Abstract
This work proposes an adaptive rapid terminal SMC (sliding mode control) approach based on the FFTSO (fast finite-time state observer) for overhead crane trajectory tracking and anti-swing control in the presence of external disturbances and parameter uncertainty. First, the system state observation under the constraint of unknown system parameters is accomplished by designing the FFTSO based on finite-time theory. Next, a parameter-adaptive fast terminal SMC is created for an overhead crane based on the model transformation. This technique can still monitor the intended trajectory and reduce payload swing even in cases when the payload mass and wire rope length are uncertain. Next, the Lyapunov theorem is used to demonstrate the stability of the overhead crane system’s positioning and anti-swing angle control mechanism. Lastly, the platform experiments confirm that the suggested closed-loop system control technique is successful.
1. Introduction
A system that has fewer actuators than the degree of system flexibility is said to be underactuated. It is challenging to govern such a system, as it must regulate more state quantities with fewer control quantities. The study of the control problem is now a hotspot for such systems [1,2,3]. Overhead cranes are a common example of an underactuated device that finds extensive use because of its superior payload-carrying capacity. The primary function of an overhead crane is to move payloads swiftly, steadily, and securely within a certain amount of time. To achieve effective system operation and boost transfer efficiency, the payload swing angle should really be controlled while the overhead crane operates. Nonetheless, the system’s underactuated features cause the states to be linked with one another and show strong nonlinear properties [4]. Numerous control strategies have been proposed by academics [5,6,7]. However, these strategies typically assume that the payload mass, trolley mass, and wire rope length are known, which is difficult to obtain in the actual industrial production process. In addition, there are some systems whose states are difficult to measure while the system is operating.
The displacement subsystem and the slew angle subsystem of the overhead crane are typically designed with a linear switching surface by the traditional sliding mode control method [8,9,10,11,12], which ensures the asymptotic convergence of the slew angle and position error as well as the equilibrium point [13]. One useful method for achieving limited temporal stability is terminal sliding mode control [14]. This control method’s feature is its ability to quickly converge toward the equilibrium point since the fractional power of the specified sliding mode surface is less than 1. Fast terminal with the addition of a higher order term, SMC is a novel form of a sliding mode surface that improves the transient performance of overhead crane systems both close to and far from the equilibrium point [15]. Chattering, however, will result from SMC control signal discontinuities. Due to the high frequency vibration that the switching operation in SMC use entails, it may excite the system’s unmodeled dynamic characteristics, which could lead to frequent oscillations in the trolley’s running speed or possible damage to the motor [16,17].
The length of the wire rope determines the natural frequency of the underactuated overhead crane system, which has a significant impact on the payload’s swing throughout the transfer process [18]. Simultaneously, it is extremely simple to produce safety mishaps if the control is not proper since the current approaches can only produce the control effect of gradual convergence [19]. Furthermore, the majority of the control techniques found in the body of current research demand precise model parameter data [20]. However, it can often be challenging to determine the precise values of the trolley and the payload mass of the overhead crane system [21]. In these real-world scenarios, control techniques must be designed by researchers so that even in the absence of certain system model characteristics, the overhead crane system’s positioning and anti-swing tasks may be completed swiftly and precisely [22,23].
Based on the preceding discussion, this study provides a rapid system state estimate technique based on the FFTSO and a control approach that can accomplish the positioning and anti-swing duties of the overhead crane system quickly and correctly even when part of the system model parameters are unknown. The following are this paper’s primary contributions:
(1) Through the mathematical transformation of the two-dimensional overhead crane dynamic model, an adaptive rapid control approach is suggested. In contrast to the current control methods [24], this paper proposes a method that eliminates the need for the linearization of the model and suppresses the payload swing while achieving precise positioning. It does this by using a novel coupling form, where the error of the position subsystem and the swing angle subsystem constitutes a new error signal. Simultaneously, the approach may achieve a quick global convergence because of the fast terminal SMC introduction.
(2) It addresses the issue that arises when the overhead crane model’s parameters are unknown, causing the current SMC technique to fail. The wire rope length and payload mass do not need to be known by the controller design. These parameters are calculated live based on the current condition of the system.
(3) Inspired by the study of [25], the design of the FFTSO for the overhead crane system is offered, which can swiftly estimate the first derivative of the trolley position and the payload swing angle.
The remainder of the study is organized as follows: Section 2 presents the two-dimensional overhead crane’s mathematical model and control goals. The stability of the crane system and the design of the positioning control and anti-sway mechanism are described in depth in Section 3. Section 4 deals with the design and analysis of the FFTSO. The platform experiments in Section 5 confirm the suggested closed-loop system control algorithm’s efficacy.
2. D Overhead Crane System Model
The two-dimensional overhead crane has a wide range of applications in practice, and when the system works near the equilibrium point, the 3D overhead crane model can be approximated as a 2D overhead crane with the same structure in two directions for analysis [26], as shown in Figure 1. The trolley position and payload swing angle are represented by X and . M and m stand for the trolley and payload mass, respectively, while L represents the wire rope’s length.
Figure 1.
Two-dimensional overhead crane.
