Kalman Filter with Adaptive Covariance Estimation for Carrier Tracking under Weak Signals and Dynamic Conditions
Abstract
1. Introduction
2. KF-Based Tracking Algorithm
2.1. The Receiver Tracking Loop Model
2.2. System Model
3. Proposed Adaptive KF-Based Tracking
3.1. Analysis of the Adaptive Factor
3.2. The System Stability Detection
3.3. The Proposed Algorithm for Carrier Tracking
4. Performance Evaluation and Discussion
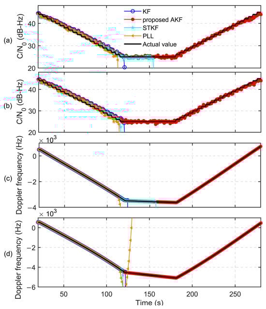
4.1. Example 1: Signal Fading Rapidly and Acceleration Scenario
- (i)
- Initialize the process noise covariance matrix using (3) with . Initialize the measurement noise covariance using (4) with = 45 dB-Hz and . The update period of the tracking loop is 4 ms. For the weak and dynamic signals, the update period is a compromise parameter, which should be long enough to work under weak signal conditions and should be as short as possible to work under dynamic conditions simultaneously. Then we set the update period as 4 ms.
- (ii)
- In the proposed method, the window size for estimated innovation covariances is 20. To make a compromise between the unbiased estimation and the short-term statistics, reference [29] has stated that good window size is between 10 and 30.
- (iii)
- Set the significance level to 0.01, and the threshold value is 6.6349. It means that the probability of {} is 0.01. If the event {} occurs, the hypothesis will hold and the proposed AKF tracking will be implemented.
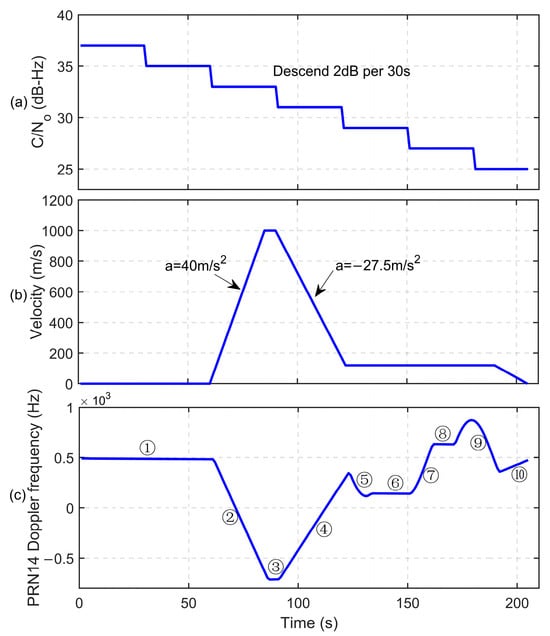
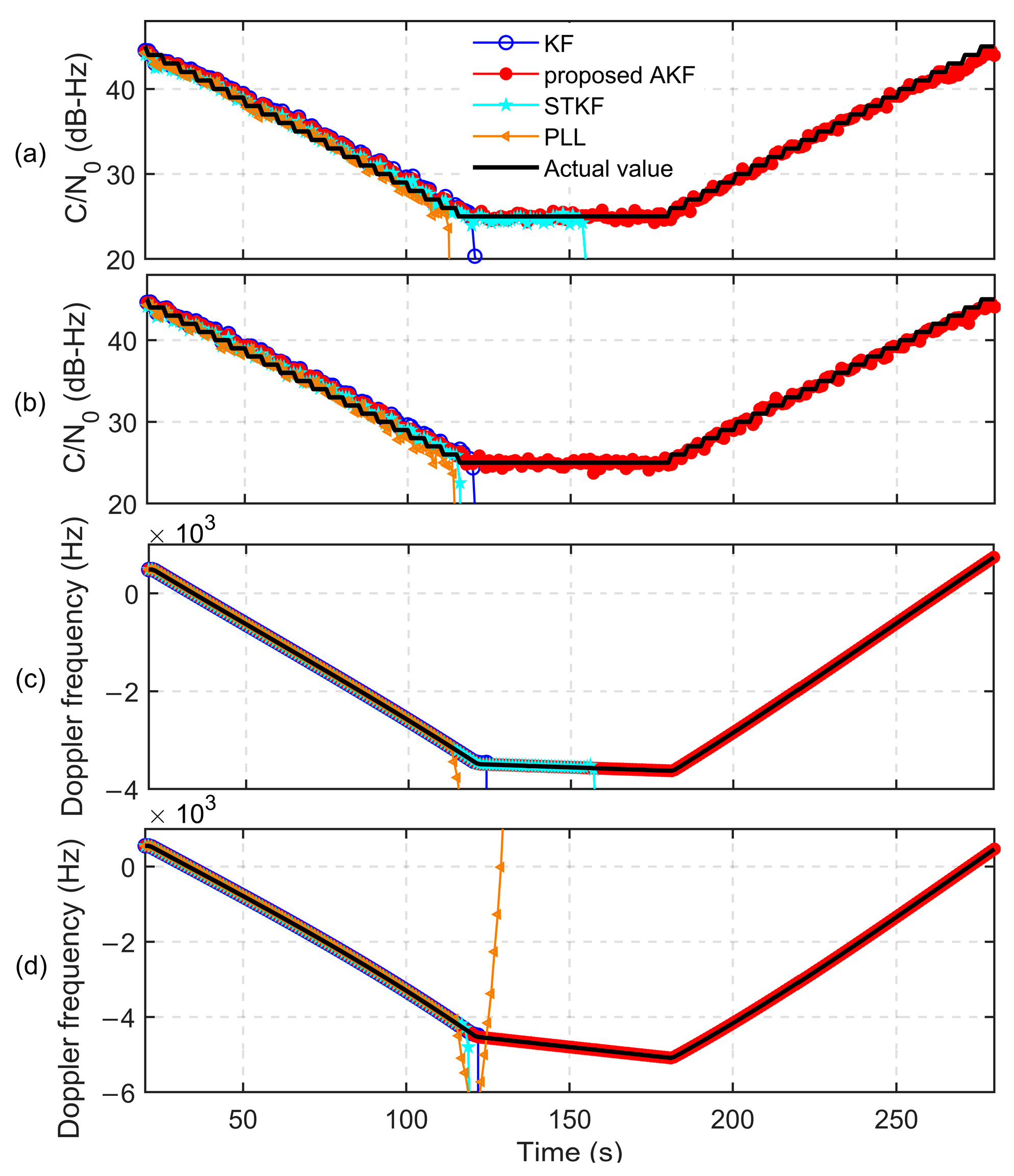
4.2. Example 2: Abrupt Dynamics and Signal Fading Scenario
4.3. Complexity Analysis
5. Conclusions
Author Contributions
Funding
Data Availability Statement
Acknowledgments
Conflicts of Interest
References
- Yasyukevich, Y.V.; Zhang, B.; Devanaboyina, V.R. Advances in GNSS Positioning and GNSS Remote Sensing. Sensors 2024, 24, 1200. [Google Scholar] [CrossRef] [PubMed]
- Hamza, V.; Stopar, B.; Sterle, O.; Pavlovčič-Prešeren, P. Low-Cost Dual-Frequency GNSS Receivers and Antennas for Surveying in Urban Areas. Sensors 2023, 23, 2861. [Google Scholar] [CrossRef] [PubMed]
- Yang, R.; Ling, V.; Poh, K.; Morton, Y. Generalized GNSS signal carrier tracking: Part II: Optimization and implementation. IEEE Trans. Aerosp. Electron. Syst. 2017, 53, 1798–1811. [Google Scholar] [CrossRef]
- López-Salcedo, J.A.; Del Peral-Rosado, J.A.; Seco-Granados, G. Survey on robust carrier tracking techniques. IEEE Commun. Surv. Tutor. 2014, 16, 670–688. [Google Scholar] [CrossRef]
- Wang, D.; Dong, Y.; Li, Z.; Li, Q.; Wu, J. Constrained MEMS-Based GNSS/INS Tightly Coupled System with Robust Kalman Filter for Accurate Land Vehicular Navigation. IEEE Trans. Instrum. Meas. 2020, 69, 5138–5148. [Google Scholar] [CrossRef]
