Next Article in Journal
Hyperspectral Image Classification Using Multi-Scale Lightweight Transformer
Previous Article in Journal
Vulnerability Analysis of Power Transmission Grids Subject to Cascading Failures
 
 
Font Type:
Arial Georgia Verdana
Font Size:
Aa Aa Aa
Line Spacing:
Column Width:
Background:
Article

A Fast Optimizing Method of Clutch–Clutch Shift Calibration Parameters

1
Beijing Engineering Research Center of Precision Measurement Technology and Instruments, Beijing University of Technology, Beijing 100124, China
2
Department of Automotive Engineering, School of Transportation Science and Engineering, Beihang University, Beijing 102206, China
3
Key Laboratory of Operation Safety Technology on Transport Vehicles, Beijing 100088, China
4
G-eDrive (Beijing) Auto Tech. Co., Ltd., Beijing 100176, China
*
Author to whom correspondence should be addressed.
Electronics 2024, 13(5), 941; https://doi.org/10.3390/electronics13050941
Submission received: 17 January 2024 / Revised: 11 February 2024 / Accepted: 14 February 2024 / Published: 29 February 2024

Abstract

Aiming at the drawbacks of the heavy workload and lengthy calibration cycle of transmission control unit (TCU) development, a fast optimizing and test method of clutch–clutch shift calibration parameters is developed based on the “V” development process. A controlled-object simulation model of a six-speed automatic transmission (6AT) is established, and the shift calibration parameters and shift quality evaluation system are studied. Therefore, a model-in-the-loop (MIL) calibration platform for key calibration parameters and evaluation indicators in the shift process is constructed. By setting the optimization target of evaluation indicators, the initial calibration parameters’ ranges are reduced. Finally, the TCU is flashed with the optimized calibration parameters, and a hardware-in-the-loop (HIL) test system is built to verify the shift quality. The same shift quality verification test is carried out in the vehicle. The test results show that the application of the MIL simulation platform can enable the batch simulation analysis of eight key shift calibration parameters, gradually refine the initial rough interval, and ensure shift quality. The shift calibration parameters are cross-validated in multiple development links, and the dependence on vehicle calibration is greatly reduced. The development cycle is effectively shortened to less than 6 months.

1. Introduction

The calibration of a transmission control unit (TCU) is the core technology of the development process of a transmission. In the traditional development process, vehicle calibration of a TCU is essential for the optimization of the shift control strategy and control quality. It mainly relies on the subjective experience of the calibration engineer to modify the calibration parameters related to the shift problem. The black box modification process increases the time and cost of automatic transmission software development. Generally, the development cycle of a TCU is about 1~2 years, and the calibration of the manual vehicle calibration process almost extends throughout the whole development process, accounting for at least two-thirds of the development cycle.
The calibration technology of a TCU is kept strictly confidential by manufacturers. In order to save costs and shorten the calibration development cycle, current research is primarily focused on the optimization of the shift control algorithm [1,2,3], with less attention being paid to the optimization method of calibration parameters [4]. A sliding friction control algorithm was proposed based on the online automatic calculation of gain of engine and clutch, and the results showed that it can effectively improve the shift quality and introduce savings in the development cycle [5]. An adaptive control strategy was proposed to compensate the torque-to-pressure (T2P) and pressure-to-current (P2I) characteristics of the shift clutch to improve the shift quality throughout the life cycle of a transmission [6]. A model predictive control method was proposed to optimize the control process of the inertial phase of an upshift, and the test results showed that this control method is more flexible and easier to calibrate [7].
At present, there are some mature automatic calibration systems for automatic transmissions in the world [8,9,10], mainly using in model-in-the-loop (MIL) and hardware-in-the-loop (HIL) test platforms. But their calibration applicability to different control objects is limited [11]. It is difficult to achieve universal applicability between different transmissions. A model-based automatic calibration algorithm was developed for the hydraulic calibration of an automatic transmission (AT) clutch [9]. An automatic virtual calibration framework was developed to calculate the optimal shift time and shift comfort of automated manual transmission (AMT) in a model-in-the-loop test environment [12]. The calibration parameters of the automatic shift process were modified by using a real-time vehicle simulation bench [13].
At the same time, the subjective evaluation of vehicle calibration is the most important and direct evaluation method of shift quality. But it is sometimes susceptible to various weather, personnel psychology, and other uncertain factors. There is no exact evaluation standard for the objective evaluation of shift quality, and the evaluation system needs to be established according to the mechanical structure of the controlled object. There are few studies on the evaluation of shift quality, which is still in the early stages. The establishment of an evaluation system is the main focus of the theoretical research of some universities. The research teams of Jilin University and Hefei University of Technology [14,15] studied the consistency of the subjective and objective evaluation of shift quality of a double-clutch transmission (DCT) based on an advanced optimization algorithm [16] and developed an objective evaluation system and evaluation software for shift quality [17].
In summary, manual vehicle calibration is still the primary method used in the low-efficiency and expensive development stage of multi-speed AT shift quality calibration technology. In the model-based simulation development of controllers, the main focus is on the optimization of software algorithms and functional testing. There are few studies on the mapping of calibration parameters and quality evaluation indicators for shift quality. In this article, aiming at the “V” development process of a TCU, as shown in Figure 1, according to the mechanical structure and electro-hydraulic control strategy of the six-speed AT (6AT), a model-in-the-loop calibration platform between calibration parameters and shift quality evaluation indicators is established. The shift control strategy and shift quality are simulated and calibrated, and the parameters are optimized. The hardware-in-the-loop test and vehicle test method are used to verify the shift quality.

