Incorporating Global Information for Aspect Category Sentiment Analysis
Abstract
1. Introduction
2. Related Work
2.1. Aspect-Based Sentiment Analysis
2.2. K-Nearest Neighbor (KNN) Retrieval Mechanism
3. Method
3.1. BERT-Based Sentence-Level Context Encoding Layer
3.2. GNN-Based Document-Level Context Encoding Layer
- Information propagation between sentence nodes: Given multiple sentence nodes specific to the aspect in the review, information is propagated along the edges in to update the sentence node representations as follows:where I is the number of sentences in the review related to the aspect , and is the cosine similarity function. There are multiple functions that can serve as our similarity function. In our preliminary experiments, we explored both non-parametric functions (such as dot product and cosine similarity) and parametric functions (including bilinear functions and MLP networks). The parameters of similar functions can be fine-tuned in an end-to-end manner during the training process. Experimental results indicated that using different similarity functions did not result in significant performance differences. Consequently, we opted for the non-parametric cosine similarity function in our experiments. is the weight matrix, represents the initial representation of the sentence node, and represents the updated sentence node representation. The outputs of the sentence-level context encoding layer are used to initialize the corresponding sentence nodes. By propagating information between sentence nodes that share the same aspect category, the sentiment consistency among these nodes within a review can be effectively modeled.
- Information propagation between sentence nodes and aspect nodes: Given the initial representation of the aspect node , and the updated representations of sentence nodes specific to the aspect category , information is propagated from the sentence nodes to the aspect node along the edges in , as follows:where is the updated aspect node representation. The initial representation of the aspect node is obtained by averaging the initial representations of all sentence nodes specific to the aspect category.
- Information propagation between aspect nodes: Given the updated representations of the aspect nodes , information is propagated along the edges in to further update the aspect node representations, resulting in aspect node representations that incorporate document-level context as follows:where K is the number of aspect nodes, is the cosine similarity function, and is the weight matrix. By propagating information between aspect nodes in a review, our model can effectively capture the sentiment similarity among different aspect categories within the review.
3.3. KNN-Based Corpus-Level Context Encoding Layer
3.4. MLP Classification Layer
4. Experiment
4.1. Setup
4.2. Comparison with Baseline Methods
- Compared to methods that utilize additional resources, such as BiGAT-BERT (dependency syntax tree) and KASA (synthetic training data and knowledge base), our method achieves the highest scores across all four datasets, with comparable performance in . The main factor contributing to KASA’s higher accuracy over our method is its incorporation of the external knowledge base, WordNet. Conversely, our method was enhanced solely by the document-level and corpus-level global information from the training data. As stated in Section 4.1, we use the macro-average score, in line with the baselines, to assess our method. By integrating corpus-level information, our method demonstrates notable improvement on the less common ’neutral’ category, leading to higher macro-average scores across all four datasets.
- In contrast to methods that do not utilize additional resources, such as and MIMLLN-BERT, our method demonstrates significant improvements in both and scores across all four datasets. These improvements are significant under paired t-tests (p < 0.01). For instance, the average and scores are higher by 1.66% and 5.62%, respectively, compared to MIMLLN-BERT.
| Method | Rest15 | Laptop15 | Rest16 | Laptop16 | ||||
|---|---|---|---|---|---|---|---|---|
| Acc | F1 | Acc | F1 | Acc | F1 | Acc | F1 | |
| GIN | 81.17 | 62.38 | 75.93 | 63.18 | 87.05 | 65.03 | 78.92 | 62.93 |
| MIMLLN | 78.27 | 60.59 | 75.30 | 61.39 | 85.76 | 63.52 | 78.57 | 62.63 |
| BERTQA | 81.53 | 64.59 | 79.34 | 67.18 | 88.00 | 72.82 | 78.52 | 63.34 |
| MIMLLN-BERT | 82.76 | 65.10 | 82.98 | 62.36 | 88.12 | 73.05 | 82.57 | 63.26 |
| BiGAT-BERT | 85.68 | 65.12 | 85.43 | 70.36 | 89.12 | 74.96 | 84.69 | 65.15 |
| KASA * | 86.34 | 69.28 | 85.77 | 71.03 | 90.26 | 75.98 | 85.70 | 67.58 |
| OUR | 85.32 | 70.59 | 83.03 | 71.40 | 89.98 | 76.03 | 84.76 | 68.25 |
4.3. Ablation Study
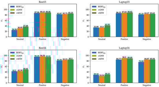
- After incorporating the document-level context, the performance of BERTQA + GNN shows notable improvements across all four datasets. Specifically, there are average improvements of 2.84% in and 3.13% in (BERTQA + GNN vs. BERTQA). A statistical analysis of four training sets indicates that more than 55% of sentences within the same review share identical aspect categories and sentiment polarities. In more than 52% of reviews, the sentiment polarities across all categories are uniform. These results demonstrate that our method can effectively capture the sentiment consistency of the same aspect and the sentiment similarity across different aspects within a review.
