Underwater-Acoustic-OFDM Channel Estimation Based on Deep Learning and Data Augmentation
Abstract
1. Introduction
- (1)
- we propose a DL-based UWA-OFDM-channel-estimation scheme for the defects in the traditional UWA-OFDM communication system. We consider the shortage of underwater-acoustic channel samples and we introduce the CWGAN-GP model to generate enhanced channel samples, whose generator contains some channel feature parameters to realize different types of channel model generation.
- (2)
- We propose a novel deep-learning channel-estimation architecture. First, in order to attenuate the effect of feature information loss, we extracted channel features by constructing a convolutional network structure in the way of U-Net, and we then designed a Channel-Attention-Denoising-(CAD) module, to further optimize the reconstructed channel information.
- (3)
- We provide a validation of the channel quality in different UWA environments. The numerical results show that the proposed model is better than the traditional OFDM communication system, DNN-based, and ChannelNet-based models, in terms of Mean Square Error (MSE) and Bit-Error Rate (BER). Significant performance improvements are particularly evident in harsh UWA environments.
2. The UWA-OFDM Communication System
3. The UWA-OFDM-Channel-Estimation Framework Based on Deep Learning
3.1. GAN-Based UWA-OFDM Channel Sample Enhancement
3.2. DL-Based-Estimated-UWA-OFDM Channel
4. Experiments and Evaluations
4.1. Experiments Parameters
- Select two or four symbols as pilot symbols, and then estimate the CSI of the pilot location and data position by using the LS algorithm and the spline interpolation method, respectively.
- Select two or four symbols as the pilot symbols, and then obtain the CSI matrix by using the DNN-based algorithm.
- Select two or four symbols as the pilot symbols, and then obtain the CSI matrix based on ChannelNet. The algorithm is mainly divided into the process of expansion and denoising reduction.
- Suppose that the channel is determined to be known.
4.2. Compare the Authenticity of the Channel-Response Estimates
4.3. MSE Performance in an Extended Range of SNR
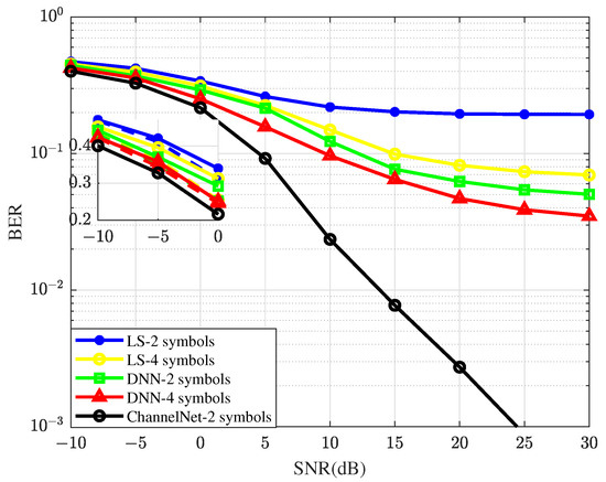
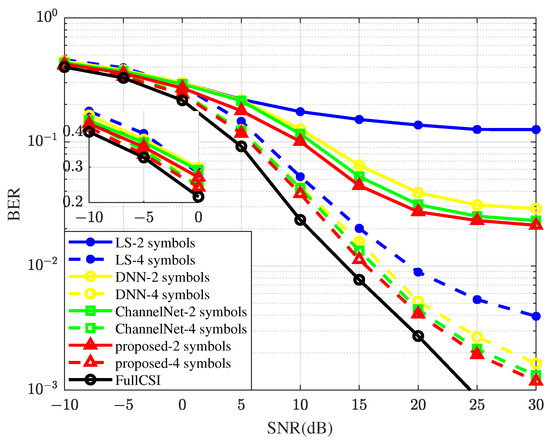
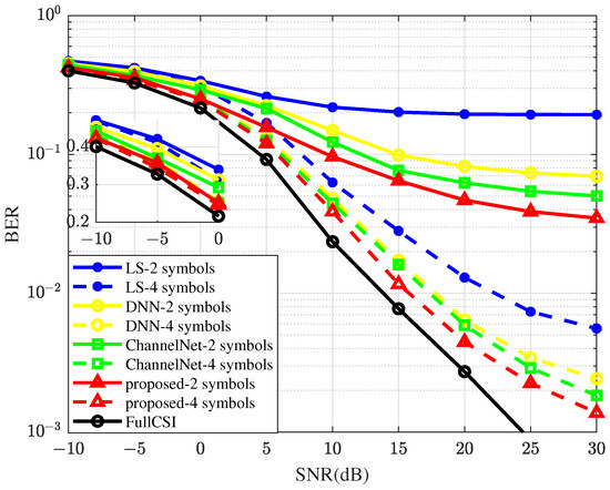
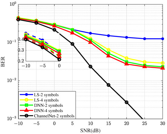
4.4. BER Performance in an Extended Range of SNR
4.5. MSE and BER Performance for the Different Number of Pilot Symbols
5. Conclusions
Author Contributions
Funding
Data Availability Statement
Acknowledgments
Conflicts of Interest
References
- Pranitha, B.; Anjaneyulu, L. Review of research trends in underwater communications—A technical survey. In Proceedings of the 2016 International Conference on Communication and Signal Processing (ICCSP), Melmaruvathur, India, 6–8 April 2016; pp. 1443–1447. [Google Scholar]
