Next Article in Journal
A Deep Learning-Based Ensemble Method for Parameter Estimation of Solar Cells Using a Three-Diode Model
Next Article in Special Issue
A Novel Automatic Detection and Positioning Strategy for Buried Cylindrical Objects Based on B-Scan GPR Images
Previous Article in Journal
Deep-Learning-Based Human Activity Recognition: Eye-Tracking and Video Data for Mental Fatigue Assessment
 
 
Font Type:
Arial Georgia Verdana
Font Size:
Aa Aa Aa
Line Spacing:
Column Width:
Background:
Article

Channel Capacity Analysis of Partial-CSI SWIPT Opportunistic Amplify-and-Forward (OAF) Relaying over Rayleigh Fading

1
Department of Electronic Engineering, Korea National University of Transportation, 50 Daehak-ro, Chungju-si 27469, Republic of Korea
2
Department of Computer Engineering, Korea National University of Transportation, 50 Daehak-ro, Chungju-si 27469, Republic of Korea
*
Author to whom correspondence should be addressed.
Electronics 2025, 14(19), 3791; https://doi.org/10.3390/electronics14193791
Submission received: 10 August 2025 / Revised: 8 September 2025 / Accepted: 23 September 2025 / Published: 24 September 2025
(This article belongs to the Special Issue Applications of Image Processing and Sensor Systems)

Abstract

This paper presents an analytical framework for the channel capacity evaluation of simultaneous wireless information and power transfer (SWIPT)-enabled opportunistic amplify-and-forward (OAF) relaying systems over Rayleigh fading channels. For the SWIPT, we employ a power splitter (PS) at the relay, which splits the received signal into the information transmission and the energy-harvesting parts. By modeling the partial channel state information (P-CSI)-based SWIPT OAF system as an equivalent non-SWIPT OAF configuration, a semi-lower bound and a new upper bound on the ergodic channel capacity are derived. A refined approximation is then obtained by averaging these bounds, yielding a simple yet accurate analytical estimate of the true capacity. Simulation results confirm that the proposed approximations closely track the actual performance across a wide range of signal-to-noise ratios (SNRs) and relay configurations. They further demonstrate that SR-based relay selection provides higher capacity than RD-based selection, primarily due to its direct influence on energy harvesting efficiency at the relay. In addition, diversity advantages manifest mainly as SNR improvements, rather than as gains in diversity order. The proposed framework thus serves as a practical and insightful tool for the capacity analysis and design of SWIPT-enabled cooperative networks, with direct relevance to energy-constrained Internet of Things (IoT) and wireless sensor applications.

1. Introduction

The growing demand for energy-efficient wireless communication has spurred extensive research on simultaneous wireless information and power transfer (SWIPT), where radio frequency (RF) signals are exploited for both data transmission and energy harvesting [1,2,3]. SWIPT-based cooperative relaying enables RF-powered relays to perform simultaneous energy harvesting and information transmission, leading to improved network coverage and longevity [4,5,6,7,8,9,10].
The power splitting (PS) strategy in SWIPT has drawn considerable attention, as portions of the received power can be allocated to both energy harvesting (EH) and information processing (IP) simultaneously [9,10]. Despite its practicality, PS introduces significant analytical complexity, especially in terms of channel capacity–a fundamental metric for assessing communication efficiency.
Recent advances in amplify-and-forward (AF) SWIPT relay systems have primarily focused on power allocation strategies [11], energy-constrained relay selection [12], and system performance, considering non-ideal hardware or nonlinear EH models [13]. Moreover, recent studies have explored SWIPT-based relay systems from various analytical perspectives. For instance, the authors of [14] analyzed power-splitting SWIPT decode-and-forward (DF) relaying over correlated Nakagami-m fading channels, illustrating how statistical dependencies between the source-to-relay (SR) and relay-to-destination (RD) links affect ergodic capacity and outage behavior. Regarding capacity analysis, the work in [1] derived capacity in a double integral form, while [15] assumed a static SR link channel gain to obtain a closed-form expression for capacity. Additionally, ref. [16] investigated partial-channel state information (partial-CSI)-based relay selection under identical and independently distributed (IID) fading environments, focusing on outage performance. However, most of these studies concentrate on outage probability or other simplified performance metrics, with relatively few works rigorously addressing the channel capacity of SWIPT-enabled opportunistic AF (OAF) relaying systems over identical and non-independent distributed (INID) fading environments [1,14,15,16,17,18,19].
In contrast, non-SWIPT AF relaying has been extensively studied for capacity performance under various fading models and relay selection schemes [20,21,22,23,24,25]. Opportunistic AF relaying, in which the relay with the strongest link forwards the source transmission, offers significant improvements in spectral and energy efficiency while reducing coordination requirements [23,24,26]. However, in SWIPT-enabled OAF, the coupling between EH and information forwarding complicates tractable capacity analysis.
While recent studies such as [27,28] have investigated SWIPT in application-driven contexts—e.g., uncrewed aerial vehicle (UAV)-assisted or agricultural Internet of Things (IoT) scenarios—they mainly focus on outage-based metrics or protocol-level enhancements. Thus, a gap remains in theoretical studies that rigorously characterize the capacity trade-offs of SWIPT OAF systems with partial-CSI.
Motivated by our earlier works [29,30], in which generalized non-SWIPT modeling provided tractable approximations for SWIPT AF systems, this paper extends the framework to analyze ergodic channel capacity. A novel upper bound is derived within this generalized interpretation, which, when averaged with the previously established semi-lower bound, yields a new approximation that is both simple and accurate. This approach enables a rigorous yet practical evaluation of capacity under partial-CSI and N th -best relay selection.
Simulation results validate the proposed approximation over diverse signal-to-noise ratio (SNR) levels and system settings. The analysis also highlights its suitability for wireless sensor and Internet of Things (IoT) networks, where relays operate under limited CSI and constrained resources.
Figure 1 illustrates the relationship with prior work and highlights the contributions of this study. The key contributions are summarized as follows:
  • Capacity-oriented system modeling: a practical model for SWIPT OAF relaying with partial-CSI, incorporating PS and relay selection.
  • Upper bound derivation: a new ergodic capacity upper bound within the generalized non-SWIPT OAF framework.
  • Bound-averaged approximation: a refined capacity approximation obtained by averaging the semi-lower and upper bounds.
  • Simulation validation: numerical and simulation results confirming accuracy and practical relevance to wireless sensor and IoT systems.
The paper is organized in the following manner. Section 2 outlines the system and channel models. In Section 3, the derivation of the upper bound and the bound-averaged approximation for the SR-link with P-CSI is presented. Section 4 addresses the corresponding RD-link case. Simulation results are provided in Section 5, and concluding remarks are given in Section 6.

2. P-CSI-Based SWIPT Opportunistic AF Relaying Systems

We describe SWIPT-enabled opportunistic AF relaying systems by first outlining the general relaying protocol and corresponding signal models. As shown in Figure 2a, the system comprises R relays. The channels for the source-to-destination (SD), SR, and RD links are represented by h 0 , { h r } r = 1 R , and  { h R + r } r = 1 R , respectively, and are modeled as mutually INID Rayleigh-distributed random variables.
Owing to the relays’ half-duplex operation, the transmission takes place in two time slots. In the initial slot, the source broadcasts the signal x s , satisfying E [ x s ] = 0 and E [ | x s | 2 ] = P s , to all relays and the destination, with E [ · ] representing the expectation operator. The signals received by the rth relay and the destination are given by
y r = h r x s + n r and y 0 = h 0 x s + n 0
where n r and n 0 represent independent additive white Gaussian noise (AWGN) components at the rth relay and destination, respectively, with zero mean and identical variance σ 2 , i.e.,  E [ n r ] = E [ n 0 ] = 0 and E [ | n r | 2 ] = E [ | n 0 | 2 ] = σ 2 . The direct link SNR is written as γ 0 = P s | h 0 | 2 σ 2 , where γ ¯ 0 = P s Ω 0 σ 2 and Ω 0 = E [ | h 0 | 2 ] . The probability density function (PDF) of γ 0 is then expressed as f γ 0 ( x ) = 1 γ ¯ 0 exp x γ ¯ 0 u ( x ) , where u ( x ) represents the unit step function.
Figure 2b illustrates the architecture of the rth SWIPT relay node [11]. As depicted, the relay employs a power splitter to partition the received signal y r into components y r E for energy harvesting and y r I for information processing. By introducing a power splitting ratio, ρ r ( 0 , 1 ) [2], the energy-harvesting component is expressed as y r E = ρ r y r = ρ r h r x s + n r . During the first time slot, the rth relay harvests energy E r h = E | y r E | 2 = η ρ r P s h r 2 T , where η represents the energy conversion efficiency ( 0 < η 1 ), and T is the slot duration. Given that the AF relay splits time evenly between receiving and forwarding, the corresponding transmit power in the second time slot is P r = η ρ r P s h r 2 .
The information processing component is given by
y r I = 1 ρ r y r + n c r = 1 ρ r h r x s + n R r
where n R r = 1 ρ r n r + n c r , and n c r accounts for the noise arising from the RF-to-baseband conversion. It is assumed that n r and n c r are mutually independent, zero-mean, and of equal power: E n c r = E n R r = 0 , E | n c r | 2 = σ 2 , and  σ R r 2 = E | n R r | 2 = 2 ρ r σ 2 .
In the second time slot, the rth relay forwards y r I to the destination using the instantaneous power P r . The transmitted signal is x r = κ r y r I , where the amplification gain κ r is given by
κ r = η ρ r P s h r 2 1 ρ r h r 2 P s + σ R r 2 .
The received signal at the destination from the rth relay is
y R + r = h R + r x r + n R + r = h R + r κ r 1 ρ r h r x s + h R + r κ r 1 ρ r n R r + n c r + n R + r .
Here, n R + r represents AWGN at the destination in the second time slot, with zero mean and variance σ 2 , i.e.,  E [ n R + r ] = 0 and E [ | n R + r | 2 ] = σ 2 . All noise components, { n 0 , n r , n c r , n R + r } r = 1 R , are considered mutually independent.

2.1. Instantaneous Received SNR for Indirect (SRD) Link

Based on (4), the SNR for the indirect source–relay–destination (SRD) path is given at the rth relay by
SNR id r = P s κ 2 1 ρ r h r 2 h R + r 2 κ 2 h R + r 2 σ R r 2 + σ 2 = γ r β r β r + γ r + 1 γ r
where
γ r = 1 ρ r 2 ρ r · P s h r 2 σ 2 β r = η ρ r 2 ρ r h R + r 2 1 ρ r ,
with the respective averages
γ ¯ r = 1 ρ r 2 ρ r · P s Ω r σ 2 β ¯ r = η ρ r 2 ρ r Ω R + r 1 ρ r ,
Ω r = E | h r | 2 , and  Ω R + r = E | h R + r | 2 . At high SNR ( γ r 1 ), Equation (5) can be approximated as [2,29]
SNR id r γ id r = γ r β r β r + 1 .

