Detection and Classification of Rolling Bearing Defects Using Direct Signal Processing with Deep Convolutional Neural Network
Abstract
1. Introduction
2. Rolling Bearing Damage—Analysis of the Fault Detection Problem
2.1. Extraction of Damage Symptoms Using Spectral Analysis
2.2. Methodology of the Conducted Experimental Research
- Longitudinal scratch at a length of 3 mm;
- A spot indentation 1 mm deep;
- Two spot indentations 1 mm deep;
- Transverse scratch.
2.3. Spectral Analysis of Mechanical Vibration Signal
3. Bearing Fault Detection and Classification System Based on a Convolutional Neural Network
3.1. Development of Deep Network Input Information
- Training package used in the training process,
- Validation package used to analyze the stability of the learning process and avoid loss of generalization (analysis of learning curves),
- Testing package used to determine the additional precision coefficient of the network (after the training process).
3.2. Development of Deep Network Structure
- Convolution layer: Consisting of a set of different filters, each of which is responsible for extracting a different selected feature (by tuning the window parameters). The filter window determines the output features using a convolution operation of the filter g and the set h to which the filter is applied:where C is the resulting matrix of higher-order features found with the selected filter.
- Batch normalization layer: Used to speed up the network training process and increase accuracy by reducing the internal variation of the data range. During the training process, the mean and standard deviation are calculated for each mini-packet and provide the normalization of the convolution layers’ weighting factors to the 0–1 range.
- Activation function: Ensures that the network correctly reproduces non-linear relationships. For CNNs, the most commonly used activation function is the Rectified Linear Unit (ReLU). ReLU is most commonly used because of the simplicity of calculating both the result and the derivative, which accelerates the training process.
- The pooling layer: Determines which information is useful in context to evaluate the class of the input matrix. In addition, it allows the dimensionality of the data to be reduced, leading to lower computing power requirements and improved generalization capabilities.
- Dropout layer: involves removing selected neural connections at the input of the first fully connected layer, which allows one to speed up the training process and, above all, to make the state of individual neurons independent of each other (improving generalization ability).
- Fully connected layer: Is responsible for determining the contribution of matrix features to the final evaluation of category membership. The most common way to use the final classification is to use the softmax function, which determines the probabilities of a given input belonging to each of the analyzed classes.
3.3. Convolutional Neural Networks—Training Process Hyperparameters
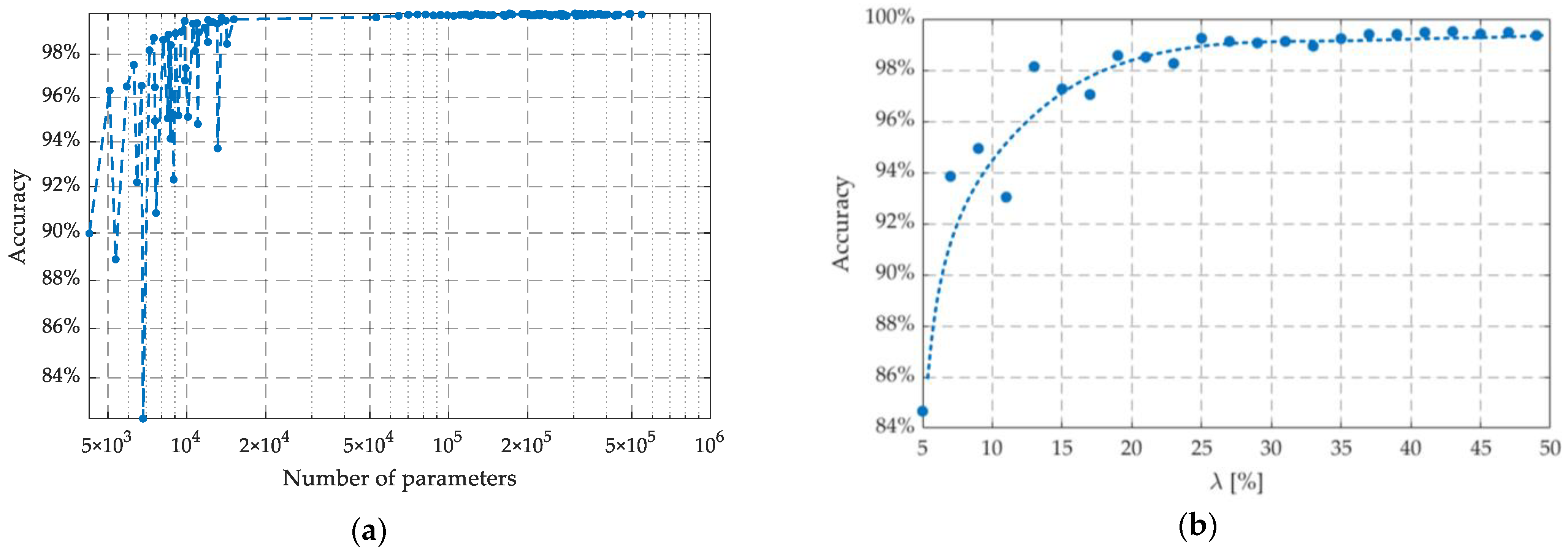
4. CNN-Based Diagnostic System for Bearing Faults
5. Conclusions
Author Contributions
Funding
Data Availability Statement
Conflicts of Interest
Appendix A
| Type of Damage | Label | Parameters |
