FIR: Achieving High Throughput and Fast Recovery in a Non-Volatile Memory Online Transaction Processing Engine
Abstract
1. Introduction
- We analyze the impact of placing the index in DRAM or NVM on the NVM OLTP Engine through experiments.
- We propose a mechanism for the fast recovery of the DRAM index in the NVM OLTP Engine. Additionally, we implement FIR, an NVM OLTP Engine that can maintain a high throughput and recovery speed.
- The experimental results demonstrate that FIR achieves 98% of the performance of the best OLTP Engine when running TPCC and YCSB, and the recovery speed of FIR is 43.6×–54.5× faster, achieving near-instant recovery.
2. Background and Motivation
2.1. Data Persistence and Recovery in OLTP Engines
2.2. The Designs of NVM OLTP Engines
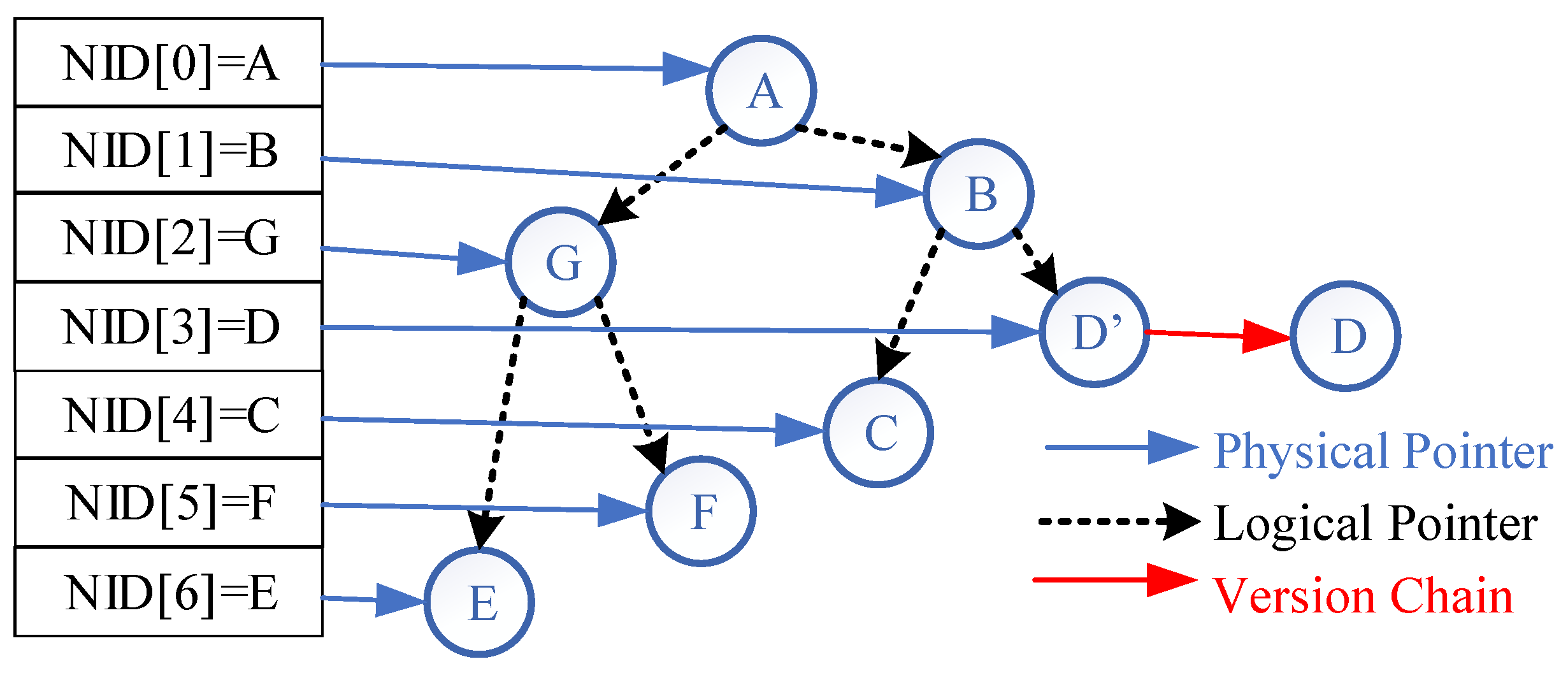
2.3. Index Checkpoint
2.4. Challenge
3. Related Work
3.1. OLTP Engines for NVM
3.2. Index Checkpoint for DRAM-Based Engine
3.3. Recovery with NVM
4. FIR Design
4.1. Time-Ordered Storage
4.2. Transaction Processing
4.2.1. Transaction Lifetime
| Algorithm 1: Persist Function |
![]() |
4.2.2. Support for Long Transactions
4.3. Index Leaf Checkpoint with Time Cost Model
4.3.1. Incremental Index Leaf Checkpoint
| Algorithm 2: Incremental Checkpoint Functions |
![]() |
4.3.2. Consistency Handling During Checkpointing
- Committed Insert and Update Operations:For the version data generated by committed insert and update operations, the corresponding items are already included in the index. We choose to write these items directly into the index checkpoint. This does not impact the final recovery results, as during the system’s redo process, the index items corresponding to the committed tuples are exactly what we need.
- Committed Delete Operations: For committed delete operations, since the items in the index nodes have already been removed or marked as deleted, the system will directly skip them during the index checkpointing process. As these delete operations have already been committed, this will not affect the consistency of the final recovery.
- Uncommitted Insert and Update Operations: For uncommitted insert and update operations, when the checkpoint thread encounters index items generated by these operations, it accesses the corresponding version’s tuple_header through the item. If tuple_header.end_ts < MAX, it indicates that the transaction generating the tuple version has not yet been committed. In such cases, the thread traces the version chain to find the last committed version of the tuple and writes it to the checkpoint, ensuring consistency.