2.2. Approximation of SWIPT-Enabled OAF Relays by General OAF Relays

Following the methodology presented in [29], the SWIPT-enabled OAF relay system is approximately modeled as a general OAF relay framework [30]. Accordingly, the indirect link SNR γ id r in (8) can be approximated as
γ id r = γ r β r β r + 1 γ r γ r rd γ r + γ r rd min γ r , γ r rd = γ r OAF .
Here, γ r rd represents the modified SNR for the RD link, whose PDF is expressed as
f γ r rd ( y ) = 1 γ ¯ r rd exp y γ ¯ r rd u ( y ) ,
where u ( y ) is the unit step function.
From (A3), the average SNR γ ¯ r rd , which depends on both γ ¯ r and β ¯ r , is expressed as [29,30]
γ ¯ r rd = 1 4 4 γ ¯ r + 1 4 γ ¯ r 4 γ ¯ r β ¯ r 4 γ ¯ r + 1 4 γ ¯ r log 4 γ ¯ r β ¯ r 4 γ ¯ r + 1 4 γ ¯ r + 1 1 4 .
For the high SNR regime ( γ ¯ r 1 ), it follows that 1 4 γ ¯ r rd + 1 1 4 γ ¯ r β ¯ r / log 4 γ ¯ r β ¯ r + 1 [29].

2.3. SWIPT OAF Relay System with Relay Selection Scheme Based on P-CSI

In [30], a relay selection scheme tailored for SWIPT OAF-relaying systems was proposed, where selection is performed at the source based on partial-CSI of the SR links. The selection occurs in distinct subphases, during which each relay transmits identification signals derived from harvested energy. This enables the source to estimate instantaneous link qualities and select the optimal relay accordingly. The scheme assumes a fixed initial power splitting ratio, ρ r = ρ 0 = 0.5 , across all relays before PS optimization, ensuring reliable SNR estimation during relay selection. Although originally developed for error performance analysis [30], this relay selection mechanism also provides a solid foundation for capacity evaluation in SWIPT relay systems.
After selecting the best relay, the chosen node applies a PS optimization designed to minimize asymptotic bit error rate (BER), P B , id Asym γ ¯ r , β ¯ r in (A2), as 
ρ r , opt = arg min 0 < ρ r < 1 P B , id Asym γ ¯ r , β ¯ r .
Simulation and numerical results in [29] validate the robustness of the optimized power splitting factor. Therefore, the implementation of the optimal ρ r via a lookup table is both feasible and efficient [30].
Note that Table A1 summarizes the symbol notations used in Section 2.

3. Capacity Evaluation of SWIPT OAF Relays Under Partial-CSI of SR Links

OAF relaying performance suffers if the optimal relay is not selected. Hence, we examine in this section the capacity performance associated with choosing the Nth best relay. As a preliminary step, the probability that the ith relay is selected as the Nth best relay is presented. Next, the channel capacity of SWIPT OAF schemes is analyzed by employing the generalized non-SWIPT AF approximation. An upper bound on the channel capacity is then derived, and a novel capacity approximation is proposed by averaging the upper and semi-lower bounds. Note that Table A2 summarizes the symbol notations used in Section 3.

3.1. Nth Best Selection Probability and Exact Channel Capacity

As described in [30], the relay selection algorithm based on P-CSI { γ r 0 } r = 1 R , where γ r 0 = γ r ρ r = ρ 0 , with ρ 0 denoting a fixed initial power splitting ratio, can be expressed as
i = arg N th max γ r 0 r = 1 R
where ‘ arg N th max ( · ) ’ denotes the selection of the N th largest value among the R relays.
Following selection, each relay can independently carry out PS optimization. During data transmission, the selected relay employs the pair of random variables, { γ i , β i } , with the optimized power splitting ratio ρ i = ρ i , opt obtained from (11) [30].

3.1.1. Nth Best Selection Probability of the iTh Relay

The selection in (12) corresponds to choosing the N th -order statistic among R independent random variables. Each relay has a non-zero probability of being selected as the Nth best relay. From (A10), the PDF of the Nth-order statistic corresponding to γ i 0 is given by
p γ i 0 x = j = 1 R 1 N 1 k = 0 R N ( 1 ) k l = 1 R N k exp x B i j , k , l
where
B i j , k , l = p = 1 N 1 1 / γ ¯ λ i , p N 1 , j 0 + m = 1 k 1 / γ ¯ Γ m k , l 0
with { γ ¯ i 0 = γ ¯ i | ρ i = ρ 0 } i = 1 R as defined in (7).

3.1.2. Derivation of the Joint PDF for the Nth Random Variable Pair

From (12) and (13), the joint PDF for the selected Nth random variable pair from γ i 0 , β i i = 1 R is given by [30,31,32] as
f γ 0 , β N max x , y = i = 1 R p γ i 0 x f γ i 0 , β i x , y = i , j , k , l γ ¯ i ( 1 ) k γ ¯ i 0 1 γ ¯ i exp x γ ¯ i 1 β ¯ i exp y β ¯ i u ( x ) u ( y )
where the quadruple summation is presented as
i = 1 R j = 1 R 1 N 1 k = 0 R N l = 1 R N k = i , j , k , l
and 1 / γ ¯ i = 1 / γ ¯ i 0 + B i j , k , l . Note that γ ¯ i is a function of B i j , k , l in (14).
Based on (12), the SNR of the indirect link corresponding to the N th best selected relay is given by
γ id N max = γ N max β N max β N max + 1 .
For the pair { γ N max , β N max } , the joint PDF is derived from (15) as
f γ , β N max x , y = i , j , k , l γ ¯ i ( 1 ) k γ ¯ i 0 1 γ ¯ i exp x γ ¯ i 1 β ¯ i exp y β ¯ i u ( x ) u ( y )
with γ ¯ i = 1 / 1 / γ ¯ i 0 + B i j , k , l and γ ¯ i = γ ¯ i γ ¯ i 0 γ ¯ i . Similarly, the indices j, k, and l are omitted in γ ¯ i and γ ¯ i for simplicity. Note that (15) and (18) correspond to the random variable pairs γ i 0 , β i i = 1 R and γ i , β i i = 1 R , respectively. Equation (18) is obtained by applying a transformation from γ i 0 to γ i .

3.1.3. Exact Channel Capacity Expression

From Shannon’s perspective, the ergodic capacity is an essential performance metric, indicating the highest transmission rate that ensures reliable communication. For the SD link without relaying, which occupies one orthogonal channel, the ergodic channel capacity is given by [29,33]:
C sd = E log 2 1 + γ 0 = 0 log 2 1 + γ 1 γ ¯ 0 exp γ γ ¯ 0 d γ = 1 log 2 exp 1 γ ¯ 0 E 1 1 γ ¯ 0 = C 1 γ ¯ 0
where C 1 γ = 1 log ( 2 ) exp 1 γ E 1 1 γ , and E 1 ( x ) = x exp ( t ) t d t is the exponential integral [34,35]. The unit of C sd is bits/sec/Hz.
From (17) and (18), the ergodic capacity of the indirect (SRD) link is
C id = 1 2 E log 2 1 + γ id N max = 1 2 0 0 log 2 1 + γ f γ , β N max x , y d x d y ,
where the factor 1 / 2 accounts for the use of two orthogonal channels, and the unit of C id is bits/sec/Hz. With the aid of (A15) in Appendix D, Equation (20) is derived as
C id = 1 2 i , j , k , l γ ¯ i ( 1 ) k γ ¯ i 0 C id i γ ¯ i , β ¯ i
where C id i γ ¯ i , β ¯ i still involves a double integral. Hence, the direct numerical evaluation of  (21) is computationally demanding, motivating the derivation of approximated expressions using a single integral form (i.e., the exponential integral).

3.2. Approximation of SWIPT-Enabled OAF Relays by General OAF Relays

We consider the OAF approximation introduced in Section 2.2 to derive semi-lower bounded channel capacities [29].

3.2.1. Approximated PDFs of the Selected Indirect and Combined Links

Approximating the SWIPT relay using a conventional AF relay allows the random variable pair { γ r , β r } in (9) to be substituted with { γ r , γ r rd } . Based on (9) and (17), the SNR corresponding to the N th best selected indirect link is then approximated as [36]:
γ id N max = γ N max β N max β N max + 1 γ N max γ N max rd γ N max + γ N max rd min γ N max , γ N max rd = γ id OAF .
The joint PDF f γ , β N max ( x , y ) in (18) is then modified to
f γ , γ rd N max x , y = i , j , k , l γ ¯ i ( 1 ) k γ ¯ i 1 γ ¯ i exp x γ ¯ i 1 γ ¯ i rd exp y γ ¯ i rd u ( x ) u ( y )
where γ ¯ i rd is computed from (10) by replacing γ ¯ r with γ ¯ i , as given in (18) and β ¯ r with β ¯ i . For notational simplicity, the indices j, k, and l are omitted. Thus, γ ¯ i rd in (23) is a function of B i j , k , l in (14).
Using the min-approximation for the AF link pair, the PDF of γ id OAF in (22) can be expressed from (23) as
f γ id OAF x = i , j , k , l γ ¯ i ( 1 ) k γ ¯ i 1 γ ¯ i min exp x γ ¯ i min u ( x )
where γ ¯ i min = 1 / 1 / γ ¯ i + 1 / γ ¯ i rd . Note that both γ ¯ i and γ ¯ i min in (24) are functions of B i j , k , l in (14).
Similarly, the  N th best-selected combined link SNR can be approximated as
γ cb N max = γ 0 + γ id N max γ 0 + γ id OAF = γ cb OAF .
Using the PDFs of γ 0 and γ id OAF and standard convolution methods [37,38], the PDF of γ cb OAF is
f γ cb OAF x = i , j , k , l γ ¯ i ( 1 ) k γ ¯ i exp x γ ¯ 0 γ ¯ 0 γ ¯ i min + exp x γ ¯ i min γ ¯ i min γ ¯ 0 u ( x ) .

