tech. 2017, 65, 4572–4583. [Google Scholar] [CrossRef]
  5. Tian, D.; Feng, Q.; Xiang, Q. Synthesis Applied 4th-order Constant Absolute Bandwidth Frequency-Agile Bandpass Filter with Cross-Coupling. IEEE Access 2018, 6, 72287–72294. [Google Scholar] [CrossRef]
  6. Lu, D.; Yu, M.; Barker, N.S.; Li, Z.; Li, W.; Tang, X. Advanced Synthesis of Wide-Tuning-Range Frequency-Adaptive Bandpass Filter with Constant Absolute Bandwidth. IEEE Trans. Microw. Theory Tech. 2019, 67, 4362–4375. [Google Scholar] [CrossRef]
  7. Motoi, K.; Oshima, N.; Kitsunezuka, M.; Kunihiro, K. A band-switchable and tunable nested bandpass filter with continuous 0.4–3 GHz coverage. In Proceedings of the 46th European Microwave Conference (EuMC), London, UK, 4–6 October 2016; pp. 1421–1424. [Google Scholar]
  8. Yan, J.-J.; Chen, F.-C.; Xiang, K.-R.; Tu, Z.H. Design of Tunable Coaxial Bandpass Filters with Constant Absolute Bandwidth Using One Tuning Element. IEEE Trans. Circuits Syst. II Express Briefs 2024, 71, 1959–1963. [Google Scholar] [CrossRef]
  9. Gowrish, B.; Mansour, R.R. A Tunable Quarter-Wavelength Coaxial Filter with Constant Absolute Bandwidth Using a Single Tuning Element. IEEE Microw. Wirel. Components Lett. 2021, 31, 658–661. [Google Scholar]
  10. Yang, W.; Allen, W.N.; Psychogiou, D.; Peroulis, D. Tunable bandpass-bandstop filter cascade for VHF applications. In Proceedings of the IEEE 17th Annual Wireless and Microwave Technology Conference (WAMICON), Clearwater, FL, USA, 11–13 April 2016; pp. 1–4. [Google Scholar]
  11. Du, S.; Yang, Q.; Wang, M.; Fan, X. A Magnetically Tunable Bandpass Filter with High Out-of-Band Suppression. IEEE Trans. Magn. 2022, 58, 4002505. [Google Scholar] [CrossRef]
  12. Zhang, Z.; Sun, J.; Zhu, W.; Zhang, S.; Gao, P. Design of A 3.2 GHz–50 GHz Ultra Wideband YIG-Tunable-Filter. In Proceedings of the International Conference on Microwave and Millimeter Wave Technology (ICMMT), Guangzhou, China, 19–22 May 2019. [Google Scholar]
  13. Qin, M.; Li, Z.; Ren, Z.; Liu, P.; Liao, L.; Qiu, X. Varactor-Based Continuously Tunable Microstrip Bandpass Filters: A Review, Issues and Future Trends. IEEE Access 2024, 12, 57443–57457. [Google Scholar] [CrossRef]
  14. Xu, J.X.; Yang, L.; Yang, Y.; Zhang, X.Y. High- Q -Factor Tunable Bandpass Filter with Constant Absolute Bandwidth and Wide Tuning Range Based on Coaxial Resonators. IEEE Trans. Microw. Theory Tech. 2019, 66, 4186–4195. [Google Scholar] [CrossRef]
  15. Zhu, H.; Abbosh, A.M. Tunable Balanced Bandpass Filter with Wide Tuning Range of Center Frequency and Bandwidth Using Compact Coupled-Line Resonator. IEEE Microw. Wirel. Compon. Lett. 2016, 26, 7–9. [Google Scholar] [CrossRef]
  16. Kumar, N.; Narayana, S.; Singh, Y.K. Constant Absolute Bandwidth Tunable Symmetric and Asymmetric Bandpass Responses Based on Reconfigurable Transmission Zeros and Bandwidth. IEEE Trans. Circuits Syst. II Express Briefs 2022, 69, 1014–1018. [Google Scholar] [CrossRef]
  17. Tian, M.; Long, Z.; Feng, L.; He, L.; Zhang, T. A Compact Wide-Range Frequency and Bandwidth Reconfigurable Filter. IEEE Microw. Wirel. Compon. Lett. 2022, 32, 1283–1286. [Google Scholar] [CrossRef]
  18. Du, T.; Wei, D.; Zhang, P.; Guan, B.; Gu, Y. A Tunable Constant-Absolute-Bandwidth Bandpass Filter with Switchable Ability. Electronics 2022, 11, 1047. [Google Scholar] [CrossRef]