The nonlinear crane dynamics can be depicted as follows [27]:
where is gravity and is the control input.
Then, we should make some reasonable assumptions.
1: The length of wire rope remains unchanged during the transfer of the overhead crane system [28].
2: The payload swing angle satisfied study:
3. Fast Finite-Time State Observer Design
This section describes how to estimate the system state variable using an FFTSO. The system state variable can converge to the intended stable area in a finite amount of time thanks to the FFTSO that is created in this part.
3.1. State Observer Design
First of all, the mathematical models of differential Equations (1) and (2) are transformed into the general form of state space equations, the specific derivation process can be referred to in study [29]:
where for the displacement subsystem and the swing angle subsystem, respectively, and the unknown variables are denoted by and , . The nonlinear function of the system state vector is represented by , and its precise expression is as follows:
where
is the position subsystem model of a 2D overhead crane system.
is the swing angle subsystem model of a 2D overhead crane system. The state vector of desired trajectory is as follows:
The traditional finite-time observer expression is as follows:
where are the estimates of in the observer, respectively; and are the estimates of , respectively; and the observer gains , in which . The definitions of are the same as Equation (5); are the estimates of , respectively.
Based on the traditional state observer design form, represents the estimation error in an FFTSO designed as follows:
where are the estimates of in the observer, respectively; and are the estimates of , respectively; and are the observer gains in which satisfying , are the estimates of , respectively. The hyperbolic tangent function is then used in this study in place of the symbolic function, which enhances both the stability of the system and the continuity of the observer’s observation results.
3.2. Convergence Analysis of Observer
The convergence and stability of the proposed observer are demonstrated in this section using the following theorem.
The first theorem states that if the FFTSO is configured as (6), the underactuated overhead crane system state variables will be estimated in finite time.
In the proof for Theorem 1, the fast finite-time state observer’s error system may be expressed as follows using Equation (4) minus Equation (6):
The Lyapunov function is designed as follows:
where and is a positive definite symmetric matrix. Taking derivative of , we find that
where , , , .
Then, the derivative of the Lyapunov function is as follows:
Since the 2D overhead crane system model includes a position subsystem and a swing angle subsystem, Lyapunov equations are designed for the two subsystems to form equations as shown in Equation (11). P is an asymmetric positive definite matrix, and A1 and A2 are negative definite matrices:
Using (11), the expression (10) can be written as follows:
Given that , the inequality (12) becomes the following:
where .
Proposition 1.
The trajectory of the overhead crane system state will converge to a stable area in a limited amount of time if the Lyapunov function satisfies the differential inequality . This will make system (4) fast finite time uniformly finally bounded. The upper limit of time is as follows:
where and
are positive constants.
According to Proposition 1, the overhead crane system state will converge to a stable region in T as follows:
where and .
From (14), the convergence time is related to parameter in the error equation. In fact, when the parameter is large, the error dynamic equation is a fast-changing subsystem in the system. The error system will not converge if is too big, but the convergence time will decrease with increasing . Therefore, this parameter needs to be adjusted manually.
4. Adaptive Tracking Controller Design
As mentioned above, accurate model parameters are needed for most overhead crane positioning and anti-swing control methods. It is difficult to measure in many situations. The only adaptive control algorithm that can achieve no model parameters can achieve global fast convergence [30], and the anti-swing ability is weak. On this basis, the generalized motion of the payload is analyzed, and an adaptive fast terminal SMC anti-swing control method based on the model transformation is proposed.
4.1. S Curve Trajectory
The desired curve trajectory is a limit of a constant :
where is the target position and satisfies and .
In order to facilitate the subsequent comparative experiments and convenient to compare with the results of similar research, we choose the curve trajectory in literature [25], and the expression is as follows:
where is the desired trolley position, are adjustable parameters, and are positive.
4.2. Controller Design
This paper proposes an adaptive fast terminal SMC anti-swing and positioning method based on model transformation, which is described as follows.
The real application states that the control aim is to reduce the payload swing while simultaneously guiding the trolley to follow the intended trajectory and arrive at the destination spot:
The generalized horizontal displacement signal of the define payload is :
where represents the trolley position and represents the payload swing angle.
Equations (17) and (18) state that the payload’s generalized positioning error is as follows:
Considering the linear SMC and the fast terminal SMC, the sliding surface of the global fast terminal SMC is as follows:
where , .
Then, the Lyapunov function is designed:
in which , are the estimate value of .
According to (10), adaptive tracking controller is designed as follows:
where are control gains that are positive and are the on-line estimates of , generated by the following update law:
where are positive control gains.
The control function F in Equation (22) and the adaptive law in Equation (23) allow the trolley to accurately position the target and quickly reduce load swing. The controller makes sure that the trolley’s location, speed, and angular velocity all converge to zero and follow the intended route:
First, we find the first and second derivatives of the generalized horizontal displacement signal of the payload with respect to time:
According to Equations (2) and (26), the new swing angle subsystem can be obtained:
According to Equations (1) and (27), the new displacement subsystem is as follows:
Equation (27) is brought into Equation (28) and simplified to derive the following:
According to Formula (29), the system can be transformed into a form with the generalized horizontal displacement signal of the payload as the state variable, as shown in the following formula:
where is a system disturbance.