- With the help of corpus-level information, our model experiences additional performance gains, achieving average increases of 1.07% in and 1.44% in (BERTQA + GNN + KNN vs. BERTQA + GNN). These results not only confirm the necessity of corpus-level contextual information in ACSA but also demonstrate the effectiveness of our KNN-based corpus-level context encoding layer.
- Although the performance of GNN is better than that of BERTQA, it is still consistently inferior to that of BERTQA + GNN. This highlights the necessity of jointly incorporating outputs from multiple modules in the classification layer. The reason is that the sentiment consistency and the sentiment similarity may not hold true in some instances. Thus, relying solely on the output from the document-level context encoding layer for prediction in these cases may lead to negative effects.
| Method | Rest15 | Laptop15 | Rest16 | Laptop16 | ||||
|---|---|---|---|---|---|---|---|---|
| Acc | F1 | Acc | F1 | Acc | F1 | Acc | F1 | |
| BERTQA | 81.53 | 64.59 | 79.34 | 67.18 | 88.00 | 72.82 | 78.52 | 63.34 |
| GNN | 83.19 | 67.49 | 81.77 | 68.30 | 88.70 | 73.40 | 79.40 | 66.73 |
| BERTQA + GNN | 85.20 | 68.55 | 82.18 | 69.10 | 89.38 | 75.55 | 82.02 | 67.28 |
| BERTQA + GNN + KNN (OUR) | 85.32 | 70.59 | 83.03 | 71.40 | 89.98 | 76.03 | 84.76 | 68.25 |
- After incorporating the document-level context, our model consistently demonstrates improved performance for the two main categories ‘positive’ and ‘negative’. However, the scores for the less common ‘neutral’ category have only seen a slight increase, and notably, there has been a decrease in performance on the Laptop16 dataset. The primary reason for this is that modeling the sentiment similarity among categories within a document may cause ‘neutral’ instances to be incorrectly classified as the more common ‘positive’ or ‘negative’ categories.
- With the corpus-level context, our model exhibits significant improvements in identifying the ’neutral’ category across all four datasets, with an average score increase of 6.72% compared to when only document-level context was added. This clearly indicates that utilizing corpus-level information can effectively enhance the identification of less frequent categories.
5. Case Study and Error Analysis
5.1. Case Study
5.2. Error Analysis
- Sentiment Diversity: As we can see from Table 6, in the set of 100 sentences, 31% of the predictions were incorrect due to sentiment diversity. These sentences often describe multiple aspect categories with different sentiment polarities, typically connected by discourse markers such as ‘but’, ‘however’, and ‘except’. For example, in the sentence ‘The food was great and tasty, but the sitting space was too small, I don’t like being crammed in a corner’, the first part expresses a positive sentiment (FOOD#QUALITY), while the second part conveys a negative sentiment (AMBIENCE#GENERAL), with ‘but’ linking the two. Our ACSA model incorrectly classified AMBIENCE#GENERAL as ‘Positive’. Through in-depth analysis, we found that the main reasons for these instances are twofold: (1) the failure to identify the related sentiment expression; (2) the side effects of modeling the sentiment similarities among different aspect categories within a review.