3.2.2. Approximated Channel Capacity: Semi-Lower Bound

For the indirect link with OAF relaying, which uses two orthogonal channels, the ergodic capacity can be approximated from (24) as
C id 1 2 0 log 2 1 + γ f γ id OAF γ d γ = 1 2 i , j , k , l γ ¯ i ( 1 ) k γ ¯ i C 1 γ ¯ i min = C id OAF
where the factor 1 2 accounts for the use of two orthogonal channels.
Similarly, for the combined link, using (26), the capacity is approximated as
C cb = 1 2 E log 2 1 + γ cb N max 1 2 0 log 2 1 + γ f γ cb OAF γ d γ = 1 2 i , j , k , l γ ¯ i ( 1 ) k γ ¯ i γ ¯ 0 γ ¯ 0 γ ¯ r min C 1 γ ¯ 0 + γ ¯ r min γ ¯ r min γ ¯ 0 C 1 γ ¯ r min = C cb OAF .
The units of C id and C cb are bits/sec/Hz. Note that approximating the SWIPT relay as a conventional AF relay [29] preserves asymptotic BER behavior but does not guarantee exact PDF or capacity equivalence. Nevertheless, as shown in [29], this provides a semi-lower bound on the ergodic capacity above a certain SNR threshold.

3.3. Upper-Bounded Channel Capacity

From (21) and (A18), the indirect link channel capacity can be upper-bounded as
C id = 1 2 E log 2 1 + γ id N max = 1 2 0 0 log 2 1 + x y y + 1 f γ , β N max x , y d x d y < 1 2 i , j , k , l γ ¯ i ( 1 ) k γ ¯ i C 1 / γ ¯ i β ¯ i β ¯ i + 1 = C id Up
where the derivation is detailed in Appendix E.
A careful inspection of (29) and (A19) reveals that the PDF of γ id N max γ id App in (29) is approximately given by
f γ id App x = i , j , k , l γ ¯ i ( 1 ) k γ ¯ i 1 γ ¯ i app exp x γ ¯ i app u ( x ) ,
which satisfies 1 2 E log 2 ( 1 + γ id App ) = C id Up with γ ¯ i app = γ ¯ i β ¯ i / β ¯ i + 1 .
Assuming the combined link SNR is approximated by
γ cb N max = γ 0 + γ id N max γ 0 + γ id App = γ cb App ,
its PDF is expressed as
f γ cb App x = i , j , k , l γ ¯ i ( 1 ) k γ ¯ i exp x γ ¯ 0 γ ¯ 0 γ ¯ i app + exp x γ ¯ i app γ ¯ i app γ ¯ 0 u ( x ) .
Consequently, the combined link channel capacity is upper-bounded by
C cb = 1 2 E log 2 1 + γ cb N max < 1 2 0 log 2 1 + γ f γ cb App γ d γ = 1 2 i , j , k , l γ ¯ i ( 1 ) k γ ¯ i γ ¯ 0 γ ¯ 0 γ ¯ i app C 1 γ ¯ 0 + γ ¯ i app γ ¯ i app γ ¯ 0 C 1 γ ¯ i app = C cb Up
where C ( · ) is defined in (19), with units of bits/sec/Hz.

3.4. Mean Channel Capacity

Based on the approximations in (27) and the upper bound in (29), the average channel capacity for the indirect link is expressed as
C id 1 2 C id OAF + C id Up = C id mean .
Similarly, for the combined link, using (28) and (32), the mean channel capacity is
C cb 1 2 C cb OAF + C cb Up = C cb mean .
These mean capacities provide a balanced estimate by averaging the semi-lower and upper bound results. The semi-lower bound, derived from the generalized non-SWIPT relay approximation, tends to underestimate the true capacity, while the upper bound, based on tighter PDF approximations, provides a conservative overestimation. Thus, their average offers a practical and reliable approximation of the ergodic capacity, particularly in moderate-to-high SNR regimes where the bounds converge. This approach enables a simplified performance evaluation without resorting to the exact, often intractable, expressions.

4. Capacity Evaluation of SWIPT OAF Relays Under Partial-CSI of RD Links

In this section, relay selection is investigated under the assumption that only partial-CSI of the RD links is available [30]. The process is performed at the destination node during the initial configuration of the dual-hop SWIPT relay system. Note that Table A3 summarizes the symbol notations used in Section 4.

4.1. Nth Best Selection Probability and Exact Channel Capacity

We begin by examining the relay selection strategy that relies on P-CSI. Using the set { β r 0 } r = 1 R , where β r 0 is defined as β r | ρ r = ρ 0 in (6), the selection is formulated as
i = arg N th max β r 0 r = 1 R .
Here, selection is performed at the destination based on β r 0 r = 1 R prior to PS optimization [30]. All relay nodes initially set their PS ratio to ρ 0 , i.e.,  ρ r = ρ 0 for r = 1 , , R . After selection, each relay independently optimizes its PS factor to minimize the asymptotic BER in (A2). Thus, during data transmission, the random variable pair { γ i , β i } is considered with ρ i set to ρ i , opt .

4.1.1. Nth Best Selection Probability of the iTh Relay

Equation (35) represents the selection of the N th largest value among R independent random variables. From (A10), the selection probability of β i 0 is expressed as
p β i 0 x = j = 1 R 1 N 1 k = 0 R N ( 1 ) k l = 1 R N k exp x B i j , k , l
where
B i j , k , l = p = 1 N 1 1 / β ¯ λ i , p N 1 , j 0 + m = 1 k 1 / β ¯ Γ m k , l 0 .
Here, { β ¯ i 0 } i = 1 R is defined in (7) evaluated at ρ r = ρ 0 .

4.1.2. Derivation of the Joint PDF for the Nth Random Variable Pair

For the Nth maximum random variable pair { γ i , β i 0 } i = 1 R , the joint PDF is obtained from (35) and (36) as
f γ , β 0 N max x , y = i = 1 R p β i 0 y f γ i x f β i 0 y = i , j , k , l β ¯ i ( 1 ) k β ¯ i 0 1 γ ¯ i exp x γ ¯ i 1 β ¯ i exp y β ¯ i u ( x ) u ( y )
with β ¯ i = 1 / 1 / β ¯ i 0 + B i j , k , l .
Selecting the N th best relay, the corresponding indirect link SNR is γ id N max = γ N max β N max β N max + 1 . Then, the joint PDF of { γ N max , β N max } is
f γ , β N max x , y = i , j , k , l β ¯ i ( 1 ) k β ¯ i 0 1 γ ¯ i exp x γ ¯ i 1 β ¯ i exp y β ¯ i u ( x ) u ( y )
where β ¯ i = 1 / 1 / β ¯ i 0 + B i j , k , l and β ¯ i = β ¯ i β ¯ i 0 β ¯ i . Indices j , k , l are omitted for simplicity. The transformation from β i 0 to β i is applied to obtain (39) from (38).

4.1.3. Exact Channel Capacity Expression

From (39) and (A15) in Appendix D, the indirect channel capacity is
C id = 1 2 E log 2 1 + γ id N max = 1 2 i , j , k , l β ¯ i ( 1 ) k β ¯ i 0 C id i γ ¯ i , β ¯ i .
In (40), C id i ( γ ¯ i , β ¯ i ) still involves a double integral, which makes direct numerical evaluation challenging.

4.2. Approximation of SWIPT-Enabled OAF Relays by General OAF Relays

Let us consider the OAF approximation introduced in Section 2.2 to derive semi-lower bounded channel capacities [29].

4.2.1. Approximated PDFs of the Selected Indirect and Combined Links

With the same assumptions as in Section 2.2, the joint PDF f γ , β N max ( x , y ) in (39) can be rewritten as
f γ , γ rd N max x , y = i , j , k , l β ¯ i ( 1 ) k β ¯ i 0 1 γ ¯ i exp x γ ¯ i 1 γ ¯ i rd exp y γ ¯ i rd u ( x ) u ( y )
where 1 / β ¯ i = 1 / β ¯ i 0 + B i j , k , l and β ¯ i = β ¯ i β ¯ i 0 β ¯ i . In (41), γ ¯ i rd is derived from (10) by substituting γ ¯ r with γ ¯ i and β ¯ r with β ¯ i defined in (39). For brevity, the indices j, k, and l are omitted in β ¯ i , β ¯ i , and  γ ¯ i rd .
Based on the min-approximation, the PDF of γ id OAF in (22) is expressed as
f γ id OAF x = i , j , k , l β ¯ i ( 1 ) k β ¯ i 0 1 γ ¯ i min exp x γ ¯ i min u ( x )
where γ ¯ i min = 1 / 1 / γ ¯ i + 1 / γ ¯ i rd .
Using the PDFs of γ 0 and γ id OAF from (42) and performing algebraic manipulations, the PDF of γ cb OAF in (25) is expressed as
f γ cb OAF x = i , j , k , l β ¯ i ( 1 ) k β ¯ i 0 exp x γ ¯ 0 γ ¯ 0 γ ¯ i min + exp x γ ¯ i min γ ¯ i min γ ¯ 0 u ( x ) .

4.2.2. Approximated Channel Capacity: Semi-Lower Bound

For the indirect link, since the SWIPT relaying scheme employs two orthogonal channels, the channel capacity can be approximated from (42) as
C id = 1 2 E log 2 1 + γ id N max 1 2 0 log 2 1 + γ f γ id OAF γ d γ = 1 2 i , j , k , l β ¯ i ( 1 ) k β ¯ i C 1 γ ¯ i min = C id OAF .
Similarly, using (43), the channel capacity of the combined link can be approximated as
C cb = 1 2 E log 2 1 + γ cb N max 1 2 0 log 2 1 + γ f γ cb OAF γ d γ = 1 2 i , j , k , l β ¯ i ( 1 ) k β ¯ i γ ¯ 0 γ ¯ 0 γ ¯ r min C 1 γ ¯ 0 + γ ¯ r min γ ¯ r min γ ¯ 0 C 1 γ ¯ r min = C cb OAF .

4.3. Upper-Bounded Channel Capacity

From (39), (40), and (A18), the indirect link channel capacity can be uppe-bounded as
C id = 1 2 E log 2 1 + γ id N max = 1 2 0 0 log 2 1 + x y y + 1 f γ , β N max x , y d x d y < 1 2 i , j , k , l β ¯ i ( 1 ) k β ¯ i C 1 / γ ¯ i β ¯ i β ¯ i + 1 = C id Up .
An inspection of (46) and (A19) suggests approximating the PDF of γ id N max as
f γ id App x = i , j , k , l β ¯ i ( 1 ) k β ¯ i 1 γ ¯ i app exp x γ ¯ i app u ( x )
where γ ¯ i app = γ ¯ i β ¯ i β ¯ i + 1 , which directly yields the upper-bound expression in (46).
With the assumption of γ cb N max = γ 0 + γ id N max γ 0 + γ id App = γ cb App , the PDF of γ cb App can be obtained via convolution of γ 0 and γ id App :
f γ cb App x = i , j , k , l β ¯ i ( 1 ) k β ¯ i exp x γ ¯ 0 γ ¯ 0 γ ¯ i app + exp x γ ¯ i app γ ¯ i app γ ¯ 0 u ( x ) .
Consequently, the combined link channel capacity is upper-bounded by
C cb = 1 2 E log 2 1 + γ cb N max < 1 2 0 log 2 1 + γ f γ cb App γ d γ = 1 2 i , j , k , l β ¯ i ( 1 ) k β ¯ i γ ¯ 0 γ ¯ 0 γ ¯ i app C 1 γ ¯ 0 + γ ¯ i app γ ¯ i app γ ¯ 0 C 1 γ ¯ i app = C cb Up .