  19. Dong, J.; Xu, K.; Shi, J. A Voltage-Controlled Tunable Differential Dual-Band Bandpass Filter with Compact Size and Wide Tuning Range. IEEE Trans. Ind. Electron. 2021, 68, 9952–9962. [Google Scholar] [CrossRef]
  20. Tang, S.; Li, Z.; Tang, X.; Liu, Y.; Cai, Z.; Luo, J. A Low-Loss Three-Pole Frequency-Agile Bandpass Filter with Constant Absolute Bandwidth. In Proceedings of the IEEE MTT-S International Wireless Symposium (IWS), Guangzhou, China, 19–22 May 2019. [Google Scholar]
  21. Ebrahimi, A.; Baum, T.; Scott, J.; Ghorbani, K. Continuously Tunable Dual-Mode Bandstop Filter. IEEE Microw. Wirel. Compon. Lett. 2018, 28, 419–421. [Google Scholar] [CrossRef]
  22. Wei, Z.; Yang, T.; Chi, P.; Zhang, X.; Xu, R. A 10.23–15.7 GHz Varactor-Tuned Microstrip Bandpass Filter with Highly Flexible Reconfigurability. IEEE Trans. Microw. Theory Tech. 2021, 69, 4499–4509. [Google Scholar] [CrossRef]
  23. Wang, S.; Xiang, Q.; Feng, Q. A Fourth Order Constant Absolute Bandwidth Tunable Bandpass Filter with Cross-Coupling. In Proceedings of the IEEE MTT-S International Wireless Symposium (IWS), Guangzhou, China, 19–22 May 2019. [Google Scholar]
  24. Schuster, C.; Hu, R.; Wiens, A.; Maasch, M.; Jakoby, R.; Maune, H. Cross-coupled open-loop resonator bandpass filter with independently tunable center frequency and bandwidth. In Proceedings of the IEEE Radio and Wireless Symposium (RWS), Anaheim, CA, USA, 15–18 January 2018; pp. 52–55. [Google Scholar]
  25. Lu, D.; Barker, N.S.; Tang, X. A Simple Frequency-Agile Bandpass Filter with Predefined Bandwidth and Stopband Using Synchronously Tuned Dual-Mode Resonator. IEEE Microw. Wirel. Compon. Lett. 2017, 27, 983–985. [Google Scholar] [CrossRef]
  26. Schuster, C.; Kamrath, F.; Miek, D.; Polat, E.; Boe, P.; Frank, L.P.P.; Kienemund, D.; Jakoby, R.; Maune, H.; Höft, M. Fully Reconfigurable Bandpass with Continuously Tunable Center Frequency and Bandwidth Featuring a Constant Filter Characteristic. In Proceedings of the German Microwave Conference (GeMiC), Cottbus, Germany, 9–11 March 2020; pp. 236–239. [Google Scholar]
  27. Abdelfattah, M.; Zhang, R.; Peroulis, D. High-Selectivity Tunable Filters with Dual-Mode SIW Resonators in an L-Shaped Coupling Scheme. IEEE Trans. Microw. Theory Tech. 2019, 67, 5016–5028. [Google Scholar] [CrossRef]
  28. Cai, J.; Chen, J.X.; Zhang, X.F.; Yang, Y.J.; Bao, Z.H. Electrically varactor-tuned bandpass filter with constant bandwidth and self-adaptive transmission zeros. IET Microw. Antennas Propag. 2017, 11, 1542–1548. [Google Scholar] [CrossRef]
  29. Lu, D.; Tang, X.; Barker, N.S.; Feng, Y. Single-Band and Switchable Dual-/Single-Band Tunable BPFs with Predefined Tuning Range, Bandwidth, and Selectivity. IEEE Trans. Microw. Theory Tech. 2018, 66, 1215–1227. [Google Scholar] [CrossRef]
  30. Deng, Z.; Cao, X. Design and simulation of k band rf mems tunable combline filter. Adv. Mater. Res. 2014, 875–877, 2219–2223. [Google Scholar] [CrossRef]
  31. Brown, E.R. RF-MEMS switches for reconfigurable integrated circuits. IEEE Trans. Microw. Theory Tech. 1998, 46, 1868–1880. [Google Scholar] [CrossRef]
  32. Kumar, N.; Gupta, A.A.; Subramanyam, A.V.G.; Kumar, S.V.; Ramalakshmi, N.; Venkataramana, D. Miniaturized All stop to CABW tunable bandpass switchable filter using U-shaped multi-mode resonator. In Proceedings of the IEEE Microwaves, Antennas, and Propagation Conference (MAPCON), Banglagore, India, 12–16 December 2022; pp. 485–489. [Google Scholar]