2. Model of Controlled Object

The establishment of simulation models of the controlled-object 6AT and the vehicle powertrain system is necessary to carry out the simulation analysis of the shift control process. The controlled-object model serves as the foundation for the shift function and shift quality simulation calibration and testing, and it can serve as a platform for the ensuing development stage. Especially in the MIL and HIL simulation, it is necessary to use the controlled-object simulation model to realize the rapid verification of the control strategy.
The planetary gear transmission mechanism of the 6AT is shown in Figure 2a,b. It is primarily made up of three sets of planetary gears, three rotary clutches, and two brake clutches. The output of the turbine shaft is rigidly connected to the ring gear of planetary gear 1 as the power input of the 6AT. The common ring gear of planetary gears 2 and 3 is connected to the differential mechanism as the output of the 6AT.
The planetary gear, clutch, and cylinder are modeled initially, and then the rotating parts are modeled according to the connection relationship of each part based on Newton’s second law. Different gear changes can be accomplished by controlling the separation and engagement of different clutches. This shift mode is called clutch-to-clutch shift. Based on development requirements of the controlled-object 6AT, the gear logic and ratio of the 6AT are shown in Table 1.
In addition to the 6AT model, it is also necessary to establish a vehicle powertrain system model, which simplifies the vehicle transmission system into an engine, a hydraulic torque converter, input and output shaft of gearbox, and a vehicle body model, as shown in Figure 3.
The Matlab/Simulink software is used to construct the simulation model. It can provide a fundamental simulation platform and environment for the calibration test of shift control strategies. Simulation conditions of a fixed step and sampling time of 1 ms are used to ensure the simulation accuracy. What is more, the influence of temperature, oil pressure, and other changes on the shift process is not taken into account. The signal input of the system consists of the signals of the accelerator pedal, the brake pedal, and the gear command. And the signal output of the system consists of the signals of the engine speed, the input and output shaft speed, the clutch torque signals, and the current gear signals. The simulation results are obtained as shown in Figure 4a–c.
According to the simulation results, when the shift level moves from the NP position to the D position and the throttle is held at about 25%, the engine speed increases from roughly 850 r/min of idle speed to 1000–2500 r/min. The clutches of the 6AT correspond with the control command to execute the engagement and separation correctly. The logic of the 6AT’s execution system is correct. During the upshift period, the vehicle speed remains nearly constant because the body inertia is much larger than the engine inertia, while the engine speed decreases to match the high gear ratio. The clutch–clutch shift process of the 6AT can be realized in the simulation of the vehicle powertrain system, and the speed ratios calculated by the input and output shaft simulation correspond to Table 1. The model can simulate signals such as engine speed and torque, gear and speed ratio, and input and output shaft speed according to the required test conditions.