- Implicit Emotional Expression: In Table 6, these errors make up 23% of the instances. In such cases, users frequently convey emotions in a more subtle way, making it challenging to pinpoint words that signify sentiment polarity. For example, the sentence “Save your money and your time and go somewhere else” conveys a negative sentiment implicitly, yet lacks obvious emotional words, hindering the model from accurately recognizing it. Furthermore, users occasionally employ associated punctuation to convey emotional leanings. For example, in the sentence “Chicken teriyaki had tomato or pimentos on top??”, the words themselves offer a limited understanding of the user’s emotion. Although humans can readily deduce a negative sentiment from the double question marks, this poses a difficulty for the present model. Future studies might explore the inclusion of additional labeled or unlabeled data for training, enabling the ACSA models to more accurately capture implicit emotional expressions.
- Neutral Instances: Table 6 reveals that twenty percent of the errors are due to the misclassification of neutral instances. Among the four datasets, the instances labeled as ‘neutral’ polarity make up a small fraction and deep learning models generally perform poorly on classes with insufficient data. Compared to the method proposed by Chen et al. [11], our model reduced the error rate for this category by 7%, from 27% to 20%. The primary reason for this improvement is that our model utilizes corpus-level contextual information through a KNN-based retrieval approach. Recently, generative models have shown promising performance in categories with limited samples [27,28], and investigating their application to aspect-based sentiment analysis represents a promising research avenue.
- Presence of Negation: As indicated in Table 6, errors caused by negation words accounted for 16% of these cases. Negation words frequently modify the overall sentiment polarity, resulting in erroneous model judgments. For example, in the sentence ‘I have had Dell Desktops for years, so had no qualms about buying a Dell laptop’, the negation ’no’ transforms the sentiment from ‘negative’ to ‘positive’. A promising direction for future research could be leveraging contrastive learning to improve the model’s attention to negation words.
- Short Sentences (Less than Five Words): It is shown in Table 6 that errors arising from excessively brief sentences accounted for 7% of these cases. Short sentences, due to their limited information content, pose challenges for ACSA models in effectively learning their semantic representations. For example, the sentence ‘Chintzy portions’ consists of only two words, making it challenging to ascertain the user’s intended sentiment. Our model has the capability to utilize document-level contextual information, frequently predicting such cases to be in line with the sentiment polarity of the majority within the corresponding review, thereby mitigating this issue to a certain degree. Future research might explore incorporating the entire review as an input for the model to enhance its ability to learn the semantic representations of short sentences.
5.3. Computational Overhead Analysis
5.4. LLM on the ACSA Task
6. Conclusions
Author Contributions
Funding
Data Availability Statement
Conflicts of Interest
References
- Zhang, W.; Li, X.; Deng, Y.; Bing, L.; Lam, W. A Survey on Aspect-Based Sentiment Analysis: Tasks, Methods, and Challenges. IEEE Trans. Knowl. Data Eng. 2023, 35, 11019–11038. [Google Scholar] [CrossRef]
- Wang, Y.; Huang, M.; Zhu, X.; Zhao, L. Attention-based LSTM for Aspect-level Sentiment Classification. In Proceedings of the 2016 Conference on Empirical Methods in Natural Language Processing, Austin, TX, USA, 1–4 November 2016; pp. 606–615. [Google Scholar]