- Singer, A.C.; Nelson, J.K.; Kozat, S.S. Signal processing for underwater acoustic communications. IEEE Commun. Mag. 2009, 47, 90–96. [Google Scholar] [CrossRef]
- JIA Ning, H.J.C. An overview of underwater acoustic communications. Physics 2014, 43, 650–657. [Google Scholar]
- Barazideh, R.; Niknam, S.; Natarajan, B.; Nikitin, A.V. Intermittently Nonlinear Impulsive Noise Mitigation and Doppler Shift Compensation in UWA-OFDM Systems. IEEE Access 2019, 7, 36590–36599. [Google Scholar] [CrossRef]
- Li, B.; Zhou, S.; Stojanovic, M.; Freitag, L.; Willett, P. Multicarrier Communication Over Underwater Acoustic Channels with Nonuniform Doppler Shifts. IEEE J. Ocean. Eng. 2008, 33, 198–209. [Google Scholar]
- Qiao, G.; Babar, Z.; Ma, L.; Liu, S.; Wu, J. MIMO-OFDM underwater acoustic communication systems—A review. Phys. Commun. 2017, 23, 56–64. [Google Scholar] [CrossRef]
- Huang, J.; Wang, H.; He, C.; Zhang, Q.; Jing, L. Underwater acoustic communication and the general performance evaluation criteria. Front. Inf. Technol. Electron. Eng. 2018, 19, 951–971. [Google Scholar] [CrossRef]
- Luo, H.; Wang, J.; Bu, F.; Ruby, R.; Wu, K.; Guo, Z. Recent Progress of Air/Water Cross-Boundary Communications for Underwater Sensor Networks: A Review. IEEE Sensors J. 2022, 22, 8360–8382. [Google Scholar] [CrossRef]
- Tadayon, S.; Stojanovic, M. Iterative sparse channel estimation for acoustic OFDM systems. In Proceedings of the 2016 IEEE Third Underwater Communications and Networking Conference (UComms), Lerici, Italy, 30 August–1 September 2016; pp. 1–5. [Google Scholar]
- Chen, Z.; He, Z.; Niu, K.; Rong, Y. Neural Network-based Symbol Detection in High-speed OFDM Underwater Acoustic Communication. In Proceedings of the 2018 10th International Conference on Wireless Communications and Signal Processing (WCSP), Hangzhou, China, 18–20 October 2018; pp. 1–5. [Google Scholar]
- Ozdemir, M.K.; Arslan, H. Channel estimation for wireless OFDM systems. IEEE Commun. Surv. Tutor. 2007, 9, 18–48. [Google Scholar] [CrossRef]
- Altabbaa, M.T.; Ogrenci, A.S.; Panayirci, E.; Poor, H.V. Sparse Channel Estimation for Space-Time Block Coded OFDM-Based Underwater Acoustic Channels. In Proceedings of the 2018 IEEE Global Communications Conference (GLOBECOM), Abu Dhabi, United Arab Emirates, 9–13 December 2018; pp. 1–6. [Google Scholar]
- Zhang, Y.; Li, J.; Zakharov, Y.; Li, X.; Li, J. Deep learning based underwater acoustic OFDM communications. Appl. Acoust. 2019, 154, 53–58. [Google Scholar] [CrossRef]
- Zhang, J.; Cao, Y.; Han, G.; Fu, X. Deep neural network-based underwater OFDM receiver. IET Commun. 2019, 13, 1998–2002. [Google Scholar] [CrossRef]
