Next Article in Journal
Technical Losses in Power Networks: Mechanisms, Mitigation Strategies, and Future Directions
Previous Article in Journal
FirmVulLinker: Leveraging Multi-Dimensional Firmware Profiling for Identifying Homologous Vulnerabilities in Internet of Things Devices
 
 
Font Type:
Arial Georgia Verdana
Font Size:
Aa Aa Aa
Line Spacing:
Column Width:
Background:
Article

NMS-EACO: A Novel Multi-Strategy ACO for Mobile Robot Path Planning

1
Institute of Automation, Qilu University of Technology (Shandong Academy of Sciences), Jinan 250013, China
2
School of Engineering, Computer and Mathematical Sciences, Auckland University of Technology, Auckland 1010, New Zealand
3
Testing Center, Tiezheng Testing Technology Co., Ltd., Jinan 250014, China
*
Author to whom correspondence should be addressed.
Electronics 2025, 14(17), 3440; https://doi.org/10.3390/electronics14173440
Submission received: 23 July 2025 / Revised: 26 August 2025 / Accepted: 27 August 2025 / Published: 28 August 2025

Abstract

Ant Colony Optimization (ACO) has been widely used in engineering implementation due to its simplicity and effectiveness. However, it often faces challenges such as slow convergence, susceptibility to local optima, and generating paths with excessive turning points. To address these limitations, this paper introduces a Novel Multi-Strategy Enhanced Ant Colony Optimization algorithm (NMS-EACO) for mobile robot path planning under nonholonomic constraints. NMS-EACO integrates five key strategies: an A*-guided heuristic function, an adaptive enhanced pheromone update rule, a state transition probability under nonholonomic constraints, a smoothing factor embedded in the state transition probability, and a global path smoothing technique. Comprehensive simulation experiments are conducted across six distinct map types, with comparisons made against six existing algorithms through extensive trials.Results demonstrate that NMS-EACO significantly improves convergence speed, enhances global search capability, and reduces path irregularities. These results validate the robustness and efficiency of the proposed multi-strategy method for nonholonomic mobile robot navigation.

1. Introduction

Mobile robots, as an emerging form of transport vehicles, are widely utilized across multiple applications due to their high flexibility and efficient transportation capabilities [1,2]. However, the diversity of their use cases, the complexity of spatial layout, and the demand for operational efficiency present significant challenges to achieving fully autonomous navigation [3]. Among the core techniques, path planning has a significant impact on both the precision and efficiency of mobile robot operations [4]. The effectiveness of the planning algorithm directly impacts the robot’s ability to perform tasks accurately and autonomous functionality [5,6]. Therefore, designing an optimal path for mobile robots remains a fundamental problem in this domain [7].
Since the last century, extensive research has been conducted on robot path planning, resulting in numerous well-designed algorithms [8], such as the A* algorithm [9]. In recent years, the focus of research has shifted toward more sophisticated approaches tailored for complex and dynamic environments [10]. For instance, ref. [11] introduces a sine resistance network-based method under dynamic conditions for autonomous electric vehicles, while [12] develops a self-supervised cost of transport estimation method to assist multimodal robots’ navigation. Similarly, ref. [13] proposes a kinematically constrained batch informed trees (BIT*) algorithm utilizing variable density sampling to enhance efficiency and accuracy. Ref. [14] presents edge computing to optimize vehicle path planning by minimizing delay and energy consumption. Although the above methods demonstrate strong theoretical performance, their practical deployment remains limited due to complexity and implementation challenges.
Ant Colony Optimization (ACO), an algorithm inspired by ant foraging mechanisms in nature [15], has shown promise in addressing practical path planning problems, such as avoiding long paths [16]. Although ACO has the advantages of high efficiency and robustness [17], it suffers from the issues of slow convergence speed, susceptibility to local optima, and excessive path turning points. Recent efforts to enhance ACO have tackled these issues from multiple perspectives. For example, ref. [18] introduces a potential field enhanced ACO that integrates a repulsive field function and adjustment factors to improve pheromone updates, effectively reducing path length. In [19], a local pheromone update mechanism is used to lower pheromone concentration at visited nodes, encouraging population diversity; however, its fixed update mechanism limits adaptability. Ref. [20] uses multiple swarm collaboration strategies to effectively improve global optimization ability and convergence efficiency by strategically distributing ants in starting and goal regions. Additionally, ref. [21] introduces a greedy initialization strategy to guide early pheromone distribution and speed up convergence. A negative feedback balancing factor is presented in [22] along with extended ants independent of the main pheromone trail, helping to escape local optima in later stages.
Although these approaches have achieved substantial improvements, some issues of the algorithm remain partially unsolved, for instance, slow convergence speed, and excessive path turning points. To address these limitations, this paper proposes a novel multi-strategy enhanced ACO under nonholonomic constraints (NMS-EACO). The proposed NMS-EACO incorporates five mechanisms: an A*-guided heuristic function, an adaptive enhanced pheromone update rule, a state transition probability model under nonholonomic constraints, a smooth factor for optimizing state transition probability, and a global path smoothing strategy. To validate the effectiveness of NMS-EACO, extensive simulation experiments—comprising hundreds of test cases across three types of maps—are conducted. The results demonstrate significant improvements in convergence speed, global search capability, and path smoothness compared with existing methods.
The structure of this paper is organized as follows: Section 2 presents the ACO’s theoretical basis and mathematical model. Section 3 presents five innovative mechanisms. Section 4 describes the simulation experiments and analyzes experimental results. Section 5 gives the conclusions of this article.

2. Mathematical Model and Working Environment

ACO is inspired by the natural behavior of ants, which communicate by releasing pheromones and collaborate to discover the shortest path while foraging for food [23]. In this paper, the mobile robot is abstracted as an ant, and its position within the grid environment is represented by coordinates, effectively simulating the robot’s real-world operating conditions.
The ant determines its next target point guided by a fusion of pheromone concentration and heuristic knowledge. The probability of an ant transitioning from position i to position j is defined by the state transition formulas presented in Equations (1) and (2).
p i j k ( t ) = τ i j ( t ) α [ η i j ( t ) ] β j allowed k τ i j ( t ) α [ η i j ( t ) ] β , j allowed k 0 , o t h e r w i s e
η i j ( t ) = 1 d i j d i j = ( x j x i ) 2 + ( y j y i ) 2
where p i j k ( t ) denotes the probability that the k-th ant moves from its current position i to position j at time t. The condition j allowed k indicates that node j has not yet been visited by ant k, making it a valid candidate for the next step. τ i j ( t ) represents the pheromone level on the path between nodes (i, j) at time t, while η i j ( t ) is the heuristic value that guides the k-th ant in choosing the path from i to j. The parameter α is the heuristic factor of pheromone, indicating the influence of pheromone levels on path selection. β is the factor of the heuristic function, reflecting the weight of heuristic information in the decision-making process. Lastly, d i j denotes the Euclidean distance between nodes i and j.
During the foraging process, pheromones are deposited by ants as they navigate their environment, which serves to guide other ants in selecting their routes [24]. Meanwhile, these pheromones gradually evaporate over time. After all k ants have completed an iteration, the global pheromone levels are updated according to Equations (3) and (4).
τ i j ( t + 1 ) = ( 1 ρ ) τ i j ( t ) + k = 1 K Δ τ i j k ( t )
Δ τ i j k ( t ) = Q L k
where ρ is the global pheromone evaporation coefficient, ranging between 0 and 1, where a higher value indicates faster pheromone evaporation. Δ τ i j k indicates the amount of pheromone released by ant k on the path (i, j) during the current iteration. Q is the pheromone enhancement coefficient and L k represents the total length of the route explored by ant k .
The working environment of a mobile robot is often complex and abstract, making it essential to model the scene accurately. Common methods for environmental map modeling include the visual graph method, unit decomposition method, and grid method [25]. Among these, the grid method is the most widely used due to its intuitive structure, ease of understanding, and straightforward implementation. In this study, a two-dimensional grid map is constructed using the grid method. As illustrated in Figure 1, S denotes the starting point, E indicates the target endpoint, white cells represent free space, black cells denote obstacles, and each grid cell corresponds to a fixed coordinate.

