Next Article in Journal
Transient Synchronous Stability Analysis and Control Improvement for Power Systems with Grid-Following Converters
Previous Article in Journal
Region Segmentation for Efficient Semiconductor Inspection: A Deep Learning Approach with Transformers and Atrous Convolution
 
 
Font Type:
Arial Georgia Verdana
Font Size:
Aa Aa Aa
Line Spacing:
Column Width:
Background:
Article

Coherent Detection in Bistatic Backscatter Communication Systems

by
Joško Radić
*,† and
Toni Perković
*,†
Faculty of Electrical Engineering, Mechanical Engineering and Naval Architecture in Split, University of Split, 21000 Split, Croatia
*
Authors to whom correspondence should be addressed.
These authors contributed equally to this work.
Electronics 2025, 14(16), 3262; https://doi.org/10.3390/electronics14163262
Submission received: 25 July 2025 / Revised: 15 August 2025 / Accepted: 15 August 2025 / Published: 17 August 2025
(This article belongs to the Section Computer Science & Engineering)

Abstract

In the field of the Internet of Things (IoT), technical solutions that enable information transmission with minimal energy consumption are of particular interest. Common solutions frequently used in the field of radio frequency identification (RFID) involve utilizing electromagnetic waves to power tags and employing backscattering for communication. Detecting the received signal in a coherent manner enables increased reliability in tag reading. This paper proposes a method for coherent signal detection in a bistatic backscatter communication system (BBCS), which includes coarse carrier frequency offset (CFO) from preamble and fine phase correction from data symbols. The proposed method outperforms the detection approach based on maximum likelihood estimation (MLE) of CFO from the preamble, particularly in scenarios with higher CFO values. The proposed detection method is well suited for implementation in software-defined radios, particularly in low-cost devices characterized by less stable oscillators. It is also shown that a preamble of six symbols is sufficient to perform a coarse CFO estimation. Since the analyzed system is equivalent to binary frequency-shift keying (FSK) modulation, the performance of FSK is presented as the theoretical upper bound in the results.

1. Introduction

Backscatter communication systems are attracting growing attention from researchers due to their potential applications in Internet of Things (IoT) systems [1,2,3]. With the increasing number of sensors and tags that act as backscatter devices (BD), which are key components for the implementation of IoT, there is a growing need for a power supply to support their operation and information transmission. However, in many situations, batteries are not a practical solution for powering these devices. Ambient backscatter communication provides an effective solution to the energy and communication challenges faced by low power communication systems [3,4,5].
Backscatter communication systems can be implemented as monostatic backscatter communication systems (MBCS), bistatic backscatter communication systems (BBCS), and ambient backscatter communication systems (ABCS) [2]. In an MBCS, the carrier emitter and the backscatter receiver are integrated into one device. The reader functions as both the emitter of the carrier signal and the receiver of the signal reflected from the BD. Radio Frequency Identification (RFID) systems are typically implemented as MBCS communication systems. In a BBCS, the carrier emitter and backscatter receiver are separate devices [2]. This architecture is proposed to increase the communication range, which is crucial for systems powered by ambient energy sources [6]. Separation of the carrier emitter and receiver allows for optimal positioning of the carrier emitter, regardless of the position of the receiver, relative to the BD, thus increasing the chances of successful data transmission [7]. BD gathers energy from the signal emitted by the carrier emitter and uses it for powering and communication. The BD then reflects the signal received from the carrier emitter. The phase and amplitude of the reflected signal depend on the impedance of the BD’s antenna load. Information transmission is achieved by modulating the impedance based on a binary sequence that is being transmitted. In ABCS, the carrier emitter is separated from the receiver, and it is available from ambient radio frequency (RF) sources such as TV towers or cellular base station. Ambient backscatter communication systems are typically implemented with binary modulation due to the required simplicity and low energy harvesting efficiency [3].
In a bistatic backscatter communication system, the carrier emitter is a controllable source whose location and transmission can be optimized by the system designer, whereas in an ambient backscatter system, the “carrier” arises from uncontrolled RF emitters such as broadcast TV or cellular infrastructure. A BBCS therefore allows the emitter to be placed close to the tag to maximize harvested power and does not rely on ambient sources, while an ABCS must harvest opportunistic signals of opportunity and cannot adjust the waveform or position of the carrier emitter. This clarification emphasizes that the carrier transmitter in a BBCS does not fall into the category of ambient energy sources, as it can be deliberately positioned and scheduled to support the tag.
Noncoherent detection in the receiver is widely used because of its simplicity, while coherent detection offers superior performance, but with the trade-off in increased complexity [2]. The carrier emitter and receiver in a BBCS are separated devices, and their local oscillators have slight frequency differences, causing a carrier frequency offset (CFO) at the receiver’s side. To achieve coherent detection, which provides a lower probability of decoding errors, compensation for CFO is necessary at the receiver end [7]. Another important factor to consider in signal detection in a BBCS is the relative phase between the signal emitted by the carrier emitter and the backscattered signal from the BD, which are received by the receiver as a superposition. The relative phase between these signals is dependent on the channel properties and has a significant impact on the system’s reliability, robustness, and communication range [8].
In [6], the authors proposed a correlation-based demodulator for a BBCS with frequency-shift keying (FSK) modulation. The carrier frequency offset (CFO) is estimated from the periodogram, which is calculated with high frequency resolution using the fast Fourier transform (FFT). Additionally, the authors proposed an optimum threshold-based detection method for the magnitude of the received samples of the on–off-keying (OOK) signal. The detection of the magnitude eliminates the synchronization problem, but at the cost of a higher bit error probability. In [7], a coherent detection method in BBCS systems is proposed, but for the FSK modulation. In [9], the authors propose a coherent detection method for collided FM0 line coded signals in a monostatic architecture, where the CFO is zero. In [10], the authors propose a detector for the FM0 coded binary sequence on software-defined radio (SDR). However, the proposed detector is only applicable to a setup in which the carrier emitter and receiver are implemented on the same board, sharing the same local oscillator and thus having a CFO of zero.
FM0 line encoding and Miller encoded sequences can be considered equivalent to Manchester encoded sequences because both involve alternating between low and high levels to transmit binary sequences, either from low to high or vice versa. In [10], the authors show that if the FM0 encoded transmitted waveform is shifted by T / 2 , where T represents the bit interval, only two pulse shapes are possible. In the first shape, the signal level is low during the first half of the bit duration and high during the second half. In the second shape, the signal level is high during the first half of the bit duration and low during the second half. Similarly, the Miller encoded waveform can be represented by a combination of elementary pulse shapes that have a low level in the first half of the pulse shape duration and a high level in the second half, and vice versa. In this research, the focus is on Manchester line encoding, as it can be adapted to FM0 or Miller encoding techniques that are commonly used in commercial RFID systems.
In the BBCS system, the most critical aspect is the estimation of the CFO in order to achieve coherent detection. This paper proposes a method for the coherent detection of Manchester-encoded sequences in BBCS communication systems. The method includes coarse CFO estimation and compensation from the preamble sequence, followed by the application of the proposed algorithm for fine CFO correction. The preamble refers to a predefined sequence of binary symbols known to the receiver. From the received signal samples corresponding to the preamble, the receiver computes reference values for the binary symbols “0” and “1”, which are then used for detecting the data bits. It has been shown that the bit error rate (BER) can be reduced if, after a coarse CFO estimation from the signal preamble, an additional fine CFO correction is performed using the signal samples corresponding to the data. The proposed method was compared with an approach in which the CFO was estimated from the preamble using the maximum likelihood estimator (MLE), but without additional fine CFO correction.
The proposed method eliminates the need for channel estimation, thereby further simplifying decoding. It is shown that the system is equivalent to a binary frequency-shift keying (FSK) modulation, and its performances are also compared with FSK through simulations. The simulation results demonstrate good performance in scenarios with a large CFO and a small sampling rate, which is especially relevant in the context of applying backscattered-based communication systems in IoT applications. The proposed method is suitable for implementation on an SDR type of receiver. An SDR receiver, as a fully reconfigurable device capable of detecting any type of digitally modulated signal, can be utilized as a platform for demodulation and detection of the backscattered signal, regardless of the type of modulation and line coding technique applied [10,11]. As the SDR allows for the observation of both the in-phase (I) and quadrature (Q) components of the received signal amplitude, it enables coherent detection of the BBCS signal.
This paper is organized as follows: the system model is presented in Section 2, and the method for coherent detection is described in Section 3. The simulation results are presented in Section 4, and the conclusions is given in Section 5.

