Impedance and Dielectric Analysis of Nickel Ferrites: Revealing the Role of the Constant Phase Element and Yttrium Doping
Abstract
1. Introduction
2. Method
2.1. Impedance Spectroscopy Studies
2.2. Dielectric Spectroscopy Studies
3. Results and Discussion
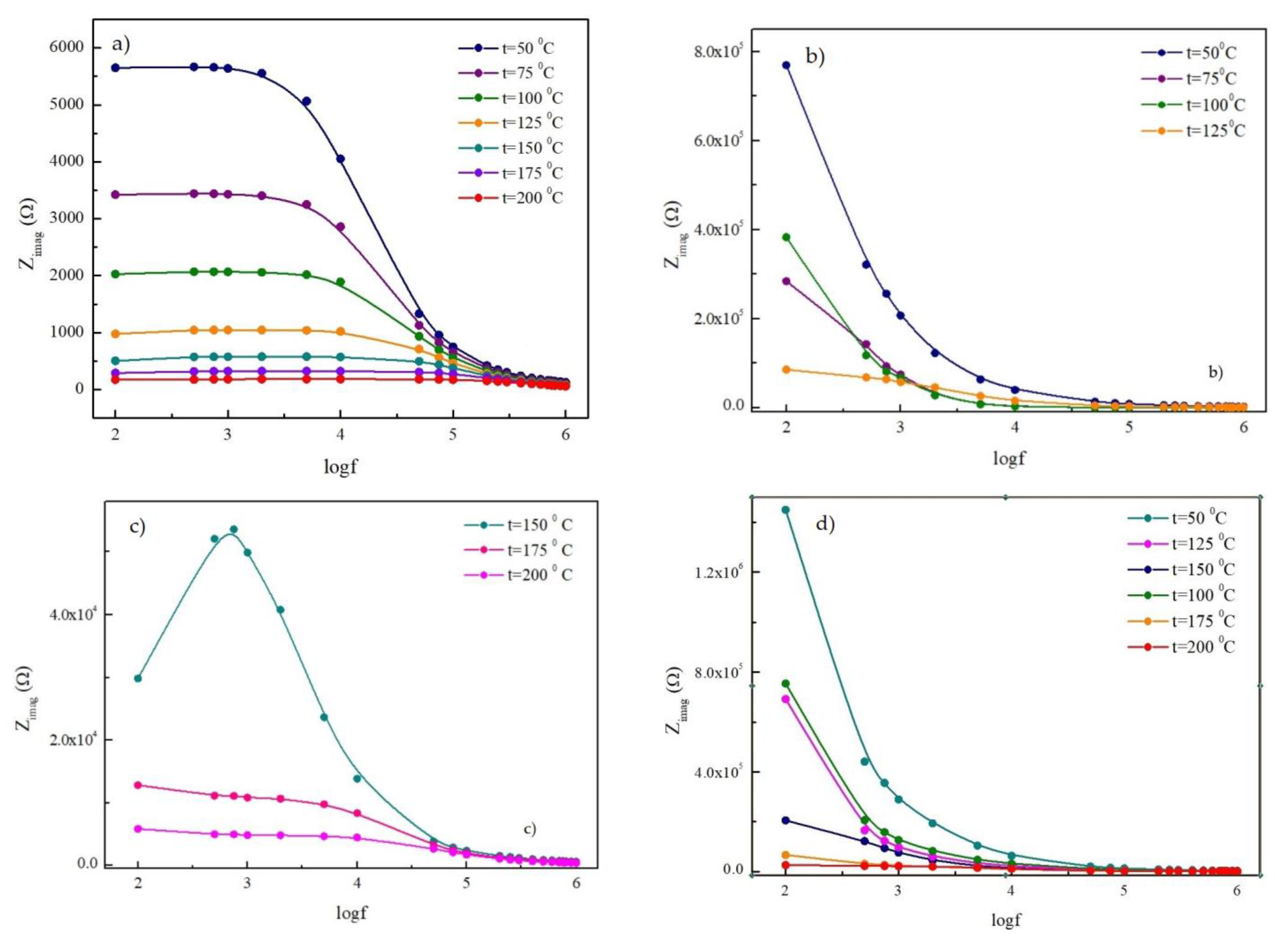
3.1. Impedances Analysis
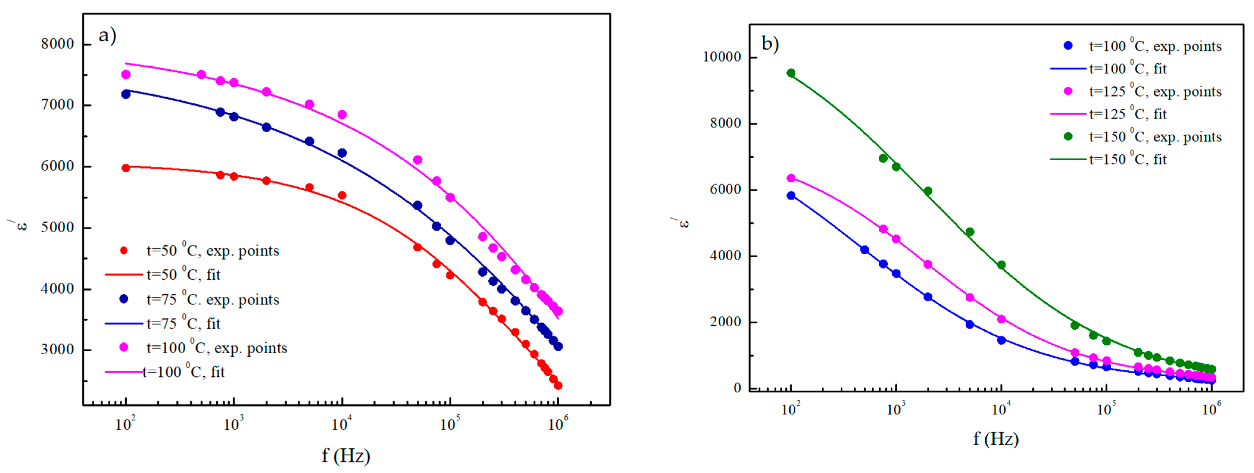
3.2. Dielectric Analysis
4. Conclusions
5. Future Work
Author Contributions
Funding
Data Availability Statement
Acknowledgments
Conflicts of Interest
References
- Waris, A.; Din, M.; Ali, A.; Afridi, S.; Baset, A.; Khan, A.U.; Ali, M. Green fabrication of Co and Co3O4 nanoparticles and their biomedical applications: A review. Open Life Sci. 2021, 16, 14–30. [Google Scholar] [CrossRef] [PubMed]
- Zhao, S.; Yu, X.; Qian, Y.; Chen, W.; Shen, J. Multifunctional Magnetic Iron Oxide Nanoparticles: An Advanced Platform for Cancer Theranostics. Theranostics 2020, 10, 6278–6309. [Google Scholar] [CrossRef] [PubMed]
- Selim, M.M.; El-Safty, S.; Tounsi, A.; Shenashen, M. A review of magnetic nanoparticles used in nanomedicine. APL Mater. 2024, 12, 010601. [Google Scholar] [CrossRef]
- Kudr, J.; Haddad, Y.; Richtera, L.; Heger, Z.; Cernak, M.; Adam, V.; Zitka, O. Magnetic Nanoparticles: From Design and Synthesis to Real World Applications. Nanomaterials 2017, 7, 243. [Google Scholar] [CrossRef]
- Asghar, K.; Qasim, M.; Das, D. Preparation and characterization of mesoporous magnetic MnFe2O4@mSiO2 nanocomposite for drug delivery application. Mater. Today Proc. 2020, 26, 87–93. [Google Scholar] [CrossRef]
- Kaur, H.; Singh, A.; Kumar, V.; Ahlawat, D.S. Structural, thermal and magnetic investigations of cobalt ferrite doped with Zn2+ and Cd2+ synthesized by auto combustion method. J. Magn. Magn. Mater. 2019, 474, 505–511. [Google Scholar] [CrossRef]
