Hidden-SAGE: For the Inference of Complex Autonomous System Business Relationships Involving Hidden Links
Abstract
1. Introduction
- (1)
- We address hidden AS links by constructing an experimental dataset that ensures consistency between existence and observability. Simultaneously, we design a series of features, and these datasets and features are integrated into the graph sampling network framework. Inference is conducted on hidden AS links in datasets from 2014 and 2023. To our knowledge, this study is the first to utilize GraphSAGE to address the challenge of inferring hidden AS links.
- (2)
- In addressing complex business relationship issues, we introduce a series of empirically effective and self-proposed essential features. We utilize the random forest algorithm to infer p2c, p2p, and partial transit business relationships.
- (3)
- We developed a framework called Hidden-SAGE. This framework aims to infer hidden AS links and the intricate business relationships between them. We named this framework Hidden-SAGE because it focuses on “hidden” AS links that are overlooked by the route collector, and it utilizes GraphSAGE. We conducted comprehensive experiments to compare the methods proposed in this article with existing state-of-the-art methods.
2. Related Work
3. Hidden-SAGE
3.1. Inference of Hidden AS Links
3.1.1. Training Dataset
3.1.2. Feature Selection
3.1.3. Model Framework
- Input LayerIn the input layer, we input the raw data and preprocess them to generate graph data and data for downstream feature statistics. The graph data are represented as an undirected graph , where V is the set of ASs, and is the set of edges. represents an AS, and is an edge with AS and as endpoints. In graph neural networks, graph data are input in the form of an adjacency matrix. The adjacency matrix A is an matrix, where if , and if . For the hidden link prediction task, we use all detour paths as the graph data for information propagation. In this problem, represents the remaining edges after removing all positive samples. This ensures that the edges used for training and testing do not appear in the graph used for message passing. Otherwise, there would be a situation where the predicted edges are already known to exist, rendering the prediction meaningless. This also simulates the observation bias in the Internet due to the lack of VPs.
- Feature LayerIn the feature layer, we employ the data from the input layer to statistically analyze and summarize the original features. We construct node feature vectors, which consist of the crucial features mentioned in Section 3.1.2. represents the feature matrix, where each node in the graph has attributes . represents the feature vector of node v.
- GraphSAGE LayerIn the previous sections, we introduced the idea of using the GraphSage [20] model. GraphSAGE is a general inductive framework that efficiently generates node embeddings for previously unseen data using node feature information, such as text attributes. GraphSAGE does not train a separate embedding for each node but learns a function to generate embeddings by sampling and aggregating features from a node’s local neighborhood. Additionally, we referred to the work of Jin [32], which indicated that stacking two layers of graph neural network models results in relatively better overall performance. Hence, we stacked 2 layers of GraphSAGE models. The pseudocode for generating node embeddings using GraphSAGE is presented in Algorithm 1. First, each node aggregates its representations of neighboring nodes into a vector. After aggregating neighbor feature vectors, GraphSAGE aggregates the current node and neighbor vector . Subsequently, this concatenated vector is transformed into a vector for downstream tasks (i.e., ,) through a fully connected layer with a non-linear activation function .
| Algorithm 1 GraphSAGE embedding generation algorithm. |
| Input: Graph ; input features ; depth K; weight matrices , |
| ; non-linearity ; differentiable aggregator functions , |
| ; neighborhood function |
| Output: Vector representations for all |
|
- MLP LayerThe MLP layer serves as the “classifier” in the entire model. We stack two layers of fully connected layers, where the first layer transforms node embeddings into edge tensors, and the second layer is responsible for classifying edges based on the edge tensors. When inferring hidden link issues, we employ the sigmoid function because it exhibits good performance in handling binary classification. Let Z represent the output of the GraphSAGE layer. For binary classification problems, we use the following expression:In this context, and are the respective vectors output by the GraphSAGE layer for the two end nodes of the edge . is a probability vector used for the classification of the corresponding edge labels.For semi-supervised binary classification, we employ binary cross-entropy loss as the objective function, represented asHere, represents the binary cross-entropy loss across the entire dataset, where n is the number of samples, is the actual label of the i-th sample, and is the probability predicted by the model for the i-th sample.