3. Multi-Strategy Enhanced ACO with Nonholonomic Constraints (NMS-EACO)

3.1. A*-Guided Heuristic Function

ACO primarily relies on the local distance information between the ant’s current node and its neighboring nodes to build the transition probability model during path optimization, which shows significant limitations [26]. Without a global awareness of the solution space, the algorithm tends to become trapped in local optima during iterations, resulting in frequent path oscillations and an increased number of inflection points. Additionally, the pheromone update rule places too much emphasis on local paths, weakening the algorithm’s ability to explore unknown regions and causing the search process to become blind, thereby significantly reducing convergence speed.
In contrast, the A* algorithm employs a heuristic function to evaluate the cost between the current node and the goal, effectively reducing unnecessary node expansion and improving search efficiency [27,28]. Building on this, the paper incorporates the distance between the ant’s selected position and the target point, introducing an adaptive adjustment factor u and an adaptive distance weight coefficient ε . The improved heuristic functions are defined in Equations (5) and (6).
η i j ( t ) = u e ε d i j + ( 1 ε ) d j e
u = e x p N N m a x 2
where d i j represents the distance between the ant’s current position i and the candidate position j, while d j e denotes the distance from position j to the target point e. The parameter u is the adaptive adjustment factor, N refers to the current iteration number, and N m a x is the maximum number of iterations allowed.
As illustrated in Equation (6), the adaptive adjustment u decreases progressively as the iteration count N increases. Consequently, the impact of the heuristic function on the ant’s state transition probability shifts from being nearly 1 at the start to almost 0 in the later stages of the algorithm’s execution. This strategy enhances the algorithm’s convergence speed while preserving its ability to perform global search.

3.2. Adaptive Improved Pheromone Update Strategy

In practical applications, using the same pheromone update method for all ants can cause the algorithm to become trapped in local optima and slow down convergence. To address these issues, this work presents an adaptive enhanced elite ant strategy.
Traditionally, the elite ant strategy designates the ant following the shortest route in each iteration as the elite ant. Only the pheromone on the elite ant’s path is updated, while pheromone contributions from ants stuck in deadlocks are discarded to prevent indiscriminate global pheromone updates. However, when multiple ants traverse the same path, the pheromone accumulation can exceed its evaporation rate. As a result, even if elite ants discover a better path, the higher pheromone concentration on existing paths may prevent the elite ant strategy from effectively improving the solution.
To overcome this, an adaptive enhancement factor q is introduced to amplify the pheromone deposited by elite ants, as detailed in Equation (7).
q = e N 1 N m a x 1 , L b < L 0 , o t h e r w i s e
where L b represents the optimal path length found in the current iteration, while L denotes the best historical path length up to the current time. N m a x is the maximum allowed number of iterations, and N indicates the current iteration count. The adaptive enhancement factor q increases continuously as the number of iterations grows.
In addition to incorporating the adaptive enhanced elite ant strategy in the pheromone update rule, this paper also considers the number of turns along the path. To capture this, the turn count Z K is introduced to record the number of turns encountered during path planning.
The improved pheromone update rule is expressed in Equations (8)–(10).
τ i j ( t + 1 ) = ( 1 ρ ) τ i j ( t ) + ρ k = 1 K Δ τ i j k ( t ) + q Δ τ i j b ( t )
Δ τ i j k ( t ) = Q L K + γ Z K
Δ τ i j b = Q L m i n
where Δ τ i j k denotes the pheromone concentration on the path from grid i to j at time t. The parameter ρ represents the global pheromone evaporation coefficient. Δ τ i j k is the concentration of pheromones released by ant k after traversing path(i, j) in the current iteration. Q is the pheromone enhancement coefficient, and L k is the length of the path traveled by ant k in the current iteration. Z K records the number of turns along path(i, j), while γ is the path smoothness coefficient, which is consistently used in both Equation (9) for calculating pheromone concentration and Equation (13) for computing movement probabilities. Δ τ i j b ( t ) is the concentration of pheromones released by the elite ant b on path(i, j) during the current iteration. L m i n is the optimal path length in the current iteration, which is shorter than the previous best path length.

3.3. State Transition Probability Under Nonholonomic Constraints

In ACO-based path planning, the mobile robot is often simplified as a particle [29], neglecting the nonholonomic constraints of the robot’s chassis. This simplification makes it challenging to align the planned path with the actual movement capabilities of the robot, limiting the algorithm’s practical applicability [30,31]. The Ackermann steering model is a common chassis for mobile robots, and is shown in Figure 2, where λ represents the maximum steering angle of the front wheels, WT is the wheel track, and WB is the wheelbase. Due to these constraints, the mobile robot can only move in directions aligned with its wheels, such as forward, left-front, and front-right. Incorporating this nonholonomic constraint into the ACO framework is described by Equations (11) and (12).
p i j k ( t ) = [ τ i j ( t ) ] α [ η i j ( t ) ] β [ μ i j ( t ) ] ν j a l l o w e d k [ τ i j ( t ) ] α [ η i j ( t ) ] β [ μ i j ( t ) ] ν , j a l l o w e d k 0 , o t h e r w i s e
μ i j ( t ) = e 1 θ i j ( t ) π , θ i j ( t ) < | π 2 | 0 , θ i j ( t ) > | π 2 |
where μ i j ( t ) is the turning factor, θ i j ( t ) is the direction angle of the ant from the current node i to the next node j. For example, when the ant moves straight ahead, θ i j ( t ) equals 0. If θ i j ( t ) is less than | π 2 | , the turning factor μ i j ( t ) decreases as θ i j ( t ) increases, encouraging the ant to make smaller turns. When θ i j ( t ) exceeds | π 2 | , μ i j ( t ) is set to 0 to prevent the ant from moving in the opposite direction, thereby better reflecting the nonholonomic constraints of the mobile robot. The parameter ν is the weighting coefficient for the angle factor.
As shown in Figure 3, when nonholonomic constraints are not considered, the ACO may select any of the eight surrounding nodes (B1 to B8) as the next target point. However, after integrating nonholonomic constraints, as shown in Figure 4, the mobile robot is heading towards B4. Due to the nonholonomic constraints, the robot cannot move directly laterally, so directions B2 and B6 cannot be selected. At the same time, in order to avoid repeated driving to shorten the path length, directions B7, B8, and B1 are not selected. The mobile robot prioritizes nodes B3, B4, or B5 as potential target points. This adjustment aligns with the motion limitations of mobile robots imposed by nonholonomic constraints and enhances the efficiency of the path planning process.