4.4. Mean Channel Capacity

Based on (44) and (46), the average channel capacity for the indirect link can be approximated as the mean of the semi-lower and upper bounds:
C id 1 2 C id OAF + C id Up = C id mean .
Similarly, from (45) and (49), the average channel capacity for the combined link is approximated as
C cb 1 2 C cb OAF + C cb Up = C cb mean .
This averaging method provides a practical and accurate estimate by balancing the conservative lower bound and the optimistic upper bound, thus effectively capturing the true ergodic capacity behavior of the system.

5. Numerical and Simulation Results

In this section, the derived analytical expressions are evaluated numerically and validated using extensive Monte Carlo simulations. Simulations are conducted for the multi dual-hop SWIPT relay system described in Section 2 using MATLAB R2024a.Binary phase shift keying (BPSK) modulation ( M = 2 ) is assumed, and all channels { h r } r = 0 2 R are modeled as independent Rayleigh fading with average powers given in Table 1. For all receivers, channel and noise realizations, i.e.,  { n r } r = 0 2 R and { n c r } r = 1 R , are independently generated 10 8 times under the assumption of AWGN with variance σ 2 . The average SNR is defined as SNR = γ ¯ 0 . The blue and red curves in all figures represent the numerically computed capacities of the indirect and combined links, respectively. Simulation results labeled ‘Simulation’ are obtained by directly applying the amplification factor κ r in (3), without the high-SNR assumption γ ¯ r 1 used in (8). Two channel models are considered: ‘Ch. Model = 1 , 1 , X ’, where the RD link power varies with R, and ‘Ch. Model = 1 , X , 1 ’, where the SR link power varies.
In this section, the energy conversion efficiency is set to the ideal case of η = 1.0 [1,29], providing a theoretical upper bound that serves as a benchmark, while prior works have considered practical values such as η = 0.2 [28], η = 0.5 [2], η = 0.7 [11], and  η = 0.5 0.8 [17].

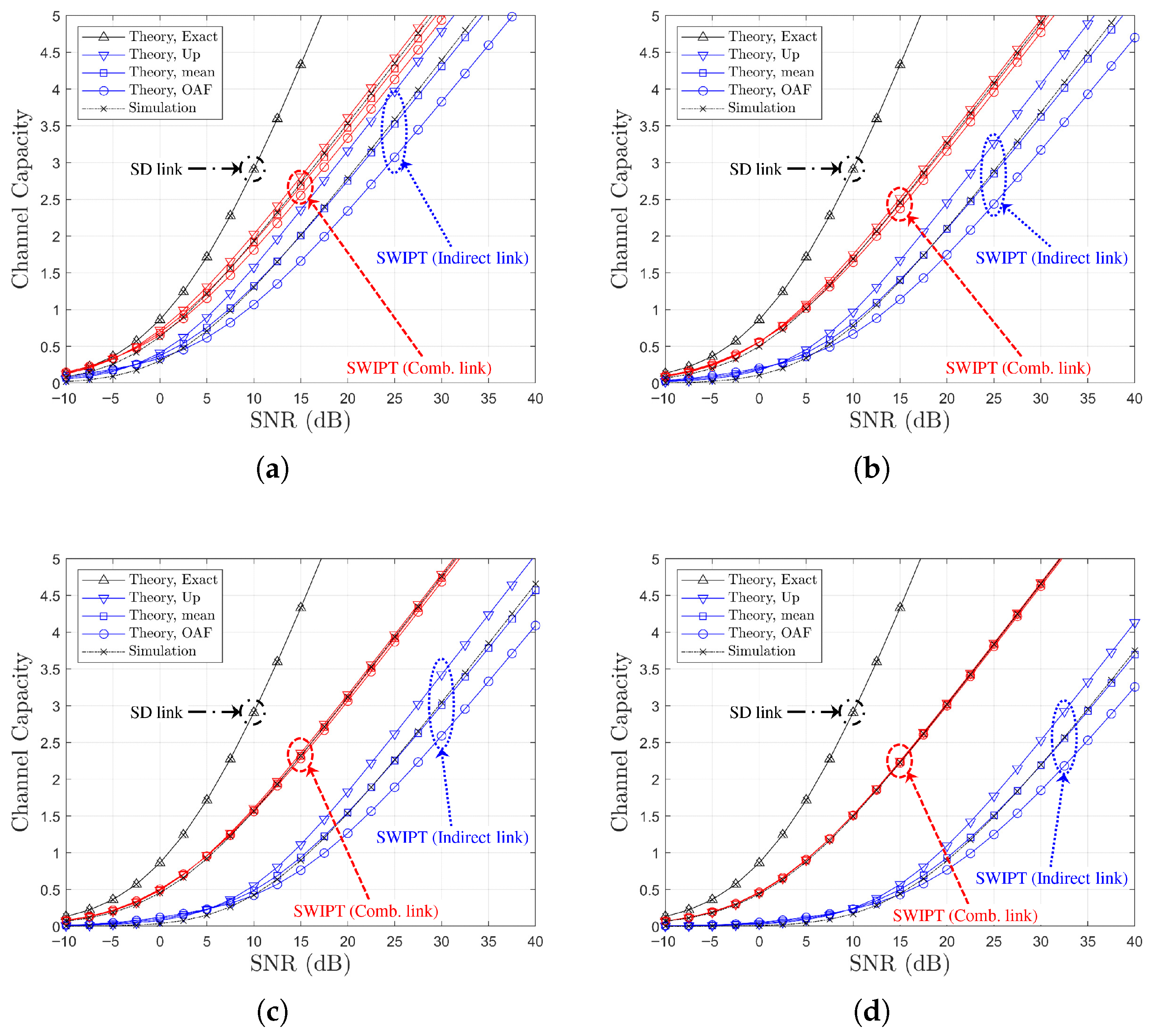
5.1. Channel Capacity Analysis for SWIPT OAF Relaying Systems with P-CSI Based on SR Links

Table 2 summarizes the correspondence between figure legends and the associated theoretical expressions for SR-based relay selection. Figure 3, Figure 4, Figure 5, Figure 6, Figure 7 and Figure 8 present analytical curves labeled ‘Theory,Up’, ‘Theory,OAF’, and ‘Theory,mean’. In Figure 3, Figure 4, Figure 5, Figure 6 and Figure 7, ‘Theory,Exact’ corresponds to the analytical results of (19) for the SD link.
For ‘Ch. Model  = 1 , 1 , X ’, Figure 3, Figure 4, Figure 5 and Figure 6 illustrate the channel capacity as a function of SNR and power splitting ratio ρ r for varying N th . For ‘Ch. Model  = 1 , X , 1 ’, the capacity comparison for different N th values is shown in Figure 7. Figure 8 further depicts capacity variation with respect to N th for the two channel models: (a) ‘Ch. Model  = 1 , 1 , X ’ and (b) ‘Ch. Model = 1 , X , 1 ’. Dark gray arrows in Figure 8a,b indicate increasing N th .
From Figure 3, Figure 4, Figure 5, Figure 6, Figure 7 and Figure 8, it is observed that the indirect link exhibits an inferior capacity, owing to limited energy harvesting at the relay, whereas the combined link consistently achieves higher capacity over the entire SNR range. The theoretical curve ‘Theory,mean’ shows excellent agreement with simulations, regardless of N th and channel conditions. Specifically, for the indirect link, the proposed mean capacity provides an accurate approximation with negligible deviation across the entire SNR range. An increase in N th from 1 to 4 (i.e., from Figure 3, Figure 4, Figure 5 and Figure 6) reduces relay selection accuracy, resulting in degraded capacity performance.
Figure 3c, Figure 4c, Figure 5c, Figure 6c and Figure 8 confirm that PS optimization gain diminishes regardless of N th . However, a fixed PS factor ρ r = 0.5 still secures selection diversity gain in capacity performance for OAF schemes. Note that PS optimization herein targets asymptotic BER minimization.
As Figure 8 shows, the selection diversity gain in channel capacity primarily manifests as an SNR gain rather than an increase in diversity order, consistent with error performance trends reported in [30]. This implies that relay selection improves capacity by shifting the curve upward without altering its asymptotic slope. For both channel models, relay selection relies on the SR link SNRs. As a result, ‘Ch. Model  = 1 , X , 1 ’ experiences stronger SR channels, which improves energy harvesting and subsequently enhances RD link performance. Moreover, capacity improvements due to reducing N th (i.e., more precise relay selection) are more pronounced under ‘Ch. Model  = 1 , X , 1 ’ than under ‘Ch. Model = 1 , 1 , X ’, especially for the indirect link compared to the combined link. Consequently, ‘Ch. Model  = 1 , X , 1 ’ exhibits higher capacity performance under SR link-based relay selection.
Finally, considering the approximation in (8) (i.e., γ ¯ r 1 ), Figure 3, Figure 4, Figure 5, Figure 6, Figure 7 and Figure 8 confirm that ‘Theory,OAF’ provides the semi-lower bound beyond a certain SNR threshold. For example, in Figure 3b, ‘Theory,OAF’ slightly exceeds the simulation results when SNR < 2.5  dB for both the indirect and combined links. This verifies that the semi-lower bound remains a reliable benchmark across low- and moderate-SNR regimes.