3. Shift Control Strategy and Key Calibration Parameters

Shift control strategy is the core technology of AT, which has a direct impact on the vehicle performance of acceleration, economy, and comfort. Generally, according to the influence of engine power output on the load, the dynamic shift process is divided into power shift and no-power shift. A power upshift process (PNU) at low throttle (less than 30%) is taken as an example in this article. The oil pressure control process of the clutch is studied based on the mechanical hydraulic structure of the 6AT. Usually, the oil pressure control process is typically broken down into several phases, such as the fill phase (FILL), torque phase (TP), speed phase (SP), shift ending (SE), rapid ramp (ER), end, etc. The first three phases are the most difficult in the control process, and the control process is shown in Figure 5.
First, the primary purpose of the fill phase is to guarantee that the oncoming (OC) clutch cylinder is filled with oil and the clutch clearance is eliminated, allowing the clutch to approach the kiss point of transmitting torque, as shown by line 5 in Figure 5. The four parameters of fast fill pressure, fast fill time, kiss-point pressure, and kiss-point time must be primarily controlled during the fill phase.
Second, the primary purpose of the torque phase is to gradually shift the engine’s output torque from the ongoing (OG) clutch to the oncoming clutch. At this time, the command press of the ongoing clutch is the characteristic pressure value corresponding to the target torque, as shown by line 8 in Figure 5. It is required to swiftly reduce the torque capacity of the ongoing clutch to make it slightly greater than the actual torque value transmitted at this moment. And then the transitive torque of the OG clutch is controlled to decline in accordance with a specific ramp, as shown by line 7 in Figure 5. As a result, the torque phase’s primary function is to regulate the ongoing clutch’s two ramps.
Third, the primary goals of the speed phase are to regulate the gear slip of the oncoming clutch and achieve a shift in the speed ratio. At this moment, the ongoing clutch has been completely separated, and the ongoing clutch is in a sliding state, as shown by lines 5 and 6. Its torque capacity is equal to the actual transitive torque. Therefore, raising the torque capacity can cause the OC clutch’s real transmission torque to exceed the input torque, and the spare part is used to reduce the engine speed to achieve the shift of the ratio, as shown by lines 3 and 4. Therefore, the speed stage is mainly to control the speed ramp and the speed phase time.
Key calibration parameters are shown in Table 2. Based on the analysis of the shift control process, the major control contents of the shift control process are obtained and the physical meanings are matched to Figure 5. The software’s calibration parameters are named corresponding to control parameters.

4. Shift Quality Evaluation and Weight Analysis

In order to establish an objective evaluation and analysis of the shift process, taking into consideration the quality requirements such as the performance of acceleration, smoothness, reliability, and clutch durability of the shift, the shift quality is evaluated based on numerous dimensions, including time, jerk, and sliding work.
Based on the evaluation of the time, the shift time t s is defined as the duration from the start of the TCU’s demand gear instruction to the end of the shift completion. The shift time t s can be divided to the shift response time t d e l a y and the speed phase time t s p according to the phase of the shift strategy. t d e l a y is defined as the time interval from the beginning of the demand gear instruction from the TCU to the moment before entering the speed phase, which is used to describe the performance of acceleration during shifting. t s p is defined as the time interval of engine speed regulation, which is used to describe the performance of reliability during shifting.
Based on the evaluation of the jerk, if v represents the speed of the vehicle, the jerk of the vehicle j can be expressed as the second-order differential of the speed, which is used to characterize the shift smoothness and comfort. Usually, in the manual vehicle calibration test, the shift comfort is evaluated by the subjective experience of the calibration staff.
In addition, the oil pressure response of the clutch can also be a reflection of the shift control effect. In order to enhance the control effect, the oil pressure sensor is typically employed to track the oil status in bench tests. However, it is difficult to have such experimental conditions in the development and simulation calibration of the application layer software. Therefore, the smoothness of the shift quality can be mapped to the speed of input and output shafts of the transmission. The maximum overshoot of turbine speed Δ ω T u r b O G during separation, the peak–peak speed of turbine speed Δ ω T u r b S P during the speed phase, and the fluctuation of the output shaft speed Δ ω o u t can be used to evaluate.
Finally, in order to evaluate the durability of the clutch, the sliding friction work is calculated by the sliding friction of the master and slave disc of the clutch. If T c represents the clutch transitive torque and Δ ω represents the gear slip, the sliding work can be expressed as W f = t 0 t 1 T c Δ ω d t .
Determining the weight of various evaluation indicators is essential for building the shift quality evaluation system. Based on the method of analytic hierarchy process (AHP), the processes of subjective weighting go as follows:
(1)
The relationship between various factors is analyzed and a hierarchical structure model is constructed.
(2)
A judgment matrix is established based on the matrix scale.
(3)
The weight of each level is determined and a consistency test is conducted.
A hierarchical structure model is constructed in Table 3.
The evaluation indicators concerned in the fill phase are relatively simple, mainly based on the maximum overshoot of turbine speed and shift response time. The weight is set at half since the two are nearly equally significant. The torque phase is compensated by ΔP6 to ensure that the OG clutch torque is reduced to zero at the end of the torque phase. The torque phase time is used as a fixed time, and the maximum overshoot of turbine speed and the output shaft speed fluctuation are set to half.
A number of evaluation indicators are chosen at the speed phase, and the weight is determined by the judgment matrix, as shown in Table 4. The consistency ratio ( C R ) is finally calculated, as follows:
C R = C I R I
C I represents the consistency index, which is related to the maximum eigenvalue of the judgment matrix. R I represents random consistency index, which is determined by the order of the judgment matrix. C R is calculated from the ratio of the two, and if its value is less than 0.1, it is considered that the consistency detection meets the requirements.
Finally, the data should be standardized because the dimensions of different evaluation indicators are not uniform. The following is the transformation of the dimensional expression into a dimensionless expression:
x * = x x min x max x min
x represents the value of the different evaluation indexes. x max represents the maximum value of evaluation indexes. x min represents the minimum value of evaluation indexes.