3.4. Smooth Factor for Optimizing State Transition Probability

In practical operation, a mobile robot’s path should not only be short in distance but also consist of more straight segments with fewer turns. To achieve smoother paths, this work presents a smoothing factor into the state transition probability equation. The enhanced state transition probability is presented in Equations (13) and (14).
p i j k ( t ) = [ τ i j ( t ) ] α [ η i j ( t ) ] β [ μ i j ( t ) ] ν [ φ i j ( t ) ] γ j a l l o w e d k [ τ i j ( t ) ] α [ η i j ( t ) ] β [ μ i j ( t ) ] ν [ φ i j ( t ) ] γ , j a l l o w e d k 0 , o t h e r w i s e
φ i j ( t ) = χ , θ s i ( t ) = θ i j ( t ) 1 χ , θ s i ( t ) θ i j ( t )
where φ i j ( t ) is the smoothing factor. γ is its corresponding weight coefficient, and χ denotes the turning factor. θ s i ( t ) is angle between the previous node s to the current node i at time t, while θ i j ( t ) is the angle between the current node i to the next node j.

3.5. Global Path Smoothing Strategy

To address the issue where the mobile robot is unable to traverse sharp turns due to excessively small angles at turning points along the optimal path, this paper applies cubic Bézier curves to smooth these turns. This approach ensures that the final path better aligns with the actual motion trajectory of the robot. Specifically, starting from the initial point to the destination, every fourth coordinate along the optimal path is selected. Using these as control points, a third-order Bézier curve is generated between each pair of coordinates, as defined in Equation (15).
p ( t ) = ( 1 t ) 3 p 0 + 3 t ( 1 t ) 2 p 1 + 3 t 2 ( 1 t ) p 2 + t 3 p 3
where p 0 ,   p 1 ,   p 2 ,   p 3 are the control points of the curve and t [ 0 , 1 ] .

3.6. Implementation of NMS-EACO Algorithm

The NMS-EACO algorithm is composed of five components: an A*-guided heuristic function, an adaptive enhanced pheromone update rule, a state transition probability under nonholonomic constraints, a smoothing factor integrated into the state transition probability, and global path smoothing. The overall workflow of the algorithm is outlined in Algorithm 1.
Algorithm 1 NMS-EACO.
  1:
Initialize the environment model and the parameters of NMS-EACO according to Table 1
  2:
for  i = 1 to n do
  3:
      Calculate the A*-based heuristic distance from node i to the destination
  4:
      Initialize the direction heuristic matrix according to Equation (6)
  5:
end for
  6:
for  i = 1 to n do
  7:
      for  j = 1 to map size do
  8:
           Compute horizontal and vertical coordinate differences for node j
  9:
           Calculate the nonholonomic constrained transition probability according to Equation (11)
10:
           Initialize the adaptive pheromone matrix according to Equations (7) and (9) and (10)
11:
      end for
12:
end for
13:
for  k = 1 to M a x I t e r a t i o n s  do
14:
      for  m = 1 to N u m b e r O f A n t s  do
15:
           Place ant m at the starting point S
16:
           while ant m has not reached the goal point E do
17:
                Select next node based on transition probability integrating:
18:
                    – heuristic matrix according to Equation (5)
19:
                    – pheromone matrix according to Equation (8)
20:
                    – smoothness factor according to Equation (14)
21:
                    – nonholonomic constraints according to Equation (12)
22:
           end while
23:
      end for
24:
      for  i = 1 to N u m b e r O f P a t h s  do
25:
           Apply elitist selection and roulette wheel selection to choose paths according to Equation (13)
26:
      end for
27:
      Apply global path smoothing strategy to all selected paths according to Equation (15)
28:
end for
29:
Output the optimal smoothed path
Table 1. Parameter settings used in the proposed algorithm.
Table 1. Parameter settings used in the proposed algorithm.
Experimental ParametersParameter Values
Initial Pheromone Value τ 1
Number of Ants m50
Distance Weight Coefficient ε 0.35
Maximum Number of Iterations N_max50
Heuristic Function Factor α 1.5
Pheromone Evaporation Factor β 0.5
Global Pheromone Evaporation Coefficient ρ 0.2
Pheromone Enhancement Coefficient Q20
Smoothing Factor Weight Coefficient γ 0.6
Turning Factor χ 0.7
Angle Factor ν 0.6

4. Simulation Experiments and Analysis

This section presents simulation experiments of the NMS-EACO algorithm using a software platform. First, the algorithm’s parameters are configured. Second, an ablation study is performed to assess the contribution of each component. Third, NMS-EACO is compared against four other algorithms across three maps of varying sizes. Fourth, NMS-EACO is compared with other algorithms on three maps. Fifth, the performance of NMS-EACO is verified on complex maps. Finally, verifying the algorithm in a dynamic map.

4.1. Algorithm Parameters Configuration

Parameter settings play a crucial role in influencing the algorithm’s convergence speed, path quality, and overall performance. Drawing on practical engineering experience, this study conducts parameter tuning experiments under various map sizes and obstacle distributions. Particular attention is given to iterative adjustments of key parameters, such as the pheromone evaporation rate and heuristic function factor. After multiple rounds of evaluation based on metrics like path length and convergence speed, an optimal set of parameters demonstrating stable and high performance is identified, as outlined in Table 1.

4.2. Ablation Study

To evaluate the effectiveness of each individual mechanism—namely, the A*-guided heuristic function, adaptive enhanced pheromone update rule, state transition probability under nonholonomic constraints, and the smoothing factor for optimizing state transitions—this study conducts a series of ablation experiments. Each mechanism is integrated with the basic ACO algorithm to create four extended variants, referred to as ACO1, ACO2, ACO3, and ACO4, as outlined in Table 2. A 40 × 40 grid map is used as the simulation environment, and each algorithm is executed 10 times. The outcomes of the experiments are presented in Table 3.
As shown in Figure 5 and Table 3, all five ACOs successfully complete the path planning task. The minimum number of iterations for ACO2 through to ACO5 to converge to the optimal path is lower than that of the basic ACO. Specifically, ACO1 achieves both a shorter optimal path length and the average path length compared with ACO (62.08 < 78.43, 66.04 < 88.44, respectively), with fewer iterations (34 < 41), which proves the effectiveness of the A*-guided heuristic function. ACO2 also shows improvements, with shorter optimal and average path lengths (70.67 < 78.43 and 79.22 < 88.44) and reduced iterations (33 < 41), confirming the benefit of the adaptive enhanced pheromone update rule. Similarly, ACO3 outperforms the basic ACO in optimal and average path lengths (69.5 < 78.43 and 73.53 < 88.44) and requires fewer iterations (38 < 41), validating the use of state transition probability under nonholonomic constraints. In ACO4, the number of turns is significantly reduced (17 < 51), alongside shorter optimal and mean path lengths (65.01 < 78.43 and 67.59 < 88.44), which supports the effectiveness of the smoothing factor for optimizing state transitions. In addition, the run time of ACO1-ACO4 is shorter than that of ACO. From these results, it is evident that each individual mechanism substantially contributes to enhancing the performance of the ACO algorithm.

