An In-Band Low-Radar Cross Section Microstrip Patch Antenna Based on a Phase Control Metasurface
Abstract
1. Introduction
2. Low-RCS Array Antenna Design
2.1. Mechanism of Phase Control Metasurface
2.2. Antenna Unit Design
2.3. Structures of the Proposed in-band Low-RCS Microstrip Antenna
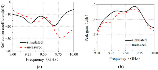
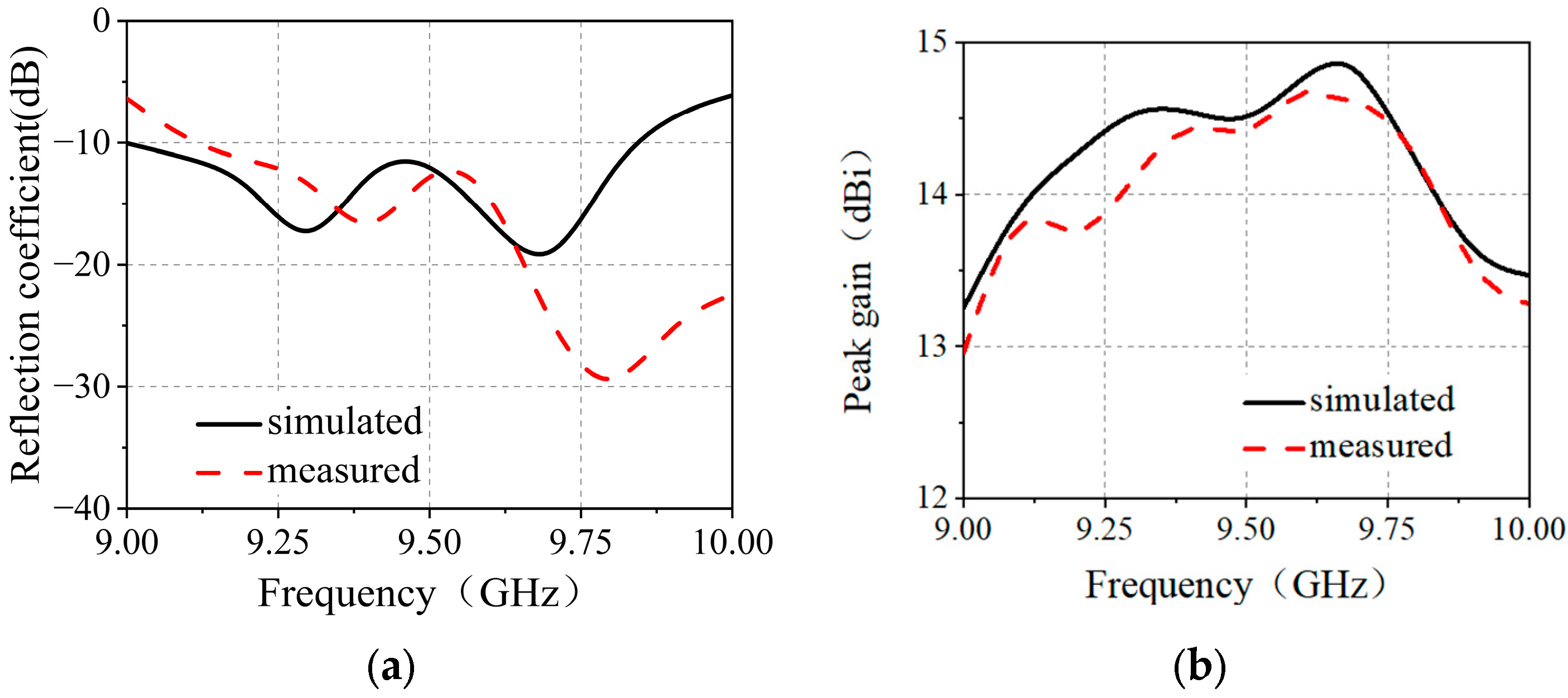
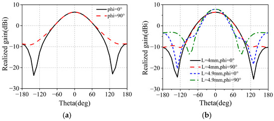
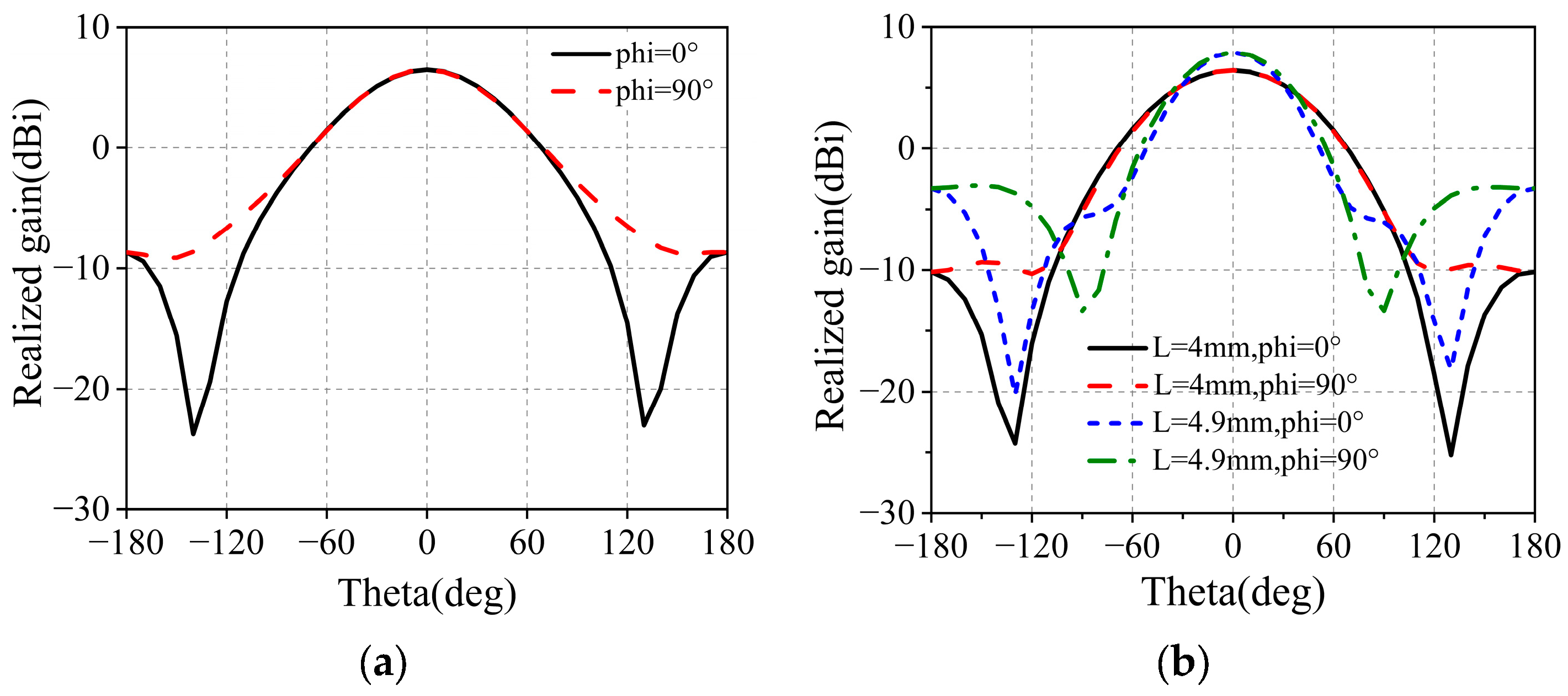
3. Measured Result and Analysis
4. Conclusions
Author Contributions
Funding
Institutional Review Board Statement
Informed Consent Statement
Data Availability Statement
Conflicts of Interest
References
- Dikmen, C.M.; Çimen, S.; Çakır, G. Planar Octagonal-Shaped UWB Antenna With Reduced Radar Cross Section. IEEE Trans. Antennas Propag. 2014, 62, 2946–2953. [Google Scholar] [CrossRef]
- Jiang, W.; Hong, T.; Liu, Y.; Gong, S.-X.; Guan, Y.; Cui, S. A Novel Technique for Radar Cross Section Reduction of Printed Antennas. J. Electromagn. Waves Appl. 2010, 24, 51–60. [Google Scholar] [CrossRef]
- Ren, J.; Gong, S.; Jiang, W. Low-RCS Monopolar Patch Antenna Based on a Dual-Ring Metamaterial Absorber. IEEE Antennas Wirel. Propag. Lett. 2018, 17, 102–105. [Google Scholar] [CrossRef]
- Ren, J.; Jiang, W.; Zhang, K.; Gong, S. A High-Gain Circularly Polarized Fabry–Perot Antenna With Wideband Low-RCS Property. IEEE Antennas Wirel. Propag. Lett. 2018, 17, 853–856. [Google Scholar] [CrossRef]
- Sun, T.; Yin, F.; Xu, C.; Zhao, S.; Yan, H.; Yi, H. Ultrawideband Precision RCS Regulation for Trihedral Corner Reflectors by Loading Resistive Film Absorbers. Electronics 2022, 11, 3696. [Google Scholar] [CrossRef]