The Lyapunov function is designed as follows:
The Lyapunov function’s derivative is as follows:
Taking Equation (30) into Equation (32), we can derive the following:
We can obtain control law (22) with formula (33).
The derivative of the Lyapunov function is as follows:
According to (34), we can design an adaptive law as (23), with (23) and (24), and the Lyapunov function (34) can be written as follows:
Ultimately, we may conclude that the overhead crane system is asymptotically stable according to the Lyapunov stability principle under the operation of the control law in Equation (22) and the adaptive rule in Equation (23).
We discovered from Equations (22) and (23) that the control rule must acquire the swing angle’s first derivative without linearizing the system model. However, because it is challenging to determine the angular velocity of the real system while it is operating, an observer must be designed to track the angular velocity of the payload swing.
Regarding this control system, it can be observed from Figure 2 that the closed-loop system created in this study is formed from three parts: an adaptive fast terminal sliding mode controller, as shown in Equation (22); a fast finite-time state observer, as shown in Equation (6); and a parameter adaptive law, as shown in Equation (23). The trolley position and payload swing angle data collected by the sensor are transmitted to the adaptive law and state observer module; the adaptive law module passes three system parameters , estimated in real time to the state observer and controller module; and the state observer module can estimate the payload swing angle and pass it to the controller module and pass the deviation signal to the controller by comparing the collected system trolley position and the error between the load swing angle variable and the desired trajectory. Currently, the controller may create a control force to enable the tracking of the intended trajectory by the system using the real-time data that were acquired above.
Figure 2.
The structure of the proposed adaptive control system.
Finally, considering the system composed of the controller and observer, its Lyapunov function is as follows:
The Lyapunov function (35) derivate of time is as follows:
Taking Equation (11) into Equation (36), we find that
Then, taking Equation (12) into Equation (37), we find that
According to Proposition 1, can be transformed as follows:
If ,, and , then ; it means that the equality (39) becomes
The equality (38) becomes
Finally, the analysis is as follows:
(1) The closed-loop system made up of control law (11) satisfies the requirement for asymptotic stability.
(2) It can be known by and that the right part of the equation satisfies the local Lipschitz condition, and when the input and output are zero, and .
(3) From Equation (12), the adaptive law satisfies the local Lipschitz condition, and near the equilibrium point, it has the following:
Since the above three conditions are met, the separation theorem can be used to directly use the observation value of the FFTSO in the control law (11) instead of the actual value without measuring the trolley speed and payload swing angular; the closed-loop system designed in this paper is asymptotically convergence.
5. Experiment Results
An experimental configuration for positioning the control and anti-sway of the overhead crane semi-physical simulation platform was constructed in order to assess the algorithm’s efficacy further. Figure 3 illustrates this arrangement, which was designed in accordance with the structure described in study [30]. The experimental platform is mainly composed of four parts: the mechanical body, driving device, measuring device, and control system. The mechanical body of the experimental platform refers to the mechanical part of the overhead crane, which is the control object of the whole system. As the actuator, the driving part provides the corresponding torque for the mechanical part according to the control quantity issued by the control system so as to realize the safe and stable transportation of the load. The control command of the control system is calculated online according to the dynamic model of the crane system and the real-time state feedback, and the real-time state is obtained by the measuring device. The measuring device converts the required position and angle changes into corresponding electrical signals through sensors such as encoders and sends them to the control system. This platform serves as a programming environment for MATLAB / Simulink 2017a.
Figure 3.
Experimental test setup.
This part verifies the efficacy of the adaptive fast terminal SMC in the overhead crane system’s track tracking control, which is based on the fast and finite-time state observer. To achieve a comparatively superior performance, the localization reference track was chosen to be the type trajectory found in study [31]. The chosen trajectory’s expressions and parameter settings are identical to those found in study [32]. Experiments are developed to compare the FFTSO with the traditional finite-time observer in three distinct beginning states of the system (the other system characteristics and components are consistent, save for the various observers) in order to validate the performance superiority of the proposed observer. The system’s initial state parameters are as follows:
- (1)
- (2)
- (3)
The selected classical finite-time observer expression is as follows:
where are the estimates of in the observer, respectively; and are the estimates of , respectively; and the observer gains, in which . The definitions of and are the same as those in Equations (5) and (6).
The initial states of the corresponding finite-time observer under the three different initial states are all . At the same time, in each group of experiments, different wire rope lengths and payload mass are chosen. Some fixed parameters are chosen as follows: ,.
The suggested closed-loop control technique with the FFTSO, abbreviated as FFTSO-AFTSMC, and the comparison procedure with the classical finite-time state observer, abbreviated as CFTSO-AFTSMC, should be used after adequate debugging. Under three distinct settings, the known system parameters and initial state are displayed in Table 1, Table 2 and Table 3. The experimental findings are displayed in Figure 4, Figure 5 and Figure 6 below.
Table 1.
Parameters of experiment 1.
Table 2.