2. System Model

Figure 1 displays a BBCS system. It consists of the carrier emitter, an SDR receiver, and passive tag. Channel responses between carrier emitter and SDR receiver, carrier emitter and tag, and tag and an SDR receiver are denoted with h i ( t ) , i { 1 , 2 , 3 } , respectively:
h 1 ( t ) = α 1 δ ( t τ 1 )
Throughout this paper, we index the channel responses as h i ( t ) with i { 1 , 2 , 3 } (1 for the direct path, 2 for the emitter-to-tag path, and 3 for the tag-to-receiver path).
h 2 ( t ) = α 2 δ ( t τ 2 )
h 3 ( t ) = α 3 δ ( t τ 3 )
Here, α i and τ i denote channel attenuation and delay of the corresponding channels, respectively, and have positive values. Here, it is assumed that the symbol duration is much longer than the maximum duration of the channel response. The carrier emitter transmits a continuous carrier of frequency f c , amplitude A c , and phase offset ϕ c :
x c ( t ) = A c e j ( ω c t ϕ c ) ,
where { · } refers to the real part of the signal, and ω c = 2 π f c . The receiver receives the signal from the carrier emitter and the signal scattered from the tag. The tag scatters the signal that propagates from the carrier emitter to the tag, and it can be expressed as follows:
x T ( t ) = A c e j ( ω c t ϕ c ) h 2 ( t ) m ( t ) = A c α 2 e j ( ω c t ϕ c ) e j ( ω c τ 2 ) m ( t ) ,
where the symbol ∗ denotes convolution, and m ( t ) represents a term that depends on the structural mode of the antenna and the antenna load of the tag. Information transmission is achieved by altering the impedance of the antenna load, resulting in a change in the modulation signal m ( t ) . Signal received at the receiver is superposition of the signal transmitted from the carrier emitter and signal scattered from the tag:
y ( t ) = x c ( t ) h 1 ( t ) + x T ( t ) h 3 ( t ) + w ( t ) = A c { e j ( ω c t ϕ c ) [ α 2 α 3 e j ω c ( τ 2 + τ 3 ) m ( t ) + α 1 e j ω c τ 1 ] } + w ( t ) ,
Approximation: Since the symbol period T is much larger than the delay spread, we approximate m ( t τ 3 ) m ( t ) in (6).
Here, w ( t ) denotes additive white Gaussian noise (AWGN) with the power spectral density (PSD) N 0 / 2 . In the receiver, as shown in Figure 2, the signal is down-converted using the local oscillator with a frequency of f c and filtered through an ideal low-pass filter (LPF) with an impulse response of h R ( t ) :
y ˜ ( t ) = y ( t ) 2 e j ω c t h R ( t ) ,
resulting in the received baseband signal y ˜ ( t ) :
y ˜ ( t ) = A 1 + A s m ( t ) e j ϕ 2 e j ( Δ ω c t ϕ 1 ) + w ˜ ( t ) ,
where A = A c α 1 / 2 , A s = α 2 α 3 / α 1 , ϕ 1 = ϕ c + ω c τ 1 , ϕ 2 = ω c ( τ 1 τ 2 τ 3 ) , ω c = 2 π f c , and Δ ω c = 2 π ( f c f c ) denotes an angular frequency mismatch between the frequencies of the local oscillators in the transmitter and receiver. Clarification. In (8), the factor e j ϕ 1 is a global rotation and does not change | y ˜ ( t ) | ; the envelope depends on ϕ 2 through 1 + A s e j ϕ 2 . The tag-load phase contribution is absorbed into ϕ 2 , while amplitude asymmetry is captured by A s = α 2 α 3 / α 1 . w ˜ ( t ) denotes circularly symmetric, complex baseband additive Gaussian noise with the following power spectral density:
P n ( f ) = N 0 2 , | f | W 0 , | f | > W ,
where W denotes the bandwidth of the LPF in the receiver. The impulse response of the received filter has the unit energy, i.e., h R 2 ( t ) d t = 1 .
The received sampled signal y ˜ [ n ] simply follows from (8):
y ˜ [ n ] y ˜ ( n T s ) = A 1 + A s m [ n ] e j ϕ 2 e j ( 2 π ξ n ϕ 1 ) + w ˜ [ n ] ,
where T s represents the sampling period, w ˜ [ n ] are samples of the complex additive white Gaussian noise (AWGN) with a variance of N 0 / 2 per complex dimension, and ξ = ( f c f c ) T s denotes the normalized frequency offset. Multiplying 2 π ξ n in the exponent of (10) yields 2 π ( f c f c ) T s n = Δ ω c T s n , so the form of (10) remains unchanged.