- Zheng, Y.; Gao, J.; Cao, X.; Yuan, Z.; Yang, H. Wideband RCS Reduction of a Microstrip Antenna Using Artificial Magnetic Conductor Structures. IEEE Antennas Wirel. Propag. Lett. 2015, 14, 1582–1585. [Google Scholar] [CrossRef]
- Xi, Y.; Jiang, W.; Wei, K.; Hong, T.; Cheng, T.; Gong, S. Wideband RCS Reduction of Microstrip Antenna Array Using Coding Metasurface With Low Q Resonators and Fast Optimization Method. IEEE Antennas Wirel. Propag. Lett. 2022, 21, 656–660. [Google Scholar] [CrossRef]
- Zhou, Y.; Cao, X.; Gao, J.; Li, S.; Zheng, Y. In-Band RCS Reduction and Gain Enhancement of a Dual-Band PRMS-Antenna. IEEE Antennas Wirel. Propag. Lett. 2017, 16, 2716–2720. [Google Scholar] [CrossRef]
- Li, M.; Shen, Z. Integrated Diffusive Antenna Array of Low Backscattering. IEEE Antennas Wirel. Propag. Lett. 2024, 23, 573–577. [Google Scholar] [CrossRef]
- Genovesi, S.; Costa, F.; Monorchio, A. Wideband Radar Cross Section Reduction of Slot Antennas Arrays. IEEE Trans. Antennas Propag. 2014, 62, 163–173. [Google Scholar] [CrossRef]
- Han, Y.; Zhu, L.; Bo, Y.; Che, W.; Li, B. Novel Low-RCS Circularly Polarized Antenna Arrays via Frequency-Selective Absorber. IEEE Trans. Antennas Propag. 2020, 68, 287–296. [Google Scholar] [CrossRef]
- Chen, Q.; Guo, M.; Sang, D.; Sun, Z.; Fu, Y. RCS Reduction of Patch Array Antenna Using Anisotropic Resistive Metasurface. IEEE Antennas Wirel. Propag. Lett. 2019, 18, 1223–1227. [Google Scholar] [CrossRef]

















| References | Number of Units | Antenna Size (mm) | In-Band Co-Polarized RCS Reduction | Cross-Polarized Reduced Band (GHz) | Gain Drop (dB) |
|---|---|---|---|---|---|
| [7] | 2 × 2 | 1.08λ0 | × | 5.8–21.5 | 0.7 |
