Unmanned Aerial Vehicle Path Planning Using Acceleration-Based Potential Field Methods
Abstract
1. Introduction
- (1)
- Assumption 1. The shape, positions, velocities, and accelerations of the UAV are known.
- (2)
- Assumption 2. The position Atar, velocity Btar, and the acceleration Ctar of the target are known with |Ctar| < Cmax.
2. Acceleration-Based Attractive Potential Force
3. Attractive Motion Planning Strategy for Unmanned Arial Vehicles
4. Attractive Force Simulation Study
4.1. Parameter Tuning
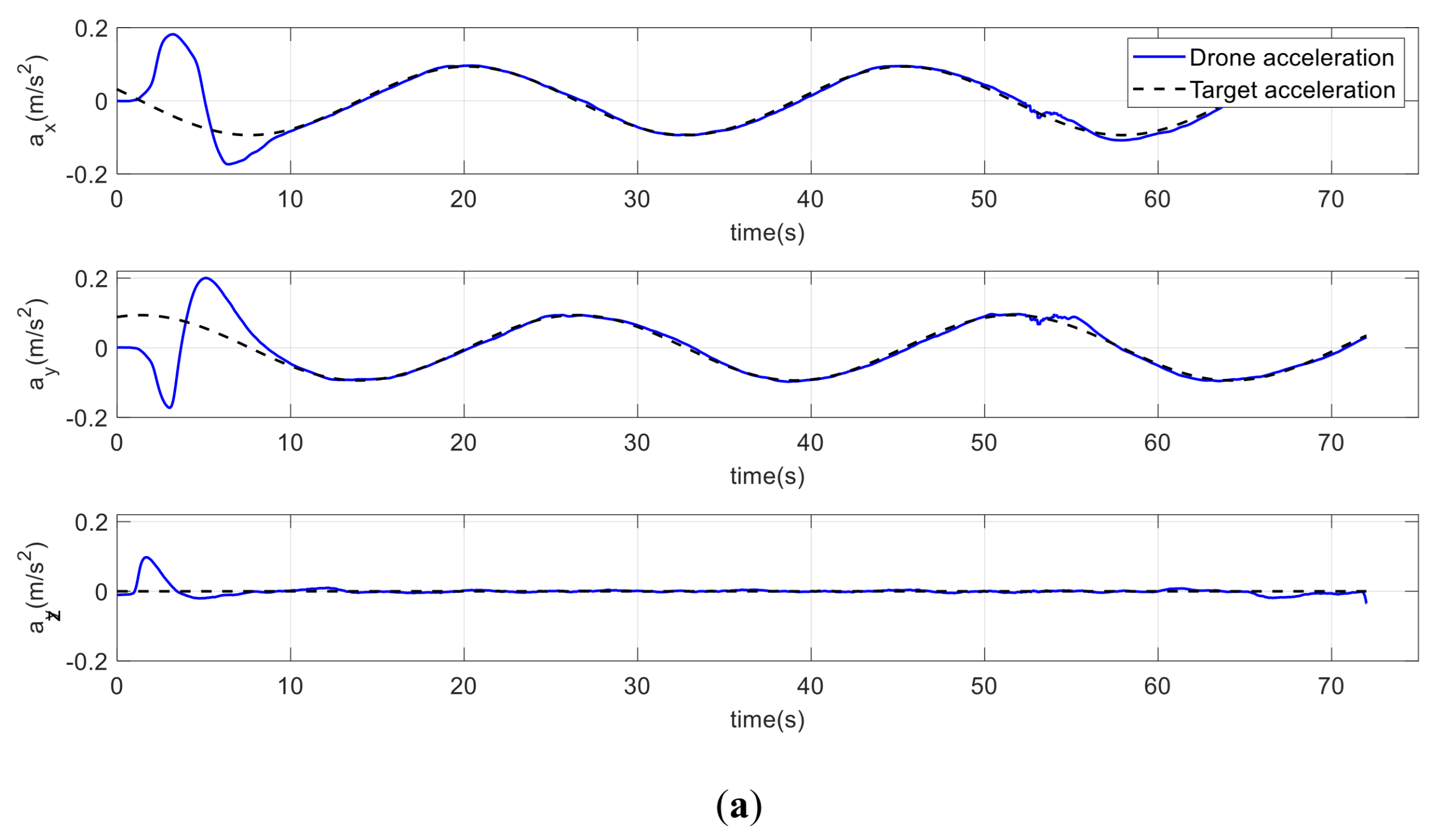
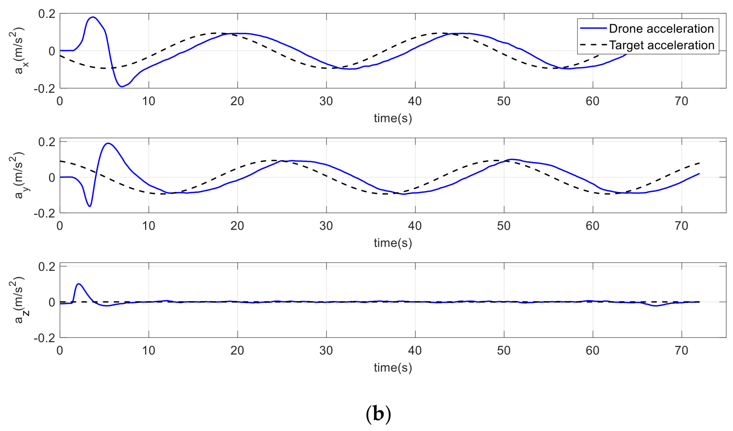
4.2. Performance Study on Different Trajectories
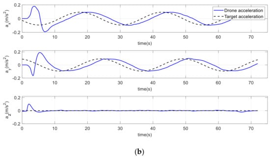
4.3. Performance Study on Edge Cases
5. Experimental Setup and Results
6. Conclusions
Supplementary Materials
Author Contributions
Funding
Data Availability Statement
Acknowledgments
Conflicts of Interest
References
- Hayajneh, M.; Al Mahasneh, A. Guidance, Navigation and Control System for Multi-Robot Network in Monitoring and Inspection Operations. Drones 2022, 6, 332. [Google Scholar] [CrossRef]
- Yang, Y.; Xiong, X.; Yan, Y. UAV Formation Trajectory Planning Algorithms: A Review. Drones 2023, 7, 62. [Google Scholar] [CrossRef]
- Liu, L.; Yao, J.; He, D.; Chen, J.; Huang, J.; Xu, H.; Wang, B.; Guo, J. Global dynamic path planning fusion algorithm combining jump-A* algorithm and dynamic window approach. IEEE Access 2021, 9, 19632–19638. [Google Scholar] [CrossRef]
- Dobrevski, M.; Skočaj, D. Dynamic Adaptive Dynamic Window Approach. IEEE Trans. Robot. 2024, 40, 3068–3081. [Google Scholar] [CrossRef]
- Kobayashi, M.; Motoi, N. Local path planning: Dynamic window approach with virtual manipulators considering dynamic obstacles. IEEE Access 2022, 10, 17018–17029. [Google Scholar] [CrossRef]
- Pengfei, J.; Yu, C.; Aihua, W.; Zhenqian, H.; Yichong, W. Optimal Path Planning for Multi-UAV Based on Pseudo-spectral Method. In Proceedings of the 2020 International Conference on Big Data, Artificial Intelligence and Internet of Things Engineering (ICBAIE), Fuzhou, China, 12–14 June 2020; pp. 417–422. [Google Scholar]
- Li, J.; Xiong, Y.; She, J.; Wu, M. A path planning method for sweep coverage with multiple UAVs. IEEE Internet Things J. 2020, 7, 8967–8978. [Google Scholar] [CrossRef]
- Xia, Q.A.L.S.; Guo, M.; Wang, H.; Zhou, Q.; Zhang, X. Multi-UAV trajectory planning using gradient-based sequence minimal optimization. Robot. Auton. Syst. 2021, 137, 103728. [Google Scholar] [CrossRef]
- Li, S.; Chen, Y.; Yang, Y. Multi-rotor UAV path planning based on Model Predictive Control and Control Barrier Function. In Proceedings of the 36th Chinese Control and Decision Conference (CCDC), Xi’an, China, 25–27 May 2024; pp. 1141–1146. [Google Scholar]