|---|---|---|
| Rolling element | B | Spot indentation 0.5–1 mm deep |
| Cage | C | Spot indentation 2 mm deep |
| Inner race | IR1 | Spot indentation 1 mm deep |
| IR2 | Spot indentation 1 mm deep | |
| IR3 | Two spot indentations 1 mm deep | |
| IR4 | Longitudinal scratch at a length of 3 mm | |
| IR5 | Transverse scratch | |
| Outer race | OR1 | Spot indentation 1 mm deep |
| OR2 | Spot indentation 1 mm deep | |
| OR3 | Two spot indentations 1 mm deep | |
| OR4 | Longitudinal scratch at a length of 3 mm | |
| OR5 | Transverse scratch | |
| NF | No fault |
References
- Xiong, R.; Sun, W.; Yu, Q.; Sun, F. Research progress, challenges and prospects of fault diagnosis on battery system of electric vehicles. Appl. Energy 2020, 279, 115855. [Google Scholar] [CrossRef]
- Brelje, B.J.; Martins, J.R.R.A. Electric, hybrid, and turboelectric fixed-wing aircraft: A review of concepts, models, and design approaches. Prog. Aerosp. Sci. 2019, 104, 1–19. [Google Scholar] [CrossRef]
- Nandi, S.; Toliyat, H.A.; Li, X. Condition Monitoring and Fault Diagnosis of Electrical Motors—A Review. IEEE Trans. Energy Convers. 2005, 20, 719–729. [Google Scholar] [CrossRef]
- Bellini, A.; Filippetti, F.; Tassoni, C.; Capolino, G.-A. Advances in Diagnostic Techniques for Induction Machines. IEEE Trans. Ind. Electron. 2008, 55, 4109–4126. [Google Scholar] [CrossRef]
- Gangsar, P.; Tiwari, R. Signal based condition monitoring techniques for fault detection and diagnosis of induction motors: A state-of-the-art review. Mech. Syst. Signal Process. 2020, 144, 106908. [Google Scholar] [CrossRef]
- Singh, G.K.; Kazzaz, S.A.S.A. Induction machine drive condition monitoring and diagnostic research—A survey. Electr. Power Syst. Res. 2003, 64, 145–158. [Google Scholar] [CrossRef]
- Li, Y.; Wang, H.; Li, J.; Tan, J. A 2-D Long Short-Term Memory Fusion Networks for Bearing Remaining Useful Life Prediction. IEEE Sens. J. 2022, 22, 21806–21815. [Google Scholar] [CrossRef]
- Rubini, R.; Meneghetti, U. Application Of The Envelope And Wavelet Transform Analyses For The Diagnosis Of Incipient Faults In Ball Bearings. Mech. Syst. Signal Process. 2001, 15, 287–302. [Google Scholar] [CrossRef]
- Stack, J.R.; Habetler, T.G.; Harley, R.G. Fault-signature modeling and detection of inner-race bearing faults. IEEE Trans. Ind. Appl. 2006, 42, 61–68. [Google Scholar] [CrossRef]
- Luo, X.; Wang, H.; Han, T.; Zhang, Y. FFT-Trans: Enhancing Robustness in Mechanical Fault Diagnosis With Fourier Transform-Based Transformer Under Noisy Conditions. IEEE Trans. Instrum. Meas. 2024, 73, 2515112. [Google Scholar] [CrossRef]
- Hoang, D.T.; Kang, H.J. A Motor Current Signal-Based Bearing Fault Diagnosis Using Deep Learning and Information Fusion. IEEE Trans. Instrum. Meas. 2020, 69, 3325–3333. [Google Scholar] [CrossRef]
- Schoen, R.R.; Habetler, T.G.; Kamran, F.; Bartfield, R.G. Motor bearing damage detection using stator current monitoring. IEEE Trans. Ind. Appl. 1995, 31, 1274–1279. [Google Scholar] [CrossRef]
- Caesarendra, W.; Kosasih, B.; Tieu, A.K.; Zhu, H.; Moodie, C.A.S.; Zhu, Q. Acoustic emission-based condition monitoring methods: Review and application for low speed slew bearing. Mech. Syst. Signal Process. 2016, 72–73, 134–159. [Google Scholar] [CrossRef]