3. Proposed Method for Coherent Detection

For this analysis, perfect symbol synchronization is assumed. The receiver takes N b = T / T s samples of the received signal during the bit duration T. SDR receivers typically sample the received signal with a higher number of samples per symbol or bit to ensure more reliable clock and waveform reconstruction [12]. In the case of Manchester encoding, the modulated signal waveforms for binary symbols “0” and “1” are as follows:
m 0 [ n ] = 0 , 0 n N b / 2 1 1 , N b / 2 n N b 1 ,
m 1 [ n ] = 1 , 0 n N b / 2 1 0 , N b / 2 n N b 1 .
It is assumed that N b is an even number. For simplicity, and without loss of generality, it is taken that m 0 / 1 [ n ] = 1 if the tag backscatters the signal, and m 0 / 1 [ n ] = 0 if the tag does not backscatter the signal. This assumption is based on perfect electromagnetic wave absorption by the tag when it does not backscatter the signal.
Figure 3 shows an example of received signal samples in a constellation diagram for successive binary symbols “0” and “1”. The phase of each subsequent sample is incremented by 2 π ξ due to frequency mismatch. As a result, each subsequent received sample moves (rotates) in a counterclockwise direction for positive frequency mismatch and in a clockwise direction for negative frequency mismatch. Additionally, in the middle of the signaling interval, due to the Manchester encoding, there is a change in phase and amplitude due to the impedance change in the tag.
It is noteworthy, contrary to intuition, that the magnitude of the received samples y ˜ [ n ] can be lower when the tag backscatters the signal than when it does not. This phenomenon is governed by the relative phase between the direct and backscattered components rather than their absolute phases. Although Equation (8) shows that ϕ 1 and ϕ 2 include different delay terms, both phases share the common component ω c τ 1 from the direct path. Consequently, they are not independent; however, ϕ 1 appears in (8) only as a common phase rotation e j ϕ 1 and therefore does not affect the instantaneous magnitude. The constructive or destructive superposition depends only on ϕ 2 , since
1 + A s e j ϕ 2 = 1 + A s 2 + 2 A s cos ϕ 2 .
In particular, when the backscattered amplitude A A s is weaker than the direct component A and when cos ( ϕ 2 ) < A s / 2 , the instantaneous magnitude decreases. For small A s , this condition is well approximated by ϕ 2 ( π / 2 , 3 π / 2 ) (more precisely, ( π δ , π + δ ) with δ = arccos ( A s / 2 ) ). Under these conditions, a tag reply can reduce the total amplitude, rendering the bits indistinguishable without a known preamble of “0” s and “1” s to provide phase reference.
Coarse estimation of the parameter ξ can be calculated from the phase difference of the received signal between the end and the beginning of the preamble sequence:
ξ ^ c = ϕ y ˜ [ N b L P 1 ] ϕ y ˜ [ 0 ] 2 π ( N b L P 1 ) ,
Note: We use the two edge samples of the preamble to maximize phase separation; the denominator reflects their ( N b L P 1 ) spacing. In our SNR range, averaging the phase difference across all preamble samples gives indistinguishable ξ ^ c .
Here, ϕ y ˜ [ · ] y ˜ [ · ] denotes phase of the received signal y ˜ [ n ] , L P is the length of the preamble sequence, and ^ is symbol for the estimation. The received signal after coarse CFO correction is as follows:
y ˜ c [ n ] = y ˜ [ n ] e j 2 π ξ ^ c n .
The estimation of parameter ξ is critical for correct decoding. If the parameter ξ is not perfectly estimated from the preamble, the signal samples y ˜ c [ n ] will continue to rotate in the constellation diagram even after compensation. Since perfect estimation is not possible using only the preamble, additional fine compensation of the received signal samples is required for each received data symbol, i.e., “0” and “1”. The parameter ξ can be estimated by computing the periodogram of the received signal and finding its peak [13]. To estimate the parameter ξ by finding the peak of the periodogram, high resolution in the frequency domain is required, which means a sufficiently large number of signal samples for computing the FFT used to calculate the periodogram. The nonlinearity of the periodogram further complicates the estimation of the parameter ξ using this method [14]. Additionally, the CFO may vary during data transmission, which makes this approach inadequate [6]. The parameter ξ can also be estimated using the signal model (10) by first estimating the parameters A, A s , and ϕ 1 , and ϕ 2 after which ξ can be estimated by minimizing the norm of the vector obtained from the difference between the received preamble signal samples and the signal model. More details about this approach are provided in Section 3.1.
Coherent detection requires the reconstruction of the vectors; let them be denoted as s 0 and s 1 , which represent the binary symbols “0” and “1”, along with the fine CFO correction remaining after the coarse CFO correction of the signal y ˜ c [ n ] . The vectors s 0 and s 1 can be determined from the preamble sequence. Once the vectors s 0 and s 1 are determined, the detection of the transmitted symbol can be performed by calculating the Euclidean distance between the received samples of that symbol and the s 0 and s 1 .
Figure 4 illustrates the two-dimensional complex vectors, s 0 = [ s 0 , B ¯ , s 0 , B ] T (on the left) and s 1 = [ s 1 , B , s 1 , B ¯ ] T (on the right), which represent the binary symbols “0” and “1”, respectively, along with the corresponding samples received in the case of ideal reception without noise. For clarity, s 0 , B ¯ and s 1 , B ¯ are computed from no-backscatter samples ( B ¯ ), whereas s 0 , B and s 1 , B are computed from backscatter samples (B).