4.3. Simulation Experiments Across Three Different Environments

To demonstrate the superiority and applicability of NMS-EACO, simulation experiments are performed on grid maps of three different sizes: 30 × 30 , 40 × 40 , and 50 × 50 . In addition to varying map sizes, the obstacle distributions also differ. These three maps are referred to as Map-1, Map-2, and Map-3, respectively, as detailed in Table 4. Additionally, four ACO variants are selected for experimental comparison, listed in Table 5. To minimize experimental errors and ensure result reliability, each algorithm is executed 30 times.
This study uses optimal path length, average path length, and number of turns to assess path quality. Average convergence generation and run time are used to evaluate convergence performance, and standard deviation to measure algorithm stability. Based on practical engineering considerations, path quality is prioritized as the primary evaluation criterion, followed by convergence performance as the secondary criterion, and stability as the tertiary criterion.

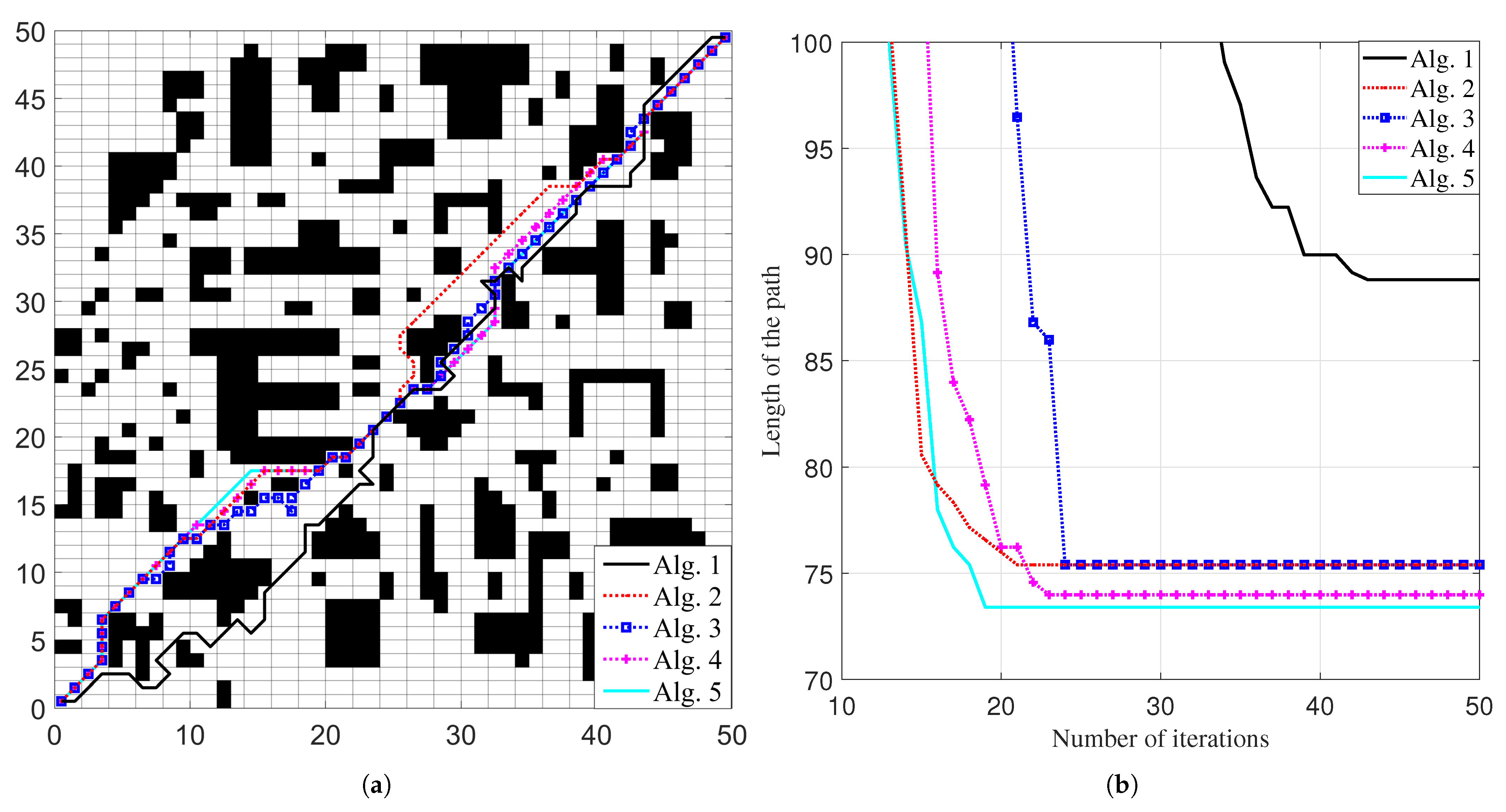
4.3.1. Experimental Results on Map-1

Figure 6 illustrates the optimal paths and iteration curves of the five algorithms on Map-1. The results from 30 runs of each algorithm are recorded and analyzed, with the statistical summary presented in Table 6.
As shown in Figure 6, all five algorithms successfully complete the optimal path planning. Among them, Alg.2, Alg.4 and Alg.5 produce similar path shapes, while the paths generated by Alg.1 and Alg.3 are significantly longer. In the iteration curves, Alg.2 through to Alg.5 converge in fewer iterations compared with Alg.1.
According to the data in Table 6, Alg.4 and Alg.5 achieve the shortest optimal path length 43.94, while Alg.2 follows closely at 44.52. The average path lengths for these three algorithms are also comparable. In terms of turn count, Alg.4 is 18.50 and Alg.5 is 16.87, having fewer turns than Alg.2 at 23, indicating smoother paths. Based on the mean number of convergence iterations, ranked from fewest to most, the order is Alg.5 < Alg.2 < Alg.4, suggesting that Alg.5 has the fastest convergence, followed by Alg.2 and then Alg.4. In addition, the running times of Alg.2–Alg.5 are much lower than that of Alg.1. Additionally, when comparing the standard deviation of path lengths, Alg.5 exhibits the smallest variation at 0.63, followed by Alg.2 at 0.74 and Alg.4 at 0.93, indicating higher stability in path planning.
Therefore, on Map-1, Alg.4 and Alg.5 demonstrate better performance in terms of path quality, convergence speed, and stability, with Alg.2 performing slightly behind them.