- Pandya, D.H.; Upadhyay, S.H.; Harsha, S.P. Fault diagnosis of rolling element bearing with intrinsic mode function of acoustic emission data using APF-KNN. Expert Syst. Appl. 2013, 40, 4137–4145. [Google Scholar] [CrossRef]
- Yakkati, R.R.; Yeduri, S.R.; Tripathy, R.K.; Cenkeramaddi, L.R. Multi-Channel Time-Frequency Domain Deep CNN Approach for Machinery Fault Recognition Using Multi-Sensor Time-Series. IEEE Access 2023, 11, 116570–116580. [Google Scholar] [CrossRef]
- Immovilli, F.; Bellini, A.; Rubini, R.; Tassoni, C. Diagnosis of Bearing Faults in Induction Machines by Vibration or Current Signals: A Critical Comparison. IEEE Trans. Ind. Appl. 2010, 46, 1350–1359. [Google Scholar] [CrossRef]
- Patidar, S.; Soni, P.K. An Overview on Vibration Analysis Techniques for the Diagnosis of Rolling Element Bearing Faults. Int. J. Eng. Trends Technol. 2013, 4, 1804–1809. [Google Scholar]
- Tandon, N. A comparison of some vibration parameters for the condition monitoring of rolling element bearings. Measurement 1994, 12, 285–289. [Google Scholar] [CrossRef]
- Ewert, P.; Kowalski, C.T.; Orlowska-Kowalska, T. Low-Cost Monitoring and Diagnosis System for Rolling Bearing Faults of the Induction Motor Based on Neural Network Approach. Electronics 2020, 9, 1334. [Google Scholar] [CrossRef]
- Liang, B.; Iwnicki, S.D.; Zhao, Y. Application of power spectrum, cepstrum, higher order spectrum and neural network analyses for induction motor fault diagnosis. Mech. Syst. Signal Process. 2013, 39, 342–360. [Google Scholar] [CrossRef]
- Verstraete, D.; Ferrada, A.; Droguett, E.L.; Meruane, V.; Modarres, M. Deep Learning Enabled Fault Diagnosis Using Time-Frequency Image Analysis of Rolling Element Bearings. Shock Vib. 2017, 2017, 5067651. [Google Scholar] [CrossRef]
- Ewert, P.; Kowalski, C.T.; Wolkiewicz, M. The application of wavelet analysis and neural networks in the diagnosis of rolling bearing faults in induction motors. Przegląd Elektrotechniczny 2013, 89, 124–127. [Google Scholar]
- Filippetti, F.; Franceschini, G.; Tassoni, C. Vas, Recent developments of induction motor drives fault diagnosis using AI techniques. IEEE Trans. Ind. Electron. 2000, 47, 994–1004. [Google Scholar] [CrossRef]
- Kowalski, C.T. Diagnostyka Układów Napędowych z Silnikiem Indukcyjnym z Zastosowaniem Metod Sztucznej Inteligencji; Oficyna Wydawnicza Politechniki Wrocławskiej: Wrocław, Poland, 2013. [Google Scholar]
- Kowalski, C.T.; Orlowska-Kowalska, T. Neural networks application for induction motor faults diagnosis. Math. Comput. Simul. 2003, 63, 435–448. [Google Scholar] [CrossRef]
- Ghate, V.N.; Dudul, S.V. Optimal MLP neural network classifier for fault detection of three phase induction motor. Expert Syst. Appl. 2010, 37, 3468–3481. [Google Scholar] [CrossRef]
- Asfani, D.A.; Muhammad, A.K.; Syafaruddin; Purnomo, M.H.; Hiyama, T. Temporary short circuit detection in induction motor winding using combination of wavelet transform and neural network. Expert Syst. Appl. 2012, 39, 5367–5375. [Google Scholar] [CrossRef]
- Hamdani, S.; Touhami, O.; Ibtiouen, R.; Fadel, M. Neural network technique for induction motor rotor faults classification-dynamic eccentricity and broken bar faults. In Proceedings of the 8th IEEE Symposium on Diagnostics for Electrical Machines, Power Electronics Drives, Bologna, Italy, 5–8 September 2011. [Google Scholar]