5. Simulation Calibration of Shift Calibration Parameters

Aiming at many shift quality evaluation indicators, different evaluation indicators are strongly connected to one another. A number of other indicators frequently deteriorate as a result of optimizing one. Therefore, for the shift quality, the optimization test of the calibration parameters needs to strike a balance between the various indicators. The optimization goals of different evaluation indicators are set as shown in Table 5. The shift impact involves various types, which may lead to a sudden decline or increase in speed ( Δ ω T u r b O G , Δ ω o u t , Δ ω T u r b S P ), the evaluation value of speed may appear positive or negative. Thus, the primary goal here is to set a limit on its absolute value.
During the simulation calibration, the model-in-the-loop test is the most economical, highly efficient repeated calibration, and the best test method for the safety protection of the calibration staff. It has the ability to be replicated swiftly and precisely under unified operating conditions. The parameter calibration results can be obtained quickly. The MIL test serves as the first crucial black box test procedure for calibration parameters from scratch and from coarse to fine.
Taking the D2D3 power upshift condition at low throttle as an example, initial intervals are set for the key calibration parameters according to the mechanical and hydraulic characteristics, bench, and manual calibration experience of the corresponding condition, as shown in Table 6. The influence of a single calibration parameter on the shift quality is the main focus of the simulation calibration. Regardless of the influence of the parameter coupling effect, the remaining parameters are set as close to a value that does not affect the observation of the quality indicator results. The calibration parameters in Table 6 are simulated and tested one by one.
(1)
Simulation of fill phase parameters
Ignoring factors such as the characteristic deviation of the electro-hydraulic control system and the structural deviation of the mechanical system, the influence of the software calibration parameters on the control effect of filling is the sole aspect taken into consideration. The calibration control parameters of the fill phase are used as the input of the simulation model. According to Table 6, the FP is simulated at 0.2 bar, the FT is simulated at 10 ms, and the KP is simulated at 0.2 bar. The simulation results of the evaluation indicators are obtained, as shown in Figure 6, Figure 7 and Figure 8.
According to the simulation results of Figure 6, Figure 7 and Figure 8, the tendency of shift quality evaluation indicators with each calibration parameter in the fill phase is established, as shown in Figure 9a–c. According to the quality evaluation indicator target, the optimization aim of the turbine speed overshoot is within 30 r/min, and the shift response time is as minimal as possible. The optimization intervals of the calibration parameters are obtained for the fill phase as follows: FP (2.3–2.6 bar), FT (190–215 ms), KP (1.3–1.8 bar).
According to the analysis of Figure 9, the excessive calibration of fill pressure and fill time has a tie up impact that is more noticeable on the turbine shaft, which makes the speed of the turbine shaft decrease obviously. Overfill will cause the OC clutch to engage incorrectly, thus interfering with other clutches. The flare impact caused by insufficient fill pressure and fill time calibration parameters will cause the turbine speed to rise rapidly. However, the total impact of underfill is smaller than that of overfill. From the comparison between Figure 9a–c, it can be seen that the influence of KP parameters on speed fluctuation is significantly lower than that of the other two parameters, and the larger KP value almost does not affect the shift smoothness. Therefore, in the fill phase, it is necessary to focus on the problem of quality degradation caused by overfill. In the subsequent software testing, the two parameters of fast fill pressure and time are mainly calibrated and analyzed.
(2)
Simulation of torque phase parameters
Based on Table 6, the ramp parameters of the torque phase are simulated and analyzed. Based on the initial interval of ΔP5 parameters, the simulation is carried out at 0.5 bar/ms, as shown in Figure 10a,b.
According to the simulation results, the tendency of the shift quality evaluation indicators with the calibration parameters of the torque phase is established, as shown in Figure 11. According to the quality evaluation indicator target, the optimization aim of the turbine speed overshoot of the shift quality in the torque phase is within 30 r/min, and the output shaft speed fluctuation is within 10 r/min. The optimized interval of ΔP5 is ≤ 7.5 × 10−3 bar/ms.
According to Figure 11, the excessive decrease in the ramp of the OG clutch will bring a significant flare impact, causing a rapid increase in the speed of the input shaft and a severe fluctuation in the speed of the output shaft. The simulation results show that the smaller value of ΔP5 does not result in excessive speed fluctuation, but it must still be properly adjusted in the subsequent calibration to prevent the two clutches from interfering with the slow decline in oil pressure.
(3)
Simulation of speed phase parameters
Based on Table 6, the ramp of the speed phase is simulated and analyzed. The simulation is carried out at 0.5 bar/ms in the initial interval of the ΔP8 parameter, as shown in Figure 12a–d.
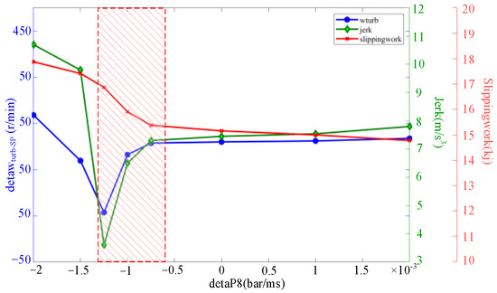
According to the simulation results, the tendency of the shift quality evaluation indicators with the speed phase ramp calibration parameters is established, as shown in Figure 13. Normalization and weighting are carried out among different indicators following the equation of normalization and the weight in Table 4, as shown in Table 7. According to the optimization aim of shift quality, the indicators Δ ω T u r b S P , j , and W f will be as minimal as possible, and the maximum of t s p is 250 ms. Therefore, the optimization interval of the speed phase ΔP8 parameter is between −1.25 and −0.75 × 10−3.
According to Figure 13, the vehicle’s jerks and jitters generally happen in the speed phase. The simulation results show that the negative ramp lessens the speed jitters and jerks. Since the speed phase is a closed-loop control process, the shift quality can be enhanced by PI adjustment or the application of more sophisticated algorithms.