  33. Gi-Rae, K. A Compact Tunable Bandpass Filter Using Coupled Metamaterial Resonators with Varactor Diode. J. Inf. Commun. Converg. Eng. 2010, 8, 484–488. [Google Scholar]
  34. Long, J.; Li, C.; Cui, W.; Huangfu, J.; Ran, L. A Tunable Microstrip Bandpass Filter with Two Independently Adjustable Transmission Zeros. IEEE Microw. Wirel. Compon. Lett. 2011, 21, 74–76. [Google Scholar] [CrossRef]
  35. Magnuski, M.; Wójcik, D.; Surma, M.; Noga, A. A Compact Widely Tunable Bandpass Filter Dedicated to Preselectors. Electronics 2021, 10, 2315. [Google Scholar] [CrossRef]
  36. Magnuski, M.; Noga, A.; Surma, M.; Wójcik, D. Modified Triple-Tuned Bandpass Filter with Two Concurrently Tuned Transmission Zeros. Sensors 2022, 22, 9760. [Google Scholar] [CrossRef]
  37. Magnuski, M.; Wójcik, D.; Surma, M.; Noga, A. A Tunable Microstrip Bandpass Filter with Two Concurrently Tuned Transmission Zeros. Electronics 2022, 11, 807. [Google Scholar] [CrossRef]
  38. Xiang, Q.; Feng, Q.; Huang, X.; Jia, D. Electrical Tunable Microstrip LC Bandpass Filters with Constant Bandwidth. IEEE Trans. Microw. Theory Tech. 2013, 61, 1124–1130. [Google Scholar] [CrossRef]
  39. Cameron, R.J. Advanced coupling matrix synthesis techniques for microwave filters. IEEE Trans. Microw. Theory Tech. 2003, 51, 1–10. [Google Scholar] [CrossRef]
  40. Dishal, M. Design of dissipative band-pass filters producing desired exact amplitude-frequency characteristics. Proc. IRE 1949, 37, 1050–1069. [Google Scholar] [CrossRef]
Figure 1. Filter A: the double-coupled double-tuned filter with inductive coupling.
Figure 1. Filter A: the double-coupled double-tuned filter with inductive coupling.
Electronics 14 00252 g001
Figure 2. Filter B: the double-coupled double-tuned filter with capacitive coupling.
Figure 2. Filter B: the double-coupled double-tuned filter with capacitive coupling.
Electronics 14 00252 g002
Figure 3. Filter C: modified double-coupled double-tuned filter with capacitive coupling.
Figure 3. Filter C: modified double-coupled double-tuned filter with capacitive coupling.
Electronics 14 00252 g003
Figure 4. The s 21 scattering parameter versus frequency of the discussed filters.
Figure 4. The s 21 scattering parameter versus frequency of the discussed filters.
Electronics 14 00252 g004
Figure 5. The influence of capacitance C C 0 on filter response: (a) s 11 , (b) s 21 .
Figure 5. The influence of capacitance C C 0 on filter response: (a) s 11 , (b) s 21 .
Electronics 14 00252 g005
Figure 6. The influence of capacitance C C 2 on filter response: (a) s 11 , (b) s 21 .
Figure 6. The influence of capacitance C C 2 on filter response: (a) s 11 , (b) s 21 .
Electronics 14 00252 g006
Figure 7. The influence of inductance L C 1 on filter response: (a) s 11 , (b) s 21 .
Figure 7. The influence of inductance L C 1 on filter response: (a) s 11 , (b) s 21 .
Electronics 14 00252 g007
Figure 8. The influence of capacitance C C 1 on filter response: (a) s 11 , (b) s 21 .
Figure 8. The influence of capacitance C C 1 on filter response: (a) s 11 , (b) s 21 .
Electronics 14 00252 g008
Figure 9. The influence of inductance L C 3 on filter response: (a) s 11 , (b) s 21 .
Figure 9. The influence of inductance L C 3 on filter response: (a) s 11 , (b) s 21 .
Electronics 14 00252 g009