- Taibi, Z.M.; Hasni, M.; Hamdani, S. Optimization of the feedforward neural network for rotor cage fault diagnosis in three-phase induction motors. In Proceedings of the IEEE International Electric Machines & Drives Conference (IEMDC), Niagara Falls, ON, Canada, 15–18 May 2011. [Google Scholar]
- Coelho, D.N.; Barreto, G.A.; Medeiros, C.M.S. Detection of Short Circuit Faults in 3-Phase Converter-Fed Induction Motors Using Kernel SOMs. In Proceedings of the 12th International Workshop on Self-Organizing Maps and Learning Vector Quantization, Clustering and Data Visualization (WSOM), Nancy, France, 28–30 June 2017. [Google Scholar]
- Khalfaoui, N.; Salah, M.; Hamid Amiri, S. The SOM tool in mechanical fault detection over an electric asynchronous drive. In Proceedings of the 4th International Conference on Control Engineering & Infonnation Technology, Hammamet, Tunisia, 16–18 December 2016. [Google Scholar]
- Ghate, V.N.; Dudul, S.V. Cascade Neural-Network-Based Fault Classifier for Three-Phase Induction Motor. IEEE Trans. Ind. Electron. 2011, 58, 1555–1563. [Google Scholar] [CrossRef]
- Gao, X.Z.; Ovaska, S.J.; Dote, Y. Motor fault detection using Elman neural network with genetic algorithm-aided training. In Proceedings of the IEEE International Conference on Systems, Man and Cybernetics ‘Cybernetics Evolving to Systems, Humans, Organizations, and Their Complex Interactions’, Nashville, TN, USA, 8–11 October 2000. [Google Scholar]
- Goodfellow, I.; Bengio, Y.; Courville, A. Deep Learning; MIT Press: Cambridge, MA, USA, 2016. [Google Scholar]
- Kao, I.-H.; Wang, W.-J.; Lai, Y.-H.; Perng, J.-W. Analysis of Permanent Magnet Synchronous Motor Fault Diagnosis Based on Learning. IEEE Trans. Instrum. Meas. 2019, 68, 310–324. [Google Scholar] [CrossRef]
- Chattopadhyay, P.; Saha, N.; Delpha, C.; Sil, J. Deep Learning in Fault Diagnosis of Induction Motor Drives. In Proceedings of the Prognostics and System Health Management Conference (PHM-Chongqing), Chongqing, China, 26–28 October 2018. [Google Scholar]
- Afrasiabi, S.; Afrasiabi, M. Real-Time Bearing Fault Diagnosis of Induction Motors with Accelerated Deep Learning Approach. In Proceedings of the 10th International Power Electronics, Drive Systems and Technologies Conference (PEDSTC), Shiraz University, Iran, 12–14 February 2019. [Google Scholar]
- Mahesh, T.R.; Chandrasekaran, S.; Ram, V.A.; Kumar, V.V.; Vivek, V.; Guluwadi, S. Data-Driven Intelligent Condition Adaptation of Feature Extraction for Bearing Fault Detection Using Deep Responsible Active Learning. IEEE Access 2024, 12, 45381–45397. [Google Scholar] [CrossRef]
- Kozma, R.; Ilin, R.; Siegelmann, H.T. Evolution of Abstraction Across Layers in Deep Learning Neural Networks. Procedia Comput. Sci. 2018, 144, 203–213. [Google Scholar] [CrossRef]
- Ince, T.; Kiranyaz, S.; Eren, L.; Askar, M.; Gabbouj, M. Real-Time Motor Fault Detection by 1-D Convolutional Neural Networks. IEEE Trans. Ind. Electron. 2016, 63, 7067–7075. [Google Scholar] [CrossRef]
- Li, C.; Xu, J.; Xing, J. A Frequency Feature Extraction Method Based on Convolutional Neural Network for Recognition of Incipient Fault. IEEE Sens. J. 2024, 24, 564–572. [Google Scholar] [CrossRef]