| [9] | 8 × 8 | 4.56λ0 | × | 4.45–6.39, 11.94–15.87 | 0.3 |
| [11] | 4 × 4 | 1.85λ0 | × | 2–4.1, 5.1–5.9 | - |
| [12] | 2 × 2 | 1.8λ0 | × | 5.5–16.3 | 0.7 |
| Proposed | 4 × 4 | 1.96λ0 | √ | 9–10 | 0 |
Disclaimer/Publisher’s Note: The statements, opinions and data contained in all publications are solely those of the individual author(s) and contributor(s) and not of MDPI and/or the editor(s). MDPI and/or the editor(s) disclaim responsibility for any injury to people or property resulting from any ideas, methods, instructions or products referred to in the content. |
© 2024 by the authors. Licensee MDPI, Basel, Switzerland. This article is an open access article distributed under the terms and conditions of the Creative Commons Attribution (CC BY) license (https://creativecommons.org/licenses/by/4.0/).
Share and Cite
Li, F.; Lv, M.; Wang, M.; Jia, Y. An In-Band Low-Radar Cross Section Microstrip Patch Antenna Based on a Phase Control Metasurface. Electronics 2024, 13, 1718. https://doi.org/10.3390/electronics13091718
Li F, Lv M, Wang M, Jia Y. An In-Band Low-Radar Cross Section Microstrip Patch Antenna Based on a Phase Control Metasurface. Electronics. 2024; 13(9):1718. https://doi.org/10.3390/electronics13091718
Chicago/Turabian StyleLi, Fang, Miao Lv, Min Wang, and Yongtao Jia. 2024. "An In-Band Low-Radar Cross Section Microstrip Patch Antenna Based on a Phase Control Metasurface" Electronics 13, no. 9: 1718. https://doi.org/10.3390/electronics13091718
APA StyleLi, F., Lv, M., Wang, M., & Jia, Y. (2024). An In-Band Low-Radar Cross Section Microstrip Patch Antenna Based on a Phase Control Metasurface. Electronics, 13(9), 1718. https://doi.org/10.3390/electronics13091718