Figure 10. The influence of capacitance C C 3 on filter response: (a) s 11 , (b) s 21 .
Figure 10. The influence of capacitance C C 3 on filter response: (a) s 11 , (b) s 21 .
Electronics 14 00252 g010
Figure 11. Filter C: microstrip network with voltage tunable center frequency and bandwidth.
Figure 11. Filter C: microstrip network with voltage tunable center frequency and bandwidth.
Electronics 14 00252 g011
Figure 12. Layout of the filter C depicted in Figure 11.
Figure 12. Layout of the filter C depicted in Figure 11.
Electronics 14 00252 g012
Figure 13. Filter response for variations of diameter of a single grounded via applied as inductor L C 3 : (a) s 11 , (b) s 21 .
Figure 13. Filter response for variations of diameter of a single grounded via applied as inductor L C 3 : (a) s 11 , (b) s 21 .
Electronics 14 00252 g013
Figure 14. Filter response for variations of diameters of two parallel grounded vias applied as inductor L C 3 : (a) s 11 , (b) s 21 .
Figure 14. Filter response for variations of diameters of two parallel grounded vias applied as inductor L C 3 : (a) s 11 , (b) s 21 .
Electronics 14 00252 g014
Figure 15. The current density distribution at frequency of lower TZ (324 MHz).
Figure 15. The current density distribution at frequency of lower TZ (324 MHz).
Electronics 14 00252 g015
Figure 16. The current density distribution for the center frequency (415 MHz).
Figure 16. The current density distribution for the center frequency (415 MHz).
Electronics 14 00252 g016
Figure 17. The current density distribution at frequency of upper TZ (816 MHz).
Figure 17. The current density distribution at frequency of upper TZ (816 MHz).
Electronics 14 00252 g017
Figure 18. Photo of the fabricated prototype of the double-coupled double-tuned filter.
Figure 18. Photo of the fabricated prototype of the double-coupled double-tuned filter.
Electronics 14 00252 g018
Figure 19. Measured (-m) and simulated (-s) of scattering parameters of the proposed tunable bandpass filter for the frequency of 330, 360, and 405 MHz: (a) s 11 , (b) s 21 .
Figure 19. Measured (-m) and simulated (-s) of scattering parameters of the proposed tunable bandpass filter for the frequency of 330, 360, and 405 MHz: (a) s 11 , (b) s 21 .
Electronics 14 00252 g019
Figure 20. Wideband measurements (-m) and simulations (-s) of scattering parameter s 21 of the proposed tunable bandpass filter for the frequency of 330, 360, and 405 MHz.
Figure 20. Wideband measurements (-m) and simulations (-s) of scattering parameter s 21 of the proposed tunable bandpass filter for the frequency of 330, 360, and 405 MHz.
Electronics 14 00252 g020
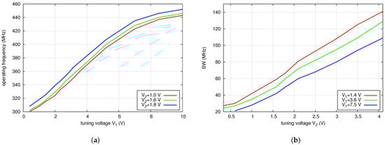
Figure 21. (a) The operating frequency versus tuning voltage V1. (b) The bandwidth versus tuning voltage V2.
Figure 21. (a) The operating frequency versus tuning voltage V1. (b) The bandwidth versus tuning voltage V2.
Electronics 14 00252 g021
Figure 22. The scattering parameters versus frequency for the center frequency of 315 MHz: (a) s 11 , (b) s 21 .
Figure 22. The scattering parameters versus frequency for the center frequency of 315 MHz: (a) s 11 , (b) s 21 .
Electronics 14 00252 g022
Figure 23. The scattering parameters versus frequency for the center frequency of 375 MHz: (a) s 11 , (b) s 21 .
Figure 23. The scattering parameters versus frequency for the center frequency of 375 MHz: (a) s 11 , (b) s 21 .