4.3.2. Experimental Results on Map-2

Figure 7 displays the optimal paths and iteration curves of the five algorithms on Map-2. The results from 30 runs of each algorithm are collected and analyzed, with the statistical outcomes summarized in Table 7.
As shown in Figure 7, all five algorithms have completed the optimal path planning task, with the resulting paths displaying similar shapes. However, the path generated by Alg.1 contains more turning points and appears less smooth. The iteration curves for the optimal paths of Alg.2 through to Alg.5 follow similar trends and converge with noticeably fewer iterations compared with Alg.1.
According to Table 7, Alg.2, Alg.4, and Alg.5 achieve the shortest optimal path length at 58.66, and their average path lengths are also closely aligned. Among them, Alg.5 has the fewest turns (12.50), compared with Alg.2 (20.04) and Alg.4 (21.53), indicating a smoother path. In terms of average convergence iterations, Alg.5 (19.40) performs the best, followed closely by Alg.4 (21.53), both of which outperform Alg.2 (23.63). Except for this, the running times of Alg.2–Alg.5 are close and lower than Alg.1. Regarding path stability, Alg.5 again shows the smallest standard deviation (1.00), followed by Alg.4 (1.54), indicating more consistent performance.
Overall, in Map-2, Alg.5 and Alg.4 deliver the best results across all three evaluation metrics: path quality, convergence speed, and stability, which are followed by Alg.3.

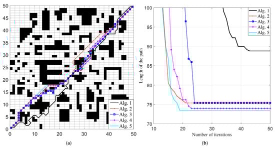
4.3.3. Experimental Results on Map-3

Figure 8 presents the optimal paths and iteration curves of the five algorithms on Map-3. Each algorithm is executed 30 times, and the resulting data are recorded and analyzed. The statistical results are summarized in Table 8.
As illustrated in Figure 8, the optimal paths generated by Alg.2 through to Alg.5 are quite similar, while the path produced by Alg.1 appears longer and less smooth. In the iteration curves, Alg.2, Alg.4, and Alg.5 converge more quickly than Alg.1 and Alg.3, with Alg.3 requiring fewer iterations than Alg.1.
According to Table 8, Alg.5 achieves both the shortest optimal path length (73.89) and mean path length (74.01), followed by Alg.4 (73.98, 76.81), Alg.2 (75.39, 77.58), and Alg.3 (75.44, 77.70). Additionally, Alg.5 records the lowest average number of turns (13.3), compared with Alg.4 (19.50), Alg.3 (22.43), and Alg.2 (30.36), indicating a smoother path. When comparing average convergence iterations, Alg.5 (20.46) again performs best, followed by Alg.3 (26.30) and Alg.4 (26.33). In addition, Alg.5 has the shortest running time, Alg.2–Alg.4 have similar running times, slightly longer than Alg.5, and Alg.1 has the longest running time. In terms of stability, measured by the standard deviation of path lengths, Alg.5 shows the smallest variation (0.61), with Alg.3 (1.74) and Alg.4 (1.88) following.
In summary, for Map-3, Alg.5 delivers the strongest overall performance across all evaluation metrics, followed by Alg.4 and then Alg.3.
To summarize, on Map-1, Alg.2, Alg.4, and Alg.5 demonstrate better performance, while on Maps 2 and 3, Alg.3 through to Alg.5 perform more effectively. Although the performance of each algorithm is influenced by the specific map, both Alg.4 and Alg.5 show strong adaptability across all three environments. As detailed in Table 9, Alg.4 and Alg.5 have comparable optimal path lengths. However, Alg.5 achieves a mean path length that is 1.53 units shorter than Alg.4, converges 5.25 iterations faster on average, less than 1.47 time units in runtime, and has a 0.7 lower standard deviation in path length, highlighting the advantages of the A*-guided heuristic function and the adaptive enhanced pheromone update rule. Moreover, the average number of turns for Alg.5 is 5.61 fewer than that of Alg.4, further demonstrating the effectiveness of the state transition probability under nonholonomic constraints and the smoothing factor. Additionally, as illustrated in Figure 9, the path optimized using a cubic Bézier curve is smoother and better aligned with the mobile robot’s turning characteristics.

4.4. Comparison of NMS-EACO with Other Algorithms

This section uses the IGWO [34] and A* [9] algorithms to conduct comparative experiments with the NMS-EACO algorithm on three maps. Each algorithm runs 30 times in each map and the experimental results are shown in Table 10 and Figure 10.
As shown in Figure 10, the three algorithms completed the optimal path planning in each map. In map-1, the optimal paths planned by the three algorithms are quite different. The path planned by the IGWO is quite different from the paths planned by the NMS-ECAO and the A* algorithm, and the path is the longest. In map-2, the paths planned by the three algorithms are relatively close. In map-3, the optimal paths planned by the three algorithms are quite different in the first half, but basically the same in the second half.
Analyzing Table 10, we can find that in terms of path length: in map-1, NMS-EACO (43.94) and A* (44.53) are close and better than IGWO (49.79); in map-2, NMS-EACO (58.66) and IGWO (58.67) are close and better than A* (59.25); in map-3, the path lengths of the three algorithms are close, and NMA-ECAO (73.39) is the shortest. In terms of the number of turns: in map-1, IGWO (7) is less than NMS-EACO (16.87) and A* (15); in map-2, the number of turns of the three algorithms is close; in map-3, NMS-EACO (13.33) is less than IGWO (17.34) and A* (19). In terms of running time, A* has the shortest time, followed by NMS-EACO, and IGWO has the longest time.
From the comparative experiments from map-1 to map-3, it can be found that the length and number of turns of the path planned by NMS-ECAO are better than those of IGWO and A* algorithms.

4.5. Simulation Experiments in Complex Environments

To verify the effectiveness of the NMS-EACO algorithm in path planning in complex environments, this section simulates two typical environments: 100 × 100-sized map, U-shaped map. The IWOT and A* algorithms are used to compare with NMS-ECAO, and each algorithm is run 10 times. The experimental results are shown in Figure 11, Figure 12 and Table 11, Table 12.

4.5.1. Simulation Experiments of Three Algorithms in Large Map

Figure 11 shows that all three algorithms completed the path planning task, and their optimal paths are similar. Analyzing Table 11, we can see that in terms of optimal path, the length of the three algorithms is similar, and NMS-ECAO (147.86) is shorter than IGWO (148.21) and A* (149.97) algorithms. In terms of the number of turns, NMS-ECAO (20.38) is less than IGWO (22.13) and A* (25) algorithms; however, in terms of runtime, the A* (4.38) algorithm is the shortest, followed by IWGO (62.34), and NMS-EACO (232.41) takes the longest.

