Optimization of a Circular Planar Spiral Wireless Power Transfer Coil Using a Genetic Algorithm
Abstract
1. Introduction
2. Basic Structure of Wireless Power Transfer Systems
3. Calculating the Mutual Inductance between the Transmitter and Receiver Coil
4. Genetic Algorithm for Circular Spiral Coil Optimization
4.1. Basic Algorithm Description and Flowchart
- First, the problem that we wanted to optimize was described using the parameters. In the case of the optimization of the circular coils, the most important parameters are the number of coil turns and the pitch between turns. The parameters are coded into genes, which are represented using an array. If we group multiple genes together, a population is born. The problem is usually also constrained by the physical properties of the optimization problem. In the case of wireless transfer coils, the bounds are the outer dimension of the coil, the connection between the turns’ pitch and the number of turns, and the diameter of the wire. The constraints must be taken into account when generating the initial generation and during the gene crossover and mutation.
- The initial population must be generated at the start of the optimization. Usually, it is generated by selecting parameters with random numbers within the constraints. The initial population is used as a seed for the next generations.
- Each gene of the initial population is evaluated numerically using the fitness function. The fitness function is based on the optimization problem. It can consist of single or multiple criteria, in which case, each of the criteria must be weighted properly using an initially chosen constant. Based on the fitness function, the best-performing genes are chosen for crossover into the next generation. The best-performing genes can also be called parent genes.
- In the next step, the parent genes are used to create offspring genes, which inherit properties of both parent genes. During reproduction, additional gene mutations should also be introduced in order to avoid the problem of falling into the fitness function local maxima, which returns suboptimal results. The new genes are used in the next iteration of the genetic algorithm.
- New, recombined generations are again evaluated using the proposed fitness function, after which the best-performing genes are selected to generate a new population.
- The genetic algorithm continues to evolve until certain conditions are met. The condition can be based on the fitness function or on the number of iterations. In the case of coil optimization, the end of the algorithm is determined by the number of iterations.
4.2. Gene Structure, Genetic Crossover, and Mutation
- The first section includes the top genes carried over from the previous iteration. Therefore, the best ones remain if the newly mutated genes are worse than the original genes.
- The second section includes the offspring generated from the top genes. The offspring are generated by switching the parameters between two different genes and later by calculating the average values between the two genes.
- The third section is a mutation of the offspring. Each gene generated from the top genes in the previous generation is mutated by adding a random value to the parameters. This results in different parameter values that can be used to evaluate the performance of the optimized coil further.
- After generating new genes with crossover and mutation, the fitness function is calculated again, and the top genes are selected again. In the case of coil optimization, the process is stopped after a certain number of cycles or generations. The evolved optimal coil can be tested using simulation software or by fabrication.