Parameters of experiment 2.
Table 3.
Parameters of experiment 3.

Figure 4.
Results of experiment 1. (a1) Trolley trajectory comparison when (a2) trolley trajectory comparison when (b1) comparison of the speed of the trolley when (b2) comparison of the speed of the trolley when (c1) comparison of payload swing angular when (c2) comparison of payload swing angular when (d1) comparison of payload swing angular velocity when and (d2) comparison of payload swing angular velocity when .

Figure 5.
Results of experiment 2. (a1) Trolley trajectory comparison when (a2) trolley trajectory comparison when (b1) comparison of the speed of the trolley when (b2) comparison of the speed of the trolley when (c1) comparison of payload swing angular when (c2) comparison of payload swing angular when (d1) comparison of payload swing angular velocity when and (d2) comparison of payload swing angular velocity when .

Figure 6.
Results of experiment 3. (a1) Trolley trajectory comparison when ; (a2) trolley trajectory comparison when ; (b1) comparison of the speed of the trolley when ; (b2) comparison of the speed of the trolley when ; (c1) comparison of payload swing angular when ; (c2) comparison of payload swing angular when ; (d1) comparison of payload swing angular velocity when ; and (d2) comparison of payload swing angular velocity when .
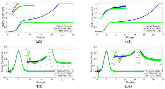
In the analysis of the results of experiment 1, when the system has positive initial swing angle and angular velocity, from Figure 4(b1,b2), it can be seen that the FFTSO can achieve a high precision observation of trolley running speed variable in 0.7 s and 1.3 s, and the comparison algorithm is close to 2 s, which directly leads to a decrease in its positioning accuracy, as shown in Figure 4(a2), and even leads to control system divergence, as shown in Figure 4(a1).
From Figure 4(d1,d2), the proposed observer of payload swing angle velocity estimates can converge to the actual value in 0.8 s, much faster than the contrast observer in 4 s to the actual value, which makes the proposed controller on the basis of fast and accurate state feedback to play a good anti-swing angle and high precision positioning ability. As can be seen from Figure 4(c1,c2), the proposed control algorithm can suppress the swing angle within 2 degrees during the whole process of operation and suppress the payload swing angle within 0.2 degrees when the trolley moves in the 10th second to the target position. The experiment proves the effectiveness of the proposed FFTSO.
In the analysis of experiment 2 results, when the system has positive initial trolley velocity and negative initial swing angle, from Figure 5(b1,b2), the FFTSO can be around 0.4 s of trolley speed variable observation, and the comparison algorithm is about 3 s to achieve the variable accurate estimation, which also causes the control system under different wire rope length and payload mass in experiment 2 to be a divergence, as shown in Figure 5(a1,a2).
By Figure 5(d1,d2), the proposed estimation of the payload swing angle velocity can converge to the actual value in 0.5 s, much faster than the contrast observer in the 4 s convergence to the near region of the actual value, which makes the proposed controller on the basis of fast and accurate state feedback play a good anti-swing angle and high precision positioning performance. From Figure 5(c1,c2), the proposed control algorithm can suppress the swing angle within 1.5 degrees during the whole process and suppress the payload swing angle within 0.2 degrees when the trolley moves in the 10th second to the target position. The experiment proves the effectiveness of the proposed FFTSO.
By observing the results of experiment 3, when the system has negative initial swing angle and angular velocity, from Figure 6(b1,b2) can be seen that the FFTSO can achieve speed variable in the whole process of system operation, and the comparison algorithm is close to 2.5 s, which directly lead to its positioning accuracy is significantly reduced, as shown in Figure 6(a1), and even cause control system divergence, as shown in Figure 6(a2).
By Figure 6(d1,d2), the proposed observer of load swing angle velocity estimates can converge to the actual value in 0.5 s, much faster than the contrast observer in 4 s to near the actual value, which makes the proposed controller on the basis of fast and accurate state feedback to play a good anti-swing angle and high precision positioning ability. From Figure 6(c1,c2), the proposed control algorithm can suppress the swing angle within 2 degrees during the whole process of operation, and suppress the payload swing angle within 0.2 degrees when the trolley moves in the 10th second to the target position. The experiment proves the effectiveness of the proposed FFTSO.
The estimate of the system unknown parameters cannot converge to these parameters, but Figure 7 (where (a1,a2) corresponding to experiment 1, (b1,b2) corresponding to experiment 2, and (c1,c2) corresponding to experiment 3) provides a set of parameters appropriate for the current closed-loop system state and control target. The algorithm’s parameter combination is not unique when the control goal or system state changes.

Figure 7.
Unknown system parameter estimation. (a1) Parameters estimation when (a2) Parameters estimation when (b1) Parameters estimation when (b2) Parameters estimation when (c1) Parameters estimation when ; (c2) Parameters estimation when .