- OutputIn reporting the results, we uniformly set the epoch to 200, conducting 10 experiments and averaging the results to compile various metrics.
3.2. Inference of Complex Business Relationships
3.2.1. Basic Ideas
3.2.2. Features of Complex Business Relationships
- Degree and Transit DegreeDegree is one of the fundamental metrics in graph theory. In the undirected topology of the Internet, the degree of a node refers to the number of neighboring nodes directly connected to that node. A higher degree value indicates greater importance of the node in the graph. Transit degree, introduced by Luckie [15] in 2013, is an indicator reflecting the service scale of an Autonomous System (AS) and the degree of collaboration with other ASs. By extracting triplets with AS i as the center, the transit degree of AS i is obtained by counting the unique neighbors of AS i in the transit paths. For example, given triplets (AS1, AS2, AS3), (AS1, AS2, AS4), (AS5, AS2, AS6), where AS2 is in the middle position, and its unique neighbors are AS1, AS3, AS4, AS5, and AS6, the transit degree of AS2 is 5. ASs such as AS1, AS3, AS4, AS5, and AS6, with a transit degree of 0 as they are not observed in the middle positions of triplets, are referred to as stub ASs located at the outermost layer of the Internet. Both degree and transit degree effectively reflect the importance of a specific AS on the Internet and are crucial graph features for subsequent algorithm design.
- Distance to Clique ASClique AS refers to a cluster of Autonomous Systems (ASs) situated at the top level of the Internet hierarchy. Within the Clique AS cluster, ASs mutually exchange traffic free of charge, without any associated fees (akin to a P2P relationship). Clique AS is often regarded as the center of the Internet, as researchers widely agree on an assumption: ASs at the topmost level of the Internet hierarchy have numerous customers among them, making these high-level ASs more likely to engage in peer-to-peer relationships, fostering mutual benefits. Conversely, for lower-level ASs, forming customer-to-provider (C2P) relationships with higher-level ASs to achieve global accessibility is considered a more optimal access strategy. Acquiring the distance feature from a specific AS to Clique AS is essentially aimed at measuring the distance of that AS to the Internet’s center.Initially, we obtain the list of Clique AS using the method proposed by Luckie [15]. Next, we extract the AS path attributes from the BGP raw data to construct an undirected graph. Subsequently, we calculate the shortest path distance from each AS in the undirected graph to every member AS in Clique AS, taking the average as the distance feature from that AS to Clique AS. We employ Equation (1) to assess the effectiveness of this feature, using the 2014 validation dataset to evaluate the three types of AS links. The distribution of distances to the Clique AS, as shown in Figure 2, significantly highlights the differences in the types of relationships: full transit, peering, and partial transit. The distinction between peering and p2c, and partial transit is quite evident. While the distributions of p2c and partial transit are closer, they can still be clearly differentiated. This occurs because, according to Giotsas’s definition [18], partial transit is considered a special case of p2c, leading to a tendency for similarity in feature distribution, yet with discernible differences.
- AS Organizational TypesThe organizational type of an AS determines its function and influences its relationships with neighbors. Common AS organizational types include three categories: Transit/Access AS, Content AS, and Enterprise AS. Transit/Access AS serves as a provider of transit and/or access services. Content AS provides content hosting and distribution services. Enterprise AS encompasses various organizations, universities, and companies. Typically, Transit/Access AS provides transit/access services to Content AS and Enterprise AS, reflecting well-established business relationships among ASs. We obtained the AS organizational type dataset publicly available from CAIDA [33] and conducted a statistical analysis of the AS organizational types included in the three categories of business relationships. The experimental results are presented in Figure 3, where Transit/Access AS is labeled as 0, Content AS as 1, and Enterprise AS as 2.