- Gao, G.; Gao, B.; Gao, S.; Hu, G.; Zhong, Y. A hypothesis test-constrained robust Kalman filter for INS/GNSS integration with abnormal measurement. IEEE Trans. Veh. Technol. 2023, 72, 1662–1673. [Google Scholar] [CrossRef]
- Chen, X.; Cao, L.; Guo, P.; Xiao, B. A higher-order robust correlation Kalman filter for satellite attitude estimation. ISA Trans. 2020, 124, 326–327. [Google Scholar] [CrossRef] [PubMed]
- Wu, M.; He, Y.; Luo, S.; Liu, W. Particle filter-based real-time phase line bias estimation for GNSS-based attitude deter-mination with common-clock receivers. Adv. Space Res. 2023, 71, 1682–1699. [Google Scholar] [CrossRef]
- Liu, Y.; Duan, C.; Liu, L.; Cao, L. Discrete-Time Incremental Backstepping Control with Extended Kalman Filter for UAVs. Electronics 2023, 12, 3079. [Google Scholar] [CrossRef]
- Feng, S.; Ochieng, W.; Moore, T.; Hill, C.; Hide, C. Carrier phase-based integrity monitoring for high-accuracy positioning. GPS Solut. 2019, 13, 13–22. [Google Scholar]
- Psiaki, L.; Jung, H. Extended Kalman filter methods for tracking weak GPS signals. In Proceedings of the 15th International Technical Meeting of the Satellite Division of The Institute of Navigation (ION GPS 2002), Portland, OR, USA, 24–27 September 2002; pp. 2539–2553. [Google Scholar]
- Won, J.; Pany, T.; Eissfeller, B. Characteristics of Kalman filters for GNSS signal tracking loop. IEEE Trans. Aerosp. Electron. Syst. 2012, 48, 3671–3681. [Google Scholar] [CrossRef]
- Won, H.; Dotterbock, D.; Eissfeller, B. Performance comparison of different forms of Kalman filter approach for a vector-based GNSS signal tracking loop. Navigation 2010, 57, 185–199. [Google Scholar] [CrossRef]
- Salem, D.; O’Driscoll, C.; Lachapelle, G. Methodology for comparing two carrier phase tracking techniques. GPS Solut. 2012, 16, 197–207. [Google Scholar] [CrossRef]
- Feng, B.; Fu, M.; Ma, H.; Xia, Y.; Wang, B. Kalman filter with recursive covariance estimation-sequentially estimating process noise covariance. IEEE Trans. Ind. Electron. 2014, 61, 6253–6263. [Google Scholar] [CrossRef]
- Liu, Y.; Fan, X.; Lv, C.; Wu, J.; Li, L.; Ding, D. An innovative information fusion method with adaptive Kalman filtering for integrated INS/GPS navigation of autonomous vehicles. Mech. Syst. Signal Process. 2018, 100, 605–616. [Google Scholar] [CrossRef]
- Farina, B.; Tolado, J.; Acosta, L. Augmented Kalman filter design in a localization system using onboard sensors with intrinsic delays. IEEE Sens. J. 2023, 23, 12105–12113. [Google Scholar] [CrossRef]
- Curbelo, E.; Martino, L.; Llorente, F.; Delgado-Gomez, D. Adaptive Posterior Distributions for Uncertainty Analysis of Covariance Matrices in Bayesian Inversion Problems for Multioutput Signals. viXra 2023. viXra:2310.0032. [Google Scholar]
- Martino, L.; Llorente, F.; Cuberlo, E.; Lopez-Santiago, J.; Miguez, J. Automatic Tempered Posterior Distributions for Bayesian Inversion Problems. Mathematics 2021, 9, 784. [Google Scholar] [CrossRef]