Lastly, we may derive the following conclusions by contrasting the trolley and swing angle speed observation data of the aforementioned three groups with the overhead crane system’s control performance:
(1) With the closed-loop control system described in this paper, the maximum angle of payload swing and transfer efficiency are not significantly affected when carrying different mass payloads and the wire rope length varies. The system can track the desired trajectory accurately to the target position;
(2) The controller only has to modify the control gain within a limited range when the system’s initial state and parameters change. There is no need to modify for the FFTSO and the gain in the adaptive law, demonstrating the algorithm’s high degree of adaptability;
(3) The FFTSO suggested in this research guarantees the stability of the closed-loop system, has good tracking ability, and significantly enhances the algorithm’s security and dependability in real-world applications. It can also swiftly and reliably estimate the system’s unknown state variables in a short amount of time.
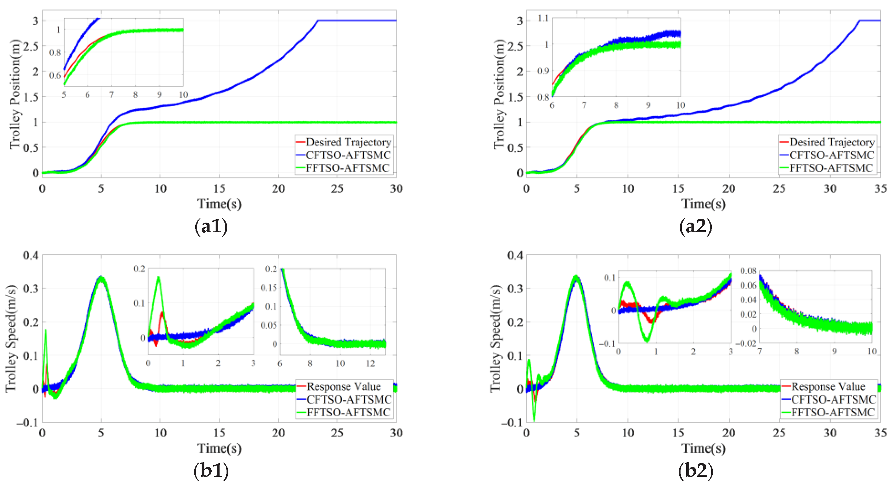
Next, assuming the same observer is used, a comparison is made between the adaptive global fast terminal SMC approach suggested in this study and the method in the literature [33]. The findings of the experiment are displayed in Figure 8 below. Similarly, when the mass of the trolley and the length of the wire rope are unknown, the experimental results of the closed-loop system trajectory tracking control are shown in Figure 8 below using the fast finite-time observer proposed in this paper compared with the ASMFC (Adaptive Sliding mode fuzzy control) method proposed in the literature [34].
Figure 8.
The results of experiment 4. (a1) The trolley trajectory comparison when . (a2) The trolley trajectory comparison when ; (b1) a comparison of the speed of the trolley when ; (b2) a comparison of the speed of the trolley when ; (c1) a comparison of the payload swing angular when ; (c2) a comparison of the payload swing angular when; (d1) a comparison of the payload swing angular velocity when ; and (d2) a comparison of payload swing angular velocity when .
Through an analysis of experiment 4′s results using the same FFTSO, as shown in Figure 8(a1,a2), it can be determined that the contrast control method takes 12 s to locate to the target position with a positioning error of 5 mm, while the global fast terminal SMC method can converge to the target position with the desired trajectory in 10 s with a positioning error of less than 3 mm. Furthermore, during the whole transportation process, the suggested approach can suppress the cargo swing angle within 1.5 degrees, but the contrast method can only do so within 3 degrees. As a result, the suggested approach has a greater tracking effect than the comparison technique and has the clear benefit of decreasing the payload swing, which can significantly increase the overhead crane’s transportation efficiency. More significantly, in contrast to the experiment’s system parameter changes, the suggested method’s performance remains stable; that is, the algorithm will not deteriorate as a result of the system parameter changes, further demonstrating the good adaptability of the closed-loop control algorithm.
The same three system initial states are selected as in the comparison experiment above with the observer:
- (1)
- (2)
- (3)
- .
The proposed adaptive fast terminal sliding mode control (AFTSMC) method is compared with the fast terminal sliding control (FTSC) method in the literature [35]. To mitigate the impact of observer presence, the comparison experiment employs the FFTSO to obtain the state variables of the closed-loop system composed of two distinct control methods. The experimental results are displayed in Figure 9, where groups (a), (b), and (c) correspond to the initial state (1), (2), and (3), respectively:
Figure 9.
Controller test experiment results. (a1) Trolley trajectory comparison when (a2) comparison of payload swing angular when . (b1) Trolley trajectory comparison when (b2) comparison of payload swing angular when (c1) trolley trajectory comparison when ; and (c2) comparison of payload swing angular when .
By comparing the experimental findings, it is possible to determine that for various beginning states of the system, both control approaches are capable of keeping the trolley moving along the intended trajectory, locating it close to the target point and successfully suppressing the swing of the load. The experimental findings for comparison are displayed in Table 4 below.
Table 4.
Comparative experimental results.