6. Shift Control Strategy Test

The TCU hardware and virtual controlled object are used in the HIL test platform, which is the best choice to support rapid development and test of software calibration. In this article, the dSPACE fast prototyping control platform is used to connect the TCU hardware with the simulation model of the 6AT and the vehicle through the wiring harness connection. The external connection of the solenoid valve is configured as a physical load. The HIL test environment can be realized as shown in Figure 14. The demand signals, such as analog signal, digital signal, and CAN signal, are configured, and the simulink model is built and loaded into dSPACE to realize the closed-loop operation of the TCU hardware and real-time simulation model.
The calibration parameters under the condition of 30% throttle power upshift are modified: scmwf_bar_D2D3FillOC1FP = 2.3, scmwf_ms_D2D3FillOC1FT = 200, scmwf_bar_D2D3FillOC1KP = 1.3, scmwf_ms_D2D3FillOC1KT = 300, scmwf_bardt_D2D3TPOG1P1Ramp = 7.5 × 10−3, scmwf_bardt_D2D3SPOC1Ramp = −1.25 × 10−3, scmwf_ms_D2D3SPOC1HoldTm = 250.
The optimized calibration parameters are written into a .hex file and brushed into the TCU via CANape, and the optimized calibration parameters can be detected by the HIL test system. The data measured under the D2D3 power upshift condition are shown in Figure 15.
The test results show that the optimized calibration parameters perform well in the TCU software and hardware, which are nearly in line with the simulation results of the MIL calibration. Under these working conditions, t d e l a y is 700 ms, t s p is 250 ms, Δ ω T u r b O G is about 20 r/min, Δ ω T u r b S P is about 39 r/min, Δ ω o u t is about 9 r/min, and the gear slip is within the acceptable range. The evaluation indicators meet the optimization goal of MIL parameter calibration. There is little jerk and jitter in the speed phase, which meets the requirements of shift smoothness and comfort. The shift time meets the requirements of power and reliability.
Finally, the TCU hardware after the MIL and HIL test is placed on the corresponding test vehicle. The case of the small throttle power upshift is tested. Figure 16 shows the test results of power continuous upshift D2-D3-D4-D5.
Three seasoned calibration engineers rate the vehicle’s acceleration, smoothness, and comfort during shifts, as well as other factors. The final score is calculated as 6 (qualified), as shown in Table 8. The test shows that the optimized calibration parameters perform well on the vehicle, which verifies the effectiveness of the calibration parameter optimization method.