- Xing, B.; Liao, L.; Song, D.; Wang, J.; Zhang, F.; Wang, Z.; Huang, H. Earlier Attention? Aspect-Aware LSTM for Aspect Sentiment Analysis. In Proceedings of the Twenty-Eighth International Joint Conference on Artificial Intelligence, Macao, China, 10–16 August 2019; pp. 5313–5319. [Google Scholar]
- Melis, G.; Kočiský, T.; Blunsom, P. Mogrifier LSTM. In Proceedings of the Eighth International Conference on Learning Representations, Online, 26–30 April 2020. [Google Scholar]
- Zhang, C.; Li, Q.; Song, D. Aspect-based Sentiment Classification with Aspect-specific Graph Convolutional Networks. In Proceedings of the 2019 Conference on Empirical Methods in Natural Language Processing and the 9th International Joint Conference on Natural Language Processing (EMNLP-IJCNLP), Hong Kong, China, 3–7 November 2019; pp. 4568–4578. [Google Scholar]
- Tian, Y.; Chen, G.; Song, Y. Enhancing Aspect-level Sentiment Analysis with Word Dependencies. In Proceedings of the 16th Conference of the European Chapter of the Association for Computational Linguistics: Main Volume, Online, 19–23 April 2021; pp. 3726–3739. [Google Scholar]
- Zhu, P.; Chen, Z.; Zheng, H.; Qian, T. Aspect Aware Learning for Aspect Category Sentiment Analysis. ACM Trans. Knowl. Discov. Data 2019, 13, 1–21. [Google Scholar] [CrossRef]
- Shan, Y.; Che, C.; Wei, X.; Wang, X.; Zhu, Y.; Jin, B. Bi-graph Attention Network for Aspect Category Sentiment Classification. Knowl.-Based Syst. 2022, 258, 109972. [Google Scholar] [CrossRef]
- Liu, B.; Lin, T.; Li, M. Enhancing Aspect-category Sentiment Analysis via Syntactic Data Augmentation and Knowledge Enhancement. Knowl.-Based Syst. 2023, 264, 110339. [Google Scholar] [CrossRef]
- Ping, Z.; Sang, G.; Liu, Z.; Zhang, Y. Aspect Category Sentiment Analysis Based on Prompt-based Learning with Attention Mechanism. Neurocomputing 2024, 565, 126994. [Google Scholar] [CrossRef]
- Chen, X.; Sun, C.; Wang, J.; Li, S.; Si, L.; Zhang, M.; Zhou, G. Aspect Sentiment Classification with Document-level Sentiment Preference Modeling. In Proceedings of the 58th Annual Meeting of the Association for Computational Linguistics, Online, 5–10 July 2020; pp. 3667–3677. [Google Scholar]
- Zhao, H.; Xiao, J.; Xue, Y.; Zhang, H.; Cai, S. Aspect Category Sentiment Classification via Document-level GAN and POS Information. Int. J. Mach. Learn. Cybern. 2024, 15, 3221–3235. [Google Scholar] [CrossRef]
- Xue, W.; Li, T. Aspect Based Sentiment Analysis with Gated Convolutional Networks. In Proceedings of the 56th Annual Meeting of the Association for Computational Linguistics (Volume 1: Long Papers), Melbourne, Australia, 15–20 July 2018; pp. 2514–2523. [Google Scholar]
- Chen, S.; Wang, Y.; Liu, J.; Wang, Y. Bidirectional Machine Reading Comprehension for Aspect Sentiment Triplet Extraction. In Proceedings of the AAAI Conference on Artificial Intelligence, Vancouver, BC, Canada, 2–9 February 2021; pp. 12666–12674. [Google Scholar]
- Gao, L.; Wang, Y.; Liu, T.; Wang, J.; Zhang, L.; Liao, J. Question-Driven Span Labeling Model for Aspect–Opinion Pair Extraction. In Proceedings of the AAAI Conference on Artificial Intelligence, Vancouver, BC, Canada, 2–9 February 2021; pp. 12875–12883. [Google Scholar]
- Mao, Y.; Shen, Y.; Yu, C.; Cai, L. A Joint Training Dual-mrc Framework for Aspect Based Sentiment Analysis. In Proceedings of the AAAI Conference on Artificial Intelligence, Vancouver, BC, Canada, 2–9 February 2021; pp. 13543–13551. [Google Scholar]
- Sun, C.; Huang, L.; Qiu, X. Utilizing BERT for Aspect-Based Sentiment Analysis via Constructing Auxiliary Sentence. In Proceedings of the 2019 Conference of the North American Chapter of the Association for Computational Linguistics: Human Language Technologies, Volume 1 (Long and Short Papers), Minneapolis, MN, USA, 2–7 June 2019; pp. 380–385. [Google Scholar]
