Abstract
The integration of blockchain and federated learning (FL) has emerged as a promising solution to address data privacy and security challenges in Intelligent Unmanned Ports (IUPs). However, existing blockchain federated learning (BFL) frameworks encounter significant limitations, including high latency, inefficient data processing, and limited scalability, particularly in scenarios with sparse and distributed data. This paper introduces a novel multi-chain federated learning (MFL) framework to overcome these challenges. The proposed MFL architecture interconnects multiple BFL chains to facilitate the secure and efficient aggregation of data across distributed devices. The framework enhances privacy and efficiency by transmitting aggregated model updates rather than raw data. A low-frequency consensus mechanism is employed to improve performance, leveraging game theory for representative selection to optimize model aggregation while reducing inter-chain communication overhead. The experimental results demonstrate that the MFL framework significantly outperforms traditional BFL in terms of accuracy, latency, and system efficiency, particularly under the conditions of high data sparsity and network latency. These findings highlight the potential of MFL to provide a scalable and secure solution for decentralized learning in IUP environments, with broader applicability to other distributed systems such as the Industrial Internet of Things (IIoT).
1. Introduction
Blockchain and federated learning (FL) [1] are of great importance for various real-world applications such as Intelligent Unmanned Ports (IUPs) privacy protection [2] applications [3]. For example, for IUPs, the data are provided by the generation of, for example, port-automated quayside container cranes, automated rail cranes, automated guided vehicles, port monitors, and environmental sensors [4,5], and the IUP will model its Machine Learning (ML) model [6,7], which can be used in various scenarios such as port monitoring, auxiliary control, and port data prediction [8,9]. However, the relevant data in the IUP are related to customers’ privacy. They cannot be shared and called at will, making IUP data privacy a very challenging problem [10].
Federated learning (FL) can address this privacy issue [11]; it can support training on each device without transferring data outside the machine [12]. Traditional FL relies on a central server to update data models and organize training tasks [13]. This method relies more on the central server, and the training results of each device are also obtained from the central server. The state-of-the-art works generally combine blockchain technology with federated learning [14]. In this way, blockchain technology can enable the updating of the data model and organizational training to be carried out in a distributed manner [15] and then distributed through a consensus [16] algorithm.
Although IUP can use federated learning and blockchain technology [12,17], there are also some challenges. (1) The data collected by intelligent port equipment are now sparse. It is not easy to learn and train a good model without the support of a large amount of data. If some of the same attribute devices are in the IUP, it will take a long time for the BFL to accumulate enough data. (2) The most straightforward way to collect many data samples is to expand the BFL data scale to collect data from devices outside the port. The network latency for transmission between devices can be very high [18]. (3) The blockchain system deployed in the IUP must receive data frequently to reach a consensus. Therefore, consensus and system efficiency will become very low with frequent and high-latency data transmission.
To address the above challenges, we propose a FL framework [19] based on the technology of multiple chains, building multiple chains for blockchain devices outside the port. We first introduce the idea that rather than building one large chain at the port, MFL is performed by aggregating model updates in each chain. Only a small number of aggregated updates are transmitted over long distances in MFL. This update of aggregated data in the chain can hide the details of each node and better protect data privacy. Then, to achieve a secure multiple-chain model exchange, a consensus mechanism based on blockchain and game theory is proposed: low-frequency consensus. In addition, the low-frequency consensus mechanism will regularly elect a chain for model aggregation based on the game theory model, reducing the frequency of slow consistency among multiple chains.
In summary, the main contributions of our work are as follows.
- We introduce an FL framework based on multiple-chain technology and build multiple chains for blockchain devices outside the port. Only a small number of aggregated updates are transmitted over long distances in MFL.
- We propose a secure multiple-chain model exchange. This paper proposes consensus mechanisms based on blockchain: low-frequency consensus. The low-frequency consensus mechanism will regularly elect a chain for model aggregation based on the game theory model, reducing the frequency of slow consistency among multiple chains.
- We analyze MFL, which can improve the accuracy because it provides more updates to the model. In addition, MFL can improve the convergence speed of the model under the same data because MFL aggregates the computation results of multiple chains during training.
The remainder of the paper is organized as follows. We review related work in Section 2. Section 3 provides reasons why the existing blockchain federated learning scheme cannot meet the requirements of IUP. Then, in Section 4, we present and design the MFL model. Various experiments are carried out in Section 5, comparing the effectiveness of MFL with another model. Finally, conclusions and future works are presented in Section 6.
2. Related Work
In recent years, the intersection of blockchain technology and federated learning [20] (FL) has garnered significant attention due to their potential in enhancing privacy and security across various domains. However, most of the research in this area has treated these technologies independently or focused primarily on algorithmic optimizations [21] without addressing the unique challenges faced by specific applications like Intelligent Unmanned Ports (IUPs).
Game theory has been applied to optimize decision-making and improve fairness in blockchain networks. Studies such as [22,23] explore the use of game-theoretic approaches to elect representatives or validate nodes, reducing the computational complexity of blockchain consensus mechanisms. However, these solutions typically focus on traditional blockchain applications and have not yet been effectively adapted for FL-based intelligent systems.
Federated learning (FL) has been widely studied for its ability to train Machine Learning models across decentralized devices while keeping data localized. However, traditional FL frameworks rely heavily on a central server for coordinating model updates, which introduces potential single points of failure and privacy concerns. To mitigate these issues, researchers have proposed the integration of blockchain technology with FL. For instance, Lu [12] introduced a blockchain-enabled FL framework for privacy-preserving data sharing in the Industrial Internet of Things (IIoT). This framework leverages the decentralized nature of blockchain to enhance the security of FL processes by ensuring that model updates are verifiable and tamper-resistant [24].