- Yao, G.; Wu, W.; He, X. High dynamic carrier phase tracking based on adaptive Kalman filtering. In Proceedings of the Chinese Control and Decision Conference (CCDC), Mianyang, China, 23–25 May 2011; pp. 1245–1249. [Google Scholar]
- Chen, S.; Gao, Y. Improvement of carrier phase tracking in high dynamic conditions using an adaptive joint vector tracking architecture. GPS Solut. 2019, 23, 15. [Google Scholar] [CrossRef]
- Harsha, S.; Ratnam, V. Implementation of advanced carrier tracking algorithm using adaptive-extended Kalman filter for GNSS receivers. IEEE Geosci. Remote Sens. Lett. 2016, 13, 1280–1284. [Google Scholar] [CrossRef]
- Vila, J.; Closas, P.; Fernández, C.; Lopez, A.; Seco-Granados, G. Adaptive GNSS carrier tracking under ionospheric scintillation: Estimation vs. mitigation. IEEE Commun. Lett. 2015, 19, 961–964. [Google Scholar] [CrossRef]
- Miao, Z.; Lv, Y.; Xu, D.; Shen, F.; Pang, S. Analysis of a variational Bayesian adaptive cubature Kalman filter tracking loop for high dynamic conditions. GPS Solut. 2017, 21, 111–122. [Google Scholar] [CrossRef]
- O’Driscoll, C.; Petovello, G.; Lachapelle, G. Choosing the coherent integration time for Kalman filter-based carri-er-phase tracking of GNSS signals. GPS Solut. 2011, 15, 345–356. [Google Scholar] [CrossRef]
- Yin, Z.; Li, G.; Zhang, Y.; Liu, J. Symmetric-Strong-Tracking-Extended-Kalman-Filter-Based Sensorless Control of Induction Motor Drives for Modeling Error Reduction. IEEE Trans. Ind. Informat. 2019, 15, 650–662. [Google Scholar] [CrossRef]
- Zhou, D.; Xi, Y.; Zhang, Z. A suboptimal multiple fading extended Kalman filter. Acta Autom. Sin. 1991, 17, 689–695. [Google Scholar]
- Gao, W.; Li, J.; Zhou, G.; Li, Q. Adaptive Kalman filtering with recursive noise estimator for integrated SINS/DVL systems. J. Navig. 2015, 68, 142–161. [Google Scholar] [CrossRef]
- Jwo, D.; Chung, F.; Weng, T. Adaptive Kalman Filter for Navigation Sensor Fusion; Intech Open: London, UK, 2010; pp. 67–69. [Google Scholar]
- Rahimi, M.; Boulet, B. Estimation of the State Variables and Unknown Input of a Two-Speed Electric Vehicle Driveline Using Fading-Memory Kalman Filter. IEEE Trans. Transp. Electrif. 2016, 2, 210–220. [Google Scholar] [CrossRef]
- Soken, H.; Hajiyev, C. Pico satellite attitude estimation via robust unscented Kalman filter in the presence of measurement faults. ISA Trans. 2010, 49, 249–256. [Google Scholar] [CrossRef] [PubMed]
- Jin, D. Adaptive Kalman filtering based on optimal autoregressive predictive model. GPS Solut. 2017, 21, 307–317. [Google Scholar] [CrossRef]
- Ge, Q.; Shao, T.; Wen, C.; Sun, R. Analysis on strong tracking filtering for linear dynamic systems. Math. Probl. Eng. 2015, 648125. [Google Scholar] [CrossRef]