4.5.2. Simulation Experiments of Three Algorithms in a U-Shaped Map

Figure 12 shows that all three algorithms achieve optimal path planning, and their optimal paths are similar. Furthermore, it can be seen that the path planned by the A* algorithm has too many turns in this map, while the path planned by the NMS-EACO algorithm has a single bump.
Analyzing Table 12, in terms of optimal path, the lengths of the three algorithms are similar; in terms of the number of turns, NMS-ECAO (7.02) and IGWO (7.46) are close, which is less than the A* (12) algorithm; in terms of running time, A* (0.15) is the shortest, followed by NMS-ECAO (1.27), and IGWO (4.82) is the longest.
In summary, whether on regular maps or complex maps, NMS-ECAO outperforms IGWO and A* algorithms in terms of optimal path length and number of turns; however, in terms of running time, it is not as fast as the A* algorithm, and further improvements are needed.

4.6. Simulation Experiments of NMS-EACO in a Dynamic Environment

To verify the dynamic adaptability of NMS-EACO, this section designed a dynamic experiment map. As shown in Figure 13, two dynamic obstacles are placed on the map, represented by yellow and green circles. The mobile robot moves from the lower left corner of the map to the upper right corner. The yellow obstacle starts at position 1 and moves leftward, while the green obstacle starts at position 1 and moves downward. The mobile robot and the two obstacles start moving simultaneously, and each movement of the mobile robot and the obstacle consumes one unit of time.
As shown in Figure 13, path 2 is the path planned by the mobile robot in a map without obstacles, while path 1 is the path planned in a dynamic map. It can be seen that the moving obstacle changes the path planned by NMS-ECAO. Furthermore, after the green obstacle reaches the fifth step, NMS-ECAO chooses to move to the upper right, avoiding a collision and shortening the path, demonstrating the dynamic adaptability of the algorithm in this paper.

5. Conclusions

This paper addresses the limitations of traditional ACO in mobile robot path planning and introduces the NMS-EACO algorithm as an improved solution. To tackle issues such as slow convergence and the tendency to fall into local optima, the A*-guided heuristic function and adaptive enhanced pheromone update rule are proposed. To further address problems related to excessive turning points and poor path smoothness, a state transition probability model incorporating nonholonomic constraints is developed, along with a smoothing factor to optimize state transitions. Additionally, a cubic Bézier curve is applied to refine the global path. Through a series of ablation studies and simulation experiments across various map scenarios, the results demonstrate that NMS-EACO achieves faster convergence, stronger global search capability, and significantly improved path smoothness.

Author Contributions

Conceptualization, C.Z. and X.W.; methodology, C.Z.; software, J.X.; validation, C.Z., J.M. and X.W.; formal analysis, C.Z.; investigation, C.Z.; resources, C.Z.; data curation, C.G.; writing—original draft preparation, C.Z.; writing—review and editing, J.M.; visualization, J.X.; supervision, C.Z.; project administration, C.Z.; funding acquisition, X.W. and C.G. All authors have read and agreed to the published version of the manuscript.

Funding

This work was supported by the Shandong Provincial Natural Science Foundation of China (ZR2024QF303), the major innovation projects of science, education, industry integration of Qilu University of Technology (Shandong Academy of Science) (2024ZDZX09), and the National Key Research and Development Program of China (2023YFB3711400).

Institutional Review Board Statement

Not applicable.

Informed Consent Statement

Not applicable.

Data Availability Statement

Data are contained within the article.

Acknowledgments

The authors have no external support to acknowledge in this section, including administrative, technical assistance, or donations in kind. Also, no generative artificial intelligence tools were utilized during the research and manuscript preparation process.

Conflicts of Interest

Author Chuanchen Guo is employed by the company Tiezheng Testing Technology Co., Ltd. The remaining authors declare that the research was conducted in the absence of any commercial or financial relationships that could be construed as a potential conflict of interest.