- Uncommitted Delete Operations: For uncommitted delete operations, the corresponding index items are not deleted but are marked as pending deletion. The checkpoint thread can still locate the corresponding tuple version through the index item and trace it back to its last committed version, ensuring consistency.
4.3.3. Time Cost Model
4.4. Recovery
4.4.1. Undo/Redo Transactions Without Scanning Entire Content Data
4.4.2. Rebuild Indexes with Index Leaf Checkpoint
4.5. Garbage Collection (GC)
5. Evaluation
5.1. Experimental Setup
5.2. Transaction Performance
5.2.1. TPCC Experiments
5.2.2. YCSB Experiments
5.2.3. Comparison to the NVM Index
5.3. Recovery Performance
5.4. Index Checkpoint Performance
5.4.1. Checkpoint Speed
5.4.2. Checkpoint Scale
5.4.3. The Impact of Checkpoints on Runtime Performance
6. Discussion
7. Conclusions
Author Contributions
Funding
Data Availability Statement
Conflicts of Interest
References
- Chen, J.; Jindel, S.; Walzer, R.; Sen, R.; Jimsheleishvilli, N.; Andrews, M. The MemSQL Query Optimizer: A modern optimizer for real-time analytics in a distributed database. Proc. VLDB Endow. 2016, 9, 1401–1412. [Google Scholar] [CrossRef]
- Diaconu, C.; Freedman, C.; Ismert, E.; Larson, P.A.; Mittal, P.; Stonecipher, R.; Zwilling, M. Hekaton: SQL server’s memory-optimized OLTP Engine. In Proceedings of the 2013 ACM SIGMOD International Conference on Management of Data, New York, NY, USA, 22–27 June 2013; pp. 1243–1254. [Google Scholar]
- Stonebraker, M.; Weisberg, A. The VoltDB Main Memory DBMS. IEEE Data Eng. Bull. 2013, 36, 21–27. [Google Scholar]
- Funke, F.; Kemper, A.; Mühlbauer, T.; Neumann, T.; Leis, V. Hyper beyond software: Exploiting modern hardware for main-memory database systems. Datenbank-Spektrum 2014, 14, 173–181. [Google Scholar] [CrossRef]
- Lahiri, T.; Neimat, M.A.; Folkman, S. Oracle TimesTen: An In-Memory Database for Enterprise Applications. IEEE Data Eng. Bull. 2013, 36, 6–13. [Google Scholar]
- Faerber, F.; Kemper, A.; Larson, P.A.; Levandoski, J.; Neumann, T.; Pavlo, A. Main memory database systems. Found. Trends Databases 2017, 8, 1–130. [Google Scholar] [CrossRef]
- Larson, P.A.; Levandoski, J. Modern main-memory database systems. Proc. VLDB Endow. 2016, 9, 1609–1610. [Google Scholar] [CrossRef]
- Intel Optane DC Persistent Memory Architecture and Technology. Available online: https://www.intel.com/content/www/us/en/architecture-and-technology/optane-dc-persistent-memory.html (accessed on 23 January 2023).