- Özçelik, B.; Özçelik, S.; Amaveda, H.; Santos, H.; Borrell, C.; Sáez-Puche, R.; de la Fuente, G.; Angurel, L. High speed processing of NiFe2O4 spinel using a laser furnace. J. Materiomics 2020, 6, 661–670. [Google Scholar] [CrossRef]
- Naik, A.B.; Naik, P.P.; Hasolkar, S.S.; Naik, D. Structural, magnetic and electrical properties along with antifungal activity & adsorption ability of cobalt doped manganese ferrite nanoparticles synthesized using combustion route. Ceram. Int. 2020, 46, 21046–21055. [Google Scholar] [CrossRef]
- Abushad, M.; Arshad, M.; Naseem, S.; Ahmed, H.; Ansari, A.; Chakradhary, V.K.; Husain, S.; Khan, W. Synthesis and role of structural disorder on the optical, magnetic and dielectric properties of Zn doped NiFe2O4 nanoferrites. J. Mol. Struct. 2022, 1253, 132205. [Google Scholar] [CrossRef]
- Suresh, J.; Trinadh, B.; Babu, B.V.; Reddy, P.; Mohan, B.S.; Krishna, A.R.; Samatha, K. Evaluation of micro-structural and magnetic properties of nickel nano-ferrite and Mn2+ substituted nickel nano-ferrite. Phys. B Condens. Matter 2021, 620, 413264. [Google Scholar] [CrossRef]
- Dippong, T.; Levei, E.A.; Cadar, O.; Deac, I.G.; Lazar, M.; Borodi, G.; Petean, I. Effect of amorphous SiO2 matrix on structural and magnetic properties of Cu0.6Co0.4Fe2O4/SiO2 nanocomposites. J. Alloys Compd. 2020, 849, 156695. [Google Scholar] [CrossRef]
- Choudary, G.S.V.R.K.; Prameela, P.; Varma, M.C.; Kumar, A.M.; Rao, K.H. Contribution to Analysis of Co/Cu Substituted Ni-Zn Ferrites. Indian J. Mater. Sci. 2013, 2013, 350707. [Google Scholar] [CrossRef]
- Varma, M.C.; Bharadwaj, S.; Choudary, G.S.V.R.K.; Murthy, K.S.R.; Rao, K.H. Influence of magnesium-substituted Ni–Zn ferrites on magnetic and electric losses at lower frequency. Int. J. Mod. Phys. B 2017, 31, 1750063. [Google Scholar] [CrossRef]