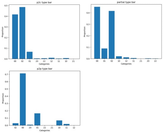
- AS HierarchyCarmi [34] proposed in 2007 that the Internet follows a certain hierarchical structure. For different AS links, we focus on which hierarchy each AS at the end of the link belongs to and calculate the proportion based on business relationships. Yang [35] once proposed a model that divides the Internet into four levels: (1) Core Layer: All ASs in the Clique AS form the core layer. Because these ASs have the highest transit degree, we label them as 1. We use the Clique AS list inferred from CAIDA. (2) High Layer: ASs that are direct customers of the core layer and have a neighbor degree greater than 100. (3) Stub Layer: ASs that are non-direct customers of the core layer and have no customers, i.e., ASs with a transit degree of 0. (4) Low Layer: ASs other than the above four categories. As shown in Figure 4, we can observe that p2c and partial relationships predominantly occur between ASs in the 3rd and 4th layers, while p2p relationships primarily occur between ASs in the 2nd and 3rd layers.
- Number of High-Hierarchy NeighborsASs located at higher levels often occupy the core of the Internet. Here, we refer to ASs situated in the first and second layers as high-level ASs. For an AS, the number of high-level neighbors indirectly indicates the magnitude of traffic it transmits on the Internet. Hence, we calculate the difference in the number of high-level neighbors between the two end nodes in three types of business relationship links. The statistical results are shown in Figure 5, indicating that this feature can distinctly differentiate between p2c and p2p relationships.
- AS PagerankPagerank is a link analysis algorithm that assigns numerical weights to each element in a hyperlinked document set (such as the World Wide Web), with the aim of “measuring” its relative importance in that set. The algorithm can be applied to any collection of entities with mutual references and citations. The numerical weight assigned to any given element E is called the Pagerank of E, denoted as PR(E) [36]. We calculated the Pagerank differences between nodes in three types of business relationships, and the statistical results are shown in Figure 6. From the graph, we can observe that the Pagerank feature can distinctly differentiate between partial transit links and p2c links.
- AS Geographic LocationASs have geographical locations in the real world, as proposed by Li [37]. For convenience, ASs typically purchase access services from ASs in the same location when connecting to the Internet. Subsequently, the access service ASs purchase transit services from ASs in another location to achieve global Internet connectivity. Therefore, we believe that geographical location can reflect business relationships between ASs to some extent. This feature is also applied for the first time in relationship inference. We obtained the AS geographic location dataset publicly available from CAIDA [38]. We conducted a statistical analysis of the geographic locations of nodes in each AS link, and the experimental results are shown in the graph. We observed that, for p2c links, the proportion of nodes at both ends with the same geographic location is 77.9%, for p2p links, it is 30.8%, and for partial transit links, it is 71.2%. From the data, we can see that p2c and p2p links exhibit significant differences in the geographic location feature.
3.2.3. Training Samples and Inference Method
4. Experiments
4.1. Datasets
Validation Data
4.2. Inference of Hidden AS Links
4.3. Inference of Complex AS Business Relationships
4.4. Replacement Experiment
4.4.1. Inference of Hidden AS Links
4.4.2. Inference of complex AS business relationships
4.5. Ablation Experiment
4.5.1. Hidden Link Features
4.5.2. Complex Business Relationships Features
5. Conclusions
Author Contributions
Funding
Data Availability Statement
Conflicts of Interest
References
- Zhang, B.; Liu, R.; Massey, D.; Zhang, L. Collecting the Internet AS-level topology. ACM SIGCOMM Comput. Commun. Rev. 2023, 35, 53–61. [Google Scholar] [CrossRef]
- University of Oregon Route Views Project. Available online: http://www.routeviews.org/routeviews/ (accessed on 19 December 2023).
- RIPE(RIS). Available online: https://www.ripe.net/ris/ (accessed on 19 December 2023).
- Isolario. Available online: https://www.isolario.it/ (accessed on 23 October 2023).