- Shao, S.; Sun, W.; Wang, P.; Gao, R.X.; Yan, R. Learning features from vibration signals for induction motor fault diagnosis. In Proceedings of the International Symposium on Flexible Automation, Cleveland, OH, USA, 1–3 August 2016. [Google Scholar]
- Principi, E.; Rossetti, D.; Squartini, S.; Piazza, F. Unsupervised Electric Motor Fault Detection by Using Deep Autoencoders. IEEE/CAA J. Autom. Sin. 2019, 6, 441–451. [Google Scholar] [CrossRef]
- Han, S.; Sun, S.; Zhao, Z.; Luan, Z.; Niu, P. Deep Residual Multiscale Convolutional Neural Network With Attention Mechanism for Bearing Fault Diagnosis Under Strong Noise Environment. IEEE Sens. J. 2024, 24, 9073–9081. [Google Scholar] [CrossRef]
- Wang, H.; Zhang, X. Fault Diagnosis Using Imbalanced Data of Rolling Bearings Based on a Deep Migration Model. IEEE Access 2024, 12, 5517–5533. [Google Scholar] [CrossRef]
- Chen, Z.; Gryllias, K.; Li, W. Mechanical fault diagnosis using Convolutional Neural Networks and Extreme Learning Machine. Mech. Syst. Signal Process. 2019, 133, 106272. [Google Scholar] [CrossRef]
- Pinedo-Sánchez, L.A. Vibration analysis in bearings for failure prevention using CNN. J. Braz. Soc. Mech. Sci. Eng. 2020, 42, 628. [Google Scholar] [CrossRef]
- Eren, L.; Ince, T.; Kiranyaz, S. A Generic Intelligent Bearing Fault Diagnosis System Using Compact Adaptive 1D CNN Classifier. J. Signal Process. Syst. 2018, 91, 179–189. [Google Scholar] [CrossRef]
- McInerny, S.A.; Dai, Y. Basic vibration signal processing for bearing fault detection. IEEE Trans. Educ. 2003, 46, 149–156. [Google Scholar] [CrossRef]
- Randall, R.B. Vibration-Based Condition Monitoring; John Wiley & Sons: Hoboken, NJ, USA, 2011. [Google Scholar]
- Magadán, L.; Roldán-Gómez, J.; Granda, J.C.; Suárez, F.J. Early Fault Classification in Rotating Machinery With Limited Data Using TabPFN. IEEE Sens. J. 2023, 23, 30960–30970. [Google Scholar] [CrossRef]
- Skowron, M.; Kowalski, C.T.; Orlowska-Kowalska, T. Impact of the Convolutional Neural Network Structure and Training Parameters on the Effectiveness of the Diagnostic Systems of Modern AC Motor Drives. Energies 2022, 15, 7008. [Google Scholar] [CrossRef]













| Bearing Element | Description | Value | Unit |
|---|---|---|---|
| Diameter of the rolling element | d | 8 | mm |
| Bearing pitch diameter | D | 39 | mm |
| Number of rolling elements | NB | 9 | - |
| Bearing operating angle | ϑ | 0 |
| Type of Fault | Number of Samples (Cases) | ||
|---|---|---|---|
| Training | Validation | Test | |
| No fault | 500 | 500 | 500 |
| Inner race | 2500 | 2500 | 2500 |
| Outer race | 2500 | 2500 | 2500 |
| Rolling element | 500 | 500 | 500 |
| Cage | 500 | 500 | 500 |
| Summary | 6500 | 6500 | 6500 |
| Parameter Name | Parameter Value | Structure Scheme |
|---|---|---|
| Number of convolution layers | 3 | ![]() |
| Number of filters | 20-40-60 | |
| Dimension of filters | 5 × 5 | |
| Stride | (1 × 1), (2 × 2), (2 × 2) | |
| Number of normalization layers | 3 | |
| Value of the coefficient ε | 0.001 | |
| Number of activation layers | 3 | |
| Activation function | ReLU | |
| Number of pooling layers | 3 | |
| Pooling method | maximum | |