- Chintala, J.N.P.K.; Varma, M.C.; Choudary, G.S.V.R.K.; Rao, K.H. Control of coercivity and magnetic anisotropy through cobalt substitution in Ni-Zn ferrite. J. Supercond. Nov. Magn. 2021, 34, 2357–2370. [Google Scholar] [CrossRef]
- Gangaswamy, D.R.S.; Choudary, G.S.V.R.K.; Varma, M.C.; Bharadwaj, S.; Rao, K.H. Enhanced Magnetic Permeability in Ni0.55−yCoyZn0.35Mg0.10Fe2O4 Synthesized by Sol-Gel Method. J. Supercond. Nov. Magn. 2018, 31, 3753–3760. [Google Scholar] [CrossRef]
- Jacobo, S.; Duhalde, S.; Bertorello, H. Rare Earth Influence on the Structural and Magnetic Properties of NiZn Ferrites. J. Magn. Magn. Mater. 2004, 272–276, 2253–2254. [Google Scholar] [CrossRef]
- Lvovich, V.F. Impedance Spectroscopy: Applications to Electrochemical and Dielectric Phenomena; John Wiley & Sons: Hoboken, NJ, USA, 2012. [Google Scholar]
- Kremer, F.; Schohals, A. Broadband Dielectric Spectroscopy; Springer: Berlin/Heidelberg, Germany, 2002. [Google Scholar]
- Varalaxmi, N. Impedance Spectroscopic Studies of NiMgCuZn Ferrites. J. Mater. Sci. Eng. 2019, 8, 1052. [Google Scholar]
- Henaish, A.M.A.; Zakaly, H.M.H.; Hemeda, O.M.; Weinstein, I.A.; El-Shahawy, M.M.; Darwish, K.A. Enhancing of Electrical and Dielectric Properties of Barium Zirconate Titanate/Poly (Vinylidene Fluoride) Nano-Composites. Electronics 2022, 11, 3855. [Google Scholar] [CrossRef]
- Ognjanovic, S.M.; Tokic, I.; Cvejic, Z.; Rakic, S.; Srdic, V.V. Structural and dielectric properties of yttrium substituted nickel ferrites. Mater. Res. Bull. 2014, 49, 259–264. [Google Scholar] [CrossRef]
- Mathe, V.; Kamble, R. Anomalies in Electrical and Dielectric Properties of Nanocrystalline Ni-Co Spinel Ferrite. Mater. Res. Bull. 2008, 43, 2160–2165. [Google Scholar] [CrossRef]
- GW Instek LCR-8105G 20 Hz to 5 MHz Precision LCR Meter. Available online: https://www.coleparmer.com/i/gw-instek-lcr-8105g-20-hz-to-5-mhz-precision-lcr-meter/2003658 (accessed on 4 March 2024).