7. Conclusions

This article mainly focuses on the ‘V’ development process of a TCU. The simulation model of the controlled-object 6AT is established. The evaluation indicators of shift quality are proposed and the different weights are set based on AHP. Based on the simulation model, the key shift calibration parameters of shift process are optimized and tested. Aiming at the optimization and test method of key shift calibration parameters, the following studies are mainly completed:
(1)
The mechanical and hydraulic structure of the controlled-object 6AT is expounded, and the simulation model of 6AT and the vehicle powertrain system is built. The basic simulation platform and simulation environment for calibration are established.
(2)
The key calibration parameters are obtained by studying the shift control strategy, and the quality evaluation indicators of each shift phase are proposed. The weights of the indicators are set based on the analytic hierarchy process.
(3)
The initial interval of calibration parameters is simulated through the simulation model. The tendency of key calibration parameters and evaluation indicators in the shift process is obtained. By setting the optimization goals, the calibration parameters with better quality can be obtained.
(4)
The TCU hardware is flashed with the optimized calibration parameters. The calibration parameters are verified in the hardware-in-the-loop test environment and the vehicle test environment. The test results demonstrate that the evaluation indicators obtained by the HIL test satisfy the optimization goals, and the subjective scores obtained by the vehicle test are calculated as 6 (qualified).
The rapid optimizing method of calibration parameters proposed in this article makes rational use of the advantages of low cost, convenient operation, and independence on manual experience of MIL and HIL calibration platforms. It is possible to achieve quick calibration of batch calibration parameters. The method transfers most of the calibration contents of shift quality to MIL and HIL calibration successfully, and realizes the parallel development mode of the whole calibration process. The calibration parameters are cross-validated and optimized in multiple development processes. The dependence of controller development on vehicle calibration is decreased. This method can greatly improve the calibration efficiency and shorten the calibration cycle. It is an important research direction to improve the calibration method system of shift control and the evaluation system of shift quality.

Author Contributions

Conceptualization, H.Y., L.Z. and Z.D.; methodology, H.Y. and J.L.; software, J.L., X.W. and Z.D.; validation, H.J. and Z.D.; formal analysis, H.Y., L.Z. and J.L.; investigation, J.L.; resources, H.Y. and L.Z.; data curation, J.L., X.W., H.J. and Z.D.; writing—original draft preparation, H.Y. and J.L.; writing—review and editing, H.Y. and J.L.; visualization, H.Y.; supervision, L.Z.; project administration, H.Y.; funding acquisition, L.Z. All authors have read and agreed to the published version of the manuscript.

Funding

This research was funded by supported by the Opening Project of Key Laboratory of operation safety technology on transport vehicles, Ministry of Transport, PRC, grant number KFKT2022-01.

Data Availability Statement

Data are contained within the article.

Conflicts of Interest

Author Z.D. was employed by the company G-eDrive (Beijing)Auto Tech. The remaining authors declare that the research was conducted in the absence of any commercial or financial relationships that could be construed as a potential conflict of interest. The authors declare no conflicts of interest. The funders had no role in the design of the study; in the collection, analyses, or interpretation of data; in the writing of the manuscript; or in the decision to publish the results.