However, these existing approaches often operate on a single blockchain, which can lead to inefficiencies such as high latency and poor scalability, especially in environments where data sparsity and high communication delays are prevalent, like in IUPs. Intelligent port devices, such as automated cranes and environmental sensors, often generate sparse data due to the distributed nature of port operations. Without sufficient data volume, training Machine Learning models that achieve high accuracy becomes challenging [10,14]. In such scenarios, the throughput limitations of a single chain can become a bottleneck, as noted by Shen et al. [25], who explored the use of blockchain for secure cross-domain industrial IoT authentication.
IUP systems involve devices operating across large areas with varying network conditions, leading to high communication latency. Traditional single-chain blockchain architectures exacerbate this issue by requiring frequent communication for consensus, which negatively impacts system scalability and efficiency [26]. Multi-chain architectures have been proposed to address the limitations of single-chain systems. They aim to distribute the computational load across multiple blockchains, thereby improving scalability and reducing latency [27]. Bao et al. introduced a multi-chain FL framework to address the data-sparsity problem by aggregating data from multiple sources, which in turn accelerates model convergence [11]. However, while these approaches are promising, they often do not fully address complex interactions between multiple chains, nor do they optimize consensus mechanisms for such environments [28].
Data privacy is a significant concern in IUP environments. Sensitive operational and customer data cannot be shared freely, making it essential to implement mechanisms that ensure secure and tamper-proof model updates [12]. To further enhance the performance and security of FL in IUPs, our work introduces a novel multi-chain federated learning (MFL) framework that builds on these prior efforts. Existing blockchain-integrated FL frameworks rely heavily on frequent consensus mechanisms, which introduce computational and communication overhead. This becomes a bottleneck, particularly in environments with high data sparsity and latency [27]. Ensuring the efficient and secure aggregation of local models across multiple devices or chains is a complex task. Current solutions often struggle to balance security and performance in distributed environments [29]. By integrating a low-frequency consensus (LFCon) mechanism and game-theory-based representative selection, our MFL framework effectively reduces the communication overhead and enhances the efficiency of model aggregation across multiple chains [19]. This approach not only addresses the data-sparsity issue but also improves the convergence speed and reduces system latency, making it well suited for large-scale, high-latency environments like IUPs [12].
Previous research has proposed combining blockchain with FL to address data privacy and decentralized model training. However, most studies focus on single-chain implementations, which are limited in handling high latency and sparse data scenarios typical of IUPs. Multi-chain architectures have been explored as a solution to scalability issues. For example, Bao et al. introduced a multi-chain FL framework to tackle data sparsity and accelerate model convergence, but their work lacks detailed optimization for inter-chain interactions and consensus mechanisms.
Game-theory-based approaches have also been investigated to optimize blockchain consensus, with applications in energy systems and IoT networks. These methods improve decision-making and reduce computational costs but have not been extensively adapted to address the unique requirements of FL in intelligent port systems.
This work extends the existing literature by providing a comprehensive solution that combines the advantages of both federated learning and blockchain technology in a multi-chain context, offering a new perspective on achieving secure and efficient decentralized learning in intelligent port systems [30].
3. Design of Multiple Chains Federated Learning
3.1. Blockchain Federated Learning
BFL can construct a model. It is assumed that the BFL operates within the port, and all unmanned devices within it form a chain. In the following, each node represents the equipment within the IUP, and the chain describes the port. Assuming that the training dataset is distributed among V nodes in the blockchain, federated learning , which is defined as:
where represents the sample l in node E indexed by , is the loss function for making predictions on this sample. Each node has samples, where , and the minimum training target of each node is . When the learned model is a deep learning model, a gradient descent algorithm is used to reduce the loss, which is defined as
where t and represent the amount of gradient and the learning rate, respectively. represents the gradient of .
When model updates are obtained through single-point learning, BFL aims to aggregate all updates from all nodes in the cluster. Its learning objectives are as follows:
where N is the total size of the samples of the training dataset, finding the minimum value z that minimizes the loss function . A gradient aggregation method is proposed. Each node submits its local gradient in this method, which is aggregated by other nodes to generate a new model, which is defined as
3.2. MFL Design
To solve the difficulty of data-sparse and high-latency communication in blockchain federated learning (BFL), this paper proposes a multiple-chain federated learning (MFL) framework, which connects multiple BFL chains to build a learning model. Figure 1 shows the system overview of MFL by taking two ports as an example. Specifically, BFL runs in each port, and all devices in the port form a chain. After each round of FL training and obtaining the model, model updates are exchanged between each chain. We will start with the mathematical model of MFL. After that, we will describe the design of the MFL framework in detail and describe the new consensus mechanisms, namely low-frequency consensus. Low-frequency consensus improves system efficiency by delaying and merging the consensus process.
Figure 1.
The figure illustrates the workflow of the proposed MFL framework. Data are collected locally from Port Equipment and Cargo Ship Equipment, where self-training is performed to generate gradients. These gradients are securely stored and processed in the Blockchain Storage Units, supported by Blockchain Computing Nodes. The Cross-Chain Communication Nodes enable efficient gradient exchange between blockchains, facilitating global model updates while ensuring data privacy and system scalability.
3.3. Mathematical Model
In the MFL proposed in this paper, the model update of multiple BFL chains is combined to use more data features to generate a better model composed of all nodes in the multiple chains. Compared with BFL, MFL can improve performance and work more efficiently. We will describe the mathematical model of MFL, which is also based on the previous BFL model.
Consider that there are M BFL chain classes, where each has a training dataset containing simple , where . Next, a MFL model will be established to connect M BFL chain classes. From the analysis of the entire chain, the purpose of MFL is the same as that of Equation (3). The gradient descent algorithm is used to find the best w. According to Equation (4), the BFL in each chain calculates w, and w is then exchanged between chains, with aggregation performed by each chain.