- Bondarenko, A.S.; Ragoisha, G. EIS Spectrum Analyser. Available online: www.abc.chemistry.bsu.by (accessed on 22 December 2023).
- Martínez, R.; Kumar, A.; Palai, R.; Scott, J.F.; Katiyar, R.S. Impedance spectroscopy analysis of Ba0.7Sr03TiO3/La0.7Sr0.3MnO3 heterostructure. J. Phys. D Appl. Phys. 2011, 44, 105302. [Google Scholar] [CrossRef]
- Arrhenius, S. Über die Reaktionsgeschwindigkeit bei der Inversion von Rohrzucker durch Säuren. Z. Physik. Chem. 1889, 4, 226–248. [Google Scholar] [CrossRef]
- Maxwell, J. A Treatise on Electricity and Magnetism; Clarendon Press: Oxford, UK; London, UK, 1982. [Google Scholar]
- Koops, C.G. On the dispersion of resistivity and dielectric constant of some semiconductors at audio frequencies. Phys. Rev. B 1951, 83, 121–124. [Google Scholar] [CrossRef]
- Datt, G.; Abhyankar, A.C. Dopant driven tunability of dielectric relaxation in MxCo(1−x)Fe2O4 (M: Zn2+, Mn2+, Ni2+) nano-ferrites. J. Appl. Phys. 2017, 122, 0341. [Google Scholar] [CrossRef]
- Jankov, S.; Armaković, S.; Tóth, E.; Skuban, S.; Srdic, V.; Cvejic, Z. Understanding how yttrium doping influences the properties of nickel ferrite—Combined experimental and computational study. Ceram. Int. 2019, 45, 20290–20296. [Google Scholar] [CrossRef]
- Rajulu, K.C.V.; Tilak, B.; Rao, K.S. Impedance spectroscopy study of BNKLT polycrystalline ceramic. Appl. Phys. A 2012, 106, 533–543. [Google Scholar] [CrossRef]
- Rayssi, C.; ElKossi, S.; Dhahri, J.; Khirouni, K. Frequency and temperature-dependence of dielectric permittivity and electric modulus studies of the solid solution Ca0.85Er0.1Ti1−xCo4x/3O3 (0 ≤ x ≤ 0.1). R. Soc. Chem. 2018, 8, 17139–17150. [Google Scholar] [CrossRef] [PubMed]
- Lahouli, R.; Massoudi, J.; Smari, M.; Rahmouni, H.; Khirouni, K.; Dhahri, E.; Bessais, L. Investigation of annealing effects on the physical properties of Ni0.6Zn0.4Fe1.5Al0.5O4 ferrite. R. Soc. Chem. 2019, 9, 19949–19964. [Google Scholar] [CrossRef]
- Chen, W.; Zhu, W.; Tan, O.K.; Chen, X.F. Frequency and temperature dependent impedance spectroscopy of cobalt ferrite composite thick films. J. Appl. Phys. 2010, 108, 034101. [Google Scholar] [CrossRef]
- Arora, M.; Arora, V.; Kaur, S.; Kaur, J.; Kumar, S.; Singh, A. Evidence of non-debye behavior of Pb0.76Sm0.24Ti0.76Fe0.24O3 ceramics by complex impedance spectroscopy. Mater. Today Proc. 2023, 80, 1079–1085. [Google Scholar] [CrossRef]
- Rahman, T.; Ramana, C.V. Impedance spectroscopic characterization of gadolinium substituted cobalt ferrite ceramics. J. Appl. Phys. 2014, 116, 164108. [Google Scholar] [CrossRef]
- Karmakar, S.; Varma, S.; Behera, D. Investigation of structural and electrical transport properties of nano-flower shaped NiCo2O4 supercapacitor electrode materials. J. Alloys Compd. 2018, 757, 49–59. [Google Scholar] [CrossRef]