- Akram, S. Exploiting Intel Optane Persistent Memory for Full Text Search. In Proceedings of the 2021 ACM SIGPLAN International Symposium on Memory Management, Virtual, 22 June 2021; pp. 80–93. [Google Scholar]
- Huang, J.; Schwan, K.; Qureshi, M.K. NVRAM-aware logging in transaction systems. Proc. VLDB Endow. 2014, 8, 389–400. [Google Scholar] [CrossRef]
- Kimura, H. FOEDUS: OLTP Engine for a thousand cores and NVRAM. In Proceedings of the 2015 ACM SIGMOD International Conference on Management of Data, Melbourne, VIC, Australia, 31 May–4 June 2015; pp. 691–706. [Google Scholar]
- Arulraj, J.; Perron, M.; Pavlo, A. Write-behind logging. Proc. VLDB Endow. 2016, 10, 337–348. [Google Scholar] [CrossRef]
- Liu, G.; Chen, L.; Chen, S. Zen: A high-throughput log-free OLTP Engine for non-volatile main memory. Proc. VLDB Endow. 2021, 14, 835–848. [Google Scholar] [CrossRef]
- Schwalb, D.; BK, G.K.; Dreseler, M.; Faust, M.; Hohl, A.; Berning, T.; Makkar, G.; Plattner, H.; Deshmukh, P. Hyrise-NV: Instant recovery for in-memory databases using non-volatile memory. In Proceedings of the Database Systems for Advanced Applications: 21st International Conference, DASFAA 2016, Dallas, TX, USA, 16–19 April 2016; Proceedings, Part II. Springer International Publishing: Berlin/Heidelberg, Germany, 2016; pp. 267–282. [Google Scholar]
- Ji, Z.; Chen, K.; Wang, L.; Zhang, M.; Wu, Y. Falcon: Fast OLTP Engine for Persistent Cache and Non-Volatile Memory. In Proceedings of the 29th Symposium on Operating Systems Principles, Koblenz, Germany, 23–26 October 2023; pp. 531–544. [Google Scholar]
- Condit, J.; Nightingale, E.B.; Frost, C.; Ipek, E.; Lee, B.; Burger, D.; Coetzee, D. Better I/O Through Byte-Addressable, Persistent Memory. In Proceedings of the ACM SIGOPS 22nd Symposium on Operating Systems Principles; ACM: New York, NY, USA, 2009; pp. 133–146. [Google Scholar]
- Jacob, B.; Wang, D.; Ng, S. Memory Systems: Cache, DRAM, Disk; Morgan Kaufmann: Burlington, MA, USA, 2010. [Google Scholar]
- Atkinson, A.B. Measuring Inequality; Oxford University Press: Oxford, UK, 2015. [Google Scholar]
- Le Gallo, M.; Sebastian, A. An overview of phase-change memory device physics. J. Phys. Appl. Phys. 2020, 53, 213002. [Google Scholar] [CrossRef]
- Hu, D.; Chen, Z.; Wu, J.; Sun, J.; Chen, H. Persistent memory hash indexes: An experimental evaluation. Proc. VLDB Endow. 2021, 14, 785–798. [Google Scholar] [CrossRef]
- Zhang, B.; Zheng, S.; Qi, Z.; Huang, L. NBTree: A Lock-free PM-friendly Persistent B+-Tree for eADR-enabled PM Systems. Proc. VLDB Endow. 2022, 15, 1187–1200. [Google Scholar] [CrossRef]
- Lersch, L.; Hao, X.; Oukid, I.; Wang, T.; Willhalm, T. Evaluating persistent memory range indexes. Proc. VLDB Endow. 2019, 13, 574–587. [Google Scholar] [CrossRef]
- Ma, S.; Chen, K.; Chen, S.; Liu, M.; Zhu, J.; Kang, H.; Wu, Y. ROART: Range-query optimized persistent ART. In Proceedings of the 19th USENIX Conference on File and Storage Technologies (FAST 21), Virtual Event, 23–25 February 2021; pp. 1–16. [Google Scholar]