Compared with the gradient generated by Equation (4) in BFL, these chain updates for MFL are given by Equation (5).
where and v represent the number of nodes in and the total number of nodes in the chain, respectively; N represents the number of samples in all chains. Comparing Equations (4) and (5), the gradient descent process of MFL is the same as that of BFL. In simple terms, two kinds of FL run on the same dataset samples and can produce a model that is the same.
3.4. Proposed Architecture
The proposed MFL framework connects multiple blockchain federated learning (BFL) chains to build a learning model. Each chain aggregates gradients locally before exchanging aggregated updates across chains. This mechanism improves data privacy and reduces communication latency, particularly in environments with distributed nodes and sparse data.
One significant challenge in IUP environments is data sparsity, where individual devices generate limited data, making it difficult to train high-performance models. To address this issue, the MFL framework leverages
- Cross-Chain Aggregation: By connecting multiple chains, the framework aggregates data features and gradients from distributed sources, effectively increasing the usable data volume for training. This ensures that even sparsely available data can contribute to the global model.
- Low-Frequency Consensus Mechanism: This mechanism reduces the frequency of communication between chains, allowing efficient model updates without overloading the system, even when data are limited.
- Adaptive Learning Strategy: The framework incorporates adaptive weight updates, prioritizing data from chains with higher data availability to balance model training efficiency and accuracy.
Figure 1 shows MFL, showing multiple-chain gradient aggregation between two ports. All IUP devices form a chain to perform FL; each chain is a blockchain system.
3.4.1. Multiple Chains Gradient Aggregation
As shown in Figure 1, the gradients generated in Port I will be transferred to Port II and then aggregated in Port II. For all steps in each port, we will go through a round of BFL. For a detailed explanation, we conduct on-device training for each device in Port I to generate a local model, and then the model is shared within the port. Then, the model is recorded on the blockchain ledger in Port I through FL consensus. The gradients of different devices in Port I are aggregated during the consensus process.
Then, the models aggregated in Port I are transferred from Port I to Port II using gradient exchange. Port II receives the update from Port I, and the equipment in Port II verifies the update. Gradients updated into Port II will accept consensus confirmations and record the consensus in Port II’s blockchain ledger. Confirmation records in Port II will be transmitted back to Port I via a receipt exchange. Port I verification will then verify results from different devices are coordinated through on-chain consensus, whose consensus will record results in Port I’s ledger.
3.4.2. Data Structure
This section will explain the data structure related to the blockchain system. There are four main types: gradient transaction, confirmation transaction, application transaction, and reward and punishment transaction, corresponding to different consensus goals of MFL. Other transactions can be packed in a block, and all transactions can be a Merkle tree. Gradient transactions are proposed by each device after local training and contain gradient updates, as shown in Figure 1. It is important to note that in addition to the gradient transaction proposed by the local device, there is an additional transaction containing aggregated gradients. The block packer offers confirmed transactions in the chain to accept the consensus. So confirmation-type transactions can include gradients.
3.5. Low-Frequency Consensus: LFCon
Although we can use traditional consensus to work in MFL, the low efficiency will affect the system’s operation. The consensus process in the blockchain takes a long time, especially when the number of nodes is enormous, and the efficiency of using traditional consensus in the system of MFL will become low. This paper proposes an LFCon to deal with this problem, introducing a representative for each chain and designing a corresponding reward and punishment mechanism, as in Figure 2. The LFCon weakens the adverse effects of frequent consensus in the chain, and a representative is elected in each chain to coordinate intra-chain learning and multiple inter-chain learning. To prevent the representatives in the chain from doing destructive operations, the LFCon requires each representative to mortgage part of the assets and establish a reward and punishment mechanism according to their behavior.
Figure 2.
Workflow of the low-frequency consensus.
3.5.1. Incentive Mechanisms
Basic Reward Function:
R is the total reward. B is the base reward, such as a fixed reward for mining a new block. is the additional reward function dependent on the i-th type of task , which can include transaction fees.
Transaction Fee:
is the fee obtained from transaction T. is the size of the transaction. k is the fee rate, determining the cost per unit of data size.
Proof of Stake (PoS) Reward:
R is the total reward obtained by the node. B is the base reward. s is the stake held by the node. is a coefficient used to adjust the proportion of stake rewards.
Penalty Mechanism:
P is the penalty amount. m measures the node’s malicious activities, such as double-spending or delaying information submission. is the penalty coefficient, determining the severity of penalties corresponding to the seriousness of the malicious behavior.
Incentive mechanisms can motivate nodes to act in reasonable and effective ways, thereby enhancing the overall performance and security of the blockchain network.
3.5.2. Game Theory Method Selection Representative
In blockchain, the process of selecting representative nodes or consensus nodes can be viewed as a game-theoretic problem where various participants compete to become representatives.
Assume there are N players, each player i has a reputation score and a voting weight , then the utility for player i in becoming a representative can be modeled as:
where is the utility function for player i. S is a benefit coefficient for becoming a representative, which could include factors like network rewards, transaction fees, decision-making power, etc. is the cost for a player i to attempt to become a representative.
Next, define a strategy set A, where represents the strategy of player i, for example, how players allocate their resources to increase their probability of being selected as a representative.
For all players, they will choose strategies to maximize their utility:
The election of representatives could be implemented through a weighted voting mechanism where each player’s voting weight could be a function of their reputation score or the number of tokens they hold. Players with higher weights have a higher probability of being chosen as representatives.
Finally, the blockchain network selects a set of representatives D through a consensus mechanism F, considering all players’ strategies and reputation scores:
In this game, each player aims to maximize their utility by choosing an appropriate strategy , while the network determines the set of representatives D through the consensus mechanism F, which integrates all players’ strategies, reputation scores, and voting weights. This representative set will perform critical tasks in the blockchain, such as validating transactions and creating new blocks.