| Window size | 3 × 3 | |
| Stride | (1 × 1), (2 × 2), (2 × 2) | |
| Dropout probability | 0.5 | |
| Number of fully connected layers | 2 | |
| Number of fully connected neurons | (60), (13) |
| Parameter Name | Parameter Value |
|---|---|
| Learning method | SGDM |
| Momentum value | 0.95 |
| Initial value of learning rate | 0.002 |
| Number of learning epochs | 500 |
| Decreasing period | 10 |
| Input matrix size | 25 × 40 |
| Execution environment | GPU |
| Mini-batch size | 90 |
| Size of training data set | 6500 |
| Number of considered classes | 13 |
| Assumed Accuracy | Achieved Accuracy | Convolutional Layers | CNN Learnable Parameters | Training Time [s] | ||
|---|---|---|---|---|---|---|
| 1 Layer | 2 Layers | 3 Layers | ||||
| 90.0% | 96.323% | 20 | 20 | 40 | 5071 | 1281 |
| 92.0% | 96.323% | 20 | 20 | 40 | 5071 | 1281 |
| 94.0% | 96.323% | 20 | 20 | 40 | 5071 | 1281 |
| 96.0% | 96.323% | 20 | 20 | 40 | 5071 | 1281 |
| 98.0% | 98.185% | 20 | 40 | 60 | 7203 | 1246 |
| 99.0% | 99.062% | 20 | 60 | 80 | 9535 | 1212 |
| 99.5% | 99.569% | 20 | 80 | 60 | 9815 | 1279 |
| 99.8% | 99.815% | 80 | 20 | 20 | 64,413 | 1263 |
| 99.9% | 99.908% | 100 | 20 | 80 | 127,753 | 1256 |
Disclaimer/Publisher’s Note: The statements, opinions and data contained in all publications are solely those of the individual author(s) and contributor(s) and not of MDPI and/or the editor(s). MDPI and/or the editor(s) disclaim responsibility for any injury to people or property resulting from any ideas, methods, instructions or products referred to in the content. |
© 2024 by the authors. Licensee MDPI, Basel, Switzerland. This article is an open access article distributed under the terms and conditions of the Creative Commons Attribution (CC BY) license (https://creativecommons.org/licenses/by/4.0/).
Share and Cite
Skowron, M.; Frankiewicz, O.; Jarosz, J.J.; Wolkiewicz, M.; Dybkowski, M.; Weisse, S.; Valire, J.; Wyłomańska, A.; Zimroz, R.; Szabat, K. Detection and Classification of Rolling Bearing Defects Using Direct Signal Processing with Deep Convolutional Neural Network. Electronics 2024, 13, 1722. https://doi.org/10.3390/electronics13091722
Skowron M, Frankiewicz O, Jarosz JJ, Wolkiewicz M, Dybkowski M, Weisse S, Valire J, Wyłomańska A, Zimroz R, Szabat K. Detection and Classification of Rolling Bearing Defects Using Direct Signal Processing with Deep Convolutional Neural Network. Electronics. 2024; 13(9):1722. https://doi.org/10.3390/electronics13091722
Chicago/Turabian StyleSkowron, Maciej, Oliwia Frankiewicz, Jeremi Jan Jarosz, Marcin Wolkiewicz, Mateusz Dybkowski, Sebastien Weisse, Jerome Valire, Agnieszka Wyłomańska, Radosław Zimroz, and Krzysztof Szabat. 2024. "Detection and Classification of Rolling Bearing Defects Using Direct Signal Processing with Deep Convolutional Neural Network" Electronics 13, no. 9: 1722. https://doi.org/10.3390/electronics13091722
APA StyleSkowron, M., Frankiewicz, O., Jarosz, J. J., Wolkiewicz, M., Dybkowski, M., Weisse, S., Valire, J., Wyłomańska, A., Zimroz, R., & Szabat, K. (2024). Detection and Classification of Rolling Bearing Defects Using Direct Signal Processing with Deep Convolutional Neural Network. Electronics, 13(9), 1722. https://doi.org/10.3390/electronics13091722