- Li, X.; Bing, L.; Zhang, W.; Lam, W. Exploiting BERT for End-to-End Aspect-based Sentiment Analysis. In Proceedings of the 5th Workshop on Noisy User-Generated Text (W-NUT 2019), Hong Kong, China, 4 November 2019; pp. 34–41. [Google Scholar]
- Tang, H.; Ji, D.; Li, C.; Zhou, Q. Dependency Graph Enhanced Dual-transformer Structure for Aspect-based Sentiment Classification. In Proceedings of the 58th Annual Meeting of the Association for Computational Linguistics, Online, 5–10 July 2020; pp. 6578–6588. [Google Scholar]
- Su, X.; Wang, R.; Dai, X. Contrastive Learning-Enhanced Nearest Neighbor Mechanism for Multi-Label Text Classification. In Proceedings of the 60th Annual Meeting of the Association for Computational Linguistics (Volume 2: Short Papers), Dublin, Ireland, 22–27 May 2022; pp. 672–679. [Google Scholar]
- Khelwal, U.; Fan, A.; Jurafsky, D.; Zettlemoyer, L.; Lewis, M. Nearest Neighbor Machine Translation. In Proceedings of the Eighth International Conference on Learning Representations, Vienna, Austria, 4–5 May 2021. [Google Scholar]
- Du, Q.; Kuang, X.; Zhao, G. Code Vulnerability Detection via Nearest Neighbor Mechanism. In Proceedings of the Findings of the Association for Computational Linguistics: EMNLP, Abu Dhabi, United Arab Emirates, 7–11 December 2022; pp. 6173–6178. [Google Scholar]
- Pontiki, M.; Galanis, D.; Papageorgiou, H.; Manandhar, S.; Androutsopoulos, I. SemEval-2015 Task 12: Aspect Based Sentiment Analysis. In Proceedings of the 9th International Workshop on Semantic Evaluation (SemEval 2015), Denver, CO, USA, 4–5 June 2015; pp. 486–495. [Google Scholar]
- Pontiki, M.; Galanis, D.; Papageorgiou, H.; Androutsopoulos, I.; Manandhar, S.; Smadi, M.A.L.; Al-Ayyoub, M.; Zhao, Y.; Qin, B.; Clercq, O.D.; et al. SemEval-2016 Task 5: Aspect Based Sentiment Analysis. In Proceedings of the 10th International Workshop on Semantic Evaluation (SemEval-2016), San Diego, CA, USA, 16–17 June 2016; pp. 19–30. [Google Scholar]
- Yin, R.; Su, H.; Liang, B.; Du, J.; Xu, R. Extracting the Collaboration of Entity and Attribute: Gated Interactive Networks for Aspect Sentiment Analysis. In Proceedings of the 9th CCF International Conference on Natural Language Processing and Chinese Computing, Zhengzhou, China, 14–18 October 2020; pp. 802–814. [Google Scholar]
- Li, Y.; Yin, C.; Zhong, S.; Pan, X. Multi-Instance Multi-Label Learning Networks for Aspect-Category Sentiment Analysis. In Proceedings of the 2020 Conference on Empirical Methods in Natural Language Processing, Online, 16–20 November 2020; pp. 3550–3560. [Google Scholar]
- Peng, B.; Zhu, C.; Li, C.; Li, X.; Li, J.; Zeng, M.; Gao, J. Few-shot Natural Language Generation for Task-Oriented Dialog. In Proceedings of the Findings of the 2020 Conference on Empirical Methods in Natural Language Processing, Online, 16–20 November 2020; pp. 172–182. [Google Scholar]
- Yu, C.; Wu, T.; Li, J.; Bai, X.; Yang, Y. Syngen: A Syntactic Plug-and-play Module for Generative Aspect-based Sentiment Analysis. In Proceedings of the ICASSP 2023–2023 IEEE International Conference on Acoustics, Speech and Signal Processing (ICASSP), Rhodes Island, Greece, 4–10 June 2023; pp. 1–5. [Google Scholar]
- Wang, Q.; Ding, K.; Liang, B.; Yang, M.; Xu, R. Reducing Spurious Correlations in Aspect-based Sentiment Analysis with Explanation from Large Language Models. In Proceedings of the Findings of the Association for Computational Linguistics: EMNLP, Singapore, 6–10 December 2023; pp. 2930–2941. [Google Scholar]



| Dataset | Neutral | Positive | Negative | Total | Reviews | |||||
|---|---|---|---|---|---|---|---|---|---|---|
| Train | Test | Train | Test | Train | Test | Train | Test | Train | Test | |
| Rest15 | 42 | 45 | 892 | 454 | 319 | 346 | 1253 | 845 | 188 | 95 |