- Chen, S.; Jin, Q. Persistent b+-trees in non-volatile main memory. Proc. VLDB Endow. 2015, 8, 786–797. [Google Scholar] [CrossRef]
- Hassan, A.; Vandierendonck, H.; Nikolopoulos, D.S. Energy-efficient in-memory data stores on hybrid memory hierarchies. In Proceedings of the 11th International Workshop on Data Management on New Hardware, Melbourne, VIC, Australia, 31 May–4 June 2015; pp. 1–8. [Google Scholar]
- Kim, H.; Seshadri, S.; Dickey, C.L.; Chiu, L. Evaluating phase change memory for enterprise storage systems: A study of caching and tiering approaches. ACM Trans. Storage (TOS) 2014, 10, 1–21. [Google Scholar] [CrossRef]
- Meza, J.; Luo, Y.; Khan, S.; Zhao, J.; Xie, Y.; Mutlu, O. A Case for Efficient Hardware/Software Cooperative Management of Storage and Memory. 2013. [Google Scholar]
- Izraelevitz, J.; Kelly, T.; Kolli, A. Failure-atomic persistent memory updates via JUSTDO logging. ACM Sigarch Comput. Archit. News 2016, 44, 427–442. [Google Scholar] [CrossRef]
- Arulraj, J.; Pavlo, A.; Dulloor, S.R. Let’s talk about storage & recovery methods for non-volatile memory database systems. In Proceedings of the 2015 ACM SIGMOD International Conference on Management of Data, Melbourne, VIC, Australia, 31 May–4 June 2015; pp. 707–722. [Google Scholar]
- Agrawal, R.; Jagadish, H.V. Recovery algorithms for database machines with non-volatile main memory. In Proceedings of the International Workshop on Database Machines, Berlin/Heidelberg, Germany, 19–24 June 1989; pp. 269–285. [Google Scholar]
- Pelley, S.; Wenisch, T.F.; Gold, B.T.; Bridge, B. Storage management in the NVRAM era. Proc. VLDB Endow. 2013, 7, 121–132. [Google Scholar] [CrossRef]
- Gao, S.; Xu, J.; He, B.; Choi, B.; Hu, H. PCMLogging: Reducing transaction logging overhead with PCM. In Proceedings of the 20th ACM International Conference on Information and Knowledge Management, Glasgow Scotland, UK, 24–28 October 2011; pp. 2401–2404. [Google Scholar]
- Oukid, I.; Booss, D.; Lehner, W.; Bumbulis, P.; Willhalm, T. SOFORT: A hybrid SCM-DRAM storage engine for fast data recovery. In Proceedings of the Tenth International Workshop on Data Management on New Hardware, Snowbird, UT, USA, 23 June 2014; pp. 1–7. [Google Scholar]
- Wang, T.; Johnson, R. Scalable logging through emerging non-volatile memory. Proc. VLDB Endow. 2014, 7, 865–876. [Google Scholar] [CrossRef]
- Mohan, C.; Haderle, D.; Lindsay, B.; Pirahesh, H.; Schwarz, P. ARIES: A transaction recovery method supporting fine-granularity locking and partial rollbacks using write-ahead logging. ACM Trans. Database Syst. (TODS) 1992, 17, 94–162. [Google Scholar] [CrossRef]
- Haerder, T.; Reuter, A. Principles of transaction-oriented database recovery. ACM COmputing Surv. (CSUR) 1983, 15, 287–317. [Google Scholar] [CrossRef]
- Malviya, N.; Weisberg, A.; Madden, S.; Stonebraker, M. Rethinking main memory OLTP recovery. In Proceedings of the 2014 IEEE 30th International Conference on Data Engineering, Chicago, IL, USA, 31 March–4 April 2014; pp. 604–615. [Google Scholar]