- Paswan, S.K.; Pradhan, L.K.; Kumar, P.; Kumari, S.; Kar, M.; Kumar, L. Electrical transport properties of nanocrystalline and bulk nickel ferrite using complex impedance spectroscopy: A comparative study. Phys. Scr. 2022, 97, 095812. [Google Scholar] [CrossRef]
- Behera, C.; Das, P.R.; Choudhary, R.N.P. Structural and electrical properties of mechanothermally synthesized NiFe2O4 nanoceramics. J. Electron. Mater. 2014, 43, 3539–3549. [Google Scholar] [CrossRef]
- Pradhan, D.K.; Misra, P.; Puli, V.S.; Sahoo, S.; Pradhan, D.K.; Katiyar, R.S. Studies on structural, dielectric, and transport properties of Ni0.65Zn0.35Fe2O4. J. Appl. Phys. 2014, 115, 243904. [Google Scholar] [CrossRef]
- Arenas, C.; Henriquez, R.; Moraga, L.; Muñoz, E.; Munoz, R.C. The effect of electron scattering from disordered grain boundaries on the resistivity of metallic nanostructures. Appl. Surf. Sci. 2015, 329, 184–196. [Google Scholar] [CrossRef]
- Nandihalli, N.; Pai, Y.-H.; Liu, C.-J. Fabrication and thermoelectric properties of Pb (Zn0.85Al0.15) Te-Te (y = 0, 0.04, 0.06, 0.08, and 0.11) nanocomposites. Ceram. Int. 2020, 46, 6443–6453. [Google Scholar] [CrossRef]
- Dar, M.A.; Majid, K.; Batoo, K.M.; Kotnala, R. Dielectric and impedance study of polycrystalline Li0.35−0.5Cd0.3Ni Fe2.35−0.5O4 ferrites synthesized via a citrate-gel auto combustion method. J. Alloy. Compd. 2015, 632, 307–320. [Google Scholar] [CrossRef]
- Zubkov, S.V.; Parinov, I.A.; Kuprina, Y.A. The Structural and Dielectric Properties of Bi3−xNdxTi1.5W0.5O9 (x = 0.25, 0.5, 0.75, 1.0). Electronics 2022, 11, 277. [Google Scholar] [CrossRef]
- Żukowski, P.; Gałaszkiewicz, P.; Bondariev, V.; Okal, P.; Pogrebnjak, A.; Kupchishin, A.; Ruban, A.; Pogorielov, M.; Kołtunowicz, T.N. Comparative Measurements and Analysis of the Electrical Properties of Nanocomposites TixZr1−xC+α-Cy (0.0 ≤ x ≤ 1.0). Materials 2022, 15, 7908. [Google Scholar] [CrossRef]
- Zukowski, P.; Koltunowicz, T.; Boiko, O.; Bondariev, V.; Czarnacka, K.; Fedotova, J.; Fedotov, A.; Svito, I. Impedance model of metal-dielectric nanocomposites produced by ion-beam sputtering in vacuum conditions and its experimental verification for thin films of (FeCoZr)x(PZT)(100−x). Vacuum 2015, 120, 37–43. [Google Scholar] [CrossRef]
- Bharathi, K.K.; Markandeyulu, G.; Ramana, C.V. Structural, magnetic, electrical, and magnetoelectric properties of Sm- and Ho-substituted nickel ferrites. J. Phys. Chem. C 2011, 115, 554–560. [Google Scholar] [CrossRef]






| x = 0.05 | x = 0.15 | x = 0.3 | ||||||||||
|---|---|---|---|---|---|---|---|---|---|---|---|---|
| t (°C) | Rg (103 Ω) | CPE (nF) | n | τg (10−6 s) | Rgb (105 Ω) | CPE (nF) | n | τgb (10−5 s) | Rgb (105 Ω) | CPE (nF) | n | τgb (10−5 s) |