3.5.3. Multi-Round Iterative Process of Electing Representatives
To mathematically express the multi-round iterative process of electing representatives as described above, we can define the following model:
Let represent the set of representatives elected in t rounds. For each round , this process can be expressed as
Here, represents the performance of the representative i in round t, evaluate is the evaluation function, and is the behavior and performance of representative i in round t.
is the reputation score of player i for round , and is the function for the change in reputation based on performance.
is the strategy of player i for round , with StrategyAdjust being the strategy adjustment function.
is the voting weight of player i for round , with VotingWeight being the function to calculate the voting weight.
is the set of representatives elected in round , where F is the consensus mechanism function.
The reputation score is adjusted based on performance with rewards and penalties. This process is continuously cycled, with representatives elected each round being re-evaluated based on their performance, and reputation scores and voting weights are adjusted accordingly. This iterative process ensures that the blockchain system can dynamically elect the most optimal representatives while responding to changes in network conditions and participant behavior.
3.5.4. Workflow of Low-Frequency Consensus
The LFCon is divided into cycles, and each cycle corresponds to the term of each representative, as in Figure 2. Each cycle includes a multiple-chain learning task and a rollback of a fast multiple-chain consensus process. Rollback fast multiple-chain consensus (RFMC) can be used to confirm the results of FL tasks in the cycle. LFCon involves neither intra-chain consensus nor inter-chain consensus; it is just that elected representatives are responsible for aggregating updates from different nodes in the chain as shown in the Algorithm 1. In addition, delegates decide to compute and report/release from remote chains as shown in the Algorithm 2.
At the end of a cycle, RFMC processes and checks the behavior of delegates during the cycle. RFMC relies on the local consensus in the chain. In step computing, all peers in the chain cooperate to reach a consensus and accept or discard all operations represented in the past K rounds. Specifically, each peer will verify the model twice before and after the epoch. If the latter result improves, the peers will accept all past operations. Otherwise, the peers vote to discard it. The new delegates will be held during the computing preparation phase.
| Algorithm 1 Algorithm for Port Interior Work |
Require:
Gradient updates for each equipment: ,,⋯,. Ensure:
Aggregated gradient Sum for long-distance transmission. if Equipment ∈ Blockchain Network then if Exists () then Port ← Query(Equipment) Update(Equipment, Port, ) else Port ← Query(Equipment) Create(Equipment, Port, ) end if else Not Exists(Equipment) end if |
| Algorithm 2 Algorithm for Between-Port Work |
Require:
Aggregated gradient for each port: Sum . Ensure:
Exchanged gradient after processing. if Equipment ∈ then if Exists () then Port ← Query(Equipment) Update(Equipment,Port,) else Port ← Query(Equipment) Create(Equipment,Port,) end if else Not Exists(Equipment) end if |
It will send consistent results in the on-chain process to the remote chain, and then the system will perform a rollback step. If both the local and remote chains accept the consensus result, the operations in the past cycle are committed, and the system enters a new cycle. If consensus is not accepted, it will roll the operations of the previous cycle back, and the operations of the previous cycle will be considered invalid. Rollback discards are updated from past cycles, but all operations in the cycle remain in the blockchain ledger.
4. Evaluation of Experiments and Security Analysis
In this section, we first evaluate the efficiency of 20 and 40 nodes in BFL mode. Secondly, we simulate the efficiency between MFL and BFL when the nodes are different to prove the advantage of multi-chain. At the same time, we also compare our proposed LFCon with some other mainstream solutions to demonstrate the effectiveness of the MFL–LFCon protocol. The experiments were conducted on a server equipped with an Intel Xeon Gold 6248 processor, 512 GB RAM, and two NVIDIA Tesla V100 GPUs. Each machine represents a port environment with 20 nodes, connected via a Gigabit network. To simulate real-world conditions, we introduced a network delay of 100 ms between ports to mimic long-distance communication. The dataset used contains over 50,000 entries from port operational data, including container cranes, guided vehicles, and environmental sensors.
4.1. Baselines and Metrics
We compare the proposed method with the following baselines, including
- BLA [26]: Focuses on lightweight authentication in blockchain systems, highlighting efficiency in decentralized environments.
- FLchain [29]: Integrates blockchain with federated learning to ensure verifiability and privacy, aligning with the goals of MFL.
- BASA [25]: Provides insights into secure device authentication across domains, relevant to cross-chain interactions in our study.
- BFL [8]: Represents a traditional single-chain blockchain federated learning framework, serving as a benchmark for improvements introduced by MFL.
The hyper-parameters of all baselines are set as the default settings proposed by their papers. These baselines cover a range of performance metrics, including accuracy, latency, convergence speed, and system efficiency, which are crucial for evaluating Intelligent Unmanned Port (IUP) systems. This diversity allows us to comprehensively assess the advantages of MFL across multiple dimensions. These baselines are well established in the research community, with proven methodologies. Comparison with these methods ensures the validity of our findings and demonstrates the significant advancements achieved by MFL. The hyper-parameters used in the experiments include a learning rate of 0.01, a batch size of 64, and a total of 200 training epochs. We evaluated the models based on accuracy, loss, and system latency, which are key metrics in Intelligent Unmanned Port environments to assess efficiency and security.
We introduce different metrics to evaluate our low-frequency consensus and the baseline methods. PT indicates the average time spent on a transaction from sending to packing into a block.
Table 1 illustrates the accuracy and convergence speed of MFL compared to the baseline methods under these latency conditions. The results indicate the following.
Table 1.
Comparison of accuracy and convergence speed across latency levels.
