Trajectory Planning for Lane Change with Intelligent Vehicles Using Fuzzy Logic and a Dynamic Programming and Quadratic Programming Algorithm
Abstract
1. Introduction
- A novel fuzzy control logic framework combined with lane utility evaluation is established for efficient lane-change decision-making.
- Decoupling of path and speed planning to optimize trajectory planning through a combination of curve fitting and discrete optimization.
- Enhanced adaptability of trajectory planning in various driving scenarios, improving both safety and efficiency.
- A clear distinction from existing methods by separating path and speed optimization, enabling greater control over the vehicle’s motion.
2. Fuzzy Logic-Based Active Lane Change Behavior Decision-Making
2.1. Expected Safe Following Distance
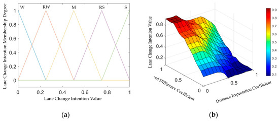
2.2. Fuzzy Logic-Based Lane Change Strategy
- Inputs of fuzzy logic system
- 2.
- Fuzzification
- 3.
- Establish fuzzy rules
- 4.
- Fuzzy reasoning and defuzzification
2.3. Target Lane Selection Based on Lane Utility Value
- is the lane restriction coefficient, which relates to the actual road conditions and traffic regulations for the vehicle’s driving, as follows:
- is the lane change speed income value, associated with the relative speed of the vehicle and the vehicle in front of the adjacent lane, as follows:where is the speed of the vehicle in front of the adjacent lane, m/s; is the current speed of the vehicle, m/s. If there is no vehicle in front of the adjacent lane, is taken as the maximum speed limit of the lane.
- is the safety distance coefficient, related to the distance between the vehicle and the front vehicle in the adjacent lane, as follows:where is the expected safe following distance, m; is the distance between the vehicle and the front vehicle of the adjacent lane, m. If there is no vehicle in front of the adjacent lane, is taken as the maximum sensing distance of the sensor.
- When :
- 2.
- When , the lane change conditions are considered safe, and the lane change process can proceed as follows:
3. Active Lane Change Trajectory Planning
3.1. Active Lane Change Path Planning
3.1.1. Dynamic Path Planning
3.1.2. Quadratic Path Planning
- Designing the Objective Function
- 2.
- Set constraints
- Equality constraints
- Inequality constraints
3.1.3. Comparison of Path Planning Methods
3.2. Active Lane Change Speed Planning
3.2.1. S–T Graph Construction
3.2.2. Speed Planning Based on Dynamic Programming
3.2.3. Speed Optimization Based on Quadratic Programming
- Designing the Objective Function
- 2.
- Set constraints
- The vehicle must remain within the road boundaries, with the ordinate direction of the speed curve evenly divided into points. Let the upper and lower bounds of the road boundary be and , respectively. The upper and lower bounds of each point in the direction should be expressed as follows:
- For the second-order constraints of the optimization variables, the vehicle acceleration is limited based on its performance; for the third-order constraints of the optimization variable, the vehicle acceleration is limited to ensure ride comfort.
- To ensure continuity in the speed curve, constraints are applied to the optimization variables, employing Taylor expansion to maintain continuity of the variables.
- It is essential to ensure that the position, speed, and acceleration of the vehicle at the planned starting point remain unchanged after optimization.
4. Simulation and Analysis
4.1. Simulation Model and Parameters
4.2. Simulation Experiment
4.2.1. Static Obstacle Condition
4.2.2. Single-Sided Obstacle Condition
4.2.3. Both-Sided Obstacle Condition
4.3. Summary of Simulation
5. Discussion
6. Conclusions
Author Contributions
Funding
Data Availability Statement
Acknowledgments
Conflicts of Interest
References
- Zhang, K.; Qu, D.; Song, H.; Wang, T.; Dai, S. Analysis of Lane-Changing Decision-Making Behavior and Molecular Interaction Potential Modeling for Connected and Automated Vehicles. Sustainability 2022, 14, 11049. [Google Scholar] [CrossRef]