Through an analysis of the trajectory tracking experiment results of the closed-loop control system under the two controllers, it is discovered that in all three sets of experiments, the positioning accuracy is improved by more than 50% when compared to the FTSC method, and the proposed AFTSMC method can control the positioning error within 2 mm. The longest convergence time of the suggested AFTSMC method trolley position was 10.5 s compared with the intended trajectory’s 10 s trolley position convergence time. Additionally, the trajectory’s convergence time increased by more than 27% when compared to the ASMFC technique. The AFTSMC method’s maximum swing angle can be controlled within 1.9°, whereas the comparison algorithm’s maximum swing angle can only be controlled within 3.2°. This is because the swing angle convergence time of the proposed AFTSMC method is within 12.5 s, while the comparison algorithm takes a relatively long time, resulting in a swing angle convergence time of approximately 14 s and an efficiency increase of more than 10%.
Furthermore, because the FTSC approach uses a layered sliding form design, it is essential to design the entire sliding form surface in addition to the sliding form surface for the position and swing angle subsystems individually, which is laborious. According to the experimental results, the FTSC method has a poor suppression effect on the load residual swing, and in applications where residual swing requirements are more stringent, the system efficiency will be greatly reduced. In contrast, the method designed in this paper has a good suppression effect on the residual swing because it incorporates the swing angle’s integration.
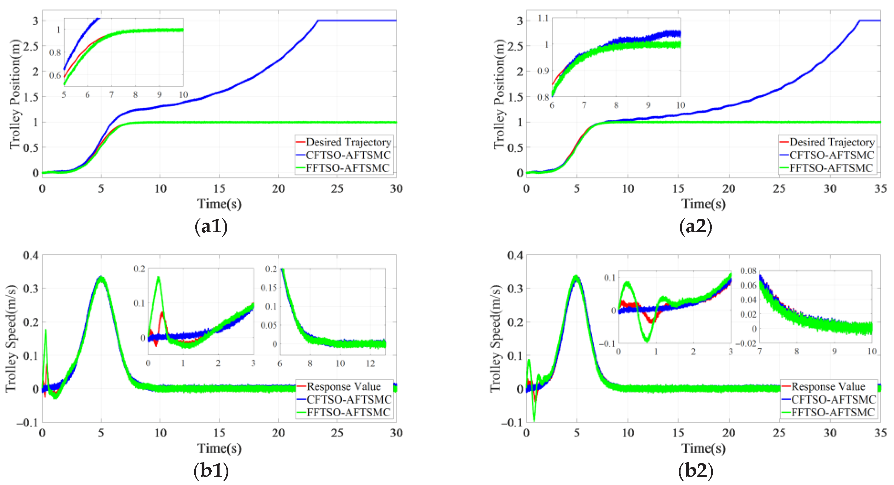
Lastly, trials confirm the algorithm’s anti-disturbance capacity in tracking control. The payload mass is 2 kg, and the wire rope is 1.5 m long. The experiment’s interference was configured to intentionally collide the payload during the sixth and twelfth seconds, respectively, from two distinct directions. The findings of the experiment are displayed in Figure 10 below.
Figure 10.
Disturbance test experiment results. (a1) Trolley trajectory comparison when ; (a2) trolley trajectory comparison when ; (b1) comparison of the speed of the trolley when ; (b2) comparison of the speed of the trolley when ; (c1) comparison of payload swing angular when ; (c2) comparison of payload swing angular when ; (d1) comparison of payload swing angular velocity when ; and (d2) comparison of payload swing angular velocity when .
Figure 10 illustrates how the system operates at 6 s or when there is a sudden interference during the reprint process. At around 10.6 s, the controller is able to erase the interference’s effects and track the intended trajectory precisely. In contrast to experiment 4, the payload swing inhibition was achieved at around the tenth without the need for outside intervention, only resulting in a 0.6 s increase in the swing suppression time. After the system reaches stability at the 12th second, it completes the suppression of the swing angle and increases the tracking precision by 4 s at the 16th second. Additionally, during suppression, the maximum swing angle is limited to 0.5 degrees. The trolley position offset cannot be more than 3 cm. Consequently, it can be said that for the trajectory tracking control job, the closed-loop control system presented in this study is more resilient to outside disturbances.
6. Conclusions
In this paper, an adaptive control rule based on fast terminal sliding mode control technology and fast finite-time state observer is proposed for two-dimensional underactuated crane system. The efficient transfer of the trolley and the rapid elimination of the load are realized. A new fast finite-time state observer and a set of control strategies for system parameter estimation are constructed. The control performance of the system is proven by the Lyapunov-based analysis method. Under the actual working conditions, because the initial state, the length of the wire rope, and the mass of the payload are always different in different handling tasks, the experiment confirms the superior transient performance of the control system and the robustness to parameter uncertainty. Therefore, the results of this paper can promote the application of the finite-time algorithm in underactuated systems to a certain extent. In future research, the author‘s team hopes to design an estimator that can accurately estimate the unknown parameters of each system and apply this method to the overhead crane for ships. Finally, because the design process of the algorithm is very simple and easy to promote, it has good practical application value.