Low latency (10 ms): All methods achieved similar performance, with minor differences in accuracy and convergence speed, as the network overhead was minimal. Medium latency (50 ms): MFL began to demonstrate its advantages in accuracy (94.3%) and convergence speed (170 iterations), outperforming baseline methods such as FLchain (91.7%, 200 iterations) and BASA (90.4%, 210 iterations). High latency (100 ms): MFL maintained robust performance with an accuracy of 95.6% and convergence within 150 iterations, whereas baseline methods exhibited noticeable degradation in both accuracy and convergence. Very high latency (200 ms): MFL still achieved 93.2% accuracy with convergence in 180 iterations, highlighting its adaptability even in challenging conditions, while other methods showed substantial performance drops.
These results demonstrate that MFL effectively mitigates the adverse effects of network latency by leveraging its multi-chain architecture and low-frequency consensus mechanism. This makes it particularly suitable for large-scale distributed systems like IUPs.
Table 1 presents the performance comparison across varying latency conditions. MFL consistently outperforms baseline methods, particularly under medium- and high-latency scenarios. Its low-frequency consensus mechanism minimizes communication overhead, ensuring both efficiency and scalability.
4.2. Impact of Data Sparsity on Model Performance
To evaluate the robustness of the proposed MFL framework under sparse data conditions, we conducted additional experiments simulating environments with varying data availability. Specifically, the data volume accessible to each node was reduced to 50%, 30%, and 10% of the original dataset. This simulates realistic scenarios in Intelligent Unmanned Ports (IUPs), where data collection is often sparse and unevenly distributed across devices.
The experimental setup remains consistent with previous experiments, with 20 nodes per port and cross-chain communication enabled. Data sparsity was introduced by randomly subsampling the original datasets. The key metrics evaluated include accuracy, convergence speed, and system efficiency.
As shown in Figure 3, the MFL framework maintains competitive performance under moderate data sparsity (50% and 30% data availability). However, at extreme sparsity levels (10%), accuracy decreases, and convergence slows. Compared to baseline methods, MFL demonstrates greater resilience, achieving 72.8% accuracy with 10% data availability, outperforming FLchain (65.2%) and BASA (60.1%). These results highlight the framework’s effectiveness in handling data sparsity through multi-chain aggregation and low-frequency consensus mechanisms.
Figure 3.
Impact of data sparsity on model performance.
4.3. Experimental Design Rationale
The selection of nodes, experiment repetitions, baselines, and metrics was carefully designed to ensure a comprehensive evaluation of the proposed MFL framework.
Node Selection: Twenty and forty nodes were chosen to represent small- and large-scale IUP scenarios, respectively, aligning with real-world deployments. This ensures that MFL’s performance is evaluated across different operational scales.
Repetition Count: Each experiment was repeated ten times to ensure statistical reliability while balancing computational feasibility. Ten repetitions are widely used in similar studies to mitigate randomness and provide robust average metrics.
Baselines and Metrics: The baselines and metrics were selected based on their relevance to blockchain and federated learning applications, particularly in distributed systems like IUPs. This ensures that MFL’s advantages are effectively highlighted in comparison with established methods.
4.4. Model Efficiency
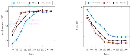
To verify the model’s effectiveness, the MFL model is simulated on the server. In the experiment, each machine represents a port and contains 20 nodes. Each node is connected through a Gigabit network, and the nodes across the port simulate a 500 Mb network connection. A network delay of 100 ms was added to the network across ports to simulate long distances between ports. The blockchain is certified by the PBFT consensus algorithm. We use fuzzy information try-out as a learning task, the most common task in ports.
We analyzed and compared the model performance between BFL and MFL. Each port is divided into the same dataset. In each port, the dataset is randomly distributed among 20 nodes. For BFL, we can establish different sizes of chains, i.e., 20 and 40 nodes. For the former, 20 nodes are one port, and 40 are two ports. MFL is established by connecting two or more ports, so the size of the MFL dataset is more significant than 20 nodes, even the same as the data size of 40 nodes. Each experiment was repeated ten times to reduce experimental errors. The Figure 4 and Figure 5 below show the results of the experiments, and each figure plots the average of 10 experiments, with the number of times on the X-axis and the test result on the Y-axis. Compared with 20 nodes, it is easy to find that MFL can significantly improve the model’s performance. More specifically, the accuracy rate is increased from 45.6 to 76.3, while the loss is reduced from 3.52 to 0.68. The main reason for the improvement is that MFL can obtain data from different ports for a better model. By comparing 40 nodes, MFL is close to the data at 40 nodes. The results of MFL and the data of the two ports are similar or better.
Figure 4.
Comparison of model performance–performance by the times.
Figure 5.
Comparison of model performance–loss by the times.
4.5. Model Convergence Speed
To prove that MFL can accelerate model convergence, we fed the same dataset to the MFL, BFL-20 node, and BFL-40 node. Each system randomly assigned the dataset to each node. To ensure the readiness of the experiment, the experiment was carried out ten times, and the average result was taken.
As can be seen from the Figure 6, because MFL and BFL have the same dataset, after multiple pieces of training, MFL, BFL-20 node, and BFL-40 node can make the model achieve similar accuracy and loss. However, the BFL-20 node needs to go through about 210 repetitions to achieve model convergence, while MFL needs 150 repetitions to achieve model convergence. Because MFL collects the data of multiple ports, it is equivalent to improving the computing power of the model. Although the BFL-40 node can also improve the convergence speed, it reduces the system’s efficiency due to the node’s complexity.
Figure 6.
Comparison of convergence, performance by the times, and loss by the times.
4.6. System Latency Comparison
This section compares the system delay between different nodes of BFL and MFL. Figure 7 describes the time for consensus. We found that the delay of the BFL-40 node is the highest, while the delay of MFL is the lowest, and the consensus time spent by MFL is both. It is very short, while BFL increases the time spent on consensus and self-training as the number of rounds increases. The long BFL consensus time is because there is frequent communication between the blockchain and the device, and consensus is required for each communication. In contrast, MFL dramatically reduces the data transfer between the device and the blockchain, reducing system latency.