- Mohan, C.; Levine, F. ARIES/IM: An efficient and high concurrency index management method using write-ahead logging. ACM Sigmod Rec. 1992, 21, 371–380. [Google Scholar] [CrossRef]
- Graefe, G.; Kuno, H. Definition, detection, and recovery of single-page failures, a fourth class of database failures. arXiv 2012, arXiv:1203.6404. [Google Scholar] [CrossRef]
- Sauer, C.; Graefe, G.; Härder, T. Single-pass restore after a media failure. In Proceedings of the Datenbanksysteme für Business, Technologie und Web (BTW 2015), Hamburg, Germany, 2–3 March 2015. [Google Scholar]
- Graefe, G.; Guy, W.; Sauer, C. Instant Recovery with Write-Ahead Logging; Springer Nature: Berlin/Heidelberg, Germany, 2022. [Google Scholar]
- Sauer, C. Modern Techniques for Transaction-Oriented Database Recovery; Gesellschaft für Informatik: Bonn, Germany, 2019. [Google Scholar]
- Sauer, C.; Graefe, G.; Härder, T. Instant restore after a media failure. In Proceedings of the Advances in Databases and Information Systems: 21st European Conference, ADBIS 2017, Nicosia, Cyprus, 24–27 September 2017; Proceedings 21. Springer International Publishing: Berlin/Heidelberg, Germany, 2017; pp. 311–325. [Google Scholar]
- Gong, C.; Tian, C.; Wang, Z.; Wang, S.; Wang, X.; Fu, Q.; Qin, W.; Qian, L.; Chen, R.; Qi, J.; et al. Tair-PMem: A fully durable non-volatile memory database. Proc. VLDB Endow. 2022, 15, 3346–3358. [Google Scholar] [CrossRef]
- Zhang, M.; Hua, Y. Silo: Speculative Hardware Logging for Atomic Durability in Persistent Memory. In Proceedings of the 2023 IEEE International Symposium on High-Performance Computer Architecture (HPCA), Montreal, QC, Canada, 25 February–1 March 2023; pp. 651–663. [Google Scholar]
- Lee, L.; Xie, S.; Ma, Y.; Chen, S. Index checkpoints for instant recovery in in-memory database systems. Proc. VLDB Endow. 2022, 15, 1671–1683. [Google Scholar] [CrossRef]
- Mao, Y.; Kohler, E.; Morris, R.T. Cache craftiness for fast multicore key–value storage. In Proceedings of the 7th ACM European Conference on Computer Systems, Bern, Switzerland, 10–13 April 2012; pp. 183–196. [Google Scholar]
- Bohannon, P.; Mcllroy, P.; Rastogi, R. Main-memory index structures with fixed-size partial keys. In Proceedings of the 2001 ACM SIGMOD International Conference on Management of Data, Santa Barbara, CA, USA, 21–24 May 2001; pp. 163–174. [Google Scholar]
- Levandoski, J.J.; Lomet, D.B.; Sengupta, S. The Bw-Tree: A B-tree for new hardware platforms. In Proceedings of the 2013 IEEE 29th International Conference on Data Engineering (ICDE), Brisbane, Australia, 8–11 April 2013; pp. 302–313. [Google Scholar]
- Leis, V.; Kemper, A.; Neumann, T. The adaptive radix tree: ARTful indexing for main-memory databases. In Proceedings of the 2013 IEEE 29th International Conference on Data Engineering (ICDE), Brisbane, Australia, 8–11 April 2013; pp. 38–49. [Google Scholar]