Author Contributions
Author Contributions: Conceptualization, X.W. and Z.H.; methodology, X.W.; software, C.L.; validation, X.W. and W.D.; formal analysis, X.W.; investigation, X.W., Z.H. and W.D.; resources, Z.H. and W.D.; data curation, C.L.; writing—original draft preparation, X.W.; writing—review and editing, X.W. and Z.H.; All authors have read and agreed to the published version of the manuscript.
Funding
This research was funded by the Rocket Force University of Youth Engineering Fund Project 2023QN-B016.
Data Availability Statement
Data are contained within the article.
Conflicts of Interest
The authors declare no conflicts of interest. The funders had no role in the design of the study; in the collection, analyses, or interpretation of data; in the writing of the manuscript; or in the decision to publish the results.
References
- Reyhanoglu, M.; van der Schaft, A.; Mcclamroch, N.H.; Komarovsky, I. Dynamics and control of a class of underactuated mechanical systems. IEEE Trans. Autom. Control 2017, 44, 1663–1671. [Google Scholar] [CrossRef]
- Huang, J.; Wen, C.; Wang, W.; Song, Y.-D. Global stable tracking control of underactuated ships with input saturation. Syst. Control Lett. 2015, 85, 1–7. [Google Scholar] [CrossRef]
- Hua, M.-D.; Hamel, T.; Morin, P.; Samson, C. A control approach for thrust-propelled underactuated vehicles and its application to vtol drones. IEEE Trans. Autom. Control 2009, 54, 1837–1853. [Google Scholar] [CrossRef]
- Ning, S.; Fang, Y. A review for the control of a class of underactuated systems. CAAI Trans. Intell. Syst. 2011, 6, 200–207. [Google Scholar]
- Fang, Y.; Dixon, W.; Dawson, D.; Zergeroglu, E. Nonlinear coupling control laws for an underactuated overhead crane system. IEEE/ASME Trans. Mechatron. 2003, 8, 418–423. [Google Scholar] [CrossRef]
- Sun, N.; Fang, Y.; Zhang, X. An increased coupling-based control method for underactuated crane systems: Theoretical design and experimental implementation. Nonlinear Dyn. 2012, 70, 1135–1146. [Google Scholar] [CrossRef]
- Zhang, X.; Fang, Y.; Sun, N. Minimum-time trajectory planning for underactuated overhead crane systems with state and control constraints. IEEE Trans. Ind. Electron. 2014, 61, 6915–6925. [Google Scholar] [CrossRef]
- Liu, J.K.; Sun, F.C. Research and development on theory and algorithms of sliding mode control. Control Theory Appl. 2007, 24, 407–418. [Google Scholar]
- Zheng, X.; Li, P.; Li, H.; Ding, D. Adaptive backstepping-based NTSM control for unmatched uncertain nonlinear systems. J. Syst. Eng. Electron. 2015, 26, 557–564. [Google Scholar] [CrossRef]
- Ning, S.; Fang, Y.; He, C.; Bo, H. Adaptive nonlinear crane control with load hoisting/lowering and unknown parameters: Design and experiments. IEEE/ASME Trans. Mechatron. 2014, 20, 1–23. [Google Scholar]
- Dixit, A.; Misra, A.; Talole, S.E. Model Predictive Control based Collision Avoidance Controller for Octocopter. In Proceedings of the 2020 7th International Conference on Signal Processing and Integrated Networks (SPIN), Noida, India, 27–28 February 2020. [Google Scholar]
- Zhan, B.; Jin, M.; Liu, J. Extended-state-observer-based adaptive control of flexible-joint space manipulators with system uncertainties. Adv. Space Res. 2022, 69, 3088–3102. [Google Scholar] [CrossRef]
- Xu, W.M.; Liu, B.; Chu, J.X.; Zhou, X.W. An anti-swing and positioning controller for overhead cranes based on multi-sliding mode method. Adv. Mater. Res. 2012, 468–471, 328–334. [Google Scholar] [CrossRef]
- Wang, Y.; Xu, W. Synchronous control of double-container overhead crane based on pi terminal sliding mode. Int. Core J. Eng. 2020, 6, 133–143. [Google Scholar]
- Ghorbani, H.; Vatankhah, R.; Farid, M. Adaptive nonsingular fast terminal sliding mode controller design for a smart flexible satellite in general planar motion. Aerosp. Sci. Technol. 2021, 119, 107100. [Google Scholar] [CrossRef]
- Almutairi, N.B.; Zribi, M. Sliding mode control of a three-dimensional overhead crane. J. Vib. Control 2009, 15, 1679–1730. [Google Scholar] [CrossRef]
- Zhang, Z.M.; Zheng, W.; Xie, P.; Wang, H.B.; Li, N.; Wen, S.H.; Wang, H.R. Adaptive decoupled sliding mode control for overhead crane mechanical system. Acta Metrol. Sin. 2019, 40, 861–867. [Google Scholar]
- Wang, T.; Zhou, J.; Zhang, Q.; Lin, C.; Liang, Y. Design of Adaptive Time-Varying Sliding Mode Controller for Underactuated Overhead Crane Optimized via Improved Honey Badger Algorithm. J. Intell. Robot. Syst. Theory Appl. 2023, 108, 39. [Google Scholar] [CrossRef]