- Lee-Leon, A.; Yuen, C.; Herremans, D. Underwater Acoustic Communication Receiver Using Deep Belief Network. IEEE Trans. Commun. 2021, 69, 3698–3708. [Google Scholar] [CrossRef]
- Jiang, R.; Wang, X.; Cao, S.; Zhao, J.; Li, X. Deep Neural Networks for Channel Estimation in Underwater Acoustic OFDM Systems. IEEE Access 2019, 7, 23579–23594. [Google Scholar] [CrossRef]
- van Walree, P.A.; Jenserud, T.; Smedsrud, M. A Discrete-Time Channel Simulator Driven by Measured Scattering Functions. IEEE J. Sel. Areas Commun. 2008, 26, 1628–1637. [Google Scholar] [CrossRef]
- Socheleau, F.X.; Laot, C.; Passerieux, J.M. Stochastic Replay of Non-WSSUS Underwater Acoustic Communication Channels Recorded at Sea. IEEE Trans. Signal Process. 2011, 59, 4838–4849. [Google Scholar] [CrossRef]
- Huang, N.E.; Shen, Z.; Long, S.R.; Wu, M.C.; Shih, H.H.; Zheng, Q.; Yen, N.C.; Tung, C.C.; Liu, H.H. The empirical mode decomposition and the Hilbert spectrum for nonlinear and non-stationary time series analysis. Proc. R. Soc. Lond. Ser. A 1998, 454, 903–998. [Google Scholar] [CrossRef]
- Zhao, H.; Ji, F.; Li, Q.; Guan, Q.; Wang, S.; Wen, M. Federated Meta-Learning Enhanced Acoustic Radio Cooperative Framework for Ocean of Things. IEEE J. Sel. Top. Signal Process. 2022, 16, 474–486. [Google Scholar] [CrossRef]
- Goodfellow, I.J.; Pouget-Abadie, J.; Mirza, M.; Xu, B.; Warde-Farley, D.; Ozair, S.; Courville, A.; Bengio, Y. Generative Adversarial Nets. In Proceedings of the 27th International Conference on Neural Information Processing Systems, Montreal, QC, Canada, 8–13 December 2014; Volume 2, pp. 2672–2680. [Google Scholar]
- Creswell, A.; White, T.; Dumoulin, V.; Arulkumaran, K.; Sengupta, B.; Bharath, A.A. Generative Adversarial Networks: An Overview. IEEE Signal Process. Mag. 2018, 35, 53–65. [Google Scholar] [CrossRef]
- Stojanovic, M.; Beaujean, P.P.J. Acoustic Communication. In Springer Handbook of Ocean Engineering; Springer: New York, NY, USA, 2016; pp. 359–386. [Google Scholar]
- Adler, J.; Lunz, S. Banach wasserstein gan. Adv. Neural Inf. Process. Syst. 2018, 31. [Google Scholar] [CrossRef]
- Gulrajani, I.; Ahmed, F.; Arjovsky, M.; Dumoulin, V.; Courville, A.C. Improved training of wasserstein gans. Adv. Neural Inf. Process. Syst. 2017, 30. [Google Scholar] [CrossRef]
- Maas, A.L.; Hannun, A.Y.; Ng, A.Y. Rectifier nonlinearities improve neural network acoustic models. In Proceedings of the ICML 2013: 30th International Conference on Machine Learning, Atlanta, GA, USA, 16–21 June 2013; Volume 30, p. 3. [Google Scholar]
- He, K.; Zhang, X.; Ren, S.; Sun, J. Deep residual learning for image recognition. In Proceedings of the IEEE Conference on Computer Vision and Pattern Recognition, Las Vegas, NV, USA, 27–30 June 2016; pp. 770–778. [Google Scholar]