- Rao, J.; Ross, K.A. Making B+-trees cache conscious in main memory. In Proceedings of the 2000 ACM SIGMOD International Conference on Management of Data, Dallas, TX, USA, 16–18 May 2000; pp. 475–486. [Google Scholar]
- Dean, J.; Ghemawat, S. MapReduce: Simplified data processing on large clusters. Commun. ACM 2008, 51, 107–113. [Google Scholar] [CrossRef]
- Corporation, I. eADR: New Opportunities for Persistent Memory Applications. 2021. Available online: https://www.intel.com/content/www/us/en/developer/articles/technical/eadr-new-opportunities-for-persistentmemory-applications.html (accessed on 1 November 2023).
- Zheng, W.; Tu, S.; Kohler, E.; Liskov, B. Fast databases with fast durability and recovery through multicore parallelism. In Proceedings of the 11th USENIX Symposium on Operating Systems Design and Implementation (OSDI 14), Broomfield, CO, USA, 6–8 October 2014; pp. 465–477. [Google Scholar]
- Vaz Salles, M.; Cao, T.; Sowell, B.; Demers, A.; Gehrke, J.; Koch, C.; White, W. An evaluation of checkpoint recovery for massively multiplayer online games. Proc. VLDB Endow. 2009, 2, 1258–1269. [Google Scholar] [CrossRef][Green Version]
- Cao, T.; Vaz Salles, M.; Sowell, B.; Demers, A.; Gehrke, J.; Koch, C.; White, W. Fast checkpoint recovery algorithms for frequently consistent applications. In Proceedings of the 2011 ACM SIGMOD International Conference on Management of Data, Athens, Greece, 12–16 June 2011; pp. 265–276. [Google Scholar]
- Kemper, A.; Neumann, T. HyPer: A hybrid OLTP&OLAP main memory database system based on virtual memory snapshots. In Proceedings of the 2011 IEEE 27th International Conference on Data Engineering, Hannover, Germany, 11–16 April 2011; pp. 195–206. [Google Scholar]
- Shin, S.; Tirukkovalluri, S.K.; Tuck, J.; Solihin, Y. Proteus: A flexible and fast software supported hardware logging approach for nvm. In Proceedings of the 50th Annual IEEE/ACM International Symposium on Microarchitecture, Boston, MA, USA, 14–17 October 2017; pp. 178–190. [Google Scholar]
- Cormen, T.H.; Leiserson, C.E.; Rivest, R.L.; Stein, C. Introduction to Algorithms, 3rd ed.; MIT Press: Cambridge, MA, USA, 2009. [Google Scholar]
- Conover, W.J. Practical Nonparametric Statistics; Wiley: New York, NY, USA, 1999. [Google Scholar]
- Knuth, D.E. The Art of Computer Programming, Volume 3: Sorting and Searching; Addison-Wesley: Reading, MA, USA, 1998. [Google Scholar]
- Hellerstein, J.M.; Stonebraker, M. Readings in Database Systems, 5th ed.; MIT Press: Cambridge, MA, USA, 2020. [Google Scholar]
- Yu, X.; Bezerra, G.; Pavlo, A.; Devadas, S.; Stonebraker, M. Staring into the Abyss: An Evaluation of Concurrency Control with One Thousand Cores. Proc. VLDB Endow. 2014, 8, 209–220. [Google Scholar] [CrossRef]
- Cooper, B.F.; Silberstein, A.; Tam, E.; Ramakrishnan, R.; Sears, R. Benchmarking cloud serving systems with YCSB. In Proceedings of the 1st ACM Symposium on Cloud Computing, Indianapolis, IN, USA, 10–11 June 2010; pp. 143–154. [Google Scholar]
- TPC Benchmark, C. Available online: http://www.tpc.org/tpcc/ (accessed on 23 June 2023).