Figure 4 illustrates calculation of the vectors s 0 and s 1 from the samples of the received signal y ˜ c [ n ] . The magnitudes A and A are related to the received signal when the tag does not backscatter the signal and when it does backscatter the signal, respectively. The phases ϕ 0 , c and ϕ 1 , c are related to the received samples when the tag sends “0” and “1”, respectively. The preamble sequence is an alternating sequence of “0” and “1”, starting with “0” and ending with “1”. Let I 0 , B ¯ , and I 1 , B ¯ denote the index sets of samples of the preamble received signal y ˜ [ n ] , corresponding to the “0” and “1” symbols transmitted by the tag, respectively, when the tag does not backscatter the signal. Similarly, let I 0 , B and I 1 , B denote the index sets of samples of the preamble received signal y ˜ [ n ] , corresponding to the “0” and “1” symbols transmitted by the tag, respectively, when the tag backscatters the signal. The magnitudes of the received signal A when the tag does not backscatter a signal and A when it does can be estimated as follows:
A ^ = 1 | I 0 , B ¯ | + | I 1 , B ¯ | n : n I 0 , B ¯ I 1 , B ¯ | y ˜ c [ n ] | ,
A ^ = 1 | I 0 , B | + | I 1 , B | n : n I 0 , B I 1 , B | y ˜ c [ n ] | ,
where | · | denotes the set cardinality or the absolute value operation, depending on whether the input is a set or a scalar. The phase ϕ 0 , c can be calculated from ϕ 0 , B ¯ and ϕ 0 , B , which represent the mean phase of the received symbols when the tag does not backscatter the signal and when it does backscatter the signal during the transmission of “0”, respectively. Estimation of ϕ 0 , B ¯ and ϕ 0 , B can be calculated as follows:
ϕ ^ 0 , B ¯ = 1 | I 0 , B ¯ | n : n I 0 , B ¯ ϕ y ˜ c [ n ] , ϕ ^ 0 , B = 1 | I 0 , B | n : n I 0 , B ϕ y ˜ c [ n ] .
where ϕ y ˜ c [ n ] y ˜ c [ n ] denotes the phase of the samples y ˜ c [ n ] . Note that before calculating the average, it is necessary to unwrap the phase of the signal y ˜ c [ n ] . The phase difference estimation for the binary symbol “0” is as follows:
ϕ ^ 0 , c = ϕ ^ 0 , B ϕ ^ 0 , B ¯ .
Subtracting ϕ ^ 0 , B ¯ from ϕ ^ 0 , B removes the common phase associated with the direct path. The strong carrier emitted by the carrier emitter thus becomes a reference whose contribution is canceled out, leaving only the phase shift introduced by the backscattered component. The same procedure is used for the “1” symbol so that the strong direct signal does not impair detection.The vector s 0 , representing the binary symbol “0” with compensated CFO at the receiver, can be derived by utilizing the estimated values of A, A , and ϕ ^ 0 , c :
s 0 = [ s 0 , B ¯ , s 0 , B ] T ,
where s 0 , B ¯ and s 0 , B can be calculated as follows:
s 0 , B ¯ = A ^ e j ϕ ^ 0 , c / 2 , s 0 , B = A ^ e j ϕ ^ 0 , c / 2 .
The same procedure is also applicable for the binary symbol “1”. In Equation (17), to calculate the mean phase ϕ ^ 1 , B ¯ and ϕ ^ 1 , B when the tag does not backscatter a signal and when it does, respectively, one should use I 1 , B ¯ and I 1 , B instead of I 0 , B ¯ and I 0 , B . The phase difference estimation for the binary symbol “1” is as follows:
ϕ ^ 1 , c = ϕ ^ 1 , B ¯ ϕ ^ 1 , B .
Vector s 1 , representing the binary symbol “1” with compensated CFO at the receiver, is as follows:
s 1 = [ s 1 , B , s 1 , B ¯ ] T ,
where s 1 , B ¯ and s 1 , B can be calculated as follows:
s 1 , B ¯ = A ^ e j ϕ ^ 1 , c / 2 , s 1 , B = A ^ e j ϕ ^ 1 , c / 2 .
To decode the received symbol, it is necessary to calculate the Euclidean distance between the vector y = [ y F , y S ] T , corresponding to the symbol being decoded, and the vectors s 0 and s 1 . The values y F and y S are calculated from the first N b / 2 and the last N b / 2 samples of the signal y ˜ c [ n ] , respectively. The first step is to estimate the magnitudes from the y ˜ c [ n ] :
A ^ F = 2 N b n = 0 N b / 2 1 | y ˜ c [ n ] | , A ^ S = 2 N b n = N b / 2 N b 1 | y ˜ c [ n ] | ,
where A ^ F and A ^ S denote the average magnitudes of the first and second halves of the received samples, respectively, of the symbol to be decoded. The corresponding average phases are computed as follows:
ϕ ^ F = 2 N b n = 0 N b / 2 1 ϕ y ˜ c [ n ] , ϕ ^ S = 2 N b n = N b / 2 N b 1 ϕ y ˜ c [ n ] ,
where ϕ ^ F and ϕ ^ S denote the average phases of the first and second halves of the received samples, respectively. The elements of the two-dimensional complex vector y = [ y F y S ] T are as follows:
y F = A ^ F e j ϕ ^ F / 2 , y S = A ^ S e j ϕ ^ S / 2 .
The decision on the received symbol follows from comparing the Euclidean distance between the vector y and both s 0 and s 1 :
y s 0 1 0 y s 1 ,
where · denotes the vector norm. In summary, the proposed detection procedure operates as follows: (1) compute the coarse CFO estimate from the preamble via (13) and rotate the samples using (14); (2) estimate the amplitudes A ^ and A ^ and the phase differences ϕ ^ 0 , c and ϕ ^ 1 , c from the preamble using (15)–(18) and (21); (3) construct the orthogonal reference vectors s 0 and s 1 using (20) and (23); (4) for each data symbol, form the two-element vector y by averaging the first and second halves of the samples as in (24)–(26); (5) compare the Euclidean distances between y and the references s 0 and s 1 to decide the transmitted bit as in (27), thereby performing fine CFO correction on a symbol-by-symbol basis. Because s 0 and s 1 are orthogonal, the BBCS signal is mathematically equivalent to coherent binary FSK, and the coherent FSK error probability serves as a theoretical benchmark for our detector.