- Jian, Z.; Chen, S.; Zhang, S.; Chen, Y.; Zheng, N. Multi-Model-Based Local Path Planning Methodology for Autonomous Driving: An Integrated Framework. IEEE Trans. Intell. Transport. Syst. 2022, 23, 4187–4200. [Google Scholar] [CrossRef]
- Wang, Y.; Wang, C.; Zhao, W.; Xu, C. Decision-Making and Planning Method for Autonomous Vehicles Based on Motivation and Risk Assessment. IEEE Trans. Veh. Technol. 2021, 70, 107–120. [Google Scholar] [CrossRef]
- Bevly, D.; Cao, X.; Gordon, M.; Ozbilgin, G.; Kari, D.; Nelson, B.; Woodruff, J.; Barth, M.; Murray, C.; Kurt, A.; et al. Lane Change and Merge Maneuvers for Connected and Automated Vehicles: A Survey. IEEE Trans. Intell. Veh. 2016, 1, 105–120. [Google Scholar] [CrossRef]
- Ni, J.; Shen, K.; Chen, Y.; Cao, W.; Yang, S.X. An Improved Deep Network-Based Scene Classification Method for Self-Driving Vehicles. IEEE Trans. Instrum. Meas. 2022, 71, 5001614. [Google Scholar] [CrossRef]
- Wang, W.; Qie, T.; Yang, C.; Liu, W.; Xiang, C.; Huang, K. An Intelligent Lane-Changing Behavior Prediction and Decision-Making Strategy for an Autonomous Vehicle. IEEE Trans. Ind. Electron. 2022, 69, 2927–2937. [Google Scholar] [CrossRef]
- Kesting, A.; Treiber, M.; Helbing, D. General Lane-Changing Model MOBIL for Vehicle-Following Models. Transp. Res. Rec. J. Transp. Res. Board 2007, 1999, 86–94. [Google Scholar] [CrossRef]
- Zhang, J.; Yan, M.; Zuo, L. Deep Q-network Based Multi-layer Safety Lane Changing Strategy for Vehicle Platoon. IET Intell. Trans. Sys. 2024, 18, 645–656. [Google Scholar] [CrossRef]
- Liao, J.; Liu, T.; Tang, X.; Mu, X.; Huang, B.; Cao, D. Decision-Making Strategy on Highway for Autonomous Vehicles Using Deep Reinforcement Learning. IEEE Access 2020, 8, 177804–177814. [Google Scholar] [CrossRef]
- Long, X.; Zhang, L.; Liu, S.; Wang, J. Research on Decision-Making Behavior of Discretionary Lane-Changing Based on Cumulative Prospect Theory. J. Adv. Transp. 2020, 2020, 1291342. [Google Scholar] [CrossRef]
- Qu, D.; Dai, S.; Li, A.; Chen, Y.; Wei, C. Characteristic Analysis and Decision Model of Lane-Changing Game for Intelligent Connected Vehicles. Appl. Sci. 2023, 13, 8321. [Google Scholar] [CrossRef]
- Dolgov, D.; Thrun, S.; Montemerlo, M.; Diebel, J. Path Planning for Autonomous Vehicles in Unknown Semi-Structured Environments. Int. J. Robot. Res. 2010, 29, 485–501. [Google Scholar] [CrossRef]
- Wang, Z.; Li, P.; Wang, Z.; Li, Z. APG-RRT: Sampling-Based Path Planning Method for Small Autonomous Vehicle in Closed Scenarios. IEEE Access 2024, 12, 25731–25739. [Google Scholar] [CrossRef]
- Funke, J.; Christian Gerdes, J. Simple Clothoid Lane Change Trajectories for Automated Vehicles Incorporating Friction Constraints. J. Dyn. Syst. Meas. Control. 2016, 138, 021002. [Google Scholar] [CrossRef]
- Geng, G.; Wu, Z.; Jiang, H.; Sun, L.; Duan, C. Study on Path Planning Method for Imitating the Lane-Changing Operation of Excellent Drivers. Appl. Sci. 2018, 8, 814. [Google Scholar] [CrossRef]
- Guo, J.; Huo, X.; Guo, S.; Xu, J. A Path Planning Method for the Spherical Amphibious Robot Based on Improved A-Star Algorithm. In Proceedings of the 2021 IEEE International Conference on Mechatronics and Automation (ICMA), Takamatsu, Japan, 8–11 August 2021; IEEE: Piscataway, NJ, USA, 2021; pp. 1274–1279. [Google Scholar]
- Al Mustafid, G.F.; Kristalina, P.; Astawa, I.G.P. Towards Shortest Path Finding System Using Fuzzy-Dijkstra Method for Emergency Routing Problem. In Proceedings of the 2022 International Electronics Symposium (IES), Surabaya, Indonesia, 9–11 August 2022; IEEE: Piscataway, NJ, USA, 2022; pp. 236–241. [Google Scholar]
- Cai, R.; Li, X. Path Planning Method for Manipulators Based on Improved Twin Delayed Deep Deterministic Policy Gradient and RRT*. Appl. Sci. 2024, 14, 2765. [Google Scholar] [CrossRef]
- Zhang, L.; Shi, X.; Yi, Y.; Tang, L.; Peng, J.; Zou, J. Mobile Robot Path Planning Algorithm Based on RRT_Connect. Electronics 2023, 12, 2456. [Google Scholar] [CrossRef]