- Chang, H.; Govindan, R.; Jamin, S.; Shenker, S.J.; Willinger, W. Towards capturing representative AS-level Internet topologies. Comput. Netw. 2004, 44.6, 737–755. [Google Scholar] [CrossRef]
- Chen, K.; Hu, C.; Zhang, W.; Chen, Y.; Liu, B. On the eyeshots of bgp vantage points. In Proceedings of the GLOBECOM 2009—2009 IEEE Global Telecommunications Conference, Honolulu, HI, USA, 4 March 2010; pp. 1–6. [Google Scholar]
- Oliveira, R.; Pei, D.; Willinger, W.; Zhang, B.; Zhang, L. The (in) completeness of the observed Internet AS-level structure. IEEE/ACM Trans. Netw. 2009, 18, 109–122. [Google Scholar] [CrossRef]
- Milolidakis, A.; Bühler, T.; Wang, K.; Chiesa, M.; Vanbever, L.; Vissicchio, S. On the Effectiveness of BGP Hijackers That Evade Public Route Collectors. IEEE Access 2023, 11, 31092–31124. [Google Scholar] [CrossRef]
- Qiu, J.; Gao, L.; Ranjan, S.; Nucci, A. Detecting bogus BGP route information: Going beyond prefix hijacking. In Proceedings of the 2007 Third International Conference on Security and Privacy in Communications Networks and the Workshops-SecureComm 2007, Nice, France, 17–21 September 2007; pp. 381–390. [Google Scholar]
- Sermpezis, P.; Kotronis, V.; Dainotti, A.; Dimitropoulos, X. A survey among network operators on BGP prefix hijacking. ACM SIGCOMM Comput. Commun. Rev. 2018, 48, 64–69. [Google Scholar] [CrossRef]
- Problem Definition and Classification of BGP Route Leaks. Available online: https://www.rfc-editor.org/rfc/rfc7908 (accessed on 23 October 2023).
- Gregori, E.; Improta, A.; Lenzini, L.; Rossi, L.; Sani, L. A novel methodology to address the internet as-level data incompleteness. IEEE/ACM Trans. Netw. 2014, 23, 1314–1327. [Google Scholar] [CrossRef]
- Jin, Z.; Shi, X.; Yang, Y.; Yin, X.; Wang, Z.; Wu, J. Toposcope: Recover as relationships from fragmentary observations. In Proceedings of the ACM Internet Measurement Conference, Pittsburgh, PA, USA, 27–29 October 2020; pp. 266–280. [Google Scholar]
- Gao, L. On inferring autonomous system relationships in the Internet. IEEE/ACM Trans. Netw. 2001, 9, 733–745. [Google Scholar]
- Luckie, M.; Huffaker, B.; Dhamdhere, A.; Giotsas, V.; Claffy, K.C. AS relationships, customer cones, and validation. In Proceedings of the 2013 Conference on Internet Measurement Conference, Barcelona, Spain, 23–25 October 2013; pp. 243–256. [Google Scholar]
- Jin, Y.; Scott, C.; Dhamdhere, A.; Giotsas, V.; Krishnamurthy, A.; Shenker, S. Stable and practical AS relationship inference with ProbLink. In Proceedings of the 16th USENIX Symposium on Networked Systems Design and Implementation (NSDI 19), Boston, MA, USA, 26–28 February 2019; pp. 581–598. [Google Scholar]
- Peng, S.; Shu, X.; Ruan, Z.; Huang, Z.; Xuan, Q. Classifying multiclass relationships between ASes using graph convolutional network. Front. Eng. Manag. 2022, 9, 653–667. [Google Scholar] [CrossRef]
- Giotsas, V.; Luckie, M.; Huffaker, B.; Claffy, K.C. Inferring complex AS relationships. In Proceedings of the 2014 Conference on Internet Measurement Conference, Vancouver, BC, Canada, 5–7 November 2014; pp. 23–30. [Google Scholar]
- Wu, Z.; Pan, S.; Chen, F.; Long, G.; Zhang, C.; Philip, S.Y. A comprehensive survey on graph neural networks. IEEE Trans. Neural Netw. Learn. Syst. 2020, 32, 4–24. [Google Scholar] [CrossRef] [PubMed]