3.1. Detection Using MLE of Parameter ξ from the Preamble Without Fine CFO Correction

The MLE-based estimator described in Section 3.1 is presented as a baseline for comparison only. The proposed detection scheme described earlier relies solely on the coarse estimator (13) for CFO estimation and does not use the MLE; our goal is to illustrate the performance gap between the simple coarse estimator with fine correction and the more complex MLE that lacks per-symbol refinement.
While one could, in principle, perform a maximum-likelihood estimation of the CFO parameter ξ and the phases ϕ 1 and ϕ 2 using the entire data sequence, such a three-dimensional search over the full frame is computationally prohibitive. A full-sequence MLE would require a joint search over a very fine grid of CFO values and phase offsets across hundreds of data samples; this complexity grows rapidly with the frame length and makes the method unsuitable for low-power SDR platforms. By restricting the MLE benchmark to the preamble, we ensure a fair comparison: both detectors use the same amount of pilot information, and any performance improvement in the proposed method arises from the fine correction applied to the data symbols rather than an artificially longer observation window. This highlights the practical benefit of our approach for resource-constrai- ned devices.
Section 3.1 describes a detection method in which the parameters A, A s , ϕ 1 , and ϕ 2 are first estimated from the preamble. These values are then used to estimate the parameter ξ using MLE, followed by phase correction. After phase correction, the vectors s 0 and s 1 representing the symbols “0” and “1”, respectively, are determined from the preamble. Finally, the data symbols are decoded from the received signal samples based on the minimum Euclidean distance criterion. From Equations (15) and (16), and based on Figure 3, the vector A A s = A A s e j ϕ A A s can be estimated as follows:
A ^ A s = A ^ e j ϕ ^ A A ^ e j ϕ ^ A ,
where ϕ A A s denotes phase of the vector A A s , and ϕ ^ A and ϕ ^ A follow from:
ϕ ^ A = 1 | I 0 , B ¯ | + | I 1 , B ¯ | n : n I 0 , B ¯ I 1 , B ¯ ϕ y ˜ c [ n ] ,
ϕ ^ A = 1 | I 0 , B | + | I 1 , B | n : n I 0 , B I 1 , B ϕ y ˜ c [ n ] .
Estimation of the product A A s is | A ^ A s | , and estimation of the phases ϕ 1 ^ and ϕ 2 ^ follow from:
ϕ ^ 1 = N b L P 1 2 ξ ^ c ϕ ^ A ,
ϕ ^ 2 = ϕ ^ A A s ϕ A ^ ,
where ξ ^ c can be calculated using Equation (13), and ϕ ^ A A s A ^ A s . The parameter ξ is estimated using the MLE by maximizing the log-likelihood function p ( y ˜ ; ξ ) [13]:
log ( p ( y ˜ ; ξ ) ) = N log ( π N 0 ) 1 N 0 n = 0 L P 1 | y ˜ [ n ] x ˜ m [ n ] | 2
where x ˜ m [ n ] is calculated from the signal model (10):
x ˜ m [ n ] = A ^ 1 + A ^ s m [ n ] e j ϕ ^ 2 e j ( 2 π ξ n ϕ ^ 1 ) ,
and A ^ A s ^ = | A ^ A s | . The MLE of the parameter ξ is equivalent to the minimization of the following expression:
ξ ^ ML = arg min ξ n = 0 L P 1 | y ˜ [ n ] x ˜ m [ n ] | 2 .
The initial estimate of the parameter ξ can be taken as ξ ^ c , calculated using (13). After estimating the parameter ξ , phase correction is performed using expression (14).
Similarly to the proposed method, the vectors s 0 and s 1 are calculated from the corresponding preamble samples; that is,
s 0 = [ s B ¯ , s B ] T , s 1 = [ s B , s B ¯ ] T ,
where
s B ¯ = 1 | I 0 , B ¯ | + | I 1 , B ¯ | n : n I 0 , B ¯ y ˜ c [ n ] e j ϕ ^ [ n ] + n : n I 1 , B ¯ y ˜ c [ n ] e j ϕ ^ [ n ] ,
s B = 1 | I 0 , B | + | I 1 , B | n : n I 0 , B y ˜ c [ n ] e j ϕ ^ [ n ] + n : n I 1 , B y ˜ c [ n ] e j ϕ ^ [ n ] ,
and ϕ ^ [ n ] is calculated using the following expression:
ϕ ^ [ n ] = 1 N b k = n / N b · N b n / N b · N b + N b 1 ϕ y ˜ c [ k ] .
Phase ϕ ^ [ · ] represents the averaging of sample phases on a symbol-by-symbol basis. In an equivalent manner, the vector y = [ y F , y S ] T is calculated from the received signal samples corresponding to the symbol being decoded, where:
y F = 2 N b n = 0 N b / 2 1 y ˜ c [ n ] e j ϕ ^ , y S = 2 N b n = N b / 2 N b 1 y ˜ c [ n ] e j ϕ ^
where:
ϕ ^ = 1 N b n = 0 N b 1 ϕ y ˜ c [ n ] .
The decision on the received symbol follows from:
y s 0 1 0 y s 1 .

3.2. On Equivalence Between the Analyzed System and Orthogonal FSK

The probability of error in the receiver, in the case of the AWGN channel, can be calculated by using the Euclidean distance between the vectors that represent the symbols “0” and “1” [15]:
p e = Q x ˜ 1 x ˜ 0 2 N 0 ,
where x ˜ 0 and x ˜ 1 denote the vectors of the received signal samples y ˜ [ n ] in the case of ideal reception without noise, when the transmitter sends “1” and “0”, respectively. The probability of error depends on the distance between the points in the constellation diagram when the tag reflects the signal and when it does not; that is, according to Figure 3, on the value of A A s . Since the distance does not depend on phases ϕ 1 and ϕ 2 , nor on CFO, for the sake of computational simplicity and without loss of generality, one can assume ϕ 1 = ϕ 2 = ξ = 0 . Then, it follows:
x ˜ 1 x ˜ 0 = A A s n = 0 N b 1 | m 1 [ n ] m 0 [ n ] | 2 1 2 = A A s N b .
Energy per bit follows from Equations (11) and (12), taking into account Equation (10):
E b = 1 2 A 2 A s 2 n = 0 N b 1 | m 0 [ n ] | 2 + | m 1 [ n ] | 2 = 1 2 A 2 A s 2 N b .
Probability of error follows from (43), (44), and (45):
p e = Q E b N 0 .
The obtained expression is equivalent to the probability of error for a coherently decoded orthogonal FSK modulation [16].