Electronics 14 00252 g023
Figure 24. The scattering parameters versus frequency for the center frequency 420 MHz: (a) s 11 , (b) s 21 .
Figure 24. The scattering parameters versus frequency for the center frequency 420 MHz: (a) s 11 , (b) s 21 .
Electronics 14 00252 g024
Figure 25. The scattering parameters versus frequency for the bandwidth of 50 MHz: (a) s 11 , (b) s 21 .
Figure 25. The scattering parameters versus frequency for the bandwidth of 50 MHz: (a) s 11 , (b) s 21 .
Electronics 14 00252 g025
Figure 26. (a) The IP3 versus frequency for the bandwidth 50 MHz. (b) The IP3 versus bandwidth for the center frequencies 315 MHz, 375 MHz, and 420 MHz.
Figure 26. (a) The IP3 versus frequency for the bandwidth 50 MHz. (b) The IP3 versus bandwidth for the center frequencies 315 MHz, 375 MHz, and 420 MHz.
Electronics 14 00252 g026
Table 1. The influence of filter elements on the main filter parameters.
Table 1. The influence of filter elements on the main filter parameters.
Element VariationCenter FrequencyBandwidthInsertion LossLower TZ FrequencyUpper TZ FrequencyLow Freq. AttenuationHIGH Freq. Attenuation
C C 0
C C 2
L C 1
C C 1
L C 3
C C 3
(—): no or very little impact, (↑/ ) : weak impact, ( / ): medium impact, and ( ): strong impact.
Table 2. Comparison between the proposed and the reference filters.
Table 2. Comparison between the proposed and the reference filters.
Ref.f (GHz) f max / f min BW (MHz)IL (dB)NTZsNCVSize 1
( λ g 2 )
IP3
(dBm)
[15]0.58–1.222.165–1801.8–4.6230.009617.6
[16]1.27–1.61.2665–1161.5–3.4230.017614–21
[4]0.7–11.4360–1501.5–7-30.0278–20
[5]0.95–1.481.55114–1203.5–4.422-25.2–34.9
[25]1.15–21.74115 ± 42.4–3.6210.01515.2–25.2
[6]1.2–1.581.31133 ± 1<3220.1319.8–32.3
[29]0.76–1.782.3484 ± 142–4.5210.02911–20
[28]0.43–0.721.6775 ± 41.31–2.92210.022422–27.6
[34]1.4–21.42126–179<4220.03412.5–28.4
This Work0.3–0.4461.4535–751.4–3.3220.002722–29
1 Calculated for the lowest operating frequency (given in the second column).
Disclaimer/Publisher’s Note: The statements, opinions and data contained in all publications are solely those of the individual author(s) and contributor(s) and not of MDPI and/or the editor(s). MDPI and/or the editor(s) disclaim responsibility for any injury to people or property resulting from any ideas, methods, instructions or products referred to in the content.

Share and Cite

MDPI and ACS Style

Wójcik, D.; Surma, M.; Magnuski, M. Variable Bandwidth Double-Coupled Double-Tuned Filter with Capacitive Couplings. Electronics 2025, 14, 252. https://doi.org/10.3390/electronics14020252

AMA Style

Wójcik D, Surma M, Magnuski M. Variable Bandwidth Double-Coupled Double-Tuned Filter with Capacitive Couplings. Electronics. 2025; 14(2):252. https://doi.org/10.3390/electronics14020252

Chicago/Turabian Style

Wójcik, Dariusz, Maciej Surma, and Mirosław Magnuski. 2025. "Variable Bandwidth Double-Coupled Double-Tuned Filter with Capacitive Couplings" Electronics 14, no. 2: 252. https://doi.org/10.3390/electronics14020252

APA Style

Wójcik, D., Surma, M., & Magnuski, M. (2025). Variable Bandwidth Double-Coupled Double-Tuned Filter with Capacitive Couplings. Electronics, 14(2), 252. https://doi.org/10.3390/electronics14020252

Note that from the first issue of 2016, this journal uses article numbers instead of page numbers. See further details here.

Article Metrics

Back to TopTop