| 50 | 8086.3 | 1.96 | 1 | 15.85 | 10 | 1.93 | 0.86 | 70.1 | 10 | 0.644 | 0.99 | 59.84 |
| 75 | 6533.5 | 7.48 | 0.91 | 18.42 | 6.19 | 1.8 | 0.9 | 52.73 | 9.94 | 2.08 | 0.89 | 96.66 |
| 100 | 3122.8 | 6.95 | 0.93 | 9.70 | 3.09 | 5.12 | 0.74 | 19.83 | 5.61 | 1.23 | 0.98 | 59.65 |
| 125 | 1453.6 | 3.91 | 0.97 | 3.96 | 1.44 | 1.91 | 0.92 | 12.9 | 4.48 | 1.56 | 0.97 | 56.20 |
| 150 | 933.58 | 5.13 | 0.95 | 2.59 | 0.53 | 4.15 | 0.85 | 5.25 | 3.27 | 5.72 | 0.84 | 56.70 |
| 175 | 632.42 | 2.04 | 1 | 1.29 | 0.18 | 1.25 | 0.96 | 1.45 | 0.53 | 24.19 | 0.7 | 7.41 |
| 200 | 284.5 | 1.99 | 1 | 0.57 | 0.08 | 4.08 | 0.87 | 0.7 | 0.38 | 3.3 | 0.9 | 4.67 |
| x = 0.05 | x = 0.3 | ||||
|---|---|---|---|---|---|
| t (°C) | τ (s) | α | t (°C) | τ (s) | α |
| 50 | 2.6 × 10−7 | 1.47 | 100 | 3.42 × 10−4 | 1.48 |
| 75 | 0.91 × 10−8 | 1.72 | 125 | 0.84 × 10−4 | 1.39 |
| 100 | 0.36 × 10−8 | 1.69 | 150 | 0.8 × 10−4 | 1.51 |
Disclaimer/Publisher’s Note: The statements, opinions and data contained in all publications are solely those of the individual author(s) and contributor(s) and not of MDPI and/or the editor(s). MDPI and/or the editor(s) disclaim responsibility for any injury to people or property resulting from any ideas, methods, instructions or products referred to in the content. |
© 2024 by the authors. Licensee MDPI, Basel, Switzerland. This article is an open access article distributed under the terms and conditions of the Creative Commons Attribution (CC BY) license (https://creativecommons.org/licenses/by/4.0/).
Share and Cite
Šiljegović, M.; Cvejić, Ž.; Jankov, S.; Toth, E.; Herceg, D.; Odry, P.; Tadic, V. Impedance and Dielectric Analysis of Nickel Ferrites: Revealing the Role of the Constant Phase Element and Yttrium Doping. Electronics 2024, 13, 1496. https://doi.org/10.3390/electronics13081496
Šiljegović M, Cvejić Ž, Jankov S, Toth E, Herceg D, Odry P, Tadic V. Impedance and Dielectric Analysis of Nickel Ferrites: Revealing the Role of the Constant Phase Element and Yttrium Doping. Electronics. 2024; 13(8):1496. https://doi.org/10.3390/electronics13081496
Chicago/Turabian StyleŠiljegović, Mirjana, Željka Cvejić, Stevan Jankov, Elvira Toth, Dejana Herceg, Peter Odry, and Vladimir Tadic. 2024. "Impedance and Dielectric Analysis of Nickel Ferrites: Revealing the Role of the Constant Phase Element and Yttrium Doping" Electronics 13, no. 8: 1496. https://doi.org/10.3390/electronics13081496
APA StyleŠiljegović, M., Cvejić, Ž., Jankov, S., Toth, E., Herceg, D., Odry, P., & Tadic, V. (2024). Impedance and Dielectric Analysis of Nickel Ferrites: Revealing the Role of the Constant Phase Element and Yttrium Doping. Electronics, 13(8), 1496. https://doi.org/10.3390/electronics13081496