5.2. Channel Capacity Analysis for SWIPT OAF Relaying Systems with P-CSI Based on RD Links

Table 3 lists the correspondence between figure legends, equation numbers, and symbols for relay selection based on RD links. The following subsection provides the theoretical results associated with the equations presented in Table 3.
Figure 9, Figure 10 and Figure 11 illustrate the channel capacity, where ‘Theory,Up’, ‘Theory,OAF’, and ‘Theory,mean’ denote theoretical curves. In Figure 9 and Figure 10, ‘Theory,Exact’ corresponds to the analytical results of (19) for the SD link.
Figure 9 and Figure 10 compare the channel capacity with respect to SNR and N th over ‘Ch. Model = 1 , 1 , X ’ and ‘Ch. Model = 1 , X , 1 ’, respectively. Figure 11 shows capacity comparisons versus N th for both channel models: panels (a) and (c) correspond to ‘Ch. Model = 1 , 1 , X ’, and (b) and (d) to ‘Ch. Model = 1 , X , 1 ’.
Similar to SR link-based selection, the ‘Theory,mean’ curves closely match simulation results across all N th values and channel conditions. An increase in N th reduces relay selection accuracy, leading to a corresponding loss in channel capacity.
From Figure 11c,d, it can be observed that, even when relay selection is based on RD link SNRs, ‘Ch. Model = 1 , X , 1 ’ achieves a higher channel capacity than ‘Ch. Model = 1 , 1 , X ’. Therefore, ‘Ch. Model = 1 , X , 1 ’ provides a more favorable environment in terms of capacity, regardless of the relay selection criterion.

5.3. Channel Capacity Comparison for Relay Selection: SR Links Vs. RD Links

Figure 12 and Figure 13 compare the channel capacity of the two relay selection schemes with respect to N th over ‘Ch. Model = 1 , 1 , X ’ and ‘Ch. Model = 1 , X , 1 ’, respectively.
Figure 12 and Figure 13 compare two partial-CSI-based relay selection strategies: SR link-based and RD link-based. Capacities of the indirect (blue) and combined (red) links are shown. SR-based relay selection achieves a significantly higher capacity than RD-based selection, indicating that choosing relays with stronger SR channels more effectively enhances end-to-end performance. In contrast, RD-based selection results in lower capacity, demonstrating that a strong RD link alone does not ensure improved performance for either link.
Comparing Figure 12 and Figure 13 reveals that the SR-based method outperforms RD-based selection for N th { 1 , 2 , 3 } under both ‘Ch. Model = 1 , 1 , X ’ and ‘Ch. Model = 1 , X , 1 ’ environments. Since the SWIPT relay lacks an independent power source, selection gains from the RD link cannot be fully realized because energy harvesting depends on the SR link quality. Furthermore, Figure 12 and Figure 13 show that the difference in capacity between the two selection strategies decreases with increasing an N th .
Table 4 presents the SNR gains obtained under different N th and channel model configurations. The results are extracted from simulation curves at a fixed channel capacity of Capacity = 2 . It can be observed that the combined link exhibits only marginal gains, exceeding 0.5  dB for N th = 1 in the 1 , 1 , X case and about 1.25  dB in the 1 , X , 1 case. In contrast, the indirect link achieves substantially larger improvements, particularly for N th = 1 , where the gain exceeds 2.25  dB and 4.2  dB for the two channel models, respectively.
For N th = 2 , the combined link shows negligible gain, while the indirect link still maintains modest improvement. When N th = 3 , both links exhibit performance reversal, resulting in negative SNR gains. Overall, the indirect link consistently provides nearly twice the SNR gain of the combined link, and the 1 , X , 1 channel configuration achieves almost double the gain compared to 1 , 1 , X . These observations confirm that SR-based relay selection is more effective than RD-based selection, particularly in terms of enhancing energy harvesting efficiency and SNR performance.

6. Conclusions

This paper has analyzed the channel capacity performance of SWIPT opportunistic AF relaying systems over INID Rayleigh fading channels with partial-CSI-based relay selection. Building on our previous AF framework, we evaluated approximate closed-form expressions for the capacities of indirect and combined links. The proposed mean-capacity approximation, positioned between tractable lower and upper bounds, was shown through simulations to closely match actual capacity performance across various SNR regimes.
The results indicate that SR-based relay selection achieves higher capacity than RD-based selection, owing to its direct impact on energy harvesting efficiency at the relay. In contrast to previous BER performance analyses [30], however, this capacity advantage is evident only when the first or second best relay is selected. Furthermore, diversity gains are reflected primarily as SNR improvements, rather than increases in diversity order, which is consistent with earlier error performance results. These findings provide practical guidelines for relay selection and power splitting in SWIPT cooperative networks.
While independent Rayleigh fading was assumed for analytical tractability, real channels may involve correlation or follow alternative fading models such as Rician and Nakagami-m. Future research will, therefore, extend the framework to more general fading environments, incorporate nonlinear energy harvesting models, and investigate adaptive or distributed power splitting initialization strategies to capture relay heterogeneity. In addition, the framework can be further developed for full-duplex and hybrid relaying schemes, where capacity and relay selection must be re-evaluated under self-interference conditions. Together, these extensions will enhance the robustness and practical relevance of the proposed analysis.

Author Contributions

Conceptualization, K.K.; methodology, S.S.; software, K.K.; validation, K.K. and S.S.; formal analysis, K.K.; investigation, K.K.; resources, S.S.; data curation, K.K.; writing—original draft preparation, K.K.; writing—review and editing, K.K. and S.S.; visualization, K.K.; supervision, S.S.; project administration, S.S.; funding acquisition, S.S. All authors have read and agreed to the published version of the manuscript.

Funding

This work was supported by the Innovative Human Resource Development for Local Intellectualization program through the Institute of Information & Communications Technology Planning & Evaluation(IITP) grant funded by the Korea government(MSIT)(IITP-2025-RS-2020-II201462).

Data Availability Statement

Data are contained within the article.

Conflicts of Interest

The authors declare no conflict of interest.

Abbreviations

The following abbreviations are used in this manuscript:
AFamplify-and-forward
AWGNadditive white Gaussian noise
BERbit error rate
BPSKbinary phase shift keying
CDFcumulative distribution function
CSIchannel state information
DFdecode-and-forward
EHenergy harvesting
INIDidentical but non-independent distributed
IoTInternet of Things
IPinformation processing
OAFopportunistic amplify-and-forward
PDFprobability density function
PSpower splitting
RDrelay-to-destination
RFradio frequency
SDsource-to-destination
SRDsource-relay-destination
SNRsignal-to-noise ratio
SRsource-to-relay
SWIPTsimultaneous wireless information and power transfer

Appendix A. Notations

Table A1. Symbol Notation in Section 2.
Table A1. Symbol Notation in Section 2.
SymbolNotationsEquation(s)Comment
E [ · ] Stochastic expectation
RNumber of relays
rRelay index r { 1 , 2 , , R }
x s Transmitting signal at the source node(1)
y 0 Received signal for the SD link(1)
n 0 AWGN for the SD link(1)
y r Received signal for the rth SR link(1)
n r AWGN for the rth SR link(1)
n c r RF band-to-baseband conversion noise at the rth relay(2)
0 < ρ r < 1 PS optimization factor at the rth relay(2)
κ r Amplification gain at the rth relay(3)Function of η
η ( 0 , 1 ] Energy conversion efficiency(3) and (7)
y R + r Received signal for the rth indirect link(4)SRD link
h 0 SD link channel gain(1)  Ω 0 = | h 0 | 2
h r rth SR link channel gain(1)  Ω r = | h r | 2
h R + r rth RD link channel gain(4)  Ω R + r = | h R + r | 2
γ r rth SD link SNR(6) and (7) γ ¯ r = E γ r
β r rth RD link SNR(6) and (7) β ¯ r = E β r
γ id r rth indirect link SNR(8)High SNR approximation ( γ r 1 )
γ r OAF rth indirect link SNR(9)AF approximation
γ r rd Modified rth RD link SNR(10)
Table A2. Symbol Notation in Section 3.
Table A2. Symbol Notation in Section 3.
SymbolNotationsEquation(s)Comment
iIndex for the selected relay(12) i { 1 , 2 , , R }
  γ i 0 Initial γ i with ρ i = ρ 0 (6)
p γ i 0 x ith relay selection probability(13)SR-link based
  γ id N max N th best indirect link SNR(17)SR-link based
f γ , β N max x , y Joint PDF of γ N max , β N max (18)(Exact)
  f γ , γ rd N max x , y Joint PDF of γ N max , γ N max rd (23)
  γ id OAF Approximated N th best indirect link SNR(22)OAF approximation
f γ id OAF ( x ) PDF of γ id OAF (24)
  γ cb OAF Approximated N th best combined link SNR(25)OAF approximation
f γ cb OAF ( x ) PDF of γ cb OAF (26)
  C sd SD link channel capacity(19)Exact (Single Integral)
C id Indirect link channel capacity(21)Exact (Double Integrals)
  C id OAF Indirect link channel capacity(27)OAF approximation
C cb OAF Combined link channel capacity(28)(Semi-Lower Bound)
  C id Up Indirect link channel capacity(29)Upper bound
C cb Up Combined link channel capacity(32)
  C id mean Indirect link channel capacity(33)Mean Capacity
C cb mean Combined link channel capacity(34)
Table A3. Symbol Notation in Section 4.
Table A3. Symbol Notation in Section 4.
SymbolNotationsEquation(s)Comment
iIndex for the selected relay(35) i { 1 , 2 , , R }
  β i 0 Initial β i with ρ i = ρ 0 (6)
p β i 0 x ith relay selection probability(36)RD-link based
f γ , β N max x , y Joint PDF of γ N max , β N max (39)Exact
  f γ , γ rd N max x , y Joint PDF of γ N max , γ N max rd (41)
  f γ id OAF ( x ) PDF of γ id OAF (42)OAF approximation
f γ cb OAF ( x ) PDF of γ cb OAF (43)
C id Indirect link channel capacity(40)Exact (Double Integrals)
  C id OAF Indirect link channel capacity(44)OAF approximation
C cb OAF Combined link channel capacity(45)(Semi-Lower Bound)
  C id Up Indirect link channel capacity(46)Upper bound
C cb Up Combined link channel capacity(49)
  C id mean Indirect link channel capacity(50)Mean Capacity
C cb mean Combined link channel capacity(51)

Appendix B. SWIPT AF Relaying Interpreted as Non-SWIPT AF Relaying

In [29,30], the authors proposed an analytical approach approximating a SWIPT AF relay as a non-SWIPT AF relay to yield the same asymptotic BER. Here, we briefly discuss this approximation.
From (9), consider a general AF relaying system with the link–SNR pair { γ r , γ r rd } . For Rayleigh fading channels, the PDF of γ r OAF is f γ r OAF ( x ) = 1 γ ¯ r min exp x γ ¯ r min u ( x ) , with γ ¯ r min = 1 / 1 / γ ¯ r + 1 / γ ¯ r rd . Then, the asymptotic BER can be given by [37]:
P B , AF 1 4 γ ¯ r min = 1 4 γ ¯ r + 1 4 γ ¯ r rd 1 4 γ ¯ r + 1 + 1 4 γ ¯ r rd + 1 .
Here, the approximation Q ( 2 x ) exp ( 4 x ) is assumed for a large x [29,30].
Applying this approximation to the SWIPT relay system [29,30] yields the asymptotic BER upper bound:
P B , SWIPT < 1 4 γ ¯ r + 1 + 4 γ ¯ r 4 γ ¯ r + 1 ln β ¯ r 4 γ ¯ r + 1 + 1 β ¯ r 4 γ ¯ r + 1 1 4 γ ¯ r + 1 + 1 4 γ ¯ r β ¯ r / log 4 γ ¯ r β ¯ r + 1 = P B , id Asym γ ¯ r , β ¯ r γ ¯ r 1 .
P B , id Asym ( γ ¯ r , β ¯ r ) in (A2) is employed in (11) for PS factor optimization.
When (A1) is compared with (A2), the condition under which the two schemes have the same asymptotic BER is
1 4 γ ¯ r rd + 1 = 4 γ ¯ r 4 γ ¯ r + 1 ln β ¯ r 4 γ ¯ r + 1 + 1 β ¯ r 4 γ ¯ r + 1 .
Note that (10) is derived from (A3).