4. Numerical Results and Discussion

Section 4 presents the performance of the proposed method. The simulations were carried out using Monte Carlo simulations in MATLAB. For each operating point, the channel delays τ 1 , τ 2 , and τ 3 were drawn independently from uniform distributions to emulate random propagation paths. Specifically, τ 1 , τ 2 , and τ 3 were chosen uniformly from the interval [ 0 , T d ] . Packets of N = 100 data bits were transmitted repeatedly under independent noise realizations and random delays until the cumulative number of bit errors exceeded 2000. The bit error rate at each SNR and parameter setting was then computed as the ratio of bit errors to total transmitted bits over these runs. For the MLE baseline described in Section 3.1, the CFO parameter ξ was obtained via direct numerical minimization of (35) using MATLAB’s fminsearch (Nelder–Mead), initialized at the coarse estimate ξ ^ c and constrained to [ ξ m , ξ m ] by clipping during evaluation.
Figure 5 presents the bit error rate (BER) performance of the proposed detection method as a function of the preamble length, L P . The results are presented for E b / N 0 = 9 dB and 12 dB, at different values of the parameters ξ and Γ = 20 log ( A / A A s ) . The parameter ξ is introduced to generalize the results, as the signal model in the baseband domain includes the frequency offset and sampling period appearing as a product according to Equation (10). The parameter ξ is modeled as a random variable with a uniform distribution in the range from ξ m to ξ m . This modeling approach makes the simulation results more realistic, as the frequency offset of the local oscillator in an SDR receiver is independent of the frequency of the local oscillator in the transmitter and can thus be modeled as a random variable. A larger ξ m value indicates a greater nominal frequency offset of the receiver’s local oscillator relative to that of the transmitter, which is characteristic of receivers with lower precision in generating a stable cosine signal. The parameter Γ represents the relative proportion of the signal magnitude reflected by the tag to the magnitude of the directly received signal generated by the carrier transmitter in dB at the receiver location. A lower value of the parameter Γ refers to a situation where the tag is much closer to the receiver than to the carrier emitter. In all simulations, the length of the data sequence is N = 100 bits, and N b = 20 . The same figure also shows the theoretical bound for the FSK system at E b / N 0 = 9 and 12 dB, respectively. The theoretical bound is corrected for the energy loss that occurs due to the transmission of the preamble of length L P , i.e., E b = E c ( N + L P ) / N , where E c denotes the energy per channel use [17]. Since channel coding was not applied, the corrected curve represents the lower limit that can be achieved. The simulation results show that for different values of the parameters ξ and Γ , there is no need for a preamble longer than six symbols, as no significant reduction in the error probability is achieved. For this reason, in all simulations, L P = 6 . It is also important to emphasize that a shorter preamble allows for the transmission of longer data sequences, considering that the tag is powered by the received signal and has limited energy storage capacity required for its operation.
In practical BBCS deployments, the ratio of the direct carrier amplitude to the backscattered signal amplitude can vary widely. We characterize this ratio by the parameter Γ = 20 log ( A / A A s ) : larger Γ values correspond to weaker backscattering relative to the direct path (for example, 15 dB means the backscattered signal is roughly 15 dB below the direct signal). Conversely, Γ = 0 implies equal magnitudes, while negative Γ would indicate unrealistically strong backscattering. Our simulations therefore explore Γ values of 5–15 dB to model typical scenarios ranging from moderately weak to very weak backscatter. A higher Γ naturally leads to larger BERs for all detection schemes, but, as the results will show, the proposed method still maintains an advantage in this regime.
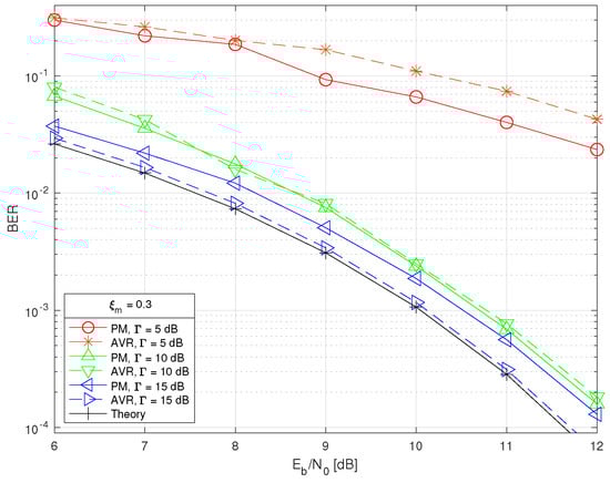
Figure 6, Figure 7 and Figure 8 show the dependence of BER on the E b / N 0 ratio in dB for different values of the parameters ξ and Γ . The label PM refers to the proposed method, while AVR denotes detection performance of the detector described in Section 3.1. Two conclusions can be drawn from the presented figures.
At lower values of the parameter Γ , the BER is significantly worse compared to when Γ is higher. This is expected, given that the values of the received signal are such that they are closer to the origin in the constellation diagram, and due to the rotation caused by CFO and the effect of Gaussian noise, the estimation of parameters required for detection becomes more challenging.
The proposed algorithm shows better results for higher values of the parameter ξ , while for lower values, it exhibits slightly worse performance compared to the situation where it is not applied. For lower values of the parameter ξ , there is no need to apply the algorithm for fine phase correction, as even without the correction, the BER achieved is very close to the theoretical limit.
Figure 9, Figure 10 and Figure 11 show the dependence of BER on the parameter ξ for different values of the parameter Γ at E b / N 0 = 8 , 10, and 12 dB. The presented results show that the proposed algorithm for fine CFO correction (PM) performs better compared to the algorithm that does not account for fine CFO correction (AVR) when ξ exceeds a certain threshold value, which depends on the values of E b / N 0 and Γ . It can also be observed that the threshold value of the parameter ξ depends on the parameter Γ . The threshold value of the parameter ξ varies from 0.25 when Γ = 5 dB to 0.4 when Γ = 15 dB. A higher value of the parameter ξ corresponds to a situation with a larger CFO, which is characteristic of lower-cost receivers. Additionally, for a given value of the parameter Γ , the performance of the proposed algorithm also depends on the E b / N 0 ratio. At lower E b / N 0 values, the threshold value of the parameter ξ is smaller. From the presented simulation results, it can be concluded that the probability of decoding errors can be reduced by applying additional phase compensation, rather than relying solely on the estimation of the parameter ξ from the preamble. This is especially true for higher values of the parameter ξ m , i.e., for larger CFO.
For example, at a normalized CFO of ξ = 0.3 and amplitude ratio Γ = 10 dB, the bit error rate (BER) at E b / N 0 = 10 dB is approximately 0.02 for the MLE-only baseline. The proposed method reduces this to about 0.005 , representing a fourfold improvement. Similarly, at ξ = 0.3 and Γ = 15 dB with E b / N 0 = 8 dB, the BER improves from roughly 5 × 10 2 (MLE-only) to about 1 × 10 2 (proposed scheme). These results illustrate the clear advantage of incorporating fine CFO correction after the coarse estimate. We also clarify that ξ 0.3 corresponds to typical frequency offsets in the tens of kilohertz range for sampling intervals around 1 µs, which are representative of low-cost software-defined radio (SDR) platforms.
Figure 12 shows a comparison of the estimation error variance of the parameter ξ , calculated using Equations (13) and (35), for different values of the parameters Γ and ξ m .
σ ξ 2 = E ( ξ ^ c / ML ξ ) 2 ,
where E denotes expectation. From the presented results, it can be concluded that the estimation of the parameter ξ using Expression (35) is not better than the simple estimation obtained using expression (13), except in the case when Γ = 15 dB and ξ m = 0.1 . It can be concluded that for higher values of ξ m and lower values of Γ , the estimation of the parameter ξ cannot be improved compared to the simple estimation using Equation (13). For this reason, the proposed algorithm provides better performance at higher CFO values and lower Γ , since it performs additional CFO correction, as the estimation of the parameter ξ from the preamble is not sufficiently accurate.