- Slaughter, J.M.; Rizzo, N.D.; Janesky, J.; Whig, R.; Mancoff, F.B.; Houssameddine, D.; Sun, J.J. High density ST-MRAM technology. In Proceedings of the 2012 International Electron Devices Meeting, San Francisco, CA, USA, 10–13 December 2012; pp. 29–33. [Google Scholar]
- Khvalkovskiy, A.V.; Apalkov, D.; Watts, S.; Chepulskii, R.; Beach, R.S.; Ong, A.; Tang, X. Basic principles of STT-MRAM cell operation in memory arrays. J. Phys. Appl. Phys. 2013, 46, 074001. [Google Scholar] [CrossRef]
- Liu, S.H.; Yang, W.L.; Wu, C.C.; Chao, T.S.; Ye, M.R.; Su, Y.Y.; Wang, P.Y.; Tsai, M.J. High-performance polyimide-based ReRAM for nonvolatile memory application. IEEE Electron Device Lett. 2012, 34, 123–125. [Google Scholar] [CrossRef]














| Data Type | Description | Data Structure | Persistence |
|---|---|---|---|
| Content Data | User data and system data stored in tables | Tuple Version Store, etc. | Not necessary |
| Metadata | Internal data used for layout and version management | Tuple Version Header, Block Header, etc. | Not necessary |
| Indexes | Access paths to user data | Hash Index, -Tree, etc. | Not necessary |
| Runtime Data | Temporary Data used when the engine is running | Buffers, Active Transaction Table, etc. | No need |
| Recovery Data | Data used to ensure transaction atomicity and durability | Log Entries, Checkpoint, etc. | Always |
Disclaimer/Publisher’s Note: The statements, opinions and data contained in all publications are solely those of the individual author(s) and contributor(s) and not of MDPI and/or the editor(s). MDPI and/or the editor(s) disclaim responsibility for any injury to people or property resulting from any ideas, methods, instructions or products referred to in the content. |
© 2024 by the authors. Licensee MDPI, Basel, Switzerland. This article is an open access article distributed under the terms and conditions of the Creative Commons Attribution (CC BY) license (https://creativecommons.org/licenses/by/4.0/).
Share and Cite
Wei, J.; Zhang, Q.; Xiang, Y.; Gong, X. FIR: Achieving High Throughput and Fast Recovery in a Non-Volatile Memory Online Transaction Processing Engine. Electronics 2025, 14, 39. https://doi.org/10.3390/electronics14010039
Wei J, Zhang Q, Xiang Y, Gong X. FIR: Achieving High Throughput and Fast Recovery in a Non-Volatile Memory Online Transaction Processing Engine. Electronics. 2025; 14(1):39. https://doi.org/10.3390/electronics14010039
Chicago/Turabian StyleWei, Jianhao, Qian Zhang, Yiwen Xiang, and Xueqing Gong. 2025. "FIR: Achieving High Throughput and Fast Recovery in a Non-Volatile Memory Online Transaction Processing Engine" Electronics 14, no. 1: 39. https://doi.org/10.3390/electronics14010039
APA StyleWei, J., Zhang, Q., Xiang, Y., & Gong, X. (2025). FIR: Achieving High Throughput and Fast Recovery in a Non-Volatile Memory Online Transaction Processing Engine. Electronics, 14(1), 39. https://doi.org/10.3390/electronics14010039