- Lo, K.; Lu, Q.; Kwon, W. Comments on ‘optimal solution of the two-stage Kalman estimator’. IEEE Trans. Autom. Control 2002, 47, 198–199. [Google Scholar]










| Parameters | Description | Values |
|---|---|---|
| Process noise covariance matrix | ||
| Measurement noise covariance matrix | = 45 dB-Hz | |
| T | Update period of the tracking loop | 4 ms |
| N | Window size for estimated innovation covariances | 20 |
| Threshold value to detect system stability | 6.6349 |
| Number | Movement State | Time (s) |
|---|---|---|
| 1 | Stationary | 0–60 |
| 2 | Accelerated (a = 40 m/s2) | 61–85 |
| 3 | Constant velocity (v = 1000 m/s) | 86–90 |
| 4 | Decelerated (a = −27.5 m/s2) | 91–122 |
| 5 | 1st clockwise turn with 90° (radius r = 763.94 m) | 123–132 |
| 6 | Constant velocity (v = 120 m/s) | 133–150 |
| 7 | 2nd clockwise turn with 90° (radius r = 763.94 m) | 151–160 |
| 8 | Constant velocity (v = 120 m/s) | 161–170 |
| 9 | 3rd clockwise turn with 180° (radius r = 763.94 m) | 171–190 |
| 10 | Decelerated (a = −8 m/s2) | 191–205 |
| Function | Variable | Number of Multiplications | Number of Additions |
|---|---|---|---|
| Calculation of | 3 | 3 | |
| 3 | 2 | ||
| 1 | 0 | ||
| Calculation of | 24 | 14 | |
| 12 | 8 | ||
| 1 | 1 | ||
| Total requirements | 44 | 28 | |
Disclaimer/Publisher’s Note: The statements, opinions and data contained in all publications are solely those of the individual author(s) and contributor(s) and not of MDPI and/or the editor(s). MDPI and/or the editor(s) disclaim responsibility for any injury to people or property resulting from any ideas, methods, instructions or products referred to in the content. |
© 2024 by the authors. Licensee MDPI, Basel, Switzerland. This article is an open access article distributed under the terms and conditions of the Creative Commons Attribution (CC BY) license (https://creativecommons.org/licenses/by/4.0/).
Share and Cite
Cheng, Y.; Zhang, S.; Wang, X.; Wang, H.; Yang, H. Kalman Filter with Adaptive Covariance Estimation for Carrier Tracking under Weak Signals and Dynamic Conditions. Electronics 2024, 13, 1288. https://doi.org/10.3390/electronics13071288
Cheng Y, Zhang S, Wang X, Wang H, Yang H. Kalman Filter with Adaptive Covariance Estimation for Carrier Tracking under Weak Signals and Dynamic Conditions. Electronics. 2024; 13(7):1288. https://doi.org/10.3390/electronics13071288
Chicago/Turabian StyleCheng, Yan, Shengkang Zhang, Xueyun Wang, Haifeng Wang, and Huijun Yang. 2024. "Kalman Filter with Adaptive Covariance Estimation for Carrier Tracking under Weak Signals and Dynamic Conditions" Electronics 13, no. 7: 1288. https://doi.org/10.3390/electronics13071288
APA StyleCheng, Y., Zhang, S., Wang, X., Wang, H., & Yang, H. (2024). Kalman Filter with Adaptive Covariance Estimation for Carrier Tracking under Weak Signals and Dynamic Conditions. Electronics, 13(7), 1288. https://doi.org/10.3390/electronics13071288