- Wu, W.; Li, J.; Wu, Y.; Ren, X.; Tang, Y. Multi-UAV Adaptive Path Planning in Complex Environment Based on Behavior Tree. In Proceedings of the International Conference on Collaborative Computing: Networking, Applications and Worksharing, Shanghai, China, 16–18 October 2020; pp. 494–505. [Google Scholar]
- Tran, N.Q.H.; Prodan, I.; Grøtli, E.I.; Lefèvre, L. Potential-field constructions in an MPC framework: Application for safe navigation in a variable coastal environment. IFAC-Pap. 2018, 51, 307–312. [Google Scholar] [CrossRef]
- Li, J.; Sun, J.; Liu, L.; Xu, J. Model predictive control for the tracking of autonomous mobile robot combined with a local path planning. Meas. Control. 2021, 54, 1319–1325. [Google Scholar] [CrossRef]
- Chen, X.; Zhang, J. The three-dimension path planning of UAV based on improved artificial potential field in dynamic environment. In Proceedings of the 5th International Conference on Intelligent Human-Machine Systems and Cybernetics, Hangzhou, China, 26–27 August 2013; Volume 2, pp. 144–147. [Google Scholar]
- Chengqing, L.; Ang, M.H.; Krishnan, H.; Yong, L.S. Virtual obstacle concept for local-minimum-recovery in potential-field based navigation. In Proceedings of the IEEE International Conference on Robotics and Automation. Symposia Proceedings, Paris, France, 31 May–31 August 2020; Volume 2, pp. 983–988. [Google Scholar]
- Zou, X.-Y.; Zhu, J. Virtual local target method for avoiding local minimum in potential field based robot navigation. J. Zhejiang Univ. Sci. A 2003, 4, 264–269. [Google Scholar] [CrossRef]
- Garibeh, M.H.; Jaradat, M.A.; Alshorman, A.M.; Hayajneh, M.; Younes, A.B. A real-time fuzzy motion planning system for unmanned aerial vehicles in dynamic 3D environments. Appl. Soft Comput. 2024, 150, 110995. [Google Scholar] [CrossRef]
- Garibeh, M.H.; Alshorman, A.M.; Jaradat, M.A.; Ahmad, B.Y.; Khaleel, M. Motion planning of unmanned aerial vehicles in dynamic 3D space: A potential force approach. Robotica 2022, 40, 3604–3630. [Google Scholar] [CrossRef]
- Yao, P.; Wang, H.; Su, Z. Real-time path planning of unmanned aerial vehicle for target tracking and obstacle avoidance in complex dynamic environment. Aerosp. Sci. Technol. 2015, 47, 269–279. [Google Scholar] [CrossRef]
- Khatib, O. Real-time obstacle avoidance for manipulators and mobile robots. Int. J. Robot. Res. 1986, 5, 90–98. [Google Scholar] [CrossRef]
- Ge, S.S.; Cui, Y.J. Dynamic motion planning for mobile robots using potential field method. Auton. Robot. 2002, 13, 207–222. [Google Scholar] [CrossRef]
- Garibeh, M.H.; Jaradat, M.A.K.; Rawashdeh, N.A. A potential field simulation study for mobile robot path planning in dynamic environments. In Proceedings of the 20th International Conference on Research and Education in Mechatronics (REM), Wels, Austria, 23–24 May 2019; pp. 1–8. [Google Scholar]
- Jayaweera, H.M.; Hanoun, S. A dynamic artificial potential field (D-APF) UAV path planning technique for following ground moving targets. IEEE Access 2020, 8, 192760–192776. [Google Scholar] [CrossRef]