- Wang, S.; Jin, W.; Chen, W. A novel payload swing control method based on active disturbance rejection control for 3D overhead crane systems with time-varying rope length. J. Frankl. Inst. 2024, 361, 106707. [Google Scholar] [CrossRef]
- Huang, J.; Xu, W.; Zhao, W.; Yuan, H. An improved method for swing measurement based on monocular vision to the payload of overhead crane. Trans. Inst. Meas. Control 2022, 44, 50–59. [Google Scholar] [CrossRef]
- Tang, L.; Li, Y.; Liu, Y.-J. Adaptive Event-Triggered Vibration Control for Crane Bridge System with Trolley. IEEE Trans. Instrum. Meas. 2023, 72, 1–10. [Google Scholar] [CrossRef]
- Wang, M.; Liu, J.; Wang, M.; Liu, J. Modeling and vibration suppression for overhead crane in planar space with nonlinear time-varying actuator faults and uncertain control directions. Nonlinear Dyn. 2024, 112, 18869–18883. [Google Scholar] [CrossRef]
- Li, D.; Xie, T.; Li, G.; Hu, S.; Yao, J. Adaptive coupled double-pendulum overhead crane control strategy with enhanced attitude suppression under initial input constraints. J. Braz. Soc. Mech. Sci. Eng. 2024, 46, 1–14. [Google Scholar] [CrossRef]
- Gu, X.; Xu, W. Moving sliding mode controller for overhead cranes suffering from matched and unmatched disturbances. Trans. Inst. Meas. Control 2022, 44, 60–75. [Google Scholar] [CrossRef]
- Ebrahim, A.; Murphy, G.V. Adaptive backstepping controller design of an inverted pendulum. In Proceedings of the Thirty-Seventh Southeastern Symposium on System Theory, Tuskegee, AL, USA, 20–22 March 2005. [Google Scholar]
- Ali, N.; Tawiah, I.; Zhang, W. Finite-time extended state observer based nonsingular fast terminal sliding mode control of autonomous underwater vehicles—Sciencedirect. Ocean. Eng. 2020, 218, 108179. [Google Scholar] [CrossRef]
- Cho, S.; Lee, H. An Anti-swing Control of a 3-Dimensional Overhead Crane. In Proceedings of the 2000 IEEE American Control Conference, Chicago, IL, USA, 28–30 June 2000; pp. 1037–1041. [Google Scholar]
- Lu, B.; Fang, Y.; Sun, N. Sliding mode control for underactuated overhead cranes suffering from both matched and unmatched disturbances. Mechatronics 2017, 47, 116–125. [Google Scholar] [CrossRef]
- Liu, D.; Yi, J.; Zhao, D.; Wang, W. Adaptive sliding mode fuzzy control for a two-dimensional overhead crane. Mechatronics 2005, 15, 505–522. [Google Scholar] [CrossRef]
- Zhang, M.; Ma, X.; Song, R.; Rong, X.; Tian, G.; Tian, X.; Li, Y. Adaptive proportional-derivative sliding mode control law with improved transient performance for underactuated overhead crane systems. IEEE/CAA J. Autom. Sin. 2018, 5, 683–690. [Google Scholar] [CrossRef]
- Ma, B.-J.; Fang, Y.-C.; Wang, P.-C.; Yuan, Y.-H. Experiment System for Automatic Control of a 3D Overhead Crane. Control Eng. 2011, 18, 239–243. [Google Scholar] [CrossRef]
- Fang, Y.; Ma, B.; Wang, P.; Zhang, X. A motion planning-based adaptive control method for an underactuated crane system. IEEE Trans. Control Syst. Technol. 2012, 20, 241–248. [Google Scholar] [CrossRef]
- Singh, M. Fast Terminal Sliding Control Application for Second-order Underactuated Systems. Int. J. Control Autom. Syst. 2019, 17, 1884–1898. [Google Scholar] [CrossRef]
- Tang, J.; Dang, Z.; Deng, Z.; Li, C. Adaptive fuzzy nonlinear integral sliding mode control for unmanned underwater vehicles based on ESO. Ocean Eng. 2022, 266, 113154. [Google Scholar] [CrossRef]
- Chen, J.; Zhao, C.; Tang, Q.; Liu, X.; Wang, Z.; Tan, C.; Wu, J.; Long, T. Low Chattering Trajectory Tracking Control of Non-singular Fast Terminal Sliding Mode Based on Disturbance Observer. Int. J. Control Autom. Syst. 2023, 21, 440–451. [Google Scholar] [CrossRef]
Disclaimer/Publisher’s Note: The statements, opinions and data contained in all publications are solely those of the individual author(s) and contributor(s) and not of MDPI and/or the editor(s). MDPI and/or the editor(s) disclaim responsibility for any injury to people or property resulting from any ideas, methods, instructions or products referred to in the content. |
© 2024 by the authors. Licensee MDPI, Basel, Switzerland. This article is an open access article distributed under the terms and conditions of the Creative Commons Attribution (CC BY) license (https://creativecommons.org/licenses/by/4.0/).