- Hu, J.; Shen, L.; Sun, G. Squeeze-and-excitation networks. In Proceedings of the IEEE Conference on Computer Vision and Pattern Recognition, Salt Lake City, UT, USA, 18–23 June 2018; pp. 7132–7141. [Google Scholar]
- Qarabaqi, P.; Stojanovic, M. Statistical Characterization and Computationally Efficient Modeling of a Class of Underwater Acoustic Communication Channels. IEEE J. Ocean. Eng. 2013, 38, 701–717. [Google Scholar] [CrossRef]
- Soltani, M.; Pourahmadi, V.; Mirzaei, A.; Sheikhzadeh, H. Deep Learning-Based Channel Estimation. IEEE Commun. Lett. 2019, 23, 652–655. [Google Scholar] [CrossRef]

















| Parameter | KAU1 | NOF1 |
|---|---|---|
| Water depth | 100 m | 10 m |
| Transmitter depth | 20 m | 10 m |
| Receiver depth | 50 m | 10 m |
| Transmission distance | 1080 m | 750 m |
| Spreading factor | 1.7 | 1.7 |
| Sound speed in water | 1500 m/s | 1500 m/s |
| Sound speed in bottom | 1200 m/s | 1200 m/s |
| Tx vehicle speed | N(0, 1) m/s | N(0, 1) m/s |
| Rx vehicle speed | 0 m/s | 0 m/s |
| Parameter | Value |
|---|---|
| Carrier frequency | 8 kHz |
| Channel bandwidth | 6–10 kHz |
| Number of subcarriers | 512 |
| Number of symbols/frame | 14 |
| Subcarrier spacing | 7.8125 Hz |
| Symbol duration | 128 ms |
| Cycle prefix length | 30 ms |
| Modulation | QPSK |
Disclaimer/Publisher’s Note: The statements, opinions and data contained in all publications are solely those of the individual author(s) and contributor(s) and not of MDPI and/or the editor(s). MDPI and/or the editor(s) disclaim responsibility for any injury to people or property resulting from any ideas, methods, instructions or products referred to in the content. |
© 2024 by the authors. Licensee MDPI, Basel, Switzerland. This article is an open access article distributed under the terms and conditions of the Creative Commons Attribution (CC BY) license (https://creativecommons.org/licenses/by/4.0/).
Share and Cite
Guo, J.; Guo, T.; Li, M.; Wu, T.; Lin, H. Underwater-Acoustic-OFDM Channel Estimation Based on Deep Learning and Data Augmentation. Electronics 2024, 13, 689. https://doi.org/10.3390/electronics13040689
Guo J, Guo T, Li M, Wu T, Lin H. Underwater-Acoustic-OFDM Channel Estimation Based on Deep Learning and Data Augmentation. Electronics. 2024; 13(4):689. https://doi.org/10.3390/electronics13040689
Chicago/Turabian StyleGuo, Jiasheng, Tieliang Guo, Mingran Li, Thomas Wu, and Hangyu Lin. 2024. "Underwater-Acoustic-OFDM Channel Estimation Based on Deep Learning and Data Augmentation" Electronics 13, no. 4: 689. https://doi.org/10.3390/electronics13040689
APA StyleGuo, J., Guo, T., Li, M., Wu, T., & Lin, H. (2024). Underwater-Acoustic-OFDM Channel Estimation Based on Deep Learning and Data Augmentation. Electronics, 13(4), 689. https://doi.org/10.3390/electronics13040689