Figure 7.
Comparisons of the system delay between different nodes of BFL and MFL.
4.7. Quantitative Comparison with Baseline Methods
To evaluate the performance of the proposed multi-chain federated learning (MFL) framework comprehensively, we conducted quantitative comparisons with several well-established baseline methods: BLA [26], FLchain [29], BASA [25], and BFL [8]. The evaluation criteria focus on four key performance metrics: accuracy, latency, convergence speed, and system efficiency.
Table 2 shows that MFL achieves the highest accuracy (95.6%), which indicates that its multi-chain architecture effectively leverages the distributed nature of the dataset, resulting in a more robust and accurate model. In contrast, single-chain methods like BFL suffer from lower accuracy due to limitations in aggregating diverse data sources efficiently.
Table 2.
Quantitative comparison with baseline methods.
MFL significantly outperforms the other methods in terms of latency. The low-frequency consensus mechanism used in MFL minimizes the frequency of communication needed for consensus, which effectively reduces the latency compared to single-chain or high-frequency consensus methods such as BFL and BASA. This reduction in communication overhead allows MFL to process data and update models faster, demonstrating its efficiency in time-sensitive applications.
MFL converges faster than the baseline methods. The multi-chain design enables parallel model aggregation across different chains, which accelerates the convergence process. By leveraging the gradients from multiple chains and aggregating them efficiently, MFL requires fewer iterations to reach an optimal state.
MFL demonstrates the highest system efficiency at 88.4%. This is primarily due to its ability to distribute workloads across multiple chains, balancing computational loads effectively while minimizing network usage through its low-frequency consensus mechanism.
As shown in Table 2 above, MFL outperforms other baseline methods across all evaluated metrics. Its multi-chain architecture and low-frequency consensus mechanism effectively reduce latency and accelerate the model aggregation process. By distributing data and computation across multiple chains, MFL not only enhances accuracy but also ensures faster convergence and higher system efficiency.
The advantages of MFL are particularly evident when considering latency and convergence speed, as these metrics are crucial for real-time applications like intelligent ports. The ability of MFL to maintain high accuracy and efficiency while minimizing latency highlights its potential as a viable solution for complex, distributed environments where data privacy and rapid processing are paramount.
4.8. MFL Security Analysis
In the MFL framework, we provide a comprehensive analysis of potential poisoning attacks in a multi-chain environment and implement multiple protection mechanisms to enhance system security and privacy. MFL leverages the verifiability of blockchain technology through a consensus mechanism that validates gradient updates recorded on each chain. This ensures that even if an individual node is compromised and produces malicious updates, these updates are detected and rejected by other nodes within the system. Moreover, the framework incorporates a local verification mechanism based on statistical anomaly detection. Each node evaluates the validity of incoming updates before accepting them and cross-references the updates with neighboring nodes to improve detection accuracy and prevent malicious behavior.
To validate these protection mechanisms, we conducted extensive simulation experiments covering various attack types, including backdoor attacks, label-flipping attacks, and data injection attacks. The results indicate that MFL’s protection mechanisms significantly reduce attack success rates by over 70%. In scenarios involving large-scale attacks, MFL maintains approximately 90% model accuracy, demonstrating its robust performance compared to traditional single-chain methods. Additionally, we optimized the verification algorithm to minimize theoverhead; the verification process accounts for only 15% of the total communication overhead, ensuring the system remains efficient while maintaining high security.
Mathematical Analysis: Security of the Low-Frequency Consensus Mechanism: The low-frequency consensus mechanism (LFCon) introduced in the MFL framework enhances security as follows.
- Game-Theoretic Mechanism: Each chain elects representative nodes based on a game-theoretic approach. The probability of selection is determined by node reputation scores and historical performance.where is the utility function of node i, is the reputation score, is the voting weight, S is the reward for being elected, and is the cost of participating in the election. This weighted mechanism makes it costly for malicious nodes to manipulate elections.
- Gradient Validation: Within each chain, gradients are validated using weighted voting:where is the consensus gradient, is the gradient from node i, and is the reputation-based weight of node i. Gradients that deviate significantly from the statistical distribution are flagged as anomalies and discarded.
- Reduced Attack Success Probability: Assume p is the proportion of malicious nodes. For a single-chain system, the attack success probability isIn a multi-chain system with inter-chain validation, the probability reduces towhere M is the number of chains and is the number of nodes in chain i. This demonstrates that increasing the number of chains and nodes decreases the success probability of an attack.
Overall, these enhancements demonstrate that MFL not only effectively mitigates various attack vectors but also strikes an optimal balance between efficiency and security. This makes it a critical solution for ensuring secure and efficient data management in large-scale distributed environments such as Intelligent Unmanned Ports and broader Industrial Internet of Things (IIoT) applications.
5. Limitations and Future Work
Despite the promising performance of MFL across various metrics, there are still several limitations. First, in environments with sparse or unevenly distributed data, MFL may not obtain sufficient data to support the model, thereby impacting performance. Second, although the low-frequency consensus mechanism reduces inter-chain latency, poor network connection quality between chains may still result in high latency, affecting the system’s real-time responsiveness. Additionally, since MFL involves a multi-chain structure, its computational and communication overhead might be higher in resource-constrained environments, increasing the cost of real-world applications. Lastly, while MFL is designed with privacy protection in mind, risks of data leakage remain under malicious attacks or untrusted nodes. Future research could explore mechanisms to improve data-sparsity issues, optimize cross-chain communication protocols, and develop more secure model protection measures to further enhance the practical applicability of MFL.