References

  1. Du, Y.; Xiong, Y.; Chen, M. Physics-Embedded Motion Planning with Contact Handling for Continuum Surgical Robots. IEEE Robot. Autom. Lett. 2025, 10, 7031–7038. [Google Scholar] [CrossRef]
  2. Sari, D.W.; Dwijayanti, S.; Suprapto, B.Y. Path Planning for an Autonomous Vehicle based on the Ant Colony Algorithm: A Review. In Proceedings of the 2023 International Workshop on Artificial Intelligence and Image Processing (IWAIIP), Yogyakarta, Indonesia, 1–2 December 2023; pp. 57–62. [Google Scholar][Green Version]
  3. Ozdemir, K.; Tuncer, A. Navigation of Autonomous Mobile Robots in Dynamic Unknown Environments Based on Dueling Double Deep Q Networks. Eng. Appl. Artif. Intell. 2025, 139, 109498. [Google Scholar] [CrossRef]
  4. Tao, B.; Kim, J.H.; Shen, Y. Mobile robot path planning based on bi-population particle swarm optimization with random perturbation strategy. J. King Saud-Univ.-Comput. Inf. Sci. 2024, 36, 101974. [Google Scholar] [CrossRef]
  5. Sun, W.; Yuan, Y.; Gao, H. Hierarchical Control for Partially Feasible Tasks with Arbitrary Dimensions: Stability Analysis for the Tracking Case. IEEE Trans. Autom. Control 2024, 69, 5883–5898. [Google Scholar] [CrossRef]
  6. Sun, W.; Yuan, Y. Passivity based hierarchical multi-task tracking control for redundant manipulators with uncertainties. Automatica 2023, 155, 111159. [Google Scholar] [CrossRef]
  7. Katona, K.; Neamah, H.A.; Korondi, P. Obstacle avoidance and path planning methods for autonomous navigation of mobile robot. Sensors 2024, 24, 3573. [Google Scholar] [CrossRef]
  8. Tang, Y.; Zakaria, M.A.; Younas, M. Path planning trends for autonomous mobile robot navigation: A review. Sensors 2025, 25, 1206. [Google Scholar] [CrossRef]
  9. Huang, J.; Chen, C.; Shen, J.; Liu, G.; Xu, F. A Self-Adaptive Neighborhood Search A-Star Algorithm for Mobile Robots Global Path Planning. Comput. Electr. Eng. 2025, 123, 110018. [Google Scholar] [CrossRef]
  10. Sun, Z.; Xia, B.; Xie, P.; Li, X.; Wang, J. NAMR-RRT: Neural Adaptive Motion Planning for Mobile Robots in Dynamic Environments. IEEE Trans. Autom. Sci. Eng. 2025, 22, 13087–13100. [Google Scholar] [CrossRef]
  11. Huang, T.; Pan, H.; Sun, W. Sine Resistance Network-Based Motion Planning Approach for Autonomous Electric Vehicles in Dynamic Environments. IEEE Robot. Autom. Lett. 2022, 8, 2862–2873. [Google Scholar] [CrossRef]
  12. Gherold, V.; Mandralis, I.; Sihite, E. Self-Supervised Cost of Transport Estimation for Multimodal Path Planning. IEEE Robot. Autom. Lett. 2025, 10, 6872–6879. [Google Scholar] [CrossRef]
  13. Wang, H.; Wang, W.; Shen, Y. A Kinematic Constrained Batch Informed Trees Algorithm with Varied Density Sampling for Mobile Robot Path Planning. IEEE Robot. Autom. Lett. 2025, 10, 6912–6919. [Google Scholar] [CrossRef]
  14. Wang, T.; Ji, C.; Wang, X. A vehicle path planning method for time-delay optimization and energy saving in edge computing. Eng. J. Wuhan Univ. 2024, 57, 1619–1626. [Google Scholar]
  15. Eido, W.M.; Ibrahim, I.M. Ant colony optimization (ACO) for traveling salesman problem: A review. Asian J. Res. Comput. Sci. 2025, 18, 20–45. [Google Scholar] [CrossRef]
  16. Li, W.; Wang, G. Research on Multi-Agent Path Planning Based on lmproved Ant Colony Algorithm. J. Jilin Univ. (Inf. Sci. Ed.) 2024, 42, 654–661. [Google Scholar]
  17. Yang, G.; Fu, S.; Liu, Z. Path planning of indoor mobile robot based on improved ant colony algorithm. Sci. Technol. Eng. 2019, 19, 175–179. [Google Scholar]
  18. Yang, H. UAV3D Flight Path Planning Method Based on Improved Antcolony Andartifcial Potential Field Method; Hebei University: Baoding, China, 2023. [Google Scholar]
  19. Shao, Q.; Shi, W. Research on robot path planning based on improved ant colony algorithm. Moderm Manuf. Eng. 2023, 6, 46–51. [Google Scholar]
  20. Yuan, W.; You, X.; Liu, S. Two-population ant colony algorihm based on dynamic learning mechanism. J. Comput. Sci. Explor. 2019, 13, 1239–1250. [Google Scholar]
  21. Chen, Y.; Gao, M. Ant colony algorithm based on initial pheromone allocation and dynamic updating. Comput. Eng. Appl. 2022, 58, 95–101. [Google Scholar]
  22. Sun, R.; Zhang, W. Smooth path planning of mobile robot based on improved ant colony algorithm. J. Graph. 2019, 40, 6912–6919. [Google Scholar]
  23. Wu, S.; Dong, A.; Li, Q. Application of ant colony optimization algorithm based on farthest point optimization and multi-objective strategy in robot path planning. Appl. Soft Comput. 2024, 167, 112433. [Google Scholar] [CrossRef]
  24. Ye, K.; Zhang, C.; Ning, J. Ant colony algorithm with a strengthened negative feedback mechanism for constraint-satisfaction problems. Inf. Sci. 2017, 406, 29–41. [Google Scholar] [CrossRef]
  25. Wang, D.; Liu, Q.; Yang, J.; Zhang, H. Research on path planning for intelligent mobile robots based on improved A* algorithm. Symmetry 2024, 16, 1311. [Google Scholar] [CrossRef]
  26. Liu, S.; Huang, Y. Application of multi-strategy ant colony algorithm in robot path planning. Comput. Eng. Appl. 2022, 58, 278–286. [Google Scholar]
  27. Zuo, S.; Mao, Z.; Fan, C. Dynamic planning of crowd evacuation path for metro station based on Dynamic Avoid Smoke A-Star algorithm. Tunn. Undergr. Space Technol. 2024, 154, 106145. [Google Scholar] [CrossRef]
  28. Abdullah, A.; Mustafa, U. Angle-based multi-goal ordering and path-planning using an improved A-star algorithm. Robot. Auton. Syst. 2025, 190, 105001. [Google Scholar]
  29. Yuan, Y.; Sun, W. Continuously Shaping Prioritized Jacobian Approach for Hierarchical Optimal Control with Task Priority Transition. IEEE Trans. Robot. 2025, 41, 1639–1656. [Google Scholar] [CrossRef]
  30. Huang, T.; Wang, J.; Pan, H. Adaptive bioinspired preview suspension control with constrained velocity planning for autonomous vehicles. IEEE Trans. Intell. Veh. 2023, 8, 3925–3935. [Google Scholar] [CrossRef]
  31. Huang, T.; Wang, J.; Pan, H. Finite-time fault-tolerant integrated motion control for autonomous vehicles with prescribed performance. IEEE Trans. Transp. Electrif. 2022, 9, 4255–4265. [Google Scholar] [CrossRef]
  32. Fang, S.; Deng, Z.; Li, P. Improved strategy of ant colony optimization for path planning via stochastic pheromone updating and cyclic initialization. J. Mech. Sci. Technol. 2025, 39, 2051–2062. [Google Scholar] [CrossRef]
  33. Fu, B.; Chen, Y.; Quan, Y. Bidirectional artificial potential field-based ant colony optimization for robot path planning. Robot. Auton. Syst. 2025, 183, 104834. [Google Scholar] [CrossRef]
  34. Zhao, H.; Guo, Y.; Li, X. Hierarchical Control Framework for Path Planning of Mobile Robots in Dynamic Environments Through Global Guidance and Reinforcement Learning. IEEE Internet Things J. 2025, 12, 309–333. [Google Scholar] [CrossRef]
Figure 1. Grid-based working scene.
Figure 1. Grid-based working scene.
Electronics 14 03440 g001
Figure 2. Ackermann steering model.
Figure 2. Ackermann steering model.
Electronics 14 03440 g002
Figure 3. The selectable nodes of the current node without nonholonomic constraints. Green cells represent the next selectable position.
Figure 3. The selectable nodes of the current node without nonholonomic constraints. Green cells represent the next selectable position.
Electronics 14 03440 g003
Figure 4. The selectable nodes of the current node with nonholonomic constraints. Yellow cells represent positions that cannot be selected in the next step.
Figure 4. The selectable nodes of the current node with nonholonomic constraints. Yellow cells represent positions that cannot be selected in the next step.
Electronics 14 03440 g004
Figure 5. Results of five ACOs in ablation experiments: (a) Optimal paths. (b) Convergence curves of optimal paths. Black cells denote obstacles.
Figure 5. Results of five ACOs in ablation experiments: (a) Optimal paths. (b) Convergence curves of optimal paths. Black cells denote obstacles.
Electronics 14 03440 g005
Figure 6. Experimental results of five algorithms on Map-1: (a) Optimal paths. (b) Convergence curves of optimal paths.
Figure 6. Experimental results of five algorithms on Map-1: (a) Optimal paths. (b) Convergence curves of optimal paths.
Electronics 14 03440 g006
Figure 7. Experimental results of five algorithms on Map-2: (a) Optimal paths. (b) Convergence curves of optimal paths.
Figure 7. Experimental results of five algorithms on Map-2: (a) Optimal paths. (b) Convergence curves of optimal paths.
Electronics 14 03440 g007
Figure 8. Experimental results of five algorithms on Map-3: (a) Optimal paths. (b) Convergence curves of optimal paths.
Figure 8. Experimental results of five algorithms on Map-3: (a) Optimal paths. (b) Convergence curves of optimal paths.
Electronics 14 03440 g008
Figure 9. Path smoothed using a Cubic Bézier Curve.
Figure 9. Path smoothed using a Cubic Bézier Curve.
Electronics 14 03440 g009
Figure 10. Optimal paths planned by three algorithms in three maps: (a) Map-1. (b) map-2. (c) map-3.
Figure 10. Optimal paths planned by three algorithms in three maps: (a) Map-1. (b) map-2. (c) map-3.
Electronics 14 03440 g010
Figure 11. Paths of the three algorithms in large map.
Figure 11. Paths of the three algorithms in large map.
Electronics 14 03440 g011
Figure 12. Paths of the three algorithms in U-shaped map.
Figure 12. Paths of the three algorithms in U-shaped map.
Electronics 14 03440 g012
Figure 13. Paths of the NMS-EACO algorithm in a dynamic map.
Figure 13. Paths of the NMS-EACO algorithm in a dynamic map.
Electronics 14 03440 g013
Table 2. Ablation study schemes.
Table 2. Ablation study schemes.
ModelIntegrated Mechanism
ACO1ACO + A*-guided heuristic function
ACO2ACO + adaptive enhanced pheromone update rule
ACO3ACO + state transition probability under nonholonomic constraints
ACO4ACO + smoothing factor to optimize state transition probability
Table 3. Statistical results of five ACOs in ablation experiment.
Table 3. Statistical results of five ACOs in ablation experiment.
ModelOptimal Path LengthAverage Path LengthTurn TimesMean of Convergence GenerationRun Time
ACO78.4388.44514129.95
ACO162.0866.04233410.73
ACO270.6779.22393324.59
ACO369.573.53373817.63
ACO465.0167.59173613.86
Table 4. Map abbreviation correspondence.
Table 4. Map abbreviation correspondence.
Map SizeMap Abbreviation
30 × 30 Map-1
40 × 40 Map-2
50 × 50 Map-3
Table 5. Algorithm abbreviation correspondence.
Table 5. Algorithm abbreviation correspondence.
Algorithm NameAlgorithm Abbreviation
ACOAlg.1
The algorithm proposed in [22]Alg.2
The algorithm proposed in [32]Alg.3
The algorithm proposed in [33]Alg.4
NMS-EACOAlg.5
Table 6. Statistical results of five algorithms on Map-1.
Table 6. Statistical results of five algorithms on Map-1.
AlgorithmOptimal Path LengthMean Path LengthMean Number of TurnsMean of Convergence GenerationPath Standard DeviationRun Time
Alg.149.9456.5232.2729.034.1113.77
Alg.244.5245.0223.0021.000.741.65
Alg.347.7048.3916.5334.500.672.06
Alg.443.9445.1118.5025.300.931.58
Alg.543.9444.4616.8717.530.631.10
Table 7. Statistical results of five algorithms on Map-2.
Table 7. Statistical results of five algorithms on Map-2.
AlgorithmOptimal Path LengthMean Path LengthMean Number of TurnsMean of Convergence GenerationPath Standard DeviationRun Time
Alg.178.6786.8150.9335.3611.1634.92
Alg.258.6660.8520.4023.631.922.65
Alg.361.0164.7717.3327.362.244.66
Alg.458.6661.1021.5321.531.543.36
Alg.558.6659.9812.5019.401.002.53
Table 8. Statistical results of five algorithms on Map-3.
Table 8. Statistical results of five algorithms on Map-3.
AlgorithmOptimal Path LengthMean Path LengthMean Number of TurnsMean of Convergence GenerationPath Standard DeviationRun Time
Alg.188.81106.8564.5038.8311.2633.59
Alg.275.3977.5830.3629.201.296.09
Alg.375.4477.7022.4326.301.745.43
Alg.473.9876.8119.5026.331.885.99
Alg.573.3974.0113.3320.460.612.87
Table 9. The mean of differences in five metrics between Alg.4 and Alg.5 across the three Maps.
Table 9. The mean of differences in five metrics between Alg.4 and Alg.5 across the three Maps.
Optimal Path LengthMean Path LengthMean Number of TurnsMean of Convergence GenerationPath Standard DeviationRun Time
Differences0.021.535.615.250.701.47
Table 10. Performance statistics of IWGO, A*, and NMS-EACO algorithms on 3 maps.
Table 10. Performance statistics of IWGO, A*, and NMS-EACO algorithms on 3 maps.
MapAlgorithmOptimal Path LengthMean Path LengthMean Number of TurnsRun Time
Map-1IWGO49.7949.7975.42
A*44.5344.53150.11
NMS-EACO43.9444.4616.871.10
Map-2IWGO58.6759.9112.68.70
A*59.2559.25120.26
NMS-EACO58.6659.9812.52.53
Map-3IWGO75.3975.9817.3415.21
A*74.5774.57190.52
NMS-EACO73.3974.0113.332.87
Table 11. Statistical results of three algorithms in large map.
Table 11. Statistical results of three algorithms in large map.
AlgorithmOptimal Path LengthMean Path LengthMean Number of TurnsRun Time
IWGO148.21148.8222.3862.34
A*149.97149.97254.38
NMS-EACO147.86148.0620.13232.41
Table 12. Statistical results of the three algorithms in U-shaped map.
Table 12. Statistical results of the three algorithms in U-shaped map.
AlgorithmOptimal Path LengthMean Path LengthMean Number of TurnsRun Time
IWGO56.8957.837.464.82
A*57.0757.07120.15
NMS-EACO57.0457.457.021.72
Disclaimer/Publisher’s Note: The statements, opinions and data contained in all publications are solely those of the individual author(s) and contributor(s) and not of MDPI and/or the editor(s). MDPI and/or the editor(s) disclaim responsibility for any injury to people or property resulting from any ideas, methods, instructions or products referred to in the content.