- Hamilton, W.; Ying, Z.; Leskovec, J. Inductive representation learning on large graphs. In Advances in Neural Information Processing Systems; Curran Associates, Inc.: Long Beach, CA, USA, 2017; Volume 30. [Google Scholar]
- Roughan, M.; Willinger, W.; Maennel, O.; Perouli, D.; Bush, R. 10 lessons from 10 years of measuring and modeling the internet’s autonomous systems. IEEE J. Sel. Areas Commun. 2011, 29, 1810–1821. [Google Scholar] [CrossRef]
- Mao, Z.M.; Qiu, L.; Wang, J.; Zhang, Y. On AS-level path inference. In Proceedings of the 2005 ACM SIGMETRICS International Conference on Measurement and Modeling of Computer Systems, Banff, AB, Canada, 6–10 June 2005; pp. 339–349. [Google Scholar]
- Deng, W.; Mühlbauer, W.; Yang, Y.; Zhu, P.; Lu, X.; Plattner, B. Shedding light on the use of AS relationships for path inference. J. Commun. Netw. 2012, 14, 336–345. [Google Scholar] [CrossRef]
- Mühlbauer, W.; Feldmann, A.; Maennel, O.; Roughan, M.; Uhlig, S. Building an AS-topology model that captures route diversity. JACM SIGCOMM Comput. Commun. Rev. 2006, 36, 195–206. [Google Scholar] [CrossRef]
- Mühlbauer, W.; Uhlig, S.; Fu, B.; Meulle, M.; Maennel, O. In search for an appropriate granularity to model routing policies. ACM SIGCOMM Comput. Commun. Rev. 2007, 37, 145–156. [Google Scholar] [CrossRef]
- Dimitropoulos, X.; Krioukov, D.; Fomenkov, M.; Huffaker, B.; Hyun, Y.; Claffy, K.C.; Riley, G. AS relationships: Inference and validation. ACM SIGCOMM Compute. Commun. Rev. 2007, 37, 29–40. [Google Scholar] [CrossRef]
- Faratin, P.; Clark, D.D.; Bauer, S.; Lehr, W.; Gilmore, P.W.; Berger, A. The growing complexity of Internet interconnection. Commun. Strategies 2008, 72, 51. [Google Scholar]
- Dual Transit/Peering. Available online: http://drpeering.net/white-papers/Art-OfPeering-The-Peering-Playbook.html#4 (accessed on 19 December 2023).
- Partial Transit (Regional). Available online: http://drpeering.net/white-papers/Art-OfPeering-The-Peering-Playbook.html#7 (accessed on 19 December 2023).
- Kastanakis, S.; Giotsas, V.; Livadariu, I.; Suri, N. Replication: 20 Years of Inferring Interdomain Routing Policies. In Proceedings of the 2023 ACM on Internet Measurement Conference, Montreal, QC, Canada, 24–26 October 2023; pp. 16–29. [Google Scholar]
- Examine Border Gateway Protocol Case Studies. Available online: https://www.cisco.com/c/en/\us/support/docs/ip/border-gateway-protocol-bgp/26634-bgp-toc.html#toc-hId--910520404 (accessed on 23 October 2023).
- Jin, W.; Liu, X.; Ma, Y.; Aggarwal, C.; Tang, J. Feature overcorrelation in deep graph neural networks: A new perspective. arXiv 2022, arXiv:2206.07743. [Google Scholar]
- CAIDA Public Dataset. Available online: https://publicdata.caida.org/datasets/as-classification_\restricted/ (accessed on 23 October 2023).
- Carmi, S.; Havlin, S.; Kirkpatrick, S.; Shavitt, Y.; Shir, E. A model of Internet topology using k-shell decomposition. Proc. Natl. Acad. Sci. USA 2007, 104, 11150–11154. [Google Scholar] [CrossRef]
- Yang, Y.; Shi, X.; Yin, X.; Wang, Z. The power of prefix hijackings in the internet hierarchy. In Proceedings of the 2016 IEEE Trustcom/BigDataSE/ISPA, Tianjin, China, 23–26 August 2009; pp. 228–235. [Google Scholar]
- Wikipedia. Available online: https://en.wikipedia.org/wiki/PageRank (accessed on 23 October 2023).