5. Conclusions

This paper presents a method for coherent signal detection in a BBCS communication system. The proposed method includes a coarse CFO estimation from the signal preamble, followed by additional fine phase correction during the detection of each symbol. Simulation results have shown that a preamble length of just six symbols is sufficient to establish coarse synchronization. This enables the transmission of longer data sequences, which is crucial in passive RFID systems where the tag is powered by energy harvested from the received signal. This paper demonstrates that improving the CFO estimation by minimizing the norm of the difference between the received signal samples and the samples computed using the model, after estimating the parameters from the preamble, does not contribute to reducing the BER. The proposed algorithm outperforms the one that estimates the CFO from the preamble using MLE in scenarios with larger CFO, i.e., considerable frequency deviation of the receiver’s local oscillator relative to the transmitter’s, which is typical for low-cost receivers. In such situations, the proposed algorithm can achieve significantly better performance. Given that the performance of the proposed algorithm depends on the parameter ξ , a compromise solution can be achieved by combining both algorithms. This can be done by using the parameter ξ as a criterion for algorithm selection, since it can be estimated at the receiver. Additionally, the proposed method does not require a separate estimation of the communication channel parameters.
A notable advantage of the proposed approach is its modest computational complexity: after coarse CFO estimation, the fine correction stage involves only scalar averaging and Euclidean distance calculations per symbol. These operations are significantly less demanding than FFT-based periodogram searches or high-resolution MLE grid searches; therefore, the algorithm is readily implementable on low-cost software-defined radios with limited processing power.
We emphasize that the present analysis assumes perfect symbol synchronization and a simple AWGN channel. In real deployments, residual timing errors and channel distortions (e.g., multipath fading) may accompany the CFO and affect performance. Extending the proposed detector to jointly estimate timing offsets and CFO, or to incorporate robust preamble-based synchronization and more general channel models, remains an important direction for future work. Furthermore, while our scheme relies on Manchester coding, the same principles can be extended to other line codes by appropriately redefining the preamble averaging.

Author Contributions

Conceptualization, J.R.; methodology, J.R.; software, J.R.; validation, T.P. and J.R.; formal analysis, J.R.; investigation, J.R. and T.P.; resources, T.P.; data curation, T.P. and J.R.; writing—original draft preparation, J.R.; visualization, J.R.; supervision, T.P.; project administration, T.P.; funding acquisition, T.P. All authors have read and agreed to the published version of the manuscript.

Funding

This paper was supported by the “Fact-checking in the specialised fields of energy and computing” project, funded by the National Recovery and Resilience Plan of the Republic of Croatia: NPOO C1.1.1. R6-I2.

Institutional Review Board Statement

Not applicable.

Informed Consent Statement

Not applicable.

Data Availability Statement

The original contributions presented in this study are included in the article. Further inquiries can be directed to the corresponding author(s).

Conflicts of Interest

The authors declare no conflicts of interest.