- Hayajneh, M.R.; Badawi, A.R.E. Automatic UAV wireless charging over solar vehicle to enable frequent flight missions. In Proceedings of the 3rd International Conference on Automation, Control and Robots, Prague, Czech Republic, 11–13 October 2019; pp. 44–49. [Google Scholar]
- Yu, W.; Lu, Y. UAV 3D environment obstacle avoidance trajectory planning based on improved artificial potential field method. J. Phys. Conf. Ser. 2021, 1885, 022020. [Google Scholar] [CrossRef]
- Keyu, L.; Yonggen, L.; Yanchi, Z. Dynamic obstacle avoidance path planning of UAV Based on improved APF. In Proceedings of the 5th International Conference on Communication, Image and Signal Processing (CCISP), Chengdu, China, 13–15 November 2020; pp. 159–163. [Google Scholar]
- Jayaweera, H.M.; Hanoun, S. Path planning of unmanned aerial vehicles (UAVs) in windy environments. Drones 2022, 6, 101. [Google Scholar] [CrossRef]
- Thangaraj, M.; Sangam, R.S. Intelligent UAV path planning framework using artificial neural network and artificial potential field. Indones. J. Electr. Eng. Comput. Sci. 2023, 29, 1192. [Google Scholar] [CrossRef]
- Feng, J.; Zhang, J.; Zhang, G.; Xie, S.; Ding, Y.; Liu, Z. UAV dynamic path planning based on obstacle position prediction in an unknown environment. IEEE Access 2021, 9, 154679–154691. [Google Scholar] [CrossRef]
- Du, Y.; Zhang, X.; Nie, Z. A real-time collision avoidance strategy in dynamic airspace based on dynamic artificial potential field algorithm. IEEE Access 2019, 7, 169469–169479. [Google Scholar] [CrossRef]
- BinKai, Q.; Mingqiu, L.; Yang, Y.; XiYang, W. Research on UAV path planning obstacle avoidance algorithm based on improved artificial potential field method. J. Phys. Conf. Ser. 2021, 1948, 012060. [Google Scholar] [CrossRef]
- Ortner, R.; Kurmi, I.; Bimber, O. Acceleration-aware path planning with waypoints. Drones 2021, 5, 143. [Google Scholar] [CrossRef]
- Yin, L.; Yin, Y.; Lin, C.-J. A new potential field method for mobile robot path planning in the dynamic environments. Asian J. Control 2009, 11, 214–225. [Google Scholar] [CrossRef]
- Hayajneh, M.; Melega, M.; Marconi, L. Design of autonomous smartphone based quadrotor and implementation of navigation and guidance systems. Mechatronics 2018, 49, 119–133. [Google Scholar] [CrossRef]














































| Feature | DWA | MOA | MPC | PF | Acceleration Based-PF (Proposed) |
|---|---|---|---|---|---|
| Real-time Performance | High | Moderate to Low | Moderate to Low | High | High |
| Computational Load | Low | High | High | Low | Low |
| Handling Dynamic Obstacles | Moderate | No | Depending on the model accuracy | Moderate | Not investigated |
| Target Tracking Accuracy | Moderate | Moderate to Low | High (depending on the model and solver) | Low to Moderate | High |