- Skačkauskas, P.; Karpenko, M.; Prentkovskis, O. Design and Implementation of a Hybrid Path Planning Approach for Autonomous Lane Change Manoeuvre. Int. J Automot. Technol. 2024, 25, 83–95. [Google Scholar] [CrossRef]
- Chen, T.; Cai, Y.; Chen, L.; Xu, X. Trajectory and Velocity Planning Method of Emergency Rescue Vehicle Based on Segmented Three-Dimensional Quartic Bezier Curve. IEEE Trans. Intell. Transport. Syst. 2023, 24, 3461–3475. [Google Scholar] [CrossRef]
- Liu, L.; Wang, B.; Xu, H. Research on Path-Planning Algorithm Integrating Optimization A-Star Algorithm and Artificial Potential Field Method. Electronics 2022, 11, 3660. [Google Scholar] [CrossRef]
- Wang, D.; Wang, G.; Wang, H. Optimal Lane Change Path Planning Based on the NSGA-II and TOPSIS Algorithms. Appl. Sci. 2023, 13, 1149. [Google Scholar] [CrossRef]
- Gonzalez, D.; Perez, J.; Milanes, V.; Nashashibi, F. A Review of Motion Planning Techniques for Automated Vehicles. IEEE Trans. Intell. Transport. Syst. 2016, 17, 1135–1145. [Google Scholar] [CrossRef]
- Roth, M.; Flohr, F.; Gavrila, D.M. Driver and Pedestrian Awareness-Based Collision Risk Analysis. In Proceedings of the 2016 IEEE Intelligent Vehicles Symposium (IV), Gotenburg, Sweden, 19–22 June 2016; IEEE: Piscataway, NJ, USA, 2016; pp. 454–459. [Google Scholar]
- Wu, X.; Qiao, B.; Su, C. Trajectory Planning with Time-Variant Safety Margin for Autonomous Vehicle Lane Change. Appl. Sci. 2020, 10, 1626. [Google Scholar] [CrossRef]
- Kang, C.; Pan, X.; Yan, X.; Fan, X. Ramp metering and simulation effect evaluation based on traffic fluctuation theory. For. Eng. 2024, 40, 191–200. [Google Scholar]













| S | RS | M | RL | L | ||
|---|---|---|---|---|---|---|
| S | RW | M | RS | S | S | |
| RS | RW | M | RS | S | S | |
| M | W | RW | M | RS | RS | |
| RL | W | W | RW | M | RS | |
| L | W | W | W | RW | M | |
| Road Parameters | Numerical Value |
|---|---|
| road type | straight lane |
| gradient (deg) | 0 |
| length (Lline/m) | 600 |
| lane width (Wline/m) | 3.5 |
| number of lanes | 3 |
| Parameters | Numerical Value |
|---|---|
| Vehicle length (L/m) | 5.210 |
| Vehicle mass (M/kg) | 1820 |
| Vehicle width (W/m) | 2.039 |
| Wheelbase (Lw/m) | 2.947 |
| Distance from center of mass to front axle (La/m) | 1.265 |
| Distance from center of mass to rear axle (Lb/m) | 1.682 |
| Maximum equivalent front wheel angle (δ/deg) | 37.5 |
Disclaimer/Publisher’s Note: The statements, opinions and data contained in all publications are solely those of the individual author(s) and contributor(s) and not of MDPI and/or the editor(s). MDPI and/or the editor(s) disclaim responsibility for any injury to people or property resulting from any ideas, methods, instructions or products referred to in the content. |
© 2024 by the authors. Licensee MDPI, Basel, Switzerland. This article is an open access article distributed under the terms and conditions of the Creative Commons Attribution (CC BY) license (https://creativecommons.org/licenses/by/4.0/).
Share and Cite
Li, J.; Li, S.; Wang, J. Trajectory Planning for Lane Change with Intelligent Vehicles Using Fuzzy Logic and a Dynamic Programming and Quadratic Programming Algorithm. Electronics 2024, 13, 4732. https://doi.org/10.3390/electronics13234732
Li J, Li S, Wang J. Trajectory Planning for Lane Change with Intelligent Vehicles Using Fuzzy Logic and a Dynamic Programming and Quadratic Programming Algorithm. Electronics. 2024; 13(23):4732. https://doi.org/10.3390/electronics13234732
Chicago/Turabian StyleLi, Jiahao, Shengqin Li, and Juncheng Wang. 2024. "Trajectory Planning for Lane Change with Intelligent Vehicles Using Fuzzy Logic and a Dynamic Programming and Quadratic Programming Algorithm" Electronics 13, no. 23: 4732. https://doi.org/10.3390/electronics13234732
APA StyleLi, J., Li, S., & Wang, J. (2024). Trajectory Planning for Lane Change with Intelligent Vehicles Using Fuzzy Logic and a Dynamic Programming and Quadratic Programming Algorithm. Electronics, 13(23), 4732. https://doi.org/10.3390/electronics13234732