| Laptop15 | 74 | 79 | 857 | 541 | 641 | 329 | 1572 | 949 | 230 | 173 |
| Rest16 | 87 | 44 | 1313 | 611 | 625 | 204 | 2025 | 859 | 275 | 90 |
| Laptop16 | 168 | 46 | 1427 | 481 | 889 | 274 | 2484 | 801 | 400 | 80 |
| Several Instances in a Review | BERTQA | +GNN |
|---|---|---|
| S1: bad staff -Aspect category: SERVICE#GENERAL -Polarity: Negative | Negative | Negative |
| S5: But the service is HORRID! -Aspect category: SERVICE#GENERAL -Polarity: Negative | Negative | Negative |
| S6: I was there for brunch recently, and we were tag teamed by a waitress and a waiter -Aspect category: SERVICE#GENERAL -Polarity: Negative | Positive | Negative |
| S8: I can’t believe that it was, but please put the bag down before delivering food! -Aspect category: SERVICE#GENERAL -Polarity: Negative | Positive | Negative |
| Instances from Different Reviews | +GNN | +KNN | |
|---|---|---|---|
| Review 1 | S: Average performance on almost every benchmark but priced accordingly. -Aspect category: LAPTOP#OPERATION_PERFORMANCE -Polarity: Neutral | Positive | Neutral |
| Review 2 | S: It wont wow you with its speed but who can complain at $249. -Aspect category: LAPTOP#OPERATION_PERFORMANCE -Polarity: Neutral | Negative | Neutral |
| Error Category | Proportion | Example |
|---|---|---|
| Sentiment Diversity | 31% | The food was great and tasty, but the sitting space was too small, I don’t like being cramp in a corner. |
| Implicit Emotional Expression | 23% | Save your money and your time and go somewhere else. |
| Neutral Instances | 20% | The laptop itself is very good, it could be better, but not bad at all for its price point. |
| Presence of Negation | 16% | I have had Dell Desktops for years, so had no qualms about buying a Dell laptop. |
| Short Sentences (Less than 5 Words) | 7% | Chintzy portions. |
| Method | Rest 15 (Train) | Rest 15 (Test) |
|---|---|---|
| BERTQA | 38.61 s | 5.91 s |
| BERTQA + GNN | 41.41 s | 6.87 s |
| BERTQA + GNN + KNN (OUR) | 105.49 s | 10.8 s |
| BiGAT-BERT | 98.95 s | 9.86 s |
| KASA | 115.67 s | 12.25 s |
| Method | Rest15 | Laptop15 | Rest16 | Laptop16 | ||||
|---|---|---|---|---|---|---|---|---|
| Acc | F1 | Acc | F1 | Acc | F1 | Acc | F1 | |
| Zero-shot ChatGPT | 80.13 | 63.25 | 76.76 | 64.43 | 81.75 | 72.38 | 74.16 | 60.47 |
| 3-shot ChatGPT | 83.50 | 68.34 | 84.10 | 70.58 | 85.67 | 74.19 | 82.54 | 67.49 |
| OUR | 85.32 | 70.59 | 83.03 | 71.40 | 89.98 | 76.03 | 84.76 | 68.25 |
Disclaimer/Publisher’s Note: The statements, opinions and data contained in all publications are solely those of the individual author(s) and contributor(s) and not of MDPI and/or the editor(s). MDPI and/or the editor(s) disclaim responsibility for any injury to people or property resulting from any ideas, methods, instructions or products referred to in the content. |
© 2024 by the authors. Licensee MDPI, Basel, Switzerland. This article is an open access article distributed under the terms and conditions of the Creative Commons Attribution (CC BY) license (https://creativecommons.org/licenses/by/4.0/).
Share and Cite
Wang, H.; Wang, C.; Li, C.; Wu, C. Incorporating Global Information for Aspect Category Sentiment Analysis. Electronics 2024, 13, 5020. https://doi.org/10.3390/electronics13245020
Wang H, Wang C, Li C, Wu C. Incorporating Global Information for Aspect Category Sentiment Analysis. Electronics. 2024; 13(24):5020. https://doi.org/10.3390/electronics13245020
Chicago/Turabian StyleWang, Heng, Chen Wang, Chunsheng Li, and Changxing Wu. 2024. "Incorporating Global Information for Aspect Category Sentiment Analysis" Electronics 13, no. 24: 5020. https://doi.org/10.3390/electronics13245020
APA StyleWang, H., Wang, C., Li, C., & Wu, C. (2024). Incorporating Global Information for Aspect Category Sentiment Analysis. Electronics, 13(24), 5020. https://doi.org/10.3390/electronics13245020