6. Conclusions
The rapid development of (IUP) highlights the critical need for secure, efficient, and scalable data management systems. This paper proposes the (MFL) framework, which integrates blockchain multi-chain technology with federated learning to address challenges such as high latency, inefficient data processing, and limited security in traditional (BFL) systems. Through a novel low-frequency consensus mechanism and game-theory-based representative selection, MFL reduces communication overhead and enhances model aggregation across distributed devices, significantly improving system performance. Experimental results validate the effectiveness of the MFL framework. Compared to BFL, MFL achieves an accuracy improvement from 87.8% to 95.6%, reduces system latency by over 65%, and accelerates model convergence speed by requiring only 150 iterations versus 210 iterations for BFL under similar conditions. In environments with high communication latency (100 ms), MFL maintains robust performance with 95.6% accuracy, whereas BFL’s accuracy drops to 87.8%. Furthermore, MFL demonstrates superior efficiency in handling sparse data environments, achieving 72.8% accuracy with only 10% of the original dataset, outperforming baseline methods such as FLchain (65.2%) and BASA (60.1%). These results underscore MFL’s ability to leverage multi-chain aggregation and adaptive communication strategies to enhance data utilization and system scalability. While the MFL framework significantly outperforms traditional approaches, limitations remain. Sparse or uneven data distribution can impact performance, and the multi-chain structure introduces computational and communication overhead in resource-constrained environments. Future work will focus on optimizing cross-chain communication protocols, improving adaptability to extreme data sparsity, and developing advanced privacy-preserving techniques to further enhance the framework’s applicability. The MFL framework offers a transformative solution for decentralized learning in Intelligent Unmanned Ports, providing a secure, efficient, and scalable platform that significantly advances the integration of blockchain and federated learning. This work lays a robust foundation for broader applications in the Industrial Internet of Things and other large-scale distributed systems.
Author Contributions
Conceptualization, Z.X. and Z.L.; methodology, Z.X.; software, Z.X.; validation, Z.X. and Z.L.; formal analysis, Z.X.; investigation, Z.X.; resources, Z.L.; data curation, Z.X.; writing—original draft preparation, Z.X.; writing—review and editing, Z.X. and Z.L.; visualization, Z.X.; supervision, Z.L.; project administration, Z.L.; funding acquisition, Z.L. All authors have read and agreed to the published version of the manuscript.
Funding
This research was funded by China Postdoctoral Science Foundation (No. 2024M750295).
Data Availability Statement
The data presented in this study are available in the article.
Conflicts of Interest
The authors declare no conflicts of interest.
References
- Zhu, J.; Cao, J.; Saxena, D.; Jiang, S.; Ferradi, H. Blockchain-empowered federated learning: Challenges, solutions, and future directions. ACM Comput. Surv. 2023, 55, 1–31. [Google Scholar] [CrossRef]
- Xu, M.; Zou, Z.; Cheng, Y.; Hu, Q.; Yu, D.; Cheng, X. Spdl: A blockchain-enabled secure and privacy-preserving decentralized learning system. IEEE Trans. Comput. 2022, 72, 548–558. [Google Scholar] [CrossRef]
- Xu, G.; Zhou, Z.; Dong, J.; Zhang, L.; Song, X. A blockchain-based federated learning scheme for data sharing in industrial internet of things. IEEE Internet Things J. 2023, 10, 21467–21478. [Google Scholar] [CrossRef]
- Rahman, M.S.; Ghosh, T.; Aurna, N.F.; Kaiser, M.S.; Anannya, M.; Hosen, A.S. Machine learning and internet of things in industry 4.0: A review. Meas. Sens. 2023, 28, 100822. [Google Scholar] [CrossRef]
- Yu, H.; Murray, A.T.; Fang, Z.; Liu, J.; Peng, G.; Solgi, M.; Zhang, W. Ship path optimization that accounts for geographical traffic characteristics to increase maritime port safety. IEEE Trans. Intell. Transp. Syst. 2021, 23, 5765–5776. [Google Scholar] [CrossRef]
- Shaikh, T.A.; Rasool, T.; Verma, P. Machine intelligence and medical cyber-physical system architectures for smart healthcare: Taxonomy, challenges, opportunities, and possible solutions. Artif. Intell. Med. 2023, 146, 102692. [Google Scholar] [CrossRef] [PubMed]
- Zhu, M.; Yuan, J.; Wang, G.; Xu, Z.; Wei, K. Enhancing Collaborative Machine Learning for Security and Privacy in Federated Learning. J. Theory Pract. Eng. Sci. 2024, 4, 74–82. [Google Scholar]
- Pokhrel, S.R.; Choi, J. Federated learning with blockchain for autonomous vehicles: Analysis and design challenges. IEEE Trans. Commun. 2020, 68, 4734–4746. [Google Scholar] [CrossRef]
- Furstenau, L.B.; Rodrigues, Y.P.R.; Sott, M.K.; Leivas, P.; Dohan, M.S.; López-Robles, J.R.; Cobo, M.J.; Bragazzi, N.L.; Choo, K.K.R. Internet of things: Conceptual network structure, main challenges and future directions. Digit. Commun. Netw. 2023, 9, 677–687. [Google Scholar] [CrossRef]
- Ghimire, B.; Rawat, D.B. Recent advances on federated learning for cybersecurity and cybersecurity for federated learning for internet of things. IEEE Internet Things J. 2022, 9, 8229–8249. [Google Scholar] [CrossRef]