5. Coil Optimization Results
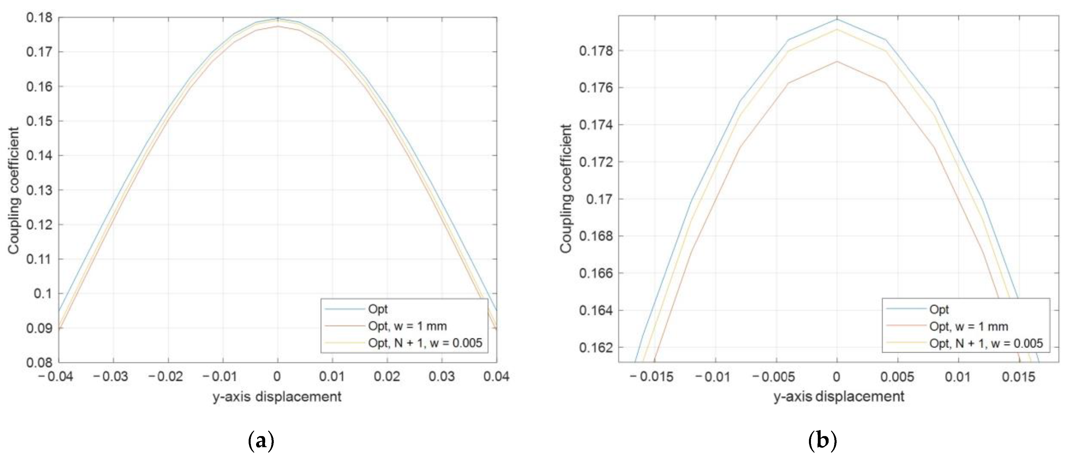
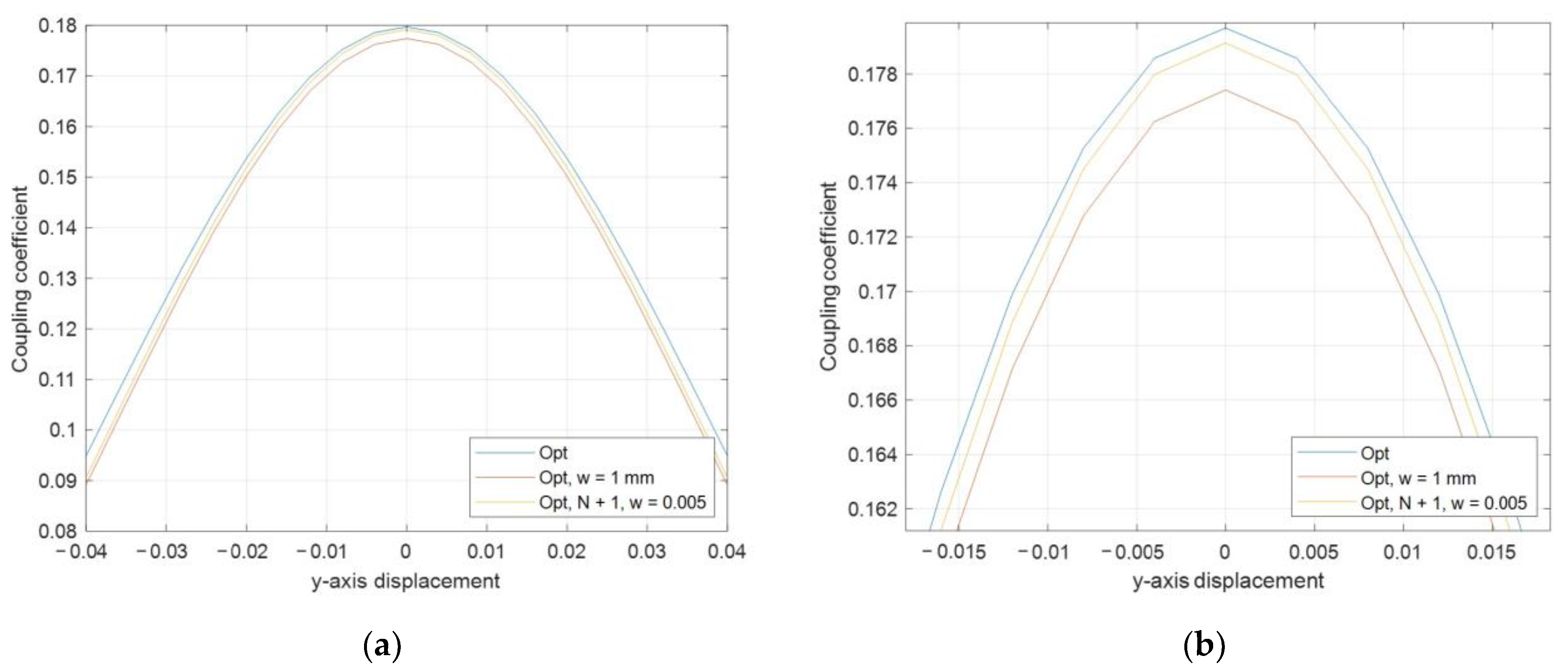
5.1. Computer-Simulated Results
5.2. Experimental Measurement Setup and Verification
6. Discussion
7. Conclusions
Author Contributions
Funding
Data Availability Statement
Conflicts of Interest
References
- Lu, X.; Wang, P.; Niyato, D.; Kim, D.I.; Han, Z. Wireless Charging Technologies: Fundamentals, Standards, and Network Applications. IEEE Commun. Surv. Tutor. 2016, 18, 1413–1452. [Google Scholar] [CrossRef]
- Zhang, Z.; Pang, H.; Georgiadis, A.; Cecati, C. Wireless Power Transfer—An Overview. IEEE Trans. Ind. Electron. 2019, 66, 1044–1058. [Google Scholar] [CrossRef]
- Rim, C.T. 34—Wireless charging of electric vehicles. In Power Electronics Handbook, 4th ed.; Rashid, M.H., Ed.; Butterworth-Heinemann: Oxford, UK, 2018; pp. 1113–1137. Available online: https://www.sciencedirect.com/science/article/pii/B9780128114070000386 (accessed on 30 September 2023).