- Li, J.; Cao, J.; Meng, Z.; Xie, R.; Xu, M. RoLL: Real-Time and Accurate Route Leak Location with AS Triplet Features. In Proceedings of the ICC 2023—IEEE International Conference on Communications, Rome, Italy, 28 May–1 June 2023; pp. 5240–5246. [Google Scholar]
- CAIDA Public Dataset. Available online: https://publicdata.caida.org/datasets/as-organizations/ (accessed on 23 October 2023).










| Features | Description |
|---|---|
| AS Degree | Number of Neighbors for AS |
| AS Transit Degree | Extract triplets centered around AS i and determine the count of AS i’s unique neighbors in the transmission path. |
| AS Hierarchy | Hierarchy of AS in the Internet |
| AS Pagerank | A link analysis algorithm that assigns numerical weights to each element in a hyperlinked document set with the goal of “measuring” its relative importance within that collection. |
| AS Organizational Type | The organizational types of AS, with three common types: Transit/Access AS, Content AS, and Enterprise AS. |
| AS Customer Cone Size | Metrics proposed by CAIDA to measure the importance of AS |
| AS Geographic Location | Country of AS registry |
| Number of High-Hierarchy Neighbors | Number of neighboring AS in the core and high layers |
| Removed Features | Accuracy Variation |
|---|---|
| AS Degree | −5.88% |
| AS Transit Degree | −3.11% |
| AS Hierarchy | −2.42% |
| AS Pagerank | −6.04% |
| AS Organizational Type | −2.21% |
| AS Customer Cone Size | −4.10% |
| AS Geographic Location | −2.01% |
| Number of High-Hierarchy Neighbors | −7.15% |
| Removed Features | Accuracy Variation |
|---|---|
| AS Degree | −0.52% |
| AS Transit Degree | −0.14% |
| Distance to Clique AS | −1.11% |
| AS Organizational Type | −0.22% |
| AS Hierarchy | −0.99% |
| Number of High-Hierarchy Neighbors | −1.33% |
| AS Pagerank | −0.18% |
| AS Geographic Location | −0.92% |
Disclaimer/Publisher’s Note: The statements, opinions and data contained in all publications are solely those of the individual author(s) and contributor(s) and not of MDPI and/or the editor(s). MDPI and/or the editor(s) disclaim responsibility for any injury to people or property resulting from any ideas, methods, instructions or products referred to in the content. |
© 2024 by the authors. Licensee MDPI, Basel, Switzerland. This article is an open access article distributed under the terms and conditions of the Creative Commons Attribution (CC BY) license (https://creativecommons.org/licenses/by/4.0/).
Share and Cite
Gao, H.; Li, N.; Xie, Y. Hidden-SAGE: For the Inference of Complex Autonomous System Business Relationships Involving Hidden Links. Electronics 2024, 13, 1617. https://doi.org/10.3390/electronics13091617
Gao H, Li N, Xie Y. Hidden-SAGE: For the Inference of Complex Autonomous System Business Relationships Involving Hidden Links. Electronics. 2024; 13(9):1617. https://doi.org/10.3390/electronics13091617
Chicago/Turabian StyleGao, Haoyang, Ning Li, and Yuancheng Xie. 2024. "Hidden-SAGE: For the Inference of Complex Autonomous System Business Relationships Involving Hidden Links" Electronics 13, no. 9: 1617. https://doi.org/10.3390/electronics13091617
APA StyleGao, H., Li, N., & Xie, Y. (2024). Hidden-SAGE: For the Inference of Complex Autonomous System Business Relationships Involving Hidden Links. Electronics, 13(9), 1617. https://doi.org/10.3390/electronics13091617