References

  1. Zhang, Q.; Zhang, L.; Liang, Y.; Kam, P. Backscatter-NOMA: A Symbiotic System of Cellular and Internet-of-Things Networks. IEEE Access 2019, 7, 20000–20013. [Google Scholar] [CrossRef]
  2. Van Huynh, N.; Hoang, D.T.; Lu, X.; Niyato, D.; Wang, P.; Kim, D.I. Ambient Backscatter Communications: A Contemporary Survey. IEEE Commun. Surv. Tutor. 2018, 20, 2889–2922. [Google Scholar] [CrossRef]
  3. Zhao, W.; Wang, G.; Fan, R.; Fan, L.; Atapattu, S. Ambient Backscatter Communication Systems: Capacity and Outage Performance Analysis. IEEE Access 2018, 6, 22695–22704. [Google Scholar] [CrossRef]
  4. Chen, C.; Wang, G.; Fan, L.; Verde, F.; Guan, H. Detection of Ambient Backscatter Signals from Multiple-Antenna Tags. In Proceedings of the 2018 IEEE 19th International Workshop on Signal Processing Advances in Wireless Communications (SPAWC), Kalamata, Greece, 25–28 June 2018; pp. 1–5. [Google Scholar] [CrossRef]
  5. Peng, Y.; He, S.; Zhang, Y.; Xiao, L.; Jiang, T. Toward Software-Defined Backscatter Modulation via Signal Emulation. IEEE Trans. Wirel. Commun. 2024, 23, 14836–14847. [Google Scholar] [CrossRef]
  6. Kimionis, J.; Bletsas, A.; Sahalos, J.N. Increased Range Bistatic Scatter Radio. IEEE Trans. Commun. 2014, 62, 1091–1104. [Google Scholar] [CrossRef]
  7. Fasarakis-Hilliard, N.; Alevizos, P.N.; Bletsas, A. Coherent Detection and Channel Coding for Bistatic Scatter Radio Sensor Networking. IEEE Trans. Commun. 2015, 63, 1798–1810. [Google Scholar] [CrossRef]
  8. Shen, Z.; Athalye, A.; Djurić, P.M. Phase Cancellation in Backscatter-Based Tag-to-Tag Communication Systems. IEEE Internet Things J. 2016, 3, 959–970. [Google Scholar] [CrossRef]
  9. Bletsas, A.; Kimionis, J.; Dimitriou, A.G.; Karystinos, G.N. Single-Antenna Coherent Detection of Collided FM0 RFID Signals. IEEE Trans. Commun. 2012, 60, 756–766. [Google Scholar] [CrossRef]
  10. Kargas, N.; Mavromatis, F.; Bletsas, A. Fully-Coherent Reader with Commodity SDR for Gen2 FM0 and Computational RFID. IEEE Wirel. Commun. Lett. 2015, 4, 617–620. [Google Scholar] [CrossRef]
  11. Vannucci, G.; Bletsas, A.; Leigh, D. A Software-Defined Radio System for Backscatter Sensor Networks. IEEE Trans. Wirel. Commun. 2008, 7, 2170–2179. [Google Scholar] [CrossRef]
  12. Keehr, E.A.; Lasser, G. Making a Low-Cost Software-Defined UHF RFID Reader. IEEE Microw. Mag. 2021, 22, 25–45. [Google Scholar] [CrossRef]
  13. Kay, S.M. Fundamentals of Statistical Signal Processing: Estimation Theory; Prentice Hall: Upper Saddle River, NJ, USA, 1997. [Google Scholar]
  14. Quinn, B.G.; McKilliam, R.G.; Clarkson, I.V.L. Maximizing the Periodogram. In Proceedings of the IEEE GLOBECOM 2008—2008 IEEE Global Telecommunications Conference, New Orleans, LA, USA, 30 Novermber–4 December 2008; pp. 1–5. [Google Scholar] [CrossRef]
  15. Viterbi, A.J.; Omura, J.K. Principles of Digital Communication and Coding; McGraw-Hill: Columbus, OH, USA, 1979. [Google Scholar]
  16. Ziemer, R.; Tranter, W. Principles of Communications: Systems, Modulation, and Noise; Wiley: Hoboken, NJ, USA, 2002. [Google Scholar]
  17. Martinez, A. Coding and modulation for the additive exponential noise channel. In Proceedings of the 2008 IEEE International Symposium on Information Theory, Toronto, ON, Canada, 7–12 July 2008; pp. 2322–2326. [Google Scholar] [CrossRef]
Figure 1. Block scheme of the bistatic backscatter communication system.
Figure 1. Block scheme of the bistatic backscatter communication system.
Electronics 14 03262 g001
Figure 2. Block scheme of an SDR receiver.
Figure 2. Block scheme of an SDR receiver.
Electronics 14 03262 g002
Figure 3. Samples of the received signal y ˜ [ n ] for two successive binary symbols “0” and “1” shown in the constellation diagram.
Figure 3. Samples of the received signal y ˜ [ n ] for two successive binary symbols “0” and “1” shown in the constellation diagram.
Electronics 14 03262 g003
Figure 4. Illustration of the calculation of vectors s 0 (left) and s 1 (right) from the samples of the received signal y ˜ c [ n ] .
Figure 4. Illustration of the calculation of vectors s 0 (left) and s 1 (right) from the samples of the received signal y ˜ c [ n ] .
Electronics 14 03262 g004
Figure 5. BER performance of the proposed detection scheme as a function of the preamble length L P .
Figure 5. BER performance of the proposed detection scheme as a function of the preamble length L P .
Electronics 14 03262 g005
Figure 6. The dependence of BER on E b / N 0 for ξ = 0.1 .
Figure 6. The dependence of BER on E b / N 0 for ξ = 0.1 .
Electronics 14 03262 g006
Figure 7. The dependence of BER on E b / N 0 for ξ = 0.3 .
Figure 7. The dependence of BER on E b / N 0 for ξ = 0.3 .
Electronics 14 03262 g007
Figure 8. The dependence of BER on E b / N 0 for ξ = 0.5 .
Figure 8. The dependence of BER on E b / N 0 for ξ = 0.5 .
Electronics 14 03262 g008
Figure 9. The dependence of BER on E b / N 0 for Γ = 5 dB.
Figure 9. The dependence of BER on E b / N 0 for Γ = 5 dB.
Electronics 14 03262 g009
Figure 10. The dependence of BER on E b / N 0 for Γ = 10 dB.
Figure 10. The dependence of BER on E b / N 0 for Γ = 10 dB.
Electronics 14 03262 g010
Figure 11. The dependence of BER on E b / N 0 for Γ = 15 dB.
Figure 11. The dependence of BER on E b / N 0 for Γ = 15 dB.
Electronics 14 03262 g011
Figure 12. Comparison of the estimation error variance of the parameter ξ calculated using Equation (13)— ξ c and Equation (35)— ξ ML .
Figure 12. Comparison of the estimation error variance of the parameter ξ calculated using Equation (13)— ξ c and Equation (35)— ξ ML .
Electronics 14 03262 g012
Disclaimer/Publisher’s Note: The statements, opinions and data contained in all publications are solely those of the individual author(s) and contributor(s) and not of MDPI and/or the editor(s). MDPI and/or the editor(s) disclaim responsibility for any injury to people or property resulting from any ideas, methods, instructions or products referred to in the content.

Share and Cite

MDPI and ACS Style

Radić, J.; Perković, T. Coherent Detection in Bistatic Backscatter Communication Systems. Electronics 2025, 14, 3262. https://doi.org/10.3390/electronics14163262

AMA Style

Radić J, Perković T. Coherent Detection in Bistatic Backscatter Communication Systems. Electronics. 2025; 14(16):3262. https://doi.org/10.3390/electronics14163262

Chicago/Turabian Style

Radić, Joško, and Toni Perković. 2025. "Coherent Detection in Bistatic Backscatter Communication Systems" Electronics 14, no. 16: 3262. https://doi.org/10.3390/electronics14163262

APA Style

Radić, J., & Perković, T. (2025). Coherent Detection in Bistatic Backscatter Communication Systems. Electronics, 14(16), 3262. https://doi.org/10.3390/electronics14163262

Note that from the first issue of 2016, this journal uses article numbers instead of page numbers. See further details here.

Article Metrics

Back to TopTop