Appendix C. The i th Relay Selection Probability

In this appendix, we describe the N th -order statistics. Let { X i } i = 1 R be R random variables, each potentially being the N th maximum. When X i is chosen as the N th maximum, the selection probability is denoted as p X i ( y ) . The indices of the remaining (non-selected) RVs are collected in the set S i = { 1 , 2 , , R } { i } .
The set S i can be partitioned into two subsets: S i N 1 , j , containing ( N 1 ) elements, and S i N 1 ¯ , j = S i S i N 1 , j , containing the remaining element. Here, j indicates the jth subset in the ordering of all subsets based on the ascending sum of their elements, where j = 1 , 2 , , R 1 N 1 . Therefore, S i N 1 , j and S i N 1 ¯ , j are defined, respectively, as
S i N 1 , j = λ i , 1 N 1 , j , , λ i , p N 1 , j , , λ i , N 1 N 1 , j
and
S i N 1 ¯ , j = λ i , 1 N 1 ¯ , j , , λ i , p N 1 ¯ , j , , λ i , R N N 1 ¯ , j ,
where λ i , p N 1 , j and λ i , p N 1 ¯ , j denote the pth elements of the jth subsets of sizes ( N 1 ) and ( R N ) , respectively.
Assume that X i is selected as the N th maximum with value z. This implies that, among the remaining ( R 1 ) RVs, ( N 1 ) take values greater than z and ( R N ) take values less than or equal to z. Accordingly, the probability of X i being the N th maximum is obtained as
p X i ( z ) = j = 1 R 1 N 1 p = 1 N 1 Pr X λ i , p N 1 , j > z p = 1 R N Pr X λ i , p N 1 ¯ , j z = j = 1 R 1 N 1 p = 1 N 1 1 F X λ i , p N 1 , j ( z ) p = 1 R N F X λ i , p N 1 ¯ , j ( z )
where Pr { X i > z } = 1 F X i ( z ) , Pr { X i z } = F X i ( z ) , and F X i ( z ) is the cumulative distribution function (CDF) fo RV X i .
For INID Rayleigh random variables (RVs), the PDF of X i is f X i ( x ) = 1 γ ¯ i exp x γ ¯ i u ( x ) , where γ ¯ i = E [ X i ] denotes the mean of X i . The corresponding CDF is F X i ( x ) = 1 exp x γ ¯ i u ( x ) .
For a more tractable expression of (A6), we focus on the set S i N 1 ¯ , j in (A5). The lth subset of this set, containing k elements, is denoted as
S i N 1 ¯ , j k , l = Γ 1 k , l , , Γ m k , l , , Γ k k , l
where Γ m k , l is the mth element of the subset S i N 1 ¯ , j k , l .
Then, according to the binomial theorem, we have
p = 1 R N Pr X λ i , p N 1 ¯ , j z = 1 + k = 1 R N ( 1 ) k l = 1 R N k exp z m = 1 k 1 γ ¯ Γ m k , l .
From (A6), it follows that
p = 1 N 1 Pr X λ i , p N 1 , j > z = exp z p = 1 N 1 1 γ ¯ λ i , p N 1 , j .
When (A8) and (A9) are combined, the selection probability in (A6) is represented as
p X i z = j = 1 R 1 N 1 k = 0 R N ( 1 ) k l = 1 R N k exp z B i j , k , l
where m = 1 k ( · ) k = 0 = 0 and B i j , k , l = p = 1 N 1 1 / γ ¯ λ i , p N 1 , j + m = 1 k 1 / γ ¯ Γ m k , l .
Consider X i = γ i 0 , where γ i 0 = γ i ρ i = ρ 0 with ρ 0 denoting a fixed initial power splitting ratio. Then, (13) follows directly. In a similar manner, the joint PDF corresponding to the N th maximum random variable pair is given by (15).
Analogously, by letting X i = β i 0 , one can obtain (36) and (38).

Appendix D. Exact Channel Capacity Expression for the r th Indirect Link

For the rth indirect link with γ id r = γ r β r β r + 1 in (8), the joint PDF of γ r and β r is given by
f γ r , β r x , y = 1 γ ¯ r exp x γ ¯ r 1 β ¯ r exp y β ¯ r u x u y
where u · is the unit step function [39].
Then, the channel capacity of the rth indirect link is written as
C id r = 1 2 E log 2 1 + γ r β r β r + 1 = 1 2 log ( 2 ) E log 1 + γ r β r β r + 1 = 1 2 log ( 2 ) 0 0 log 1 + x y y + 1 f γ r , β r x , y d x d y = 1 2 log ( 2 ) 0 0 log ( x + 1 ) y + 1 f γ r , β r x , y d x d y 1 2 log ( 2 ) 0 0 log y + 1 f γ r , β r x , y d x d y .
The first term in (A11) can be written as
0 0 log ( x + 1 ) y + 1 f β r y d y f γ r x d x = 0 e 1 / ( x + 1 ) β ¯ r E 1 1 ( x + 1 ) β ¯ r f γ r x d x .
The second term in (A11) simplifies to
1 log ( 2 ) 0 0 log y + 1 f γ r x f β r y d x d y = 1 log ( 2 ) 0 log y + 1 f β r y d y = 1 log ( 2 ) exp 1 β ¯ r E 1 1 β ¯ r = C 1 β ¯ r
where
C 1 A = 0 log 2 1 + γ 1 A exp γ A d γ = 1 log 2 exp 1 A E 1 1 A < 1 log 2 log A + 1 A > 0 .
Finally, combining (A11), (A12), and (A13), the exact channel capacity for the rth indirect link is expressed as the double integral form of
C id r γ ¯ r , β ¯ r = 1 2 log ( 2 ) 0 e 1 / ( x + 1 ) β ¯ r E 1 1 ( x + 1 ) β ¯ r e x / γ ¯ r γ ¯ r d x 1 2 C 1 β ¯ r .
Note that (A15) is used in both (21) and (40).

Appendix E. Upper-Bounded Channel Capacity for the r th Indirect Link

Let us consider the exact channel capacity, C id r , in (A11). The first term in (A11) can be upper-bounded as
0 0 log ( x + 1 ) y + 1 f β r y d y f γ r x d x < 0 log ( x + 1 ) β ¯ r + 1 f γ r x d x = 0 log β ¯ r + 1 β ¯ r x β ¯ r + 1 + 1 f γ r x d x = log β ¯ r + 1 + exp 1 β ¯ r β ¯ r + 1 γ ¯ r E 1 1 β ¯ r β ¯ r + 1 γ ¯ r .
Similarly, the second term in (A11) can be upper-bounded as
0 0 log y + 1 f γ r x f β r y d x d y = 0 log y + 1 f β r y d y = exp 1 β ¯ r E 1 1 β ¯ r < log β ¯ r + 1 .
By appropriately combining (A16) and (A17), an upper bound on the channel capacity of the rth indirect link is obtained as
C id r = 1 2 E log 2 1 + γ r β r β r + 1 < 1 2 log 2 exp 1 / γ ¯ r β ¯ r β ¯ r + 1 E 1 1 / γ ¯ r β ¯ r β ¯ r + 1 = 1 2 C 1 / γ ¯ r β ¯ r β ¯ r + 1 = C id r Up .
This result can be interpreted by assuming the approximate PDF
f γ id r App x = 1 γ ¯ r app exp x γ ¯ r app u ( x ) ,
which directly leads to the upper-bounded capacity in (A18), consistent with the form in (A14) or (19).