References

  1. Klein, S.K.S.; Xia, F.X.F.; Etzold, K.E.K.; Andert, J.A.J.; Amringer, N.A.N.; Walter, S.W.S.; Blochwitz, T.B.T.; Bellanger, C.B.C. Electric-Motor-in-the-Loop: Efficient Testing and Calibration of Hybrid Power Trains. In Proceedings of the 5th International-Federation-of-Automatic-Control (IFAC) Conference on Engine and Powertrain Control, Simulation and Modeling (E-COSM), Changchun, China, 20 September 2018. [Google Scholar]
  2. He, X.; Lin, M.; Xu, L. Integrating Gear Shifting Preference into Personalized Shift-Scheduling Calibration. Appl. Sci. 2021, 11, 2986. [Google Scholar] [CrossRef]
  3. Dong, P.; Li, J.; Guo, W.; Wang, S.; Xu, X.; Mao, F.; Liu, Y. Gearshift Overlap for Multistep Downshift of Automatic Transmissions Based on Iterative Learning Control. In IEEE/ASME Transactions on Mechatronics; IEEE: New York, NY, USA, 2023; pp. 1–13. [Google Scholar]
  4. Zou, W.; Wang, Y.; Zhong, C.; Song, Z.; Li, S. Research on shifting process control of automatic transmission. Sci. Rep. 2022, 12, 13054. [Google Scholar] [CrossRef] [PubMed]
  5. Yahagi, S.Y.S.; Kajiwara, I.K.I.; Shimozawa, T.S.T. Slip control during inertia phase of clutch-to-clutch shift using model-free self-tuning proportional-integral-derivative control. Proc. Inst. Mech. Eng. Part D J. Automob. Eng. 2020, 9, 2279–2290. [Google Scholar] [CrossRef]
  6. Shi, G.; Dong, P.; Sun, H.Q.; Liu, Y.; Cheng, Y.J.; Xu, X.Y. Adaptive control of the shifting process in automatic transmissions. Int. J. Automot. Technol. 2017, 18, 179–194. [Google Scholar] [CrossRef]
  7. Cvok, I.; Soldo, J.; Deur, J.; Ivanovic, V.; Zhang, Y.; Fujii, Y. Model Predictive Control for Automatic Transmission Upshift Inertia Phase. IEEE Trans. Control. Syst. Technol. 2023, 31, 2335–2349. [Google Scholar] [CrossRef]
  8. Mishra, K.D.; Cardwell, G.; Srinivasan, K. Automated calibration of gearshift controllers using iterative learning control for hybrid systems. Control. Eng. Pract. 2021, 111, 104786. [Google Scholar] [CrossRef]
  9. Lee, H.; Gu, B.; Cha, S.W.; Lim, W. Model Based Automated Calibration for Shift Control of Automatic Transmission. Int. J. Automot. Technol. 2021, 22, 269–280. [Google Scholar] [CrossRef]
  10. Wurm, A.; Bestle, D. Robust design optimization for improving automotive shift quality. Optim. Eng. 2016, 17, 421–436. [Google Scholar] [CrossRef]
  11. Kong, G.; Zhong, Z.; Yu, Z. A Method of Calibration of Clutch Torque Transfer Feature Based on AMT Launch Control. Procedia Eng. 2011, 16, 88–94. [Google Scholar]
  12. Hmann, H.H.C.G. Model-based gear-shift optimization for an automated manual transmission. Proc. Inst. Mech. Eng. Part D J. Automob. Eng. 2019, 233, 3199–3208. [Google Scholar]
  13. Boissinot, F.; Bellavoine, J.; Shabashevich, A.; Puster, S. Automated Calibration for Transmission on Powertrain Dynamometers. In Proceedings of the SAE 2015 World Congress and Exhibition, Detroit, MI, USA, 21–23 April 2015. [Google Scholar]
  14. Fu, Y. Research on Gearshift Control for Dual Clutch Transmission Based on Objective Evaluation. Ph.D. Thesis, Jilin University, Changchun, China, 2015. [Google Scholar]
  15. Sun, Y.B. Study on Shift Models and Evaluation System of Shift Quality for the Six Speed DCT. Master’s Thesis, Hefei University of Technology, Hefei, China, 2015. [Google Scholar]
  16. Xia, G.; Chen, J.; Tang, X.; Zhao, L.; Sun, B. Shift quality optimization control of power shift transmission based on particle swarm optimization–genetic algorithm. Proc. Inst. Mech. Eng. Part D J. Automob. Eng. 2022, 236, 872–892. [Google Scholar] [CrossRef]
  17. Chu, T.Z. Research on the Consistency of Subjective and Objective Evaluation for DCT Shift Quality. Master’s Thesis, Jilin University, Changchun, China, 2020. [Google Scholar]
Figure 1. The “V” development process of calibration of shift quality.
Figure 1. The “V” development process of calibration of shift quality.
Electronics 13 00941 g001
Figure 2. Mechanism of the 6AT.
Figure 2. Mechanism of the 6AT.
Electronics 13 00941 g002
Figure 3. Vehicle powertrain system model.
Figure 3. Vehicle powertrain system model.
Electronics 13 00941 g003
Figure 4. Simulation results of the controlled object.
Figure 4. Simulation results of the controlled object.
Electronics 13 00941 g004
Figure 5. Control process of PNU.
Figure 5. Control process of PNU.
Electronics 13 00941 g005
Figure 6. Simulation of FP parameter.
Figure 6. Simulation of FP parameter.
Electronics 13 00941 g006
Figure 7. Simulation of FT parameter.
Figure 7. Simulation of FT parameter.
Electronics 13 00941 g007
Figure 8. Simulation of KP parameter.
Figure 8. Simulation of KP parameter.
Electronics 13 00941 g008
Figure 9. The tendency of indicators with FP, FT, KP.
Figure 9. The tendency of indicators with FP, FT, KP.
Electronics 13 00941 g009
Figure 10. Simulation of ΔP5 parameter.
Figure 10. Simulation of ΔP5 parameter.
Electronics 13 00941 g010
Figure 11. The tendency of indicators with ΔP5.
Figure 11. The tendency of indicators with ΔP5.
Electronics 13 00941 g011
Figure 12. Simulation of ΔP8 parameter.
Figure 12. Simulation of ΔP8 parameter.
Electronics 13 00941 g012
Figure 13. The tendency of indicators with ΔP8.
Figure 13. The tendency of indicators with ΔP8.
Electronics 13 00941 g013
Figure 14. Hardware-in-the-loop test.
Figure 14. Hardware-in-the-loop test.
Electronics 13 00941 g014
Figure 15. HIL test results of D2D3 power upshift.
Figure 15. HIL test results of D2D3 power upshift.
Electronics 13 00941 g015
Figure 16. Results of power upshift vehicle test.
Figure 16. Results of power upshift vehicle test.
Electronics 13 00941 g016aElectronics 13 00941 g016b
Table 1. The gear logic and ratio of the 6AT.
Table 1. The gear logic and ratio of the 6AT.
C1C2C3B1B2Ratio
R −3.13
NP
D1 5.85
D2 2.98
D3 1.63
D4 1.12
D5 0.84
D6 0.67
● represents the engagement of clutches.
Table 2. Key calibration parameters.
Table 2. Key calibration parameters.
Control PhaseControl ContentsPhysical DefinitionsCalibration Parameters
Fill PhaseFPfast fill pressurescmwf_bar_*FillOC1FP
FTfast fill timescmwf_ms_*FillOC1FT
KPkiss-point pressurescmwf_bar_*FillOC1KP
KTkiss-point timescmwf_ms_*FillOC1KT(Threshold limit)
Torque PhaseΔP5Ramp2 of the OG clutchscmwf_ bardt_*TPOG1P2Ramp
ΔP6Ramp1 of the OG clutchscmwf_ bardt_*TPOG1P1Ramp
Speed PhaseΔP8speed rampscmwf_ bardt_*SPOC1Ramp
T5speed phase timescmwf_ms_*SPOC1HoldTm(Threshold limit)
Table 3. Hierarchical structure model.
Table 3. Hierarchical structure model.
ObjectiveCriterion (Ai)Plan (Bj)
Shift quality of PNU under the small throttle A1 Fill PhaseB1  Δ ω T u r b O G
B2  t d e l a y
A2 Torque PhaseB3  Δ ω T u r b O G
B4  Δ ω o u t
B5  t d e l a y
A3 Speed PhaseB6  Δ ω T u r b S P
B7  j
B8  t s p
B9  W f
Table 4. Judgment matrix.
Table 4. Judgment matrix.
B6B7B8B9
B61135
B71135
B81/31/311
B91/51/511
Weight0.39890.39890.10640.0957
C R C R = 0.0165 < 0.1
Table 5. Optimization goals of evaluation indicators.
Table 5. Optimization goals of evaluation indicators.
IndicatorsUnitPerformancesGoals
Δ ω T u r b O G r/minsmoothnessabsolute value < 30
t d e l a y msaccelerationminimum value
Δ ω o u t r/mincomfortabsolute value < 10
Δ ω T u r b S P r/minsmoothnessabsolute value < 250
j m/s3comfortminimum value
t s p msreliability≤250
W f kjclutch durabilityminimum value
Table 6. Initial intervals of the key calibration parameters.
Table 6. Initial intervals of the key calibration parameters.
PhaseParametersUnitInitial Interval
Fill PhaseFPbar1.8–3
FTms160–250
KPbar0.8–2
KTms≤300
Torque PhaseΔP5bar/ms0.005–0.01
ΔP6bar/mscompensate
Speed PhaseΔP8bar/ms−0.002–0.002
T5ms≤250
Table 7. Results of normalization and weighting.
Table 7. Results of normalization and weighting.
Parameters−0.002−0.0015−0.00125−0.001−0.0007500.0010.002
Indicators0.89350.71040.30960.59880.66300.67130.67690.6936
Table 8. Score of subjective evaluation.
Table 8. Score of subjective evaluation.
Score12345678910
EvaluationExtreme badVery badBadDissatisfiedMinimum standardBasicFairGoodVery goodExcellent
ConclusionUnqualifiedCheckQualified
Test1
Test2
Test3
⋆ represents the score of test staff.
Disclaimer/Publisher’s Note: The statements, opinions and data contained in all publications are solely those of the individual author(s) and contributor(s) and not of MDPI and/or the editor(s). MDPI and/or the editor(s) disclaim responsibility for any injury to people or property resulting from any ideas, methods, instructions or products referred to in the content.