- Mahesh, A.; Chokkalingam, B.; Mihet-Popa, L. Inductive Wireless Power Transfer Charging for Electric Vehicles—A Review. IEEE Access 2021, 9, 137667–137713. [Google Scholar] [CrossRef]
- Covic, G.A.; Boys, J.T. Inductive Power Transfer. Proc. IEEE 2013, 101, 1276–1289. [Google Scholar] [CrossRef]
- IEEE Std C95.1-2005; IEEE Standard for Safety Levels with Respect to Human Exposure to Radio Frequency Electromagnetic Fields, 3 kHz to 300 GHz. IEEE: Piscataway, NJ, USA, 19 April 2006; pp. 1–238. [CrossRef]
- Available online: http://www.wirelesspowerconsortium.com/ (accessed on 30 September 2023).
- Wageningen, D.; Staring, T. The Qi wireless power standard. In Proceedings of the 14th International Power Electronics and Motion Control Conference EPE-PEMC 2010, Ohrid, Macedonia, 6–8 September 2010. [Google Scholar]
- Available online: https://www.we-online.com/en/components/products/WEWPCC-RECEIVER (accessed on 30 September 2023).
- Karalis, A.; Joannopoulos, J.; Soljačič, M. Efficient wireless nonradiative mid-range energy transfer. Ann. Phys. 2008, 323, 34–48. Available online: https://www.sciencedirect.com/science/article/pii/S0003491607000619 (accessed on 30 September 2023). [CrossRef]
- Wen, F.; Zhang, D.; Han, C.; Zhang, G.; Li, G.; Zhang, X.; Ma, J.; Yao, Z.; Yu, K. Anti-offset performance optimization of coupling coils in wireless power transfer system based on genetic algorithm. Energy Rep. 2022, 8, 1–9. [Google Scholar] [CrossRef]
- Yamaguchi, H.; Satake, S.; Nakata, M.; Shimizu, A.; Suzuki, Y. Optimization of modular and helical coils applying genetic algorithm and fully-three-dimensional B-spline curves. Nucl. Fusion 2021, 61, 106004. [Google Scholar] [CrossRef]
- Budhia, M.; Boys, J.T.; Covic, G.A.; Huang, C.-Y. Development of a Single-Sided Flux Magnetic Coupler for Electric Vehicle IPT Charging Systems. IEEE Trans. Ind. Electron. 2013, 60, 318–328. [Google Scholar] [CrossRef]
- Zhang, W.; Mi, C.C. Compensation Topologies of High-Power Wireless Power Transfer Systems. IEEE Trans. Veh. Technol. 2016, 65, 4768–4778. [Google Scholar] [CrossRef]
- SAE Recommended Practice J2954 (rev. 201711); Wireless Power Transfer for Light-Duty Plug-In/Electric Vehicles and Alignment Methodology; 27-11-2017; SAE International: Troy, MI, USA, 2017.