| Landing Accuracy | Moderate | Moderate | Low to Moderate (depending on the model and solver) | Low to Moderate | High |
| Optimality | Heuristic (local) | Optimal (requiring careful tuning) | Optimal (requiring significant tuning) | Heuristic (local) | Heuristic (local) |
| Complexity | Low | High | High | Low | Low |
| Improved method | 0.0320 | 0.0536 | 0.0064 | 0.0102 | 0.0020 | 0.0023 |
| Conventional method | 0.0881 | 0.1050 | 0.0146 | 0.0184 | 0.0047 | 0.0045 |
| Difference % (between the two methods) | 54.45 | 48.73 | 53.15 | |||
| Improved method | 0.0066 | 0.0041 | 0.0088 | 0.0086 | 0.0018 | 0.0052 |
| Conventional method | 0.0952 | 0.0745 | 0.0209 | 0.0324 | 0.0082 | 0.0539 |
| Difference % (between the two methods) | 93.57 | 68.09 | 89.9 | |||
| Improved PF | 0.0236 | 0.0478 | 0.0017 | 0.0057 | 0.0091 | 0.0011 | 0.0017 | 0.0020 | 0.0002 |
| Conventional method | 0.0636 | 0.0830 | 0.0034 | 0.0127 | 0.0157 | 0.0042 | 0.0044 | 0.0041 | 0.0004 |
| Difference % (between the two methods) | 49.02 | 47.67 | 56.32 | ||||||
| Axis | Circular Path (s) | Infinite Path (s) | Helical Path (s) | |
|---|---|---|---|---|
| Conventional PF | x | 5.18 | 6.28 | 4.89 |
| Y | 3.41 | 4.08 | 3.32 | |
| Z | - | - | 3.31 | |
| Improved PF | X | 3.79 | 4.71 | 4.26 |
| Y | 3.00 | 3.77 | 3.16 | |
| Z | - | - | 2.05 |
Disclaimer/Publisher’s Note: The statements, opinions and data contained in all publications are solely those of the individual author(s) and contributor(s) and not of MDPI and/or the editor(s). MDPI and/or the editor(s) disclaim responsibility for any injury to people or property resulting from any ideas, methods, instructions or products referred to in the content. |
© 2025 by the authors. Licensee MDPI, Basel, Switzerland. This article is an open access article distributed under the terms and conditions of the Creative Commons Attribution (CC BY) license (https://creativecommons.org/licenses/by/4.0/).
Share and Cite
Hayajneh, M.R.; Garibeh, M.H.; Younes, A.B.; Garratt, M.A. Unmanned Aerial Vehicle Path Planning Using Acceleration-Based Potential Field Methods. Electronics 2025, 14, 176. https://doi.org/10.3390/electronics14010176
Hayajneh MR, Garibeh MH, Younes AB, Garratt MA. Unmanned Aerial Vehicle Path Planning Using Acceleration-Based Potential Field Methods. Electronics. 2025; 14(1):176. https://doi.org/10.3390/electronics14010176
Chicago/Turabian StyleHayajneh, Mohammad R., Mohammad H. Garibeh, Ahmad Bani Younes, and Matthew A. Garratt. 2025. "Unmanned Aerial Vehicle Path Planning Using Acceleration-Based Potential Field Methods" Electronics 14, no. 1: 176. https://doi.org/10.3390/electronics14010176
APA StyleHayajneh, M. R., Garibeh, M. H., Younes, A. B., & Garratt, M. A. (2025). Unmanned Aerial Vehicle Path Planning Using Acceleration-Based Potential Field Methods. Electronics, 14(1), 176. https://doi.org/10.3390/electronics14010176