References

  1. Nasir, A.; Zhou, X.; Durrani, S.; Kennedy, R. Relaying Protocols for Wireless Energy Harvesting and Information Processing. IEEE Trans. Wirel. Commun. 2013, 7, 3622–3636. [Google Scholar] [CrossRef]
  2. Lee, H.; Song, C.; Choi, S.; Lee, I. Outage Probability Analysis and Power Splitter Designs for SWIPT Relaying Systems with Direct Link. IEEE Commun. Lett. 2017, 3, 648–651. [Google Scholar] [CrossRef]
  3. Song, C.; Jeon, Y. Weighted MMSE Precoder Designs for Sum-Utility Maximization in Multi-User SWIPT Network-MIMO With Per-BS Power Constraints. IEEE Trans. Veh. Technol. 2018, 3, 2809–2813. [Google Scholar] [CrossRef]
  4. Chen, H.; Zhou, X.; Li, Y.; Wang, P.; Vucetic, B. Harvest-Then-Cooperate: Wireless-Powered Cooperative Communications. IEEE Trans. Signal Process. 2015, 7, 1700–1711. [Google Scholar] [CrossRef]
  5. Lee, H.; Lee, K.-J.; Kim, H.; Lee, I. Wireless information and power exchange for energy-constrained device-to-device communications. IEEE Internet Things J. 2018, 5, 3175–3185. [Google Scholar] [CrossRef]
  6. Liu, Z.; Ye, Y.; Lu, G.; Hu, R.Q. System Outage Performance of SWIPT Enabled Full-Duplex Two-Way Relaying With Residual Hardware Impairments and Self-Interference. IEEE Syst. J. 2023, 1, 337–348. [Google Scholar] [CrossRef]
  7. He, S.; Xie, K.; Chen, W.; Zhang, D.; Wen, J. Energy-aware routing for SWIPT in multi-hop energy-constrained wireless network. IEEE Access 2018, 6, 17996–18008. [Google Scholar] [CrossRef]
  8. Zhang, Z.; Pang, H.; Georgiadis, A.; Cecati, C. Wireless power transfer—An overview. IEEE Trans. Ind. Elect. 2018, 66, 1044–1058. [Google Scholar] [CrossRef]
  9. Mahama, S.; Asiedu, D.K.P.; Lee, K.-J. Simultaneous wireless information and power transfer for cooperative relay networks with battery. IEEE Access 2017, 5, 13171–13178. [Google Scholar] [CrossRef]
  10. Asiedu, D.K.P.; Lee, H.; Lee, K.-J. Simultaneous wireless information and power transfer for decode-and-forward Multi-hop Relay systems in energy-constrained IoT networks. IEEE Internet Things J. 2019, 6, 9413–9426. [Google Scholar] [CrossRef]
  11. Kim, K.; Asiedu, D.K.P.; Anokye, P.; Kim, E.; Lee, K.-J. Transmit Power Optimization in Multihop Amplify-and-Forward Relay Systems with Simultaneous Wireless Information and Power Transfer. Electronics 2024, 13, 4232. [Google Scholar] [CrossRef]
  12. Ghosh, S.; Acharya, T.; Maity, S.P. Outage Analysis in SWIPT Enabled Cooperative AF/DF Relay Assisted Two-Way Spectrum Sharing Communication. IEEE Trans. Cogn. Commun. Netw. 2022, 3, 1434–1443. [Google Scholar] [CrossRef]
  13. Babaei, M.; Durak-Ata, L.; Aygolu, U. Performance analysis of dual-hop AF relaying with non-linear/linear energy harvesting. Sensors 2022, 22, 5987. [Google Scholar] [CrossRef] [PubMed]
  14. Ghadi, F.R.; Lopez-Martinez, F.J. Performance Analysis of SWIPT Relay Networks Over Arbitrary Dependent Fading Channels. IEEE Trans. Commun. 2024, 6, 3651–3663. [Google Scholar] [CrossRef]
  15. Wang, D.; Zhang, R.; Cheng, X.; Yang, L. Capacity-Enhancing Full-Duplex Relay Networks based on Power-Splitting (PS-)SWIPT. IEEE Trans. Veh. Technol. 2017, 66, 5445–5450. [Google Scholar] [CrossRef]
  16. Panse, V.; Jain, T.K.; Kothari, A. Relay Selection in SWIPT-enabled Cooperative Networks. In Proceedings of the 1st International Conference on the Paradigm Shifts in Communication, Embedded Systems, Machine Learning and Signal Processing (PCEMS), Nagpur, India, 6–7 May 2022; pp. 62–67. [Google Scholar]
  17. Khalaf, Q.; Sali, A.; Ismail, A.; Ahmad, M.; Hussein, Y.; Shah, J. Advanced Nonlinear Optimization Techniques in SWIPT: A Review. IEEE Access 2024, 12, 192743–192766. [Google Scholar] [CrossRef]
  18. Mushtaq, M.U.; Venter, H.; Singh, A.; Owais, M. Advances in Energy Harvesting for Sustainable Wireless Sensor Networks: Challenges and Opportunities. Hardware 2025, 3, 1. [Google Scholar] [CrossRef]
  19. Alamu, O.; Olwal, T.; Migabo, E. Machine Learning Applications in Energy Harvesting Internet of Things Networks: A Review. IEEE Access 2025, 13, 4235–4266. [Google Scholar] [CrossRef]
  20. Hasna, M.; Alouini, M. End-to-End performance of transmission systems with relays over Rayleigh-fading channels. IEEE Trans. Wirel. Commun. 2003, 6, 1126–1131. [Google Scholar] [CrossRef]
  21. Anghel, P.; Kaveh, M. Exact symbol error probability of a cooperative network in a Rayleigh-fading environment. IEEE Trans. Wirel. Commun. 2004, 9, 1416–1421. [Google Scholar] [CrossRef]
  22. Laneman, J.N.; Tse, D.N.C.; Wornell, G.W. Cooperative diversity in wireless networks: Efficient protocols and outage behavior. IEEE Trans. Info. Theory 2004, 12, 3062–3080. [Google Scholar] [CrossRef]
  23. Bletsas, A.; Khisti, A.; Reed, D.P.; Lippman, A. A simple cooperative diversity method based on network path selection. IEEE J. Sel. Areas Commun. 2006, 3, 659–672. [Google Scholar] [CrossRef]
  24. Zhao, Y.; Adve, R.; Lim, T.J. Symbol error rate of selection amplify-and-forward relay systems. IEEE Commun. Lett. 2006, 11, 757–759. [Google Scholar] [CrossRef]
  25. Ikki, S.S.; Ahmed, M.H. Performance of Multiple-Relay Cooperative Diversity Systems with Best Relay Selection over Rayleigh Fading Channels. EURASIP J. Adv. Signal Process. 2008, 2008, 580368. [Google Scholar] [CrossRef]
  26. Maham, B.; Hjorungnes, A. Performance analysis of amplify-and-forward opportunistic relaying in Rician fading. IEEE Signal Process. Lett. 2009, 8, 643–646. [Google Scholar] [CrossRef]
  27. He, Y.; Huang, F.; Wang, D.; Zhang, R. Outage Probability Analysis of MISO-NOMA Downlink Communications in UAV-Assisted Agri-IoT With SWIPT and TAS Enhancement. IEEE Trans. Netw. Sci. Eng. 2025, 3, 2151–2164. [Google Scholar] [CrossRef]
  28. Lin, G.; Zhou, Y.; Jiang, W.; He, X.; Zhou, X.; He, G.; Yang, P. LF-SWIPT: Outage Analysis for SWIPT Relaying Networks Using Lossy Forwarding With QoS Guaranteed. IEEE Internet Things J. 2022, 19, 18737–18748. [Google Scholar] [CrossRef]
  29. Ko, K.; Song, C. Error Performance Analysis and PS factor Optimization for SWIPT AF Relaying Systems over Rayleigh Fading Channels: Interpretation SWIPT AF relay as non-SWIPT AF relay. Electronics 2025, 14, 2597. [Google Scholar] [CrossRef]
  30. Ko, K.; Song, S. Exact SER Analysis of Partial-CSI-Based SWIPT OAF Relaying over Rayleigh Fading Channels and Insights from a Generalized Non-SWIPT OAF Approximation. Sensors 2025, 25, 4872. [Google Scholar] [CrossRef]
  31. Nam, S.; Ko, K.; Hong, D. Exact Average SER Performance Analysis for the Nth Best Opportunistic Amplify-and-Forward Relay Systems. IEICE Trans. Commun. 2012, 5, 1852–1855. [Google Scholar] [CrossRef]
  32. Ko, K.; Woo, C. Outage Probability and Channel Capacity for Nth Best Relay Selection AF Relaying over INID Rayleigh Fading Channels. Int. J. Commun. Syst. 2012, 11, 1496–1504. [Google Scholar] [CrossRef]
  33. Woo, C.; Lim, S.; Ko, K. Effects of CEE and Feedback Error on Performance for AF-ORS with PSA-CE Schemes Over Quasi-Static Rayleigh Fading channels. Wirel. Pers. Commun. 2017, 3, 3619–3643. [Google Scholar] [CrossRef]
  34. Gradshteyn, I.; Ryzhik, I. Table of Integrals, Series and Products, 7th ed.; Academic Press: San Diego, CA, USA, 2007. [Google Scholar]
  35. Exponential Integral. Available online: https://en.wikipedia.org/wiki/Exponential_integral (accessed on 19 March 2025).
  36. Lim, S.; Ko, K. Approximation of Multi-hop Relay to Dual-hop Relay and Its Error Performance Analysis. IEEE Commun. Lett. 2017, 2, 342–345. [Google Scholar] [CrossRef]
  37. Proakis, J. Digital Communication, 3rd ed.; McGraw Hill: Boston, MA, USA, 1995. [Google Scholar]
  38. Simon, M.; Alouini, M. Digital Communication over Fading Channels; John Wiley & Sons: New York, NY, USA, 2000. [Google Scholar]
  39. Popoulis, A.; Pillai, S. Probability, Random Variables, and Stochastic Processes, 4th ed.; McGraw Hill: Boston, MA, USA, 2002. [Google Scholar]
Figure 1. Relationship to prior studies and contributions of this paper ([Ko:2025e] = [29] and [Ko:2025s] = [30]).
Figure 1. Relationship to prior studies and contributions of this paper ([Ko:2025e] = [29] and [Ko:2025s] = [30]).
Electronics 14 03791 g001
Figure 2. Dual-hop AF relay systems with SWIPT architecture: (a) SWIPT relaying system having R relay nodes, (b) rth SWIPT relay node.
Figure 2. Dual-hop AF relay systems with SWIPT architecture: (a) SWIPT relaying system having R relay nodes, (b) rth SWIPT relay node.
Electronics 14 03791 g002
Figure 3. Channel capacity comparison versus SNR with power splitting optimization under SR link-based relay selection ( ρ r = 0.5 or ρ r = ρ r , opt , N th = 1 , Ch. Model = 1 , 1 , X ): (a) ρ r = 0.5 , (b) ρ r = ρ r , opt , (c) ρ r = 0.5 vs. ρ r = ρ r , opt .
Figure 3. Channel capacity comparison versus SNR with power splitting optimization under SR link-based relay selection ( ρ r = 0.5 or ρ r = ρ r , opt , N th = 1 , Ch. Model = 1 , 1 , X ): (a) ρ r = 0.5 , (b) ρ r = ρ r , opt , (c) ρ r = 0.5 vs. ρ r = ρ r , opt .
Electronics 14 03791 g003
Figure 4. Channel capacity comparison versus SNR with power splitting optimization under SR link-based relay selection ( ρ r = 0.5 or ρ r = ρ r , opt , N th = 2 , Ch. Model = 1 , 1 , X ): (a) ρ r = 0.5 , (b) ρ r = ρ r , opt , (c) ρ r = 0.5 vs. ρ r = ρ r , opt .
Figure 4. Channel capacity comparison versus SNR with power splitting optimization under SR link-based relay selection ( ρ r = 0.5 or ρ r = ρ r , opt , N th = 2 , Ch. Model = 1 , 1 , X ): (a) ρ r = 0.5 , (b) ρ r = ρ r , opt , (c) ρ r = 0.5 vs. ρ r = ρ r , opt .
Electronics 14 03791 g004
Figure 5. Channel capacity comparison versus SNR with power-splitting optimization under SR link-based relay selection ( ρ r = 0.5 or ρ r = ρ r , opt , N th = 3 , Ch. Model = 1 , 1 , X ): (a) ρ r = 0.5 , (b) ρ r = ρ r , opt , (c) ρ r = 0.5 vs. ρ r = ρ r , opt .
Figure 5. Channel capacity comparison versus SNR with power-splitting optimization under SR link-based relay selection ( ρ r = 0.5 or ρ r = ρ r , opt , N th = 3 , Ch. Model = 1 , 1 , X ): (a) ρ r = 0.5 , (b) ρ r = ρ r , opt , (c) ρ r = 0.5 vs. ρ r = ρ r , opt .
Electronics 14 03791 g005
Figure 6. Channel capacity comparison versus SNR with power splitting optimization under SR link-based relay selection ( ρ r = 0.5 or ρ r = ρ r , opt , N th = 4 , Ch. Model = 1 , 1 , X ): (a) ρ r = 0.5 , (b) ρ r = ρ r , opt , (c) ρ r = 0.5 vs. ρ r = ρ r , opt .
Figure 6. Channel capacity comparison versus SNR with power splitting optimization under SR link-based relay selection ( ρ r = 0.5 or ρ r = ρ r , opt , N th = 4 , Ch. Model = 1 , 1 , X ): (a) ρ r = 0.5 , (b) ρ r = ρ r , opt , (c) ρ r = 0.5 vs. ρ r = ρ r , opt .
Electronics 14 03791 g006
Figure 7. Channel capacity comparison versus SNR for SR link-based relay selection of the N th best relay ( ρ r = ρ r , opt , N th 1 , 2 , 3 , 4 , Ch. Model = 1 , X , 1 ): (a) N th = 1 , (b) N th = 2 , (c) N th = 3 , and (d) N th = 4 .
Figure 7. Channel capacity comparison versus SNR for SR link-based relay selection of the N th best relay ( ρ r = ρ r , opt , N th 1 , 2 , 3 , 4 , Ch. Model = 1 , X , 1 ): (a) N th = 1 , (b) N th = 2 , (c) N th = 3 , and (d) N th = 4 .
Electronics 14 03791 g007
Figure 8. Channel capacity comparison versus SNR for SR link-based relay selection of the N th best relay ( ρ r = 0.5 or ρ r = ρ r , opt , N th 1 , 2 , 3 , 4 ): (a) Ch. Model = 1 , 1 , X , (b) Ch. Model = 1 , X , 1 .
Figure 8. Channel capacity comparison versus SNR for SR link-based relay selection of the N th best relay ( ρ r = 0.5 or ρ r = ρ r , opt , N th 1 , 2 , 3 , 4 ): (a) Ch. Model = 1 , 1 , X , (b) Ch. Model = 1 , X , 1 .
Electronics 14 03791 g008
Figure 9. Channel capacity comparison versus SNR for RD link-based relay selection of the N th best relay ( ρ r = ρ r , opt , N th 1 , 2 , 3 , 4 , Ch. Model = 1 , 1 , X ): (a) N th = 1 , (b) N th = 2 , (c) N th = 3 , and (d) N th = 4 .
Figure 9. Channel capacity comparison versus SNR for RD link-based relay selection of the N th best relay ( ρ r = ρ r , opt , N th 1 , 2 , 3 , 4 , Ch. Model = 1 , 1 , X ): (a) N th = 1 , (b) N th = 2 , (c) N th = 3 , and (d) N th = 4 .
Electronics 14 03791 g009
Figure 10. Channel capacity comparison versus SNR for RD link-based relay selection of the N th best relay ( ρ r = ρ r , opt , N th 1 , 2 , 3 , 4 , Ch. Model = 1 , X , 1 ): (a) N th = 1 , (b) N th = 2 , (c) N th = 3 , and (d) N th = 4 .
Figure 10. Channel capacity comparison versus SNR for RD link-based relay selection of the N th best relay ( ρ r = ρ r , opt , N th 1 , 2 , 3 , 4 , Ch. Model = 1 , X , 1 ): (a) N th = 1 , (b) N th = 2 , (c) N th = 3 , and (d) N th = 4 .
Electronics 14 03791 g010
Figure 11. Channel capacity comparison versus SNR for RD link-based relay selection of the N th best relay ( ρ r = ρ r , opt , N th 1 , 2 , 3 , 4 ): (a) Ch. Model = 1 , 1 , X (both links), (b) Ch. Model = 1 , X , 1 (both links), (c) Ch. Model = 1 , 1 , X (separate link), and  (d) Ch. Model = 1 , X , 1 (separate link).
Figure 11. Channel capacity comparison versus SNR for RD link-based relay selection of the N th best relay ( ρ r = ρ r , opt , N th 1 , 2 , 3 , 4 ): (a) Ch. Model = 1 , 1 , X (both links), (b) Ch. Model = 1 , X , 1 (both links), (c) Ch. Model = 1 , 1 , X (separate link), and  (d) Ch. Model = 1 , X , 1 (separate link).
Electronics 14 03791 g011
Figure 12. Comparison of channel capacity as a function of SNR, N th , and relay selection strategies ( ρ r = ρ r , opt , N th 1 , 2 , 3 , Ch. Model = 1 , 1 , X ): (a) N th = 1 (both links), (b) N th = 2 (both links), (c) N th = 3 (both links), (d) N th = 1 (separate link), (e) N th = 2 (separate link), and  (f) N th = 3 (separate link).
Figure 12. Comparison of channel capacity as a function of SNR, N th , and relay selection strategies ( ρ r = ρ r , opt , N th 1 , 2 , 3 , Ch. Model = 1 , 1 , X ): (a) N th = 1 (both links), (b) N th = 2 (both links), (c) N th = 3 (both links), (d) N th = 1 (separate link), (e) N th = 2 (separate link), and  (f) N th = 3 (separate link).
Electronics 14 03791 g012
Figure 13. Comparison of channel capacity as a function of SNR, N th , and relay selection strategies ( ρ r = ρ r , opt , N th 1 , 2 , 3 , Ch. Model = 1 , X , 1 ): (a) N th = 1 (both links), (b) N th = 2 (both links), (c) N th = 3 (both links), (d) N th = 1 (separate link), (e) N th = 2 (separate link), and  (f) N th = 3 (separate link).
Figure 13. Comparison of channel capacity as a function of SNR, N th , and relay selection strategies ( ρ r = ρ r , opt , N th 1 , 2 , 3 , Ch. Model = 1 , X , 1 ): (a) N th = 1 (both links), (b) N th = 2 (both links), (c) N th = 3 (both links), (d) N th = 1 (separate link), (e) N th = 2 (separate link), and  (f) N th = 3 (separate link).
Electronics 14 03791 g013
Table 1. Considered channel models for the SWIPT OAF relaying system.
Table 1. Considered channel models for the SWIPT OAF relaying system.
Ch. ModelsAverage Fading PowersR
SDSRRD
1 , 1 , X 1 Ω 0 = 1 Ω r r = 1 R = 1 Ω R + r 1 / 2 , 1 , 2 , 4 4
1 , X , 1 2 3 Ω 0 = 1 3 Ω r 1 / 2 , 1 , 2 , 4 3 Ω R + r r = 1 R = 1 4
1 1 , 1 , X = Ω 0 , Ω r , Ω R + r represents a scenario where the RD link channel powers differ. 2 1 , X , 1 = Ω 0 , Ω r , Ω R + r represents a scenario where the SR link channel powers differ. 3 Ω 0 , Ω r , and  Ω R + r denote the average fading powers [38].
Table 2. Descriptions of legend entries for SWIPT OAF relaying systems using P-CSI of SR links.
Table 2. Descriptions of legend entries for SWIPT OAF relaying systems using P-CSI of SR links.
LegendSymbolEquation(s)Remarks
Theory,OAF C id OAF , C cb OAF (27) and (28)OAF Approximation (Semi-Lower Bound)
Theory,Up C id Up , C cb Up (29) and (32)Upper Bound
Theory,mean  1 2 C id OAF + C id Up (33)   Mean Capacity
1 2 C cb OAF + C cb Up (34)
Table 3. Descriptions of legend entries for SWIPT OAF relaying systems using P-CSI of RD links.
Table 3. Descriptions of legend entries for SWIPT OAF relaying systems using P-CSI of RD links.
LegendSymbolEquation(s)Remarks
Theory,OAF  C id OAF , C cb OAF (44) and (45)OAF Approximation (Semi-Lower Bound)
Theory,Up C id Up , C cb Up (46) and (49)Upper Bound
Theory,mean  1 2 C id OAF + C id Up (50)Mean Capacity
  1 2 C cb OAF + C cb Up (51)
Table 4. SNR improvement (dB) for each relay selection criterion.
Table 4. SNR improvement (dB) for each relay selection criterion.
Ch. Model N th Gain for Comb. Link 1Gain for Indirect Link 2From
1 , 1 , X 1>0.5>2.25Figure 12a,d
2≈0.0>0.5Figure 12b,e
3<−0.25<−1.0Figure 12c,f
1 , X , 1 1>1.25>4.2Figure 13a,d
2≈0.0>0.75Figure 13b,e
3<−0.75<−3.25Figure 13c,f
1 SNR gain (dB) of the combined link, derived from simulation results at Capacity = 2 . 2 SNR gain (dB) of the indirect link, derived from simulation results at Capacity = 2 .
Disclaimer/Publisher’s Note: The statements, opinions and data contained in all publications are solely those of the individual author(s) and contributor(s) and not of MDPI and/or the editor(s). MDPI and/or the editor(s) disclaim responsibility for any injury to people or property resulting from any ideas, methods, instructions or products referred to in the content.