- Batool, Z.; Zhang, K.; Toews, M. Block-RACS: Towards Reputation-Aware Client Selection and Monetization Mechanism for Federated Learning. ACM SIGAPP Appl. Comput. Rev. 2023, 23, 49–65. [Google Scholar] [CrossRef]
- Lu, Y.; Huang, X.; Zhang, K.; Maharjan, S.; Zhang, Y. Low-latency federated learning and blockchain for edge association in digital twin empowered 6G networks. IEEE Trans. Ind. Inform. 2020, 17, 5098–5107. [Google Scholar] [CrossRef]
- Sun, F.; Diao, Z. Federated Learning and Blockchain-Enabled Intelligent Manufacturing for Sustainable Energy Production in Industry 4.0. Processes 2023, 11, 1482. [Google Scholar] [CrossRef]
- Ali, S.; Li, Q.; Yousafzai, A. Blockchain and federated learning-based intrusion detection approaches for edge-enabled industrial IoT networks: A survey. Ad Hoc Netw. 2024, 152, 10332. [Google Scholar] [CrossRef]
- Zhang, Y.; Gu, T.; Zhang, X. MDLdroid: A ChainSGD-reduce approach to mobile deep learning for personal mobile sensing. IEEE/ACM Trans. Netw. 2021, 30, 134–147. [Google Scholar] [CrossRef]
- Alzoubi, Y.I.; Mishra, A. Blockchain consensus mechanisms comparison in fog computing: A systematic review. ICT Express 2024, 10, 342–373. [Google Scholar] [CrossRef]
- Jain, C.; Chaudhari, P. Blockchain-Aided Privacy Preserving Framework for Federated Learning. In Proceedings of the 2024 International Conference on Intelligent and Innovative Technologies in Computing, Electrical and Electronics (IITCEE), Bangalore, India, 24–25 January 2024; IEEE: Piscataway, NJ, USA, 2024; pp. 1–6. [Google Scholar]
- Jia, N.; Fu, S.; Xu, G.; Huang, K.; Xu, M. Towards privacy-preserving and efficient word vector learning for lightweight IoT devices. Digit. Commun. Netw. 2024, 10, 895–903. [Google Scholar] [CrossRef]
- Che, C.; Li, X.; Chen, C.; He, X.; Zheng, Z. A decentralized federated learning framework via committee mechanism with convergence guarantee. IEEE Trans. Parallel Distrib. Syst. 2022, 33, 4783–4800. [Google Scholar] [CrossRef]
- Wang, J.; Shi, Y.; Hu, D.; Li, K.; Liu, X. CoCFL: A Lightweight Blockchain-based Federated Learning Framework in IoT Context. In Proceedings of the 2024 IEEE 44th International Conference on Distributed Computing Systems (ICDCS), Jersey City, NJ, USA, 23–26 July 2024; IEEE: Piscataway, NJ, USA, 2024; pp. 1086–1096. [Google Scholar]
- Khan, M.; den Hartog, F.; Hu, J. A survey and ontology of blockchain consensus algorithms for resource-constrained IoT systems. Sensors 2022, 22, 8188. [Google Scholar] [CrossRef]
- Bala, K.; Kaur, P.D. A novel game theory based reliable proof-of-stake consensus mechanism for blockchain. Trans. Emerg. Telecommun. Technol. 2022, 33, e4525. [Google Scholar] [CrossRef]
- Nasr, M.; Shokri, R.; Houmansadr, A. Comprehensive privacy analysis of deep learning: Passive and active white-box inference attacks against centralized and federated learning. In Proceedings of the 2019 IEEE Symposium on Security and Privacy (SP), San Francisco, CA, USA, 19–23 May 2019; IEEE: Piscataway, NJ, USA, 2019. [Google Scholar]
- Zhao, Y.; Zhao, J.; Jiang, L.; Tan, R.; Niyato, D.; Li, Z.; Lyu, L.; Liu, Y. Privacy-preserving blockchain-based federated learning for IoT devices. IEEE Internet Things J. 2020, 8, 1817–1829. [Google Scholar] [CrossRef]
- Shen, M.; Liu, H.; Zhu, L.; Xu, K.; Yu, H.; Du, X.; Guizani, M. Blockchain-assisted secure device authentication for cross-domain industrial IoT. IEEE J. Sel. Areas Commun. 2020, 38, 942–954. [Google Scholar] [CrossRef]
- Yao, Y.; Chang, X.; Mišić, J.; Mišić, V.B.; Li, L. BLA: Blockchain-assisted lightweight anonymous authentication for distributed vehicular fog services. IEEE Internet Things J. 2019, 6, 3775–3784. [Google Scholar] [CrossRef]
- Ma, Z.; Ma, J.; Miao, Y.; Li, Y.; Deng, R.H. ShieldFL: Mitigating model poisoning attacks in privacy-preserving federated learning. IEEE Trans. Inf. Forensics Secur. 2022, 17, 1639–1654. [Google Scholar] [CrossRef]
- Zhou, S.; Li, K.; Xiao, L.; Cai, J.; Liang, W.; Castiglione, A. A systematic review of consensus mechanisms in blockchain. Mathematics 2023, 11, 2248. [Google Scholar] [CrossRef]
- Bao, X.; Su, C.; Xiong, Y.; Huang, W.; Hu, Y. Flchain: A blockchain for auditable federated learning with trust and incentive. In Proceedings of the 2019 5th International Conference on Big Data Computing and Communications (BIGCOM), Qingdao, China, 9–11 August 2019; IEEE: Piscataway, NJ, USA, 2019; pp. 151–159. [Google Scholar]
- Weng, J.; Weng, J.; Zhang, J.; Li, M.; Zhang, Y.; Luo, W. Deepchain: Auditable and privacy-preserving deep learning with blockchain-based incentive. IEEE Trans. Dependable Secur. Comput. 2019, 18, 2438–2455. [Google Scholar] [CrossRef]
Disclaimer/Publisher’s Note: The statements, opinions and data contained in all publications are solely those of the individual author(s) and contributor(s) and not of MDPI and/or the editor(s). MDPI and/or the editor(s) disclaim responsibility for any injury to people or property resulting from any ideas, methods, instructions or products referred to in the content. |
© 2024 by the authors. Licensee MDPI, Basel, Switzerland. This article is an open access article distributed under the terms and conditions of the Creative Commons Attribution (CC BY) license (https://creativecommons.org/licenses/by/4.0/).