Share and Cite

MDPI and ACS Style

Lin, J.; Yue, H.; Wu, X.; Zhang, L.; Dai, Z.; Jing, H. A Fast Optimizing Method of Clutch–Clutch Shift Calibration Parameters. Electronics 2024, 13, 941. https://doi.org/10.3390/electronics13050941

AMA Style

Lin J, Yue H, Wu X, Zhang L, Dai Z, Jing H. A Fast Optimizing Method of Clutch–Clutch Shift Calibration Parameters. Electronics. 2024; 13(5):941. https://doi.org/10.3390/electronics13050941

Chicago/Turabian Style

Lin, Jinyu, Huijun Yue, Xiaoxiao Wu, Lu Zhang, Zhenkun Dai, and Haobo Jing. 2024. "A Fast Optimizing Method of Clutch–Clutch Shift Calibration Parameters" Electronics 13, no. 5: 941. https://doi.org/10.3390/electronics13050941

APA Style

Lin, J., Yue, H., Wu, X., Zhang, L., Dai, Z., & Jing, H. (2024). A Fast Optimizing Method of Clutch–Clutch Shift Calibration Parameters. Electronics, 13(5), 941. https://doi.org/10.3390/electronics13050941

Note that from the first issue of 2016, this journal uses article numbers instead of page numbers. See further details here.

Article Metrics

Back to TopTop