Share and Cite

MDPI and ACS Style

Zhang, C.; Ma, J.; Wang, X.; Xu, J.; Guo, C. NMS-EACO: A Novel Multi-Strategy ACO for Mobile Robot Path Planning. Electronics 2025, 14, 3440. https://doi.org/10.3390/electronics14173440

AMA Style

Zhang C, Ma J, Wang X, Xu J, Guo C. NMS-EACO: A Novel Multi-Strategy ACO for Mobile Robot Path Planning. Electronics. 2025; 14(17):3440. https://doi.org/10.3390/electronics14173440

Chicago/Turabian Style

Zhang, Chao, Jing Ma, Xin Wang, Jianwei Xu, and Chuanchen Guo. 2025. "NMS-EACO: A Novel Multi-Strategy ACO for Mobile Robot Path Planning" Electronics 14, no. 17: 3440. https://doi.org/10.3390/electronics14173440

APA Style

Zhang, C., Ma, J., Wang, X., Xu, J., & Guo, C. (2025). NMS-EACO: A Novel Multi-Strategy ACO for Mobile Robot Path Planning. Electronics, 14(17), 3440. https://doi.org/10.3390/electronics14173440

Note that from the first issue of 2016, this journal uses article numbers instead of page numbers. See further details here.

Article Metrics

Back to TopTop