- Campi, T.; Cruciani, S.; Maradei, F.; Feliziani, M. Magnetic Field during Wireless Charging in an Electric Vehicle According to Standard SAE J2954. Energies 2019, 12, 1795. [Google Scholar] [CrossRef]
- Lyu, Y.L.; Meng, F.Y.; Yang, G.H.; Che, B.J.; Wu, Q.; Sun, L.; Erni, D.; Li, J.L. A Method of Using Nonidentical Resonant Coils for Frequency Splitting Elimination in Wireless Power Transfer. IEEE Trans. Power Electron. 2015, 30, 6097–6107. [Google Scholar] [CrossRef]
- Conway, J.T. Exact solutions for the mutual inductance of circular coils and elliptic coils. IEEE Trans. Magn. 2012, 48, 81–94. [Google Scholar] [CrossRef]
- Zhang, X.; Meng, H.; Wei, B.; Wang, S.; Yang, Q. Mutual inductance calculation for coils with misalignment in wireless power transfer. J. Eng. 2019, 2019, 1041–1044. [Google Scholar] [CrossRef]
- Ning, P.; Onar, O.; Miller, J. Genetic algorithm based coil system optimization for wireless power charging of electric vehicles. In Proceedings of the 2013 IEEE Transportation Electrification Conference and Expo (ITEC), Detroit, MI, USA, 16–19 June 2013; pp. 1–5. [Google Scholar] [CrossRef]
- Bagheri, A.; Erfanian, A.; Abrishamifar, A. A Systematic Methodology for Optimal Design of Wireless Power Transfer System Using Genetic Algorithm. Energies 2020, 13, 383. [Google Scholar] [CrossRef]
- Alexander, K.C.; Sadiku, N.O.M. Magnetically Coupled Circuits. In Fundamentals of Electric Circuits, 3rd ed.; Isenberg, S., Ed.; McGraw-Hill Higher Education: New York, NY, USA, 2007; pp. 528–531. [Google Scholar]
- Domajnko, J.; Milanovič, M.; Prosen, N. 3D platform for coupling coefficient evaluation of an inductive power transfer systems. Sensors 2022, 22, 1445. [Google Scholar] [CrossRef] [PubMed]









Disclaimer/Publisher’s Note: The statements, opinions and data contained in all publications are solely those of the individual author(s) and contributor(s) and not of MDPI and/or the editor(s). MDPI and/or the editor(s) disclaim responsibility for any injury to people or property resulting from any ideas, methods, instructions or products referred to in the content. |
© 2024 by the authors. Licensee MDPI, Basel, Switzerland. This article is an open access article distributed under the terms and conditions of the Creative Commons Attribution (CC BY) license (https://creativecommons.org/licenses/by/4.0/).
Share and Cite
Prosen, N.; Domajnko, J. Optimization of a Circular Planar Spiral Wireless Power Transfer Coil Using a Genetic Algorithm. Electronics 2024, 13, 978. https://doi.org/10.3390/electronics13050978
Prosen N, Domajnko J. Optimization of a Circular Planar Spiral Wireless Power Transfer Coil Using a Genetic Algorithm. Electronics. 2024; 13(5):978. https://doi.org/10.3390/electronics13050978
Chicago/Turabian StyleProsen, Nataša, and Jure Domajnko. 2024. "Optimization of a Circular Planar Spiral Wireless Power Transfer Coil Using a Genetic Algorithm" Electronics 13, no. 5: 978. https://doi.org/10.3390/electronics13050978
APA StyleProsen, N., & Domajnko, J. (2024). Optimization of a Circular Planar Spiral Wireless Power Transfer Coil Using a Genetic Algorithm. Electronics, 13(5), 978. https://doi.org/10.3390/electronics13050978