Share and Cite

MDPI and ACS Style

Ko, K.; Song, S. Channel Capacity Analysis of Partial-CSI SWIPT Opportunistic Amplify-and-Forward (OAF) Relaying over Rayleigh Fading. Electronics 2025, 14, 3791. https://doi.org/10.3390/electronics14193791

AMA Style

Ko K, Song S. Channel Capacity Analysis of Partial-CSI SWIPT Opportunistic Amplify-and-Forward (OAF) Relaying over Rayleigh Fading. Electronics. 2025; 14(19):3791. https://doi.org/10.3390/electronics14193791

Chicago/Turabian Style

Ko, Kyunbyoung, and Seokil Song. 2025. "Channel Capacity Analysis of Partial-CSI SWIPT Opportunistic Amplify-and-Forward (OAF) Relaying over Rayleigh Fading" Electronics 14, no. 19: 3791. https://doi.org/10.3390/electronics14193791

APA Style

Ko, K., & Song, S. (2025). Channel Capacity Analysis of Partial-CSI SWIPT Opportunistic Amplify-and-Forward (OAF) Relaying over Rayleigh Fading. Electronics, 14(19), 3791. https://doi.org/10.3390/electronics14193791

Note that from the first issue of 2016, this journal uses article numbers instead of page numbers. See further details here.

Article Metrics

Back